Thermo-Catalytic Carbon Dioxide Hydrogenation to Ethanol
Abstract
1. Introduction
2. Homogeneous Catalytic Hydrogenation of CO2 to Ethanol
3. Heterogeneous Catalytic Hydrogenation of CO2 to Ethanol
3.1. Metal Oxide-Supported Catalysts
3.1.1. Slurry-Bed Reactor
3.1.2. Continuous Flow Reactor
3.2. SiO2-Supported Catalysts
3.3. Zeolite-Supported Catalysts
3.3.1. Slurry-Bed Reactor
3.3.2. Continuous Flow Reactor
3.4. Metal–Organic Framework (MOF)-Supported Catalysts
3.4.1. Slurry-Bed Reactor
3.4.2. Continuous Flow Reactor
3.5. Perovskite Oxides-Supported Catalysts
3.6. Metal Carbide Catalysts
3.7. Other Catalysts
4. Effect of Process Variables on the CO2 Hydrogenation to Ethanol
4.1. Effect of Reaction Temperature
4.2. Effect of H2:CO2 Ratio and Pressure
4.3. Effect of Reaction Time
4.4. Effect of Solvent
4.5. Effect of Promoter
4.6. Effect of Water
| Catalyst | Reactor Type | Reaction Conditions | Ethanol Selectivity | CO2 Conversion/% | STYEtOH | Ethanol Yield | TON | TOF /h−1 | Ref. | ||||
|---|---|---|---|---|---|---|---|---|---|---|---|---|---|
| T/°C | P/MPa | Solvent | H2/CO2 | ||||||||||
| Homogeneous | Co2(CO)8-Ru3(CO)12-KI | Slurry-bed | 200 | 11.8 | NMP | 5:1 | - | - | - | 32% | - | - | [48] |
| Ru3(CO)12-Co4(CO)12-PPNCl-LiBr | 200 | 9 | DMI | 6:3 | - | - | 29.5 C-mmol L−1 h−1 | - | - | - | [49] | ||
| Au11 | 120 | 3 | H2O | 3:1 | >80% | - | - | - | - | - | [50] | ||
| [Ru(CO)3Cl2]2-Co4(CO)12-LiI | 160 | 8 | NEP | 6:2 | 65 C-mol% | - | - | - | - | 7.5 | [52] | ||
| Ru3(CO)12-LiI/LiCl | 160 | 9 | [BmIm]Cl | 6:3 | 51.5 C-mol% | - | - | - | 36.8 | - | [53] | ||
| Ru(acac)3-CoBr2-LiI | 180 | 8 | DMI | 5:3 | 50.9 C-mol% | - | - | - | - | 17.9 | [54] | ||
| Ru(PPh3)3Cl2/CoI2-LiI | 180 | 8.5 | DMI | 4:4 | 71.7 C-mol% | - | 132.5 C-mmol L−1 h−1 | - | - | - | [55] | ||
| [RuCl2(CO)3]2-Co2(CO)8-LiI-triphos | 190 | 8 | DMI | 5:3 | 40.3% | - | - | - | 145 | - | [56] | ||
| Heterogeneous | Au/α-TiO2 | Slurry-bed | 200 | 6 | DMF | 4.5:1.5 | >99% | - | 942.8 mmol gAu−1 h−1 | - | - | - | [68] |
| Pd2Cu NPs/P25 | 200 | 3.2 | H2O | 2.4:0.8 | 92% | - | - | - | - | 359.0 | [69] | ||
| Ir1-In2O3 | 200 | 6 | H2O | 5:1 | 99.7% | - | - | - | - | 481 | [70] | ||
| Ir1-Px/In2O3 | 180 | 1 | H2O | 3:1 | 98.5% | - | 3.33 mmol gcat−1 h−1 | - | - | 914 | [71] | ||
| Pt/Co3O4 | 220 | 8 | DMI | 6:2 | 55% | 22.4 | 2.52 mmol g−1 h−1 | - | - | - | [72] | ||
| 1-Pt-Co3O4-250 | 240 | 3.2 | H2O | 3:1 | 87.9% | - | 0.265 mmol g−1 h−1 | - | - | - | [73] | ||
| Rh1/CeTiOx | 250 | 3 | H2O | 3:1 | ≈99.1% | 6.3 | - | - | - | 493.1 | [74] | ||
| Rh1/CeTiOx-LiI | 250 | 3 | MeOH | 3:1 | >99% | - | 223.1 mmol g−1 h−1 | - | - | - | [75] | ||
| CoCu-MCM-41 | 200 | 4 | H2O | 3:1 | 85.3% | - | 0.229 mmol gMetal−1 h−1 | - | - | - | [90] | ||
| Zr12-bpdc-CuCs | 100 | 2 | THF | 3:1 | 99% | 96 | 87.9 mmol gcat.−1 h−1 | - | 490 | - | [102] | ||
| Rh-N3P1 | 250 | 3 | H2O | 3:1 | 81.8% | 4.9 | - | - | - | 420.7 | [103] | ||
| CoMoCx | 180 | 2 | DMF | 3:1 | 97.4% | - | 0.528 mmol gcat.−1 h−1 | - | - | - | [109] | ||
| K0.2Rh0.2/β-Mo2C | 150 | 6 | 1,4 dioxane | - | 72.1% | - | 33.7 μmol g−1 h−1 | - | - | - | [110] | ||
| RhFeLi/TiO2 NR | Continuous flow | 250 | 3 | - | 3:1 | 32% | 15.0 | 1.65 mmol gcat.−1 h−1 | - | - | - | [64] | |
| NaCuFeZn | 360 | 5 | - | 3:1 | 74% (in total alcohol) | 28.3 | 92.7 mg gcat.−1 h−1 | - | - | - | [66] | ||
| Rh0.25Cu/TiO2 | 260 | 5 | - | 3:1 | 1.7% | 6.2 | 558 mg gRh−1 h−1 | - | - | - | [67] | ||
| Pd/Fe3O4 | 300 | 0.1 | - | 4:1 | 97.5% | 0.3 | 413 mmol EtOH gPd−1 h−1 | - | - | - | [76] | ||
