Abstract
This paper studies the catalytic hydrogenation reduction of lignin-derived phenolic compounds, such as catechol, guaiacol (O-methoxyphenol), phenol, P-methylphenol, O-ethylphenol, O-ethoxyphenol, etc. The reaction system focuses on the catalytic performance of hydrodeoxygenation reactions involving the phenolic derivatives of the lignin depolymerization products catechol and guaiacol. A series of Al2O3-TiO2 composite oxide supports with different Al/Ti ratios were prepared by a co-precipitation method, and a 5% Pd/Al2O3-TiO2 bifunctional catalyst was prepared by an impregnation method and characterized with XRD, SEM, BET, NH3-TPD, etc. Among these, the Pd/Al2Ti1 catalyst had the most excellent catalytic performance. At 100 °C and 2 MPa hydrogen pressure, the conversion of catechol was as high as 100%, and at 100 °C and 5 MPa hydrogen pressure, the conversion of guaiacol reached 90%.
1. Introduction
In recent years, biomass has attracted worldwide attention as a form of renewable energy with huge reserves. The conversion of biomass by pyrolysis into liquid fuel or biomass oil can not only replace petroleum to a certain extent, but also reduce the emission of atmospheric pollutants, which is beneficial to the protection of the ecological environment [1,2]. However, biomass oils (especially lignin depolymerization products) are often rich in phenols, of which polyhydroxyphenols and polymethoxyphenols are the main ones [3,4,5]. Phenolic substances are acidic, and will not only corrode fuel equipment, but also affect the stability of biomass oil [6]. Therefore, the conversion of phenolic substances into chemically stable and high-quality biomass oil is a scientific problem to be solved urgently [7,8].
At present, the hydrodeoxygenation reaction of phenolic substances is one of the most effective ways of refining and upgrading biomass oil [9]. Due to their excellent hydrogenation performance and high-efficiency selectivity, noble metal catalysts such as Pd, Pt, Ru, Rh, etc., have been widely used in the study of hydrodeoxygenation reactions with phenols [10,11,12,13]. In addition to the active center, the carrier also has a significant effect on the hydrodeoxygenation performance of the catalyst [14,15]. Fisk C.A. et al. compared Al2O3, ZrO2, CeO2 and TiO2 and other carriers, and found that Pt/Al2O3 showed the best hydrodeoxygenation activity [16]. Although Al2O3 has a large specific surface area, which is conducive to the dispersion of noble metal active centers, its strong acidity can easily cause the catalyst to deposit carbon, thereby affecting the stability of the catalyst. Wang W. et al. compared ZrO2, CeO2 and CeO2–ZrO2 modified Al2O3 carriers, and found that Pt/CeO2–ZrO2–Al2O3 showed the best hydrodeoxygenation activity, and its catalytic stability was also enhanced [17]. TiO2 is a pristine material with excellent hydrothermal stability and good carbon deposition resistance [18]. The addition of TiO2 with an anatase structure into Al2O3 can decrease the acidity of Al2O3, and hence reduce the carbon deposition and increase the stability of the catalyst. Therefore, the preparation of Al2O3-TiO2 composite oxide supports modified by TiO2 has become a research hotspot [19,20,21].
In this paper, with the goal of upgrading phenol derivatives to oxygen-containing biomass oil, Al2O3-TiO2 composite oxide supports with different Al/Ti ratios were prepared by a co-precipitation method, and a highly dispersed 5% Pd/Al2O3-TiO2 dual-functional catalyst was prepared by an impregnation method, then characterized by X-ray diffraction (XRD), scanning electron microscopy (SEM), low-temperature N2 adsorption (BET) and NH3 temperature programmed desorption (NH3-TPD), and seven phenols were evaluated, respectively. Lignin-derived phenols are phenols with multiple hydroxyl or alkylated OH groups. Catechol is one of the typical model compounds of lignin-derived phenols. We analyzed the catalytic hydrogenation reduction reaction system of analogs, focusing on the hydrogenation performance of the phenol derivative platform molecules catechol and guaiacol, and other phenolics, on Al2O3-TiO2 catalysts with different Al/Ti ratios, respectively. The influences of parameters such as reaction temperature, hydrogen pressure and reaction time on the hydrogenation reduction reaction under mild conditions were studied.
2. Materials and Methods
2.1. Materials
All chemicals were commercially obtained and applied without further treatment. Chloropalladium acid aqueous solution (5%) and Al (NO3)3·9H2O (99.99% metal basis) were purchased from Aladdin Reagents Co., Ltd. (Shanghai, China). TiCl4 (CP), o-cresol, ethanol absolute, phenol, O-ethylphenol, O-ethoxyphenol, catechol, P-Methoxyphenol, and guaiacol were purchased from Sinopharm Chemical Reagent Co., Ltd. (Beijing, China).
