A Basic Study for Active Steering Wheel System for Steering Burden Evaluation by Driving Position Focus on Driver’s Arm Size
Abstract
1. Introduction
2. Active Steering Wheel System by Steer-by-Wire System
3. Examination of the Effect of Changes in the Slide Adjustment on Steering Burden
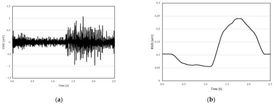
3.1. Methods and Conditions for Evaluation of Steering Burden Using Surface EMG
3.2. EMG Measurement Results
4. Consideration of Steering Burden Using a Two-Dimensional Steering Analysis Model
4.1. Steering Analysis Model Conditions
4.2. Muscle Burden Evaluation Using Joint Movements
4.3. Effect of Joint Angle on the Shoulder Joint
4.4. Muscle Burden Evaluation Using Shoulder Joint Power
5. Conclusions
Author Contributions
Funding
Data Availability Statement
Acknowledgments
Conflicts of Interest
References
- Kitahara, K.; Haramiishi, Y.; Mouri, H. Proposal of New Steering System Considering the Direction of Upper Limb Motion. Trans. Jpn. Soc. Mech. Eng. Ser. C 2013, 79, 3327–3334. [Google Scholar] [CrossRef]
- Tanimoto, Y.; Watanabe, M.; Kono, R.; Hirota, C.; Takasaki, K.; Kono, K. Aging changes in muscle mass of Japanese. Nippon. Ronen Igakkai Zasshi. Jpn. J. Geriatr. 2010, 47, 52–57. [Google Scholar] [CrossRef] [PubMed]
- Tamida, K.; Nihei, M.; Shino, M.; Kamata, M. 2208 An Analysis of the Elderly on Their Driving Behavior Based on the Multimodal Data During the Course Driving. Proc. Transp. Logist. Conf. 2010, 19, 283–286. [Google Scholar] [CrossRef]
- Liu, X.; Ayato, E.; Ikeda, K.; Peeie, M.H.B.; Kato, H.; Narita, T. Evaluation of the Burden of Steering Wheel Switching Operation in an Ultra-Compact EV with Steer-by-Wire System. Proc. Sch. Eng. Tokai Univ. Ser. E 2018, 43, 24–30. [Google Scholar]
- Umemoto, T.; Liu, X.; Narita, T.; Kato, H.; Moriyama, H. Steer-by-Wire System for Ultra-Compact Electric Vehi-cle—Fundamental Consideration on the Burden of the Push Side Upper Arm Using EMG of Anterior Deltoid. J. Jpn. Soc. Appl. Electromagn. Mech. 2017, 25, 155–161. [Google Scholar]
- Sterthoff, J.; Henze, R.; Küçükay, F. Vehicle handling improvements through Steer-by-Wire. Automot. Engine Technol. 2021, 6, 91–98. [Google Scholar] [CrossRef]
- Kakinuma, T.; Shino, M.; Kamata, M. Proposal on Steering System Based on Relationship between, Gear Ratio and Reaction Torque Control at Low-Speed Region. Proc. Transp. Logist. 2006, 52, 317–320. [Google Scholar]
- Tamakawa, S.; Mouri, H.; Kazama, K.; Sato, K. 3304 An investigation on driving easiness of bar type steering in high speed range. Proc. Transp. Logist. Conf. 2015, 63, 15. [Google Scholar] [CrossRef]
- Matsuoka, K.; Tachiwana, S.; Doi, S.; Wada, T. The Effect of Smaller Amount of Speed-depended Steering Control for Driving Behaviors. Proc. Conf. Chugoku-Shikoku Branch 2008, 46, 495–496. [Google Scholar] [CrossRef]
- Suzuki, R.; Soma, H.; Shimoyama, O.; Abe, M.; Sakuma, T. Effect of Information about Change of Steering Gear Ratio on Driver Behavior. Proc. Transp. Logist. Conf. 2007, 16, 275–278. [Google Scholar] [CrossRef]