| Pd2/CeO2 | 240 | 3 | - | 3:1 | 99.2% | 9.2 | 45.6 gEtOH gPd−1 h−1 | - | - | 211.7 | [77] | ||
| Cu/CeO2-x | 240 | 3 | - | 3:1 | 95% | 5 | - | - | - | 3.97 | [78] | ||
| Fe/Rh/CeO2 | 250 | 3 | - | 3:1 | 19.8% | 10.8 | 25.3 mmol gRh−1 h−1 | - | - | - | [79] | ||
| KFeCuZn/ZrO2 | 360 | 4 | - | 3:1 | 16.5% | 52.5 | 5.4 mmol gcat.−1 h−1 | - | - | - | [81] | ||
| Co@MgO-MgAl2O4 | 300 | 4 | - | 3:1 | 17.9% | 25.0 | 104.1 mmol g−1 h−1 | - | - | - | [82] | ||
| KFeRh/SiO2 | 250 | 5 | - | 3:1 | 15.9% | 18.4 | 21.4 mL g−1 h−1 | - | - | - | [86] | ||
| CoGa1.0Al1.0O4/SiO2 | 270 | 3 | - | 6:2 | 20.1% | 5.0 | 0.3 mmol g−1 h−1 | - | - | - | [87] | ||
| Cu@Na-Beta | 300 | 2.1 | - | 3:1 | 69.5% | 7.9 | 398 mg g−1 h−1 | 14% | - | - | [91] | ||
| Na-Rh@S-1 | 250 | 5 | - | 3:1 | 24% | 10 | 72 mmol gRh−1 h−1 | - | - | - | [94] | ||
| Cu/UiO-67 | 260 | 0.1 | - | 3:1 | 6.5% | 4.0 | 0.127 mmol g−1 h−1 | - | - | - | [104] | ||
| Cu(I)-HKUST-17.5 (NTP-assisted) | 35 | 0.1 | - | 3:1 | 62.9% | 41.2 | - | - | - | - | [105] | ||
| Co/La4Ga2O9 | 270 | 3.5 | - | 3:1 | 34.7% | 4.6 | - | - | - | - | [106] | ||
| Na–Co/SiO2 | 250 | 5 | - | 3:1 | 62.81% | 18.82 | - | - | - | - | [111] | ||
| 2%Na-Co/SiO2 | 310 | 5 | - | 3:1 | 52.8% (in total alcohol) | 53.2 | 1.1 mmol g−1 h−1 | - | - | - | [112] | ||
| 2%Na-Fe@C/5%KCuZnAl | 320 | 5 | - | 3:1 | 35% | 39.2 | - | 12.4% | - | - | [113] | ||
| Na-ZnFe@C | 320 | 5 | - | 3:1 | 20.3% | 38.4 | ~158.1 g kgcat−1 h−1 | - | - | - | [114] | ||
| 5Co/S-1 | 250 | 2 | - | 3:1 | 27% | 13.9 | 0.83 mmol gRh−1 h−1 | - | - | - | [115] | ||
| FeCuGaZn-0.75 | 340 | 5 | - | 3:1 | 23.1% | 26 | 88.9 mg gcat−1 h−1 | - | - | - | [116] | ||
| 4%Cs/25%Cu-25%Zn-50%Fe | 200-300 | 2 | - | 3:1 | 78.8% | 17 | 5 mmol gcat−1 h−1 | - | - | - | [117] | ||
| RhSC/CN | 240 | 5 | - | 3:1 | 95.3% | 9.3 | 17.5 mmol gcat−1 h−1 | - | - | 595.2 | [118] | ||
| 1%RhFeK/TiO2-DP | 200 | 3 | - | 3:1 | 33.4% | 8.6 | 40.6 mmol gRh−1 h−1 | - | - | - | [119] | ||
| MoOx/Rh/TiO2 | 180 | 4 | - | 3:1 | 4.5% | - | - | - | - | - | [121] | ||
| 3K-CuCo-1 | 200 | 3 | - | 3:1 | 38.8% | 4.9 | 0.61 mmol g−1 h−1 | - | - | - | [124] | ||
| 2Na-CoMnO | 240 | 3 | - | 3:1 | 18.89% | 54.31 | 1.27 mmol g−1 h−1 | - | - | - | [125] | ||
| K(1.6)/FeCuAl | 330 | 5 | - | 3:1 | 28.7% | 41.2 | 603 gAcHkgcat−1 h−1 | - | - | - | [126] | ||
| 1Pd2Ce@Si16 | 250 | 3 | - | 3:1 | 98.7% | 5.9 | 11.6 mmol gRh−1 h−1 | - | - | - | [129] | ||
| Cu | 190 | 0.1 | - | 1:1 | 84% | ~0.1 | ~2 μmol gcat−1 h−1 | - | - | - | [130] | ||
| CuO | 200 | 0.1 | - | 1:1 (H2O:CO2) | - | - | 0.78 μmol gcat−1 h−1 | - | - | - | [131] | ||
| Pt/CeOx/TiO2(110) | 277 | 5 | - | 9:1 | 21% | - | - | - | - | - | [132] | ||
| Ru/In2O3-ZrO2 | 225 | 0.6 | - | 3:1 | ~70% | 1 | 130 mg gRh−1 h−1 | 0.7% | - | - | [133] | ||
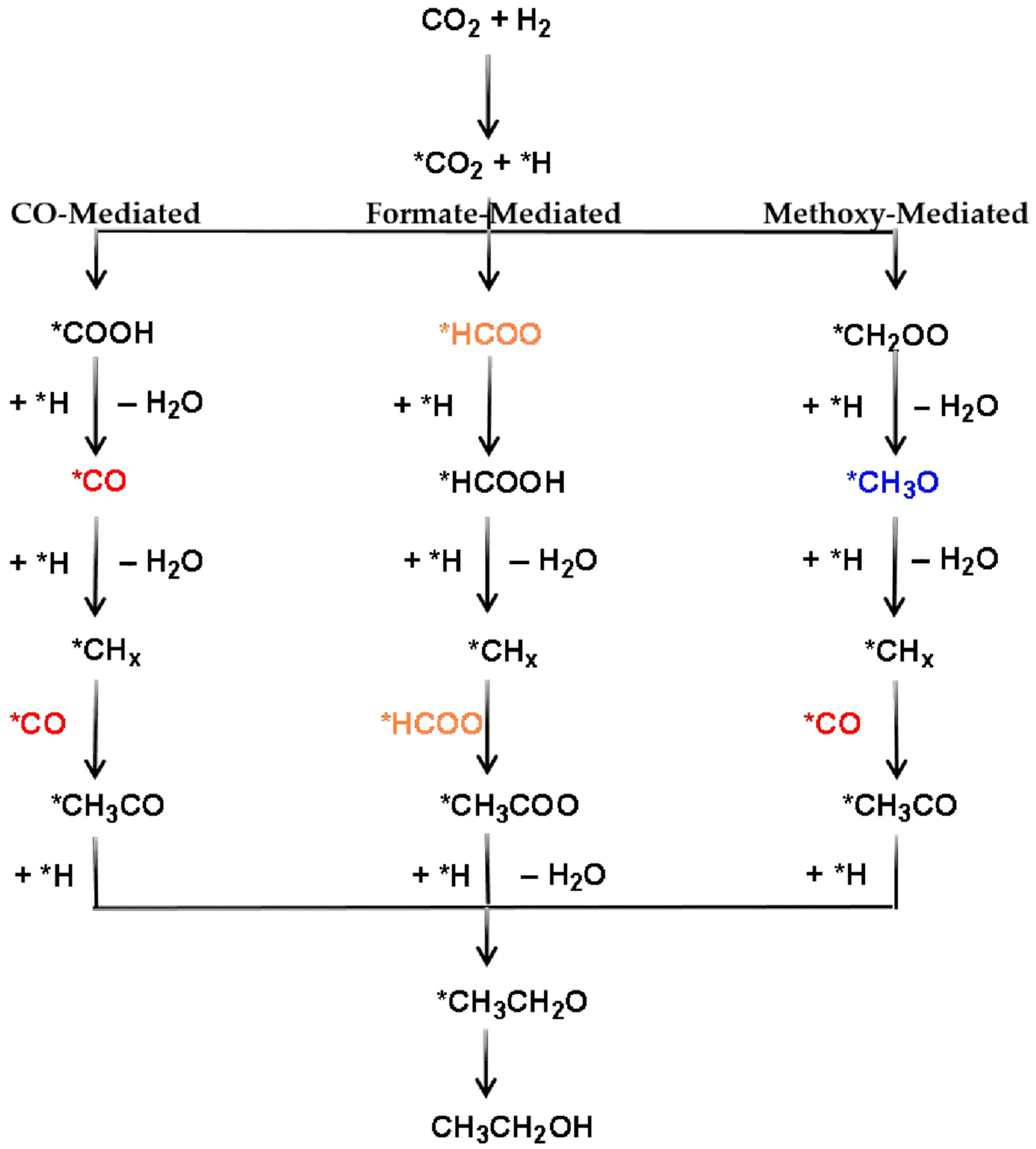
5. Mechanistic Aspects of Ethanol Synthesis via CO2 Hydrogenation
- (1)
- CO2 hydrogenation to ethanol
- (2)
- CO hydrogenation to ethanol
- (3)
- RWGS reaction
- (4)
- CO2 hydrogenation to methanol
- (5)
- CO2 hydrogenation to methane
5.1. CO-Mediated Mechanism
5.2. Methoxy-Mediated Mechanism
5.3. Formate-Mediated Mechanism
6. Conclusions and Future Directions
Author Contributions
Funding
Data Availability Statement
Conflicts of Interest
References
- Trends in Globally-Averaged CO2 Determined from NOAA Global Monitoring Laboratory Measurements. Available online: https://gml.noaa.gov/ccgg/trends/global.html?doi=10.15138/9n0h-zh07 (accessed on 5 September 2025).