2.2. Catalyst Preparation
Aluminum nitrate nona-hydrate (Al (NO3)3 ·9H2O) and titanium tetrachloride (TiCl4) were mixed in Al/Ti ratios of 1/8, 1/4, 1/2, 1/1, 2/1, 4/1 and 8/1, respectively, and slowly dripped into deionized water, while stirring, until completely dissolved. While stirring thoroughly in a water bath at 40 °C, 9% ammonia water was added, drop by drop, to adjust the pH of the solution to 9, and then stirred and aged in the water bath for 4 h. After washing with deionized water in a suction filtrator, the sample was placed in an oven at 100 °C for drying overnight, and then calcined in a muffle furnace at 550 °C for 3 h to obtain the Al2O3-TiO2 carrier. The obtained oxides with different alumina and titania molar ratios were denoted as AlxTiy. The ratio of Al and Ti was based on the amount of materials, and the productivities of all the composite oxides were above 95%.
The above-mentioned carrier was impregnated with chloropalladium acid solution for 8 h, using the impregnation method. After drying, it was calcined in a muffle furnace at 300 °C for 1 h. Finally, the sample was reduced in a H2 atmosphere at 400 °C for 3 h, to obtain a Pd/Al2O3-TiO2 catalyst with 5% Pd loading.
2.3. Catalyst Characterization
The Brunauer–Emmett–Teller (BET) surface areas of the supports were obtained by N2 physisorption at −196 °C with a Micrometritics ASAP 2000 automated system (Micromeritics, Shanghai, China). X-ray diffraction patterns (XRD) of the supports and the catalysts were acquired on a RIGAKU D/MAX 2550/PC diffractometer (Rigaku, Tokyo, Japan) in the scan range of 10° to 80°, using Cu Ka1 radiation (k = 1.540 56 Å) at 40 kV and 30 mA. A power diffraction file (PDF) database was used to determine the phase of the materials. Temperature-programmed desorption of NH3 (NH3-TPD) was used to test the acidity of the materials. The samples were firstly pretreated in flowing helium at 450 °C for 1 h, then cooled down to 50 °C, adsorbed with NH3 for 1 h, flushed with helium (50 mL/min) for 1 h to remove NH3 in the gas phase and in the physisorpted state, and finally the temperature was raised to 750 °C, with a heating rate of 10 °C/min, while the TPD profiles were recorded. Hydrogen temperature-programmed reduction (H2-TPR) was used to determine the reduction temperature and reducibility of each catalyst. Samples were pretreated in a helium gas flow at 450 °C for 30 min, before cooling them down to 50 °C. After the chromatographic baseline was stabilized, each sample was heated to 750 °C, at a rate of 10 °C/min, in TPR gas (5% H2 in N2). Scanning electron microscopy (SEM) (Hitachi High, Shanghai, China) was used to observe the morphology of the sample. The model of the instrument was Apreo S HiVac (Thermal Instrument Company, Shanghai, China), and the acceleration voltage was 15 kV. Transmission electron microscopy (TEM) (Hitachi High, Shanghai, China) was performed on a Hitachi TEM system with an acceleration voltage of 300 kV.
2.4. Catalytic Activity Measurement
In a typical catalytic reaction, 15 mL of ethanol, 0.1 g of lignin-derived phenolics, such as catechol, guaiacol, O-cresol, O-ethylphenol, O-ethoxyphenol, P-methoxyphenol, etc., and a certain amount of a catalyst were added into a 30 mL stainless sealed reactor. After replacing air with H2 4 times, the reactor was sealed and pressured with H2 to 2 MPa. The reactor was then heated to the set reaction temperature and kept at this temperature for 3 h, while stirring at 600 rpm.
To examine the catalyst’s stability, the used catalyst was collected, washed with ethanol three times, dried at 100 °C for 2 h, and then reused under the same reaction conditions.
2.5. Products Analysis
After cooling the reactor to room temperature, the reaction product in its liquid phase was obtained by filtrating to separate it from catalyst. The catalyst was washed with ethanol three times, and the washing and product liquids were combined in a 100 mL volumetric flask for product analysis. Through gas chromatography–mass spectrometry (GC-MS, QP2010SE, Shimadzu Ltd., Kyoto, Japan), this was analyzed qualitatively. The gas chromatography–mass spectrometer was equipped with a Rxi-5Sil MS capillary column (30 m × 0.25 mm × 0.25 μm), and the product was analyzed quantitatively through a GC equipped with a flame ionization detector (FID) and a HP-5 fused silica capillary column (30 m × 0.25 mm × 0.25 μm). In the quantification, benzyl alcohol was used as an inner-standard.