- Kitahara, K.; Haramiishi, Y.; Mouri, H. 1205 Development of Low Gear Ratio Steering System without Changing the Hand Holding Position. Proc. Transp. Logist. Conf. 2013, 22, 235–236. [Google Scholar] [CrossRef]
- Kuramori, N.; Koguthi, N.; Kamijo, M.; Sadoyama, T. Study on Driving Ease Evaluation Focusing on Muscular Activity of Driver. Trans. Soc. Automot. Eng. 2007, 61, 116–121. [Google Scholar]
- Kuramori, A.; Sakai, D.; Kamaji, M. Study on Driving Fatigue Evaluation by Using Driver’s Electromyogram. Trans. Soc. Automot. Eng 2010, 41, 489–493. [Google Scholar]
- Dickerson, C.R.; Martin, B.J.; Chaffin, D.B. Predictors of Perceived Effort in the Shoulder during Load Transfer Tasks. Ergonomics 2007, 50, 1004–1016. [Google Scholar] [CrossRef] [PubMed]
- Yang, Y.; Liu, Y.; Wang, M.; Ji, R.; Ji, X. Objective Evaluation Method of Steering Comfort based on Movement Quality Evaluation of Driver Steering Maneuver. Chin. J. Mech. Eng. 2014, 27, 1027–1037. [Google Scholar] [CrossRef]
- Pick, A.J.; Cole, D.J. Measurement of Driver Steering Torque Using Electromyography. J. Dyn. Syst. Meas. Control. 2006, 128, 960–968. [Google Scholar] [CrossRef]
- Liu, Y.; Ji, X.; Ryouhei, H.; Takahiro, M.; Lou, L. Function of Shoulder Muscles of Driver in Vehicle Steering Maneuver. Sci. China Technol. Sci. 2012, 55, 3445–3454. [Google Scholar] [CrossRef]
- Matsugaura, S.; Nishimura, H.; Omae, M.; Shimizu, H. Development of a Driver-monitoring Vehicle Based on an Ultra Small Electric Vehicle. J. Asian Electr. Veh. 2005, 3, 757–762. [Google Scholar] [CrossRef]
- Shao, K.; Zheng, J.; Huang, K. Robust active steering control for vehicle rollover prevention. Int. J. Model. Identif. Control. 2019, 32, 70–84. [Google Scholar] [CrossRef]
- Uchino, D.; Hirai, T.; Arai, S.; Ikeda, K.; Kato, T.; Liu, X.; Endo, A.; Kato, H.; Narita, T. Active Steering Wheel System for Ultra-Compact Mobility Vehicles: Operability Evaluation with Steering Burden in Various Drivers. J. Robot. Mechatron. 2021, 33, 1169–1177. [Google Scholar] [CrossRef]
- Liu, X.; Uchino, D.; Ikeda, K.; Endo, A.; Bin Peeie, M.H.; Narita, T.; Kato, H. Driving Assist System for Ultra-Compact EVs―Fundamental Consideration of Muscle Burden Owing to Differences in the Drivers’ Physiques. Actuators 2018, 7, 44. [Google Scholar] [CrossRef]
- Andreoni, G.; Santambrogio, G.C.; Rabuffetti, M.; Pedotti, A. Method for the analysis of posture and interface pressure of car drivers. Appl. Ergon. 2002, 33, 511–522. [Google Scholar] [CrossRef] [PubMed]
- Tamai, T.; Yamazaki, N. Operability and Physical Factors of Forward-Bent Driving Posture. Jpn. J. Ergon. 2006, 42, 180–181. [Google Scholar]
- Reed, M.P. Statistical and Biomechanical Prediction of Automobile Driving Posture. Ph.D. Thesis, University of Michigan, Ann Arbor, MI, USA, 1998. UMI nubber 9825331. [Google Scholar]
- Reed, M.P.; Manary, M.A.; Flannagan, C.A.C. Effects of Vehicle Interior Geometry and Anthropometric Variables on Au-tomobile Driving Posture. J. Hum. Factors Ergon. Soc. 2000, 42, 541–552. [Google Scholar] [CrossRef]