- Bui, M.; Adjiman, C.S.; Bardow, A.; Anthony, E.J.; Boston, A.; Brown, S.; Fennell, P.S.; Fuss, S.; Galindo, A.; Hackett, L.A.; et al. Carbon capture and storage (CCS): The way forward. Energy Environ. Sci. 2018, 11, 1062–1176. [Google Scholar] [CrossRef]
- Zhang, X.G.; Abdul Raman, A.A.; Jewaratnam, J.; Buthiyappan, A. Sustainable carbon dioxide capture, storage, and utilization: Review of current status and future direction. Int. J. Environ. Sci. Technol. 2025, 22, 6125–6160. [Google Scholar] [CrossRef]
- Yasemi, S.; Khalili, Y.; Sanati, A.; Bagheri, M. Carbon capture and storage: Application in the oil and gas industry. Sustainability 2023, 15, 14486. [Google Scholar] [CrossRef]
- Yu, X.; Catanescu, C.O.; Bird, R.E.; Satagopan, S.; Baum, Z.J.; Lotti Diaz, L.M.; Zhou, Q.Q.A. Trends in research and development for CO2 capture and sequestration. ACS Omega 2023, 8, 11643–11664. [Google Scholar] [CrossRef]
- Martín, C.; Fiorani, G.; Kleij, A.W. Recent advances in the catalytic preparation of cyclic organic carbonates. ACS Catal. 2015, 5, 1353–1370. [Google Scholar] [CrossRef]
- Tlili, A.; Blondiaux, E.; Frogneux, X.; Cantat, T. Reductive functionalization of CO2 with amines: An entry to formamide, formamidine and methylamine derivatives. Green Chem. 2015, 17, 157–168. [Google Scholar] [CrossRef]
- Li, Y.Y.; Zhang, J.; Chen, X.L. Microbial conversion of CO2 to organic compounds. Energy Environ. Sci. 2024, 17, 7017–7034. [Google Scholar] [CrossRef]
- Chen, P.R.; Xia, P.F. Carbon recycling with synthetic CO2 fixation pathways. Curr. Opin. Biotech. 2024, 85, 103023. [Google Scholar] [CrossRef]
- Chakraborty, D.; Modak, A.; Bhaumik, A. Sustainable strategies for fixation of CO2 into valuable chemicals catalyzed by functionalized porous materials. ChemCatChem 2025, 17, e00807. [Google Scholar] [CrossRef]
- Liu, Z.H.; Qian, J.; Zhang, G.Y.; Zhang, B.; He, Y. Electrochemical CO2-to-CO conversion: A comprehensive review of recent developments and emerging trends. Sep. Purif. Technol. 2024, 330, 125177. [Google Scholar] [CrossRef]
- Santos, M.F.; Alcantara, M.L.; Nascimento, C.A.O.; Bassani, G.S.; Alves, R.M.B. Recent advances in the use of ionic liquids in the CO2 conversion to CO and C2+ hydrocarbons. Clean Techn. Environ. Policy 2024, 26, 11–29. [Google Scholar] [CrossRef]
- Sheng, Y.; Polynski, M.V.; Eswaran, M.K.; Zhang, B.K.; Lim, A.M.H.; Zhang, L.L.; Jiang, J.W.; Liu, W.; Kozlov, S.M. A review of mechanistic insights into CO2 reduction to higher alcohols for rational catalyst design. Appl. Catal. B Environ. 2024, 343, 123550. [Google Scholar] [CrossRef]
- Kostyniuk, A.; Likozar, B. State-of-the-art advancements in the thermocatalytic conversion of CO2 into ethanol and higher alcohols: Recent progress in catalyst development and reaction mechanisms. Chem. Eng. J. 2025, 503, 158467. [Google Scholar] [CrossRef]
- Zhang, Y.R.; Song, H.T.; Wang, Y.; Song, Y.; Ren, F.; Jiang, Q.Q.; Qian, Q.L.; Han, B.X. Rational design of catalysts for hydrocarboxylation with CO2 to afford C2+ carboxylic acids. Catal. Sci. Technol. 2025, 15, 3487–3501. [Google Scholar] [CrossRef]
- Zhang, X.F.; Huang, W.H.; Yu, L.; García-Melchor, M.; Wang, D.S.; Zhi, L.J.; Zhang, H.B. Enabling heterogeneous catalysis to achieve carbon neutrality: Directional catalytic conversion of CO2 into carboxylic acids. Carbon Energy 2024, 6, e362. [Google Scholar] [CrossRef]
- Dang, H.T.; Guan, B.; Chen, J.Y.; Ma, Z.R.; Chen, Y.J.; Zhang, J.H.; Guo, Z.L.; Chen, L.; Hu, J.Q.; Yi, C.; et al. Research status, challenges, and future prospects of carbon dioxide reduction technology. Energy Fuels 2024, 38, 4836–4880. [Google Scholar] [CrossRef]
- Chen, L.; Zhang, C.B.; Jiao, X.C. Recent advances of in situ insights into CO2 reduction toward fuels. ChemCatChem 2025, 17, e202401388. [Google Scholar] [CrossRef]
- Fors, S.A.; Malapit, C.A. Homogeneous catalysis for the conversion of CO2, CO, CH3OH, and CH4 to C2+ Chemicals via C−C Bond Formation. ACS Catal. 2023, 13, 4231–4249. [Google Scholar] [CrossRef]
- Gao, P.; Zhang, L.N.; Li, S.G.; Zhou, Z.X.; Sun, Y.H. Novel heterogeneous catalysts for CO2 hydrogenation to liquid fuels. ACS Cent. Sci. 2020, 6, 1657–1670. [Google Scholar] [CrossRef]
- Balat, M.; Balat, H. Recent trends in global production and utilization of bio-ethanol fuel. Appl. Energ. 2009, 86, 2273–2282. [Google Scholar] [CrossRef]
- Barthos, R.; Széchenyi, A.; Solymosi, F. Efficient H2 production from ethanol over Mo2C/C nanotube catalyst. Catal. Lett. 2008, 120, 161–165. [Google Scholar] [CrossRef]
- Kumar, S.; Singh, N.; Prasad, R. Anhydrous ethanol: A renewable source of energy. Renew. Sust. Energ. Rew. 2010, 14, 1830–1844. [Google Scholar] [CrossRef]
- Mussatto, S.I.; Dragone, G.; Guimarães, P.M.R.; Silva, J.P.A.; Carneiro, L.M.; Roberto, I.C.; Vicente, A.; Domingues, L.; Teixeira, J.A. Technological trends, global market, and challenges of bio-ethanol production. Biotechnol. Adv. 2010, 28, 817–830. [Google Scholar] [CrossRef] [PubMed]
- Ahmed, A.T.; Sekac, T.; Altalbawy, F.M.A.; Al-Hetty, H.R.A.K.; Ramachandran, T.; Chahar, M.; Chohan, J.S.; Singh, K.; Abosaoda, M.K.; Abbas, J.M. Recent developments in catalytic CO2-to-ethanol conversion technologies. ChemistrySelect 2025, 10, e202404724. [Google Scholar] [CrossRef]
- Li, X.P.; Ke, J.C.; Li, R.; Li, P.; Ma, Q.X.; Zhao, T.S. Research progress of hydrogenation of carbon dioxide to ethanol. Chem. Eng. Sci. 2023, 282, 119226. [Google Scholar] [CrossRef]
- Gao, J.J.; Shiong, S.C.S.; Liu, Y. Reduction of CO2 to chemicals and fuels: Thermocatalysis versus electrocatalysis. Chem. Eng. J. 2023, 472, 145033. [Google Scholar] [CrossRef]
- Han, G.H.; Bang, J.B.; Park, G.; Choe, S.; Jang, Y.J.; Jang, H.W.; Kim, S.Y.; Ahn, S.H. Recent advances in electrochemical, photochemical, and photoelectrochemical reduction of CO2 to C2+ Products. Small 2023, 19, 2205765. [Google Scholar] [CrossRef]
- Ait El Fakir, A.; Du, P.F.; Yang, B.; MD Dostagir, N.H.; Fischer, J.W.A.; Anzai, A.; Shimizu, K.; Toyao, T. A review on catalytic ethanol synthesis via hydrogenation of carbon dioxide. ChemSusChem 2025, 18, e202500188. [Google Scholar] [CrossRef]
- Ali, S.S.; Ali, S.S.; Tabassum, N. A review on CO2 hydrogenation to ethanol: Reaction mechanism and experimental studies. J. Environ. Chem. Eng. 2022, 10, 106962. [Google Scholar] [CrossRef]
- Bo, F.; Zhao, H.B.; Li, X.G.; Tan, L. Recent advances in thermal catalytic hydrogenation of carbon dioxide to ethanol. Sci. China Chem. 2025. [Google Scholar] [CrossRef]
- Guo, L.S.; Sun, J.; Ge, Q.J.; Tsubaki, N. Recent advances in direct catalytic hydrogenation of carbon dioxide to valuable C2+ hydrocarbons. J. Mater. Chem. A 2018, 6, 23244–23262. [Google Scholar] [CrossRef]
- Zhang, Q.; Wang, S.; Dong, M.; Wang, J.G.; Fan, W.B. Recent advances in CO2 hydrogenation to higher alcohols. Sci. China Chem. 2025, 68, 2310–2321. [Google Scholar] [CrossRef]
- Haider, M.; Gogate, M.; Davis, R. Fe-promotion of supported Rh catalysts for direct conversion of syngas to ethanol. J. Catal. 2009, 261, 9–16. [Google Scholar] [CrossRef]
- Tran, C.C.; Kaliaguine, S. Rhodium-doped iron oxides promoted by sodium for highly selective hydrogenation of CO2 to ethanol and C2+ hydrocarbons. Chem. Eng. J. 2024, 496, 153636. [Google Scholar] [CrossRef]
- He, Y.M.; Müller, F.H.; Palkovits, R.; Zeng, F.; Mebrahtu, C. Tandem catalysis for CO2 conversion to higher alcohols: A review. Appl. Catal. B Environ. Energy 2024, 345, 123663. [Google Scholar] [CrossRef]
- Latsiou, A.I.; Charisiou, N.D.; Frontistis, Z.; Bansode, A.; Goula, M.A. CO2 hydrogenation for the production of higher alcohols: Trends in catalyst developments, challenges and opportunities. Catal. Today 2023, 420, 114179. [Google Scholar] [CrossRef]
- Zeng, F.; Mebrahtu, C.; Xi, X.Y.; Liao, L.F.; Ren, J.; Xie, J.X.; Heeres, H.J.; Palkovits, R. Catalysts design for higher alcohols synthesis by CO2 hydrogenation: Trends and future perspectives. Appl. Catal. B Environ. 2021, 291, 120073. [Google Scholar] [CrossRef]
- Xu, D.; Wang, Y.Q.; Ding, M.Y.; Hong, X.L.; Liu, G.L.; Tsang, S.C.E. Advances in higher alcohol synthesis from CO2 hydrogenation. Chem 2021, 7, 849–881. [Google Scholar] [CrossRef]
- Zhang, S.N.; Wu, Z.X.; Liu, X.F.; Hua, K.M.; Shao, Z.L.; Wei, B.Y.; Huang, C.J.; Wang, H.; Sun, Y.H. A short review of recent advances in direct CO2 hydrogenation to alcohols. Top. Catal. 2021, 64, 371–394. [Google Scholar] [CrossRef]
- Liu, S.L.; He, Y.M.; Fu, W.J.; Chen, J.; Ren, J.; Liao, L.F.; Sun, R.Y.; Tang, Z.C.; Mebrahtu, C.; Zeng, F. Hetero-site cobalt catalysts for higher alcohols synthesis by CO2 hydrogenation: A review. J. CO2 Util. 2023, 67, 102322. [Google Scholar] [CrossRef]
- Mao, Y.Z.; Zha, F.; Tian, H.F.; Tang, X.H.; Chang, Y.; Guo, X.J. Progress in the thermo-catalytic hydrogenation of CO2 to ethanol. J. Fuel Chem. Technol. 2023, 51, 1514–1528. [Google Scholar] [CrossRef]
- Zhang, J.Y.; Zeng, F.; Fan, X.L.; Chen, H.H. Review on the pivotal role of interfacial sites in multicomponent catalysts for promoting selective COx hydrogenation to ethanol. ChemCatChem 2025, 17, e01092. [Google Scholar] [CrossRef]
- Chen, Y.Z.; Liu, D.H. Reductive carbonylation of methanol for ethanol production in Rh-Ru-dppp-methyl iodide catalytic system under mild conditions—The effect of lithium salts and catalyst composition. Fuel Process. Technol. 2018, 171, 301–307. [Google Scholar] [CrossRef]
- Blank, J.H.; Hembre, R.; Ponasik, J.; Cole-Hamilton, D.J. Alternative pathways in the ruthenium catalysed hydrogenation of CO to alcohols. Catal. Sci. Technol. 2014, 4, 218–223. [Google Scholar] [CrossRef]
- Blank, J.H.; Hembre, R.; Ponasik, J.; Cole-Hamilton, D.J. A tertiary phosphonium salt as a promoter for the hydrogenation of CO. ChemCatChem 2013, 5, 1075–1078. [Google Scholar] [CrossRef]
- Warren, B.K.; Dombek, B.D. Ethanol from H2 and CO via homogeneous ruthenium catalysis. J. Catal. 1983, 79, 334–347. [Google Scholar] [CrossRef]
- Tominaga, K.I.; Sasaki, Y.; Saito, M.; Hagihara, K.; Watanabe, T. Homogeneous Ru-Co bimetallic catalysis in CO2 hydrogenation: The formation of ethanol. J. Mol. Catal. 1994, 89, 51–55. [Google Scholar] [CrossRef]
- Cui, M.; Qian, Q.L.; He, Z.H.; Zhang, Z.F.; Ma, J.; Wu, T.B.; Yang, G.Y.; Han, B.X. Bromide promoted hydrogenation of CO2 to higher alcohols using Ru–Co homogeneous catalyst. Chem. Sci. 2016, 7, 5200–5205. [Google Scholar] [CrossRef]
- Yang, D.; Pei, W.; Zhou, S.; Zhao, J.J.; Ding, W.P.; Zhu, Y. Controllable conversion of CO2 on non-metallic gold clusters. Angew. Chem. Int. Ed. 2020, 59, 1919–1924. [Google Scholar] [CrossRef]
- Tominaga, K.; Sasaki, Y.; Watanabe, T.; Saito, M. Methanol homologation using carbon dioxide catalyzed by ruthenium-cobalt bimetallic complex system. Stud. Surf. Sci. Catal. 1998, 114, 495–498. [Google Scholar]
- Wang, Y.; Zhang, J.J.; Qian, Q.L.; Bediako, B.B.A.; Cui, M.; Yang, G.Y.; Yan, J.; Han, B.X. Efficient synthesis of ethanol by methanol homologation using CO2 at lower temperature. Green Chem. 2019, 21, 589–596. [Google Scholar] [CrossRef]
- Bediako, B.B.A.; Qian, Q.L.; Zhang, J.J.; Wang, Y.; Shen, X.J.; Shi, J.B.; Cui, M.; Yang, G.Y.; Wang, Z.; Tong, S.R.; et al. Ru-Catalyzed methanol homologation with CO2 and H2 in an ionic liquid. Green Chem. 2019, 21, 4152–4158. [Google Scholar] [CrossRef]
- Zhang, J.J.; Qian, Q.L.; Cui, M.; Chen, C.J.; Liu, S.S.; Han, B.X. Synthesis of ethanol from paraformaldehyde, CO2 and H2. Green Chem. 2017, 19, 4396–4401. [Google Scholar] [CrossRef]
- Qian, Q.L.; Cui, M.; Zhang, J.J.; Xiang, J.F.; Song, J.L.; Yang, G.Y.; Han, B.X. Synthesis of ethanolviaa reaction of dimethyl ether with CO2 and H2. Green Chem. 2018, 20, 206–213. [Google Scholar] [CrossRef]