- Ito, K.; Hayakawa, S.; Goto, S.; Tsuda, S.; Ikeura, R.; Hayakawa, T. Decreasing method of increasing fatigue in driving focused on driving posture change with lumber support. IEEJ Trans. Electron. Inf. Syst. 2015, 135, 513–519. [Google Scholar] [CrossRef]
- Matsui, H. Determination of Center of Gravity of Human Body in Various Postures. Jpn. J. Phys. Educ. Health Sport Sci. 1956, 2, 65–76. [Google Scholar] [CrossRef]
- Ogawa, K. Evidence-Based Nursing Ergonomics and Body-Mechanics, 2nd ed.; Tokyo Denki University Press: Tokyo, Japan, 2003; p. 23. [Google Scholar]
- Yoshida, T.; Hase, K.; Obinata, G.; Hada, M. Analysis of Steering Operation Using a 3-Dimentional Musculo-Skeletal Model of the Upper Extremities and Evaluation about the Design Parameters of Steering Wheels. J. Soc. Biomech. 2010, 34, 41–52. [Google Scholar] [CrossRef]














| Properties | Values |
|---|---|
| Weight of the upper arm m1 [kgf] | 1.80 |
| Weight of the forearm m2 [kgf] | 1.80 |
| Length of the upper arm L1 [m] | 0.30 |
| Length of the forearm L2 [m] | 0.26 |
Disclaimer/Publisher’s Note: The statements, opinions and data contained in all publications are solely those of the individual author(s) and contributor(s) and not of MDPI and/or the editor(s). MDPI and/or the editor(s) disclaim responsibility for any injury to people or property resulting from any ideas, methods, instructions or products referred to in the content. |
© 2023 by the authors. Licensee MDPI, Basel, Switzerland. This article is an open access article distributed under the terms and conditions of the Creative Commons Attribution (CC BY) license (https://creativecommons.org/licenses/by/4.0/).
Share and Cite
Uchino, D.; Kobayashi, I.; Kuroda, J.; Ogawa, K.; Ikeda, K.; Kato, T.; Endo, A.; Kato, H.; Narita, T. A Basic Study for Active Steering Wheel System for Steering Burden Evaluation by Driving Position Focus on Driver’s Arm Size. Vehicles 2023, 5, 846-858. https://doi.org/10.3390/vehicles5030046
Uchino D, Kobayashi I, Kuroda J, Ogawa K, Ikeda K, Kato T, Endo A, Kato H, Narita T. A Basic Study for Active Steering Wheel System for Steering Burden Evaluation by Driving Position Focus on Driver’s Arm Size. Vehicles. 2023; 5(3):846-858. https://doi.org/10.3390/vehicles5030046
Chicago/Turabian StyleUchino, Daigo, Ikkei Kobayashi, Jumpei Kuroda, Kazuki Ogawa, Keigo Ikeda, Taro Kato, Ayato Endo, Hideaki Kato, and Takayoshi Narita. 2023. "A Basic Study for Active Steering Wheel System for Steering Burden Evaluation by Driving Position Focus on Driver’s Arm Size" Vehicles 5, no. 3: 846-858. https://doi.org/10.3390/vehicles5030046
APA StyleUchino, D., Kobayashi, I., Kuroda, J., Ogawa, K., Ikeda, K., Kato, T., Endo, A., Kato, H., & Narita, T. (2023). A Basic Study for Active Steering Wheel System for Steering Burden Evaluation by Driving Position Focus on Driver’s Arm Size. Vehicles, 5(3), 846-858. https://doi.org/10.3390/vehicles5030046