- Zhang, J.J.; Qian, Q.L.; Wang, Y.; Asare Bediako, B.B.; Yan, J.; Han, B.X. Synthesis of ethanol from aryl methyl ether/lignin, CO2 and H2. Chem. Sci. 2019, 10, 10640–10646. [Google Scholar] [CrossRef]
- Fan, W.K.; Tahir, M. Recent developments in photothermal reactors with understanding on the role of light/heat for CO2 hydrogenation to fuels: A review. Chem. Eng. J. 2022, 427, 131617. [Google Scholar] [CrossRef]
- Suryawanshi, P.L.; Gumfekar, S.P.; Bhanvase, B.A.; Sonawane, S.H.; Pimplapure, M.S. A review on microreactors: Reactor fabrication, design, and cutting-edge applications. Chem. Eng. Sci. 2018, 189, 431–448. [Google Scholar] [CrossRef]
- Wang, G.S. Study on Structural Construction and Reaction Mechanism of Catalyst for CO2 Hydrogenation to Ethanol; Tianjin University: Tianjin, China, 2019. [Google Scholar]
- Zhang, J.W.; Sewell, C.; Huang, H.W.; Lin, Z.Q. Closing the anthropogenic chemical carbon cycle toward a sustainable future via CO2 valorization. Adv. Energy. Mater. 2021, 11, 2102767. [Google Scholar] [CrossRef]
- Regaladovera, C.; Manavi, N.; Zhou, Z. Mechanistic understanding of support effect on the activity and selectivity of indium oxide catalysts for CO2 hydrogenation. Chem. Eng. J. 2021, 426, 131767. [Google Scholar] [CrossRef]
- Zhang, M.H.; Yao, R.; Jiang, H.X.; Li, G.M.; Chen, Y.F. Insights into the mechanism of acetic acid hydrogenation to ethanol on Cu (111) surface. Appl. Surf. Sci. 2017, 412, 342–349. [Google Scholar] [CrossRef]
- Hu, S.L.; Li, W. Sabatier principle of metal-support interaction for design of ultrastable metal nanocatalysts. Science 2021, 374, 1360–1365. [Google Scholar] [CrossRef]
- Yang, C.S.; Mu, R.T.; Wang, G.S.; Song, J.M.; Tian, H.; Zhao, Z.J.; Gong, J.L. Hydroxyl-mediated ethanol selectivity of CO2 hydrogenation. Chem. Sci. 2019, 10, 3161–3167. [Google Scholar] [CrossRef] [PubMed]
- Tong, X.M.; Han, S.M. Research progress on the effect of supported metal nano-catalysts on catalytic reaction performance. Yunnan Chem. Technol. 2021, 48, 12–13. [Google Scholar]
- Liu, Y.Q.; Ma, Y.L.; Pu, X.; Han, X.; Ye, L.; Kong, L.T.; Li, J.B.; Zhang, J.; Xu, H.T.; Qin, X.L.; et al. Influence of supports in CuFe-based catalysts for hydrogenation of CO2 to ethanol. Fuel 2025, 395, 135192. [Google Scholar] [CrossRef]
- Zhang, W.Y.; Zhang, J.Y.; Kou, Z.L.; Zeng, F.; Chen, H.H. Importance of metal intimacy in tuning CO2 hydrogenation selectivity over Cu-exchanged TiO2 supported Rh catalysts via enhanced CO intermediate interaction. Catal. Sci. Technol. 2025, 15, 6805–6816. [Google Scholar] [CrossRef]
- Wang, D.; Bi, Q.Y.; Yin, G.H.; Zhao, W.L.; Huang, F.Q.; Xie, X.M.; Jiang, M.H. Direct synthesis of ethanol via CO2 hydrogenation using supported gold catalysts. Chem. Commun. 2016, 52, 14226–14229. [Google Scholar] [CrossRef]
- Bai, S.; Shao, Q.; Wang, P.; Dai, Q.; Wang, X.; Huang, X. Highly active and selective hydrogenation of CO2 to ethanol by ordered Pd–Cu nanoparticles. J. Am. Chem. Soc. 2017, 139, 6827–6830. [Google Scholar] [CrossRef]
- Ye, X.; Yang, C.Y.; Pan, X.L.; Ma, J.G.; Zhang, Y.R.; Ren, Y.J.; Liu, X.Y.; Li, L.; Huang, Y.Q. Highly selective hydrogenation of CO2 to ethanol via designed bifunctional Ir1-In2O3 single-atom catalyst. J. Am. Chem. Soc. 2020, 142, 19001–19005. [Google Scholar] [CrossRef]
- Liu, L.Y.; Liu, J.J.; Li, G.C.; Shi, X.W.; Yin, J.; Zheng, S.R.; Yung, K.F.; Yang, H.B.; Benedict Lo, T.W. Exceptional CO2 hydrogenation to ethanol via precise single-atom Ir deposition on functional P islands. Angew. Chem. Int. Ed. 2025, 64, e202422744. [Google Scholar] [CrossRef]
- He, Z.H.; Qian, Q.L.; Ma, J.; Meng, Q.L.; Zhou, H.C.; Song, J.L.; Liu, Z.M.; Han, B.X. Water-Enhanced Synthesis of Higher Alcohols from CO2 Hydrogenation over a Pt/Co3O4 Catalyst under Milder Conditions. Angew. Chem. Int. Ed. 2016, 55, 737–741. [Google Scholar] [CrossRef]
- Huang, Y.K.; Guo, M.H.; Wu, L.; Ding, J.; Zhong, Q. CO2 hydrogenation to ethanol over Pt-Co3O4 catalysts: Effects of Pt promoter. J. Environ. Sci. 2025, 157, 524–533. [Google Scholar] [CrossRef] [PubMed]
- Zheng, K.; Li, Y.F.; Liu, B.; Jiang, F.; Xu, Y.B.; Liu, X.H. Ti-doped CeO2 stabilized single-atom rhodium catalyst for selective and stable CO2 hydrogenation to ethanol. Angew. Chem. Int. Ed. 2022, 61, e202210991. [Google Scholar] [CrossRef] [PubMed]
- Zheng, K.; Li, Y.F.; He, H.H.; Liu, B.; Xu, Y.B.; Liu, X.H. Lithium iodide promoted CO2 hydrogenation towards ethanol via biphasic lewis-acid-base pairs synergistic catalysis. J. Catal. 2024, 440, 115832. [Google Scholar] [CrossRef]
- Caparros, F.; Soler, L.; Rossell, M.; Angurell, I.; Piccolo, L.; Rossell, O.; Llorca, J. Remarkable carbon dioxide hydrogenation to ethanol on a palladium/iron oxide single-atom catalyst. ChemCatChem 2018, 10, 2365–2369. [Google Scholar] [CrossRef]
- Lou, Y.; Jiang, F.; Zhu, W.; Wang, L.; Yao, T.; Wang, S.; Yang, B.; Yang, B.; Zhu, Y.; Liu, X. CeO2 supported Pd dimers boosting CO2 hydrogenation to ethanol. Appl. Catal. B Environ. 2021, 291, 120122. [Google Scholar] [CrossRef]
- Herrero, J.; He, P.L.; Yang, F.; Weng, J.P.; LiBretto, N.J.; Mainardi, D.S.; Miller, J.T.; Wu, Y.; Xiao, Y. Synergy of Cu(I) and oxygen vacancies in CO2 hydrogenative coupling to ethanol on Cu/CeO2−x catalysts. Nano Res. 2025, 18, 94907518. [Google Scholar] [CrossRef]
- Yu, J.; Xu, R.; Guo, Y.; Mao, D.S.; Meng, T.; Zheng, X.; Mao, H.F. Stepwise Fe introduction tailors Rh-CeO2 active sites for selective CO2 hydrogenation to ethanol. Fuel Process. Technol. 2025, 278, 108347. [Google Scholar] [CrossRef]
- Wang, X.; Ramírez, P.J.; Liao, W.; Rodriguez, J.A.; Liu, P. Cesium-induced active sites for C−C coupling and ethanol synthesis from CO2 hydrogenation on Cu/ZnO () surfaces. J. Am. Chem. Soc. 2021, 143, 13103–13112. [Google Scholar] [CrossRef]
- Du, P.F.; Ait El Fakir, A.; Zhao, S.R.; Dostagir, N.H.M.D.; Pan, H.L.; Ting, K.W.; Mine, S.; Qian, Y.C.; Shimizu, K.; Toyao, T. Ethanol synthesis via catalytic CO2 hydrogenation over multi-elemental KFeCuZn/ZrO2 catalyst. Chem. Sci. 2024, 15, 15925–15934. [Google Scholar] [CrossRef]
- Das, S.; Yadav, G.D. Tailored design of novel Co0-Coδ+ dual phase nanoparticles for selective CO2 hydrogenation to ethanol. J. Environ. Sci. 2025, 149, 598–615. [Google Scholar] [CrossRef]
- Kusama, H.; Okabe, K.; Sayama, K.; Arakawa, H. Ethanol synthesis by catalytic hydrogenation of CO2 over Rh-Fe/SiO2 catalysts. Energy 1997, 22, 343–348. [Google Scholar] [CrossRef]
- Liu, Q.Y.; Fan, W. Recent advances in the synthesis of mesoporous zeolites by post-synthetic method, supramolecular self-assembly and mesopore generation agent. Chem. J. Chin. Univ. 2021, 42, 60–73. [Google Scholar]
- Shawabkeh, R.; Faqir, N.; Rawajfeh, K.; Hussien, I.A.; Hamza, A. Adsorption of CO2 on Cu/SiO2 nano-catalyst: Experimental and theoretical study. Appl. Surf. Sci. 2022, 586, 152726. [Google Scholar] [CrossRef]
- Goryachev, A.; Pustovarenko, A.; Shetrk, G.; Alhajri, N.S.; Jamal, A.; Albuali, M.; Koppen, L.; Khan, S.; Russkikb, A.; Ramirez, A.; et al. A multi-parametric catalyst screening for CO2 hydrogenation to ethanol. ChemCatChem 2021, 13, 3324–3332. [Google Scholar] [CrossRef]
- An, K.; Zhang, S.; Wang, H.; Li, N.Y.; Zhang, Z.Y.; Liu, Y. Co0-Coδ+ active pairs tailored by Ga-Al-O spinel for CO2-to-ethanol synthesis. Chem. Eng. J. 2022, 433, 134606. [Google Scholar] [CrossRef]
- Li, X.L.; Yang, G.H.; Zhang, M.; Gao, X.F.; Xie, H.J.; Bai, Y.X.; Wu, Y.Q.; Pan, J.X.; Tan, Y.S. Insight into the correlation between Cu species evolution and ethanol selectivity in the direct ethanol synthesis from CO hydrogenation. ChemCatChem 2019, 11, 1123–1130. [Google Scholar] [CrossRef]
- Pujadó, P.R.; Rabó, J.A.; Antos, G.J.; Gembicki, S.A. Industrial catalytic applications of molecular sieves. Catal. Today 1992, 13, 113–141. [Google Scholar] [CrossRef]
- Wang, Z.Y.; Yang, C.S.; Li, X.H.; Song, X.W.; Pei, C.L.; Zhao, Z.J.; Gong, J.L. The role of CO2 dissociation in CO2 hydrogenation to ethanol on CoCu/silica catalysts. Nano Res. 2023, 16, 6128–6133. [Google Scholar] [CrossRef]
- Ding, L.P.; Shi, T.T.; Gu, J.; Cui, Y.; Zhang, Z.Y.; Yang, C.J.; Chen, T.; Lin, M.; Wang, P.; Xue, N.H.; et al. CO2 hydrogenation to ethanol over Cu@Na-Beta. Chem 2020, 6, 2673–2689. [Google Scholar] [CrossRef]
- Chen, Y.; Zhu, X.X.; Wang, X.P.; Su, Y.P. A reliable protocol for fast and facile constructing multi-hollow silicalite-1 and encapsulating metal nanoparticles within the hierarchical zeolite. Chem. Eng. J. 2021, 419, 129641. [Google Scholar] [CrossRef]
- Wang, C.T.; Zhang, J.; Qin, G.Q.; Wang, L.; Zuidema, E.; Yang, Q.; Dang, S.H.; Yang, C.G.; Xiao, J.P.; Meng, X.J.; et al. Direct conversion of syngas to ethanol within zeolite crystals. Chem 2020, 6, 646–657. [Google Scholar] [CrossRef]
- Zhang, F.Y.; Zhou, W.; Xiong, X.W.; Wang, Y.H.; Cheng, K.; Kang, J.C.; Zhang, Q.H.; Wang, Y. Selective hydrogenation of CO2 to ethanol over sodium-modified rhodium nanoparticles embedded in zeolite silicalite-1. J. Phys. Chem. C 2021, 125, 24429–24439. [Google Scholar] [CrossRef]
- Zhang, Q.; Wang, S.; Dong, M.; Fan, W.B. CO2 hydrogenation on metal-organic frameworks-based catalysts: A mini review. Front. Chem. 2022, 10, 956223. [Google Scholar] [CrossRef] [PubMed]
- Qin, Z.; Li, H.; Yang, X.F.; Chen, L.Y.; Li, Y.W.; Shen, K. Heterogenizing homogeneous cocatalysts by well-designed hollow MOF-based nanoreactors for efficient and size-selective CO2 fixation. Appl. Catal. B Environ. 2022, 307, 121163. [Google Scholar] [CrossRef]
- Lu, X.F.; Liu, Y.; He, Y.R.; Kuhn, A.N.; Shih, P.C.; Sun, C.J.; Wen, X.D.; Shi, C.; Yang, H. Cobalt-based nonprecious metal catalysts derived from metal-organic frameworks for high-rate hydrogenation of carbon dioxide. ACS Appl. Mater. Inter. 2019, 11, 27717–27726. [Google Scholar] [CrossRef]
- Gutterod, E.; Lazzarini, A.; Fjermestad, T.; Kaur, G.; Manzoli, M.; Bordiga, S.; Svelle, S.; Lillerud, K.P.; Skulason, E.; Øien, S.; et al. Hydrogenation of CO2 to methanol by Pt nanoparticles encapsulated in UiO-67: Deciphering the role of the metalorganic framework. J. Am. Chem. Soc. 2020, 142, 999–1009. [Google Scholar] [CrossRef]
- Zeng, L.; Cao, Y.; Li, Z.; Dai, Y.; Wang, Y.; An, B.; Zhang, J.; Li, H.; Zhou, Y.; Lin, W. Multiple cuprous centers supported on a titanium-based metal–organic framework catalyze CO2 hydrogenation to ethylene. ACS Catal. 2021, 11, 11696–11705. [Google Scholar] [CrossRef]
- Choe, K.; Zheng, F.; Wang, H.; Yuan, Y.; Zhao, W.; Xue, G.; Qiu, X.; Ri, M.; Shi, X.; Wang, Y.; et al. Fast and selective semihydrogenation of alkynes by palladium nanoparticles sandwiched in metal–organic frameworks. Angew. Chem. Int. Ed. 2020, 59, 3650–3657. [Google Scholar] [CrossRef]
- Fan, Y.; Zhang, J.; Shen, Y.; Zheng, B.; Zhang, W.N.; Huo, F.W. Emerging porous nanosheets: From fundamental synthesis to promising applications. Nano Res. 2021, 14, 1–28. [Google Scholar] [CrossRef]
- An, B.; Li, Z.; Song, Y.; Zhang, J.Z.; Zeng, L.Z.; Wang, C.; Lin, W.B. Cooperative copper centres in a metal-organic framework for selective conversion of CO2 to ethanol. Nat. Catal. 2019, 2, 709–717. [Google Scholar] [CrossRef]
- Zheng, K.; Li, Y.F.; Liu, B.; Chen, J.; Xu, Y.B.; Li, Z.J.; Liu, X.H. Phosphorus-substituted atomically dispersed Rh-N3P1 sites for efficient promotion in CO2 hydrogenation towards ethanol production. Appl. Catal. B Environ. Energy 2024, 346, 123730. [Google Scholar] [CrossRef]
- De Paula, L.N.R.; Gomes, J.F.; Assaf, J.M. Impact of the copper load on the performance of Cu/UiO-67 in CO2 hydrogenation to ethanol at atmospheric pressure. Catal. Today 2025, 444, 115014. [Google Scholar] [CrossRef]
- Zou, N.; Chen, J.; Qiu, T.; Zheng, Y. Direct hydrogenation of CO2 to ethanol at ambient conditions using Cu(I)-MOF in a dielectric barrier discharge plasma reactor. J. Mater. Chem. A 2023, 11, 10766–10775. [Google Scholar] [CrossRef]
- An, K.; Zhang, S.R.; Wang, J.M.; Liu, Q.; Zhang, Z.Y.; Liu, Y. A highly selective catalyst of Co/La4Ga2O9 for CO2 hydrogenation to ethanol. J. Energy. Chem. 2021, 56, 486–495. [Google Scholar] [CrossRef]
- Hou, Y.H.; Wang, X.Y.; Chen, M.; Gao, X.Y.; Liu, Y.Z.; Guo, Q.J. Sr1−xKxFeO3 perovskite catalysts with enhanced RWGS reactivity for CO2 hydrogenation to light olefins. Atmosphere 2022, 13, 760. [Google Scholar] [CrossRef]
- Bugyi, L.; Oszkó, A.; Solymosi, F. Spectroscopic study on the formation of CO−2 on K-promoted Mo2C/Mo (100) surface. Surf. Sci. 2000, 461, 177−190. [Google Scholar] [CrossRef]
- Zhang, H.Y.; Han, H.; Xiao, L.F.; Wu, W. Highly selective synthesis of ethanol via CO2 hydrogenation over CoMoCx catalysts. ChemCatChem 2021, 13, 3333–3339. [Google Scholar] [CrossRef]
- Ye, X.; Ma, J.G.; Yu, W.G.; Pan, X.L.; Yang, C.Y.; Wang, C.; Liu, Q.G.; Huang, Y.Q. Construction of bifunctional single-atom catalysts on the optimized β-Mo2C surface for highly selective hydrogenation of CO2 into ethanol. J. Energy Chem. 2022, 67, 184–192. [Google Scholar] [CrossRef]
- Zhang, S.N.; Liu, X.F.; Shao, Z.L.; Wang, H.; Sun, Y.H. Direct CO2 hydrogenation to ethanol over supported Co2C catalysts: Studies on support effects and mechanism. J. Catal. 2020, 382, 86–96. [Google Scholar] [CrossRef]
- Zhang, S.N.; Wu, Z.X.; Liu, X.F.; Shao, Z.L.; Xia, L.; Zhong, L.S.; Wang, H.; Sun, Y.H. Tuning the interaction between Na and Co2C to promote selective CO2 hydrogenation to ethanol. Appl. Catal. B Environ. 2021, 293, 120207. [Google Scholar] [CrossRef]
- Wang, Y.; Wang, K.Z.; Zhang, B.Z.; Peng, X.B.; Gao, X.H.; Yang, G.H.; Hu, H.; Wu, M.B.; Tsubaki, N. Direct conversion of CO2 to ethanol boosted by intimacy-sensitive multifunctional catalysts. ACS Catal. 2021, 11, 11742–11753. [Google Scholar] [CrossRef]
- Wang, Y.; Wang, W.H.; He, R.S.; Li, M.; Zhang, J.Q.; Cao, F.L.; Liu, J.X.; Lin, S.Y.; Gao, X.H.; Yang, G.H.; et al. Carbon-based electron buffer layer on ZnOx-Fe5C2-Fe3O4 boosts ethanol synthesis from CO2 hydrogenation. Angew. Chem. Int. Ed. 2023, 62, e202311786. [Google Scholar] [CrossRef] [PubMed]
- Ding, X.C.; Fu, J.Y.; Lyu, Y.C.; Ma, L.S.; Xu, Y.K.; Liu, X.M. Active sites of the cobalt catalysts controlled by surface silanols of silicalite-1 in CO2 hydrogenation to ethanol. Chem. Eng. J. 2024, 494, 152923. [Google Scholar] [CrossRef]
- Ma, Y.L.; Liu, Y.Q.; Huang, Z.Y.; Han, X.; Ye, L.; Qin, X.L.; Xu, H.T.; Kong, L.T.; Li, J.B.; Zhang, J.; et al. Ga modulation of C1 intermediates at Cu-FeOx interfaces for efficient CO2 hydrogenation to ethanol. Sep. Purif. Technol. 2025, 364, 132583. [Google Scholar] [CrossRef]
- Kostyniuk, A.; Likozar, B. High-yield ethanol production via thermocatalytic CO2 hydrogenation over Cs/CuZnFe catalyst in a continuous flow reactor. Chem. Eng. J. 2025, 520, 166135. [Google Scholar] [CrossRef]
- Wang, H.; Gong, C.F.; Xin, X.; Li, S.G.; Zhang, J.; Ye, B.H.; Bu, X.N.; Li, J.; Gao, P. Construction of single-cluster rhodium catalyst for efficient CO2 hydrogenation to ethanol. Angew. Chem. Int. Ed. 2025, 64, e202516545. [Google Scholar] [CrossRef]
- Chen, Y.; Zhou, D.W.; Chang, Y.L.; Xu, Y.Z.; Lin, H.Q.; Wu, L.Z.; Tang, Y.; Dai, C.Y.; Li, X.G.; Guo, L.S.; et al. Rh-based bimetallic alloys: Unraveling the synergistic catalysis in CO2 hydrogenation to ethanol. ACS Catal. 2025, 15, 10068–10081. [Google Scholar] [CrossRef]
- Wang, L.X.; Wang, L.; Zhang, J.; Liu, X.L.; Wang, H.; Zhang, W.; Yang, Q.; Ma, J.Y.; Dong, X.; Yoo, S.J.; et al. Selective hydrogenation of CO2 to ethanol over cobalt catalysts. Angew. Chem. Int. Ed. 2018, 57, 6104–6108. [Google Scholar] [CrossRef]
- Wei, Z.H.; Kamiya, Y.S.; Ding, B.H.; Sato, T.; Hayashi, T.; Miura, H.; Shishido, T. Design of supported metal/metal oxide catalysts for low-temperature ethanol production by CO2 hydrogenation. Appl. Catal. A Gen. 2025, 708, 120586. [Google Scholar] [CrossRef]
- Wang, L.X.; He, S.X.; Wang, L.; Lei, Y.; Meng, X.J.; Xiao, F.S. Cobalt–nickel catalysts for selective hydrogenation of carbon dioxide into ethanol. ACS Catal. 2019, 9, 11335–11340. [Google Scholar] [CrossRef]
- Fu, W.J.; Tang, Z.C.; Liu, S.L.; He, Y.M.; Sun, R.Y.; Mebrahtu, C.; Zeng, F. Thermodynamic analysis of CO2 hydrogenation to ethanol: Solvent effects. ChemistrySelect 2023, 8, e202203385. [Google Scholar] [CrossRef]
- Zhang, Y.P.; Fan, G.L.; Zheng, L.R.; Li, F. Synergistic surface−interface catalysis in potassium-loaded Cu/CoOx catalysts to boost ethanol production from CO2 hydrogenation. ACS Appl. Mater. Interfaces 2025, 17, 13747–13761. [Google Scholar] [CrossRef] [PubMed]
- Li, X.P.; Wang, H.C.; Ma, Q.X.; Ke, J.C.; Jiang, X.Y.; Zhu, C.X.; Zhao, L.L.; Zhang, A.; Chen, H.; Deng, Y.; et al. Na promotes selective hydrogenation of CO2 to ethanol over CoMnO catalysts. Appl. Catal. B Environ. Energy 2026, 382, 125998. [Google Scholar] [CrossRef]
- Xiang, W.J.; Yasuda, S.H.; Tonooka, M.; Yang, W.; Tsukamoto, K.; Liu, G.B.; Yang, G.H.; Gao, W.Z.; Tsubaki, N. Potassium-driven pathway modulation in CO2 hydrogenation: Tuning ethanol and liquid fuels synthesis over FeCuAl catalysts. Appl. Catal. B Environ. Energy 2025, 369, 125157. [Google Scholar] [CrossRef]
- Xu, D.; Ding, M.; Hong, X.; Liu, G. Mechanistic aspects of the role of K promotion on Cu–Fe-based catalysts for higher alcohol synthesis from CO2 hydrogenation. ACS Catal. 2020, 10, 14516–14526. [Google Scholar] [CrossRef]
- Arena, F.; Barbera, K.; Italiano, G.; Bonura, G.; Spadaro, L.; Frusteri, F. Synthesis, characterization and activity pattern of Cu-ZnO/ZrO2 catalysts in the hydrogenation of carbon dioxide to methanol. J. Catal. 2007, 249, 185–194. [Google Scholar] [CrossRef]
- Chen, J.; Zha, Y.J.; Liu, B.; Li, Y.F.; Xu, Y.B.; Liu, X.H. Rationally designed water enriched nano reactor for stable CO2 hydrogenation with near 100% ethanol selectivity over diatomic palladium active sites. ACS Catal. 2023, 13, 7110–7121. [Google Scholar] [CrossRef]
- Da Silva, A.H.M.; Vieira, L.H.; Santanta, C.S.; Koper, M.T.M.; Assaf, E.M.; Assaf, J.M.; Gomes, J.F. Ethanol formation from CO2 hydrogenation at atmospheric pressure using Cu catalysts: Water as a key component. Appl. Catal. B Environ. 2023, 324, 122221. [Google Scholar] [CrossRef]
- Caldeira, A.C.R.; Alves, H.O.; Da Silva, A.H.M.; Gomes, J.F. Influence of water steam and copper oxidation state on the CO2 hydrogenation to ethanol over copper catalysts. Catal. Today 2025, 443, 114971. [Google Scholar] [CrossRef]
- Graciani, J.; Grinter, D.C.; Ramírez, P.J.; Palomino, R.M.; Xu, F.; Waluyo, I.; Stacchiola, D.; Sanz, J.F.; Senanayake, S.D.; Rodriguez, J.A. Conversion of CO2 to methanol and ethanol on Pt/CeOx/TiO2(110): Enabling role of water in C−C bond formation. ACS Catal. 2022, 12, 15097–15109. [Google Scholar] [CrossRef]
- Zhou, C.S.; Aitbekova, A.; Liccardo, G.; Oh, J.; Stone, M.L.; McShane, E.J.; Werghi, B.; Nathan, S.; Song, C.Y.; Ciston, J.; et al. Steam-assisted selective CO2 hydrogenation to ethanol over Ru-In catalysts. Angew. Chem. Int. Ed. 2024, 63, e202406761. [Google Scholar] [CrossRef] [PubMed]
- Araújo, T.P.; Mitchell, S.; Pérez-Ramírez, J. Design principles of catalytic materials for CO2 hydrogenation to methanol. Adv. Mater. 2024, 36, 2409322. [Google Scholar] [CrossRef] [PubMed]
- Kattel, S.; Liu, P.; Chen, J.G. Tuning selectivity of CO2 hydrogenation reactions at the metal/oxide interface. J. Am. Chem. Soc. 2017, 139, 9739–9754. [Google Scholar] [CrossRef] [PubMed]
- Fan, T.; Liu, H.L.; Shao, S.X.; Gong, Y.J.; Li, G.D.; Tang, Z.Y. Cobalt catalysts enable selective hydrogenation of CO2 toward diverse products: Recent progress and perspective. J. Phys. Chem. Lett. 2021, 12, 10486–10496. [Google Scholar] [CrossRef]
- Zhang, G.; Fan, G.; Zheng, L.; Li, F. Ga-promoted CuCo-based catalysts for efficient CO2 hydrogenation to ethanol: The key synergistic role of Cu-CoGaOx interfacial sites. ACS Appl. Mater. Interfaces 2022, 14, 35569–35580. [Google Scholar] [CrossRef]
- Kusama, H.; Okabe, K.; Sayama, K.; Arakawa, H. CO2 hydrogenation to ethanol over promoted Rh/SiO2 catalysts. Catal. Today 1996, 28, 261. [Google Scholar] [CrossRef]
- Xu, D.; Ding, M.; Hong, X.; Liu, G.; Tsang, S.C.E. Selective C2+ alcohol synthesis from direct CO2 hydrogenation over a Cs-promoted Cu-Fe-Zn catalyst. ACS Catal. 2020, 10, 5250–5260. [Google Scholar] [CrossRef]
- Liu, S.H.; Yang, C.S.; Zha, S.J.; Sharapa, D.; Studt, F.; Zhao, Z.J.; Gong, J.L. Moderate surface segregation promotes selective ethanol production in CO2 hydrogenation reaction over CoCu catalysts. Angew.Chem. Int. Ed. 2022, 61, e202109027. [Google Scholar] [CrossRef]
- Ferencz, Z.; Erdőhelyi, A.; Baán, K.; Oszkó, A.; Óvári, L.; Kónya, Z.; Papp, C.; Steinrück, H.-P.; Kiss, J. Effects of support and Rh additive on Co-based catalysts in the ethanol steam reforming reaction. ACS Catal. 2014, 4, 1205–1218. [Google Scholar] [CrossRef]
- Toyao, T.; Maeno, Z.; Takakusagi, S.; Kamachi, T.; Takigawa, I.; Shimizu, K. Machine learning for catalysis informatics: Recent applications and prospects. ACS Catal. 2020, 10, 2260–2297. [Google Scholar] [CrossRef]
- Kitchin, J.R. Machine learning in catalysis. Nat. Catal. 2018, 1, 230–232. [Google Scholar] [CrossRef]
- Mine, S.; Takao, M.; Yamaguchi, T.; Toyao, T.; Maeno, Z.; Hakim Siddiki, S.M.A.; Takakusagi, S.; Shimizu, K.; Takigawa, I. Analysis of updated literature data up to 2019 on the oxidative coupling of methane using an extrapolative machine-learning method to identify novel catalysts. ChemCatChem 2021, 13, 3636–3655. [Google Scholar] [CrossRef]
- Suvarna, M.; Zou, T.S.; Chong, S.H.; Ge, Y.Z.; Martín, A.J.; Pérez-Ramírez, J. Active learning streamlines development of high performance catalysts for higher alcohol synthesis. Nat. Commun. 2024, 15, 5844. [Google Scholar] [CrossRef]
- Zhong, M.; Tran, K.; Min, Y.; Wang, C.; Wang, Z.; Dinh, C.T.; De Luna, P.; Yu, Z.; Rasouli, A.S.; Brodersen, P.; et al. Accelerated discovery of CO2 electrocatalysts using active machine learning. Nature 2020, 581, 178–183. [Google Scholar] [CrossRef]










Disclaimer/Publisher’s Note: The statements, opinions and data contained in all publications are solely those of the individual author(s) and contributor(s) and not of MDPI and/or the editor(s). MDPI and/or the editor(s) disclaim responsibility for any injury to people or property resulting from any ideas, methods, instructions or products referred to in the content. |
© 2026 by the authors. Licensee MDPI, Basel, Switzerland. This article is an open access article distributed under the terms and conditions of the Creative Commons Attribution (CC BY) license.
Share and Cite
Meng, X.; Wang, Y.; Li, J.; Wang, H.; Yu, C.; Guo, J.; Zhang, Z.; Qian, Q.; Han, B. Thermo-Catalytic Carbon Dioxide Hydrogenation to Ethanol. Chemistry 2026, 8, 14. https://doi.org/10.3390/chemistry8020014
Meng X, Wang Y, Li J, Wang H, Yu C, Guo J, Zhang Z, Qian Q, Han B. Thermo-Catalytic Carbon Dioxide Hydrogenation to Ethanol. Chemistry. 2026; 8(2):14. https://doi.org/10.3390/chemistry8020014
Chicago/Turabian StyleMeng, Xianyu, Ying Wang, Jie Li, Hongxing Wang, Chenglong Yu, Jia Guo, Zhuo Zhang, Qingli Qian, and Buxing Han. 2026. "Thermo-Catalytic Carbon Dioxide Hydrogenation to Ethanol" Chemistry 8, no. 2: 14. https://doi.org/10.3390/chemistry8020014
APA StyleMeng, X., Wang, Y., Li, J., Wang, H., Yu, C., Guo, J., Zhang, Z., Qian, Q., & Han, B. (2026). Thermo-Catalytic Carbon Dioxide Hydrogenation to Ethanol. Chemistry, 8(2), 14. https://doi.org/10.3390/chemistry8020014