3. Results and Discussion
3.1. Characterization of Catalysts
Figure 1 shows the XRD patterns of the series of Pd catalysts. Two Pd diffraction peaks at 2θ = 42.15 and 44.01° (JCPDS No. 06-0663) were observed, indicating that Pd0 was successfully supported on the surface of the catalyst carrier. The crystal sizes of Pd on TiO2 and the complex oxides calculated using the Scherrer equation, shown in Table 1, were around 8 nm to 13 nm, with the crystal size of Pd/Al2Ti1 being 11.2 nm, while the crystal size of Pd/Al2O3 reached up to 15.6 nm. Diffraction peaks at 2θ = 25.4, 36.8, 37.8, 38.7, 48.2, 53.8, 55.2, 62.7, 68.8, 70.3 and 72.5° were attributed to anatase TiO2 (JCPDS No. 21-1272). The crystal structure of the composite oxide was very close to that of titanium dioxide. As the molar ratio of aluminum to titanium increased from 1:8 to 8:1, no diffraction peaks related to the Al2O3 or Al-Ti solid solutions were observed. According to reports in the literature [22], an Al-Ti solid solution requires a high temperature above 1000 °C to form. This may indicate that the synthesized carrier was a composite of anatase TiO2 and amorphous Al2O3.
Figure 1.
Powder XRD patterns of Pd catalysts on different supports. (1: anatase TiO2, 2: Pd, 3: Al2O3).
Table 1.
BET and crystal size of Pd catalysts on different supports.
The specific surface areas of the catalysts are listed in Table 1. It can be seen that the specific surface areas of the Pd catalysts ranged from 30 m2/g to 153.1 m2/g. As the proportion of Al in the oxide carrier increases, the specific surface area increases. Usually, the specific surface area of the solid catalyst is conducive to the diffusion and/or adsorption of the reactants, and increases the contact of reactant molecules. Most likely, the adsorption state is related to the acidity and state of the catalyst’s surface or active center. Therefore, in our cases, the surface area of the catalyst may not be the vital factor affecting the catalytic reaction.
Figure 2 shows the NH3-TPD spectrum of a series of carriers. Compared with alumina, the acid strengths of the series oxides are obviously weaker, with their peak positions at significantly lower temperatures, around 120–170 °C. This indicates that the structure of mixed metal oxides is closer to that of titanium dioxide, and the Al atoms tend to be doped in the bulk phase, which affects the acidity and electron density of the supports. Among series oxide supports, it can be seen that the peak position of Al2Ti1 was the lowest at 122 °C, and the acid content of the Al2Ti1 oxide support was the highest, as listed in Table 2. The acidity strength and content of the metal support plays an important role in the activation of C-O, promoting dehydration and decarbonylation reactions [23,24,25]. On the other hand, the acidity of the support could affect the electron cloud density of the loaded metal, which further affects the adsorption and activation of the benzene rings and hydrogen. Therefore, a suitable acid strength and a higher amount of acid will facilitate the hydrogenation reaction [26,27,28].
Figure 2.
NH3-TPD of different oxide supports.
Table 2.
Acid amounts of different supports.
The H2-TPR results of the Pd catalysts on different supports are shown in Figure 3. The reduction temperatures and peak areas are listed in Table 3. It can be seen that under these conditions, the reduction temperature of the Pd/Al2Ti1 catalyst was significantly lower than that of other catalysts of the same series, and its hydrogen consumption was significantly higher than that of other catalysts of the same series. This suggests that the catalyst may adsorb and activate hydrogen at a lower temperature, which is conducive to the occurrence of hydrogenation reactions under mild conditions. It may be expected that the doping of a certain amount of Al atoms on the surface of the support could affect the electron cloud density and the crystal structure of the Pd metal, thereby affecting its ability to activate hydrogen.
Figure 3.
H2-TPR of Pd catalysts on different supports.
Table 3.
H2-TPR of Pd catalysts on different supports.
The results of transmission electron microscopy (TEM) and scanning electron microscopy (SEM) of Pd supported on oxide catalysts are shown in Figure 4, which shows that the size of the metal particles was roughly uniform, around 40–60 nm. It can be seen that the hydrogenation of the benzene ring was not sensitive to the size of metal particles. On the contrary, previous studies have found that the edge effect of the metal particles is helpful for the activation of benzene ring, and reduces the competitiveness of dehydration, which is beneficial for phenyl hydrogenation [29,30,31,32,33]. Our results also suggest that a more uniform and larger size of the metal particles may be more conducive to the hydrogenation of the benzene ring and the improvement of product selectivity.
Figure 4.
TEM and SEM images and particle size distribution of catalysts. (a) TEM of Pd/Al2Ti1, (b) TEM of Pd/Al2O3, (c) TEM of Pd/TiO2 and (d) TEM of Pd/Al1Ti8. (e) SEM of Pd/Al2Ti1, (f) SEM of Pd/Al2O3, (g) SEM of Pd/TiO2 and (h) SEM of Pd/Al1Ti8.
3.2. Catalytic Activities
3.2.1. Catechol Hydrogenation on Pd/Al2O3-TiO2 Catalysts
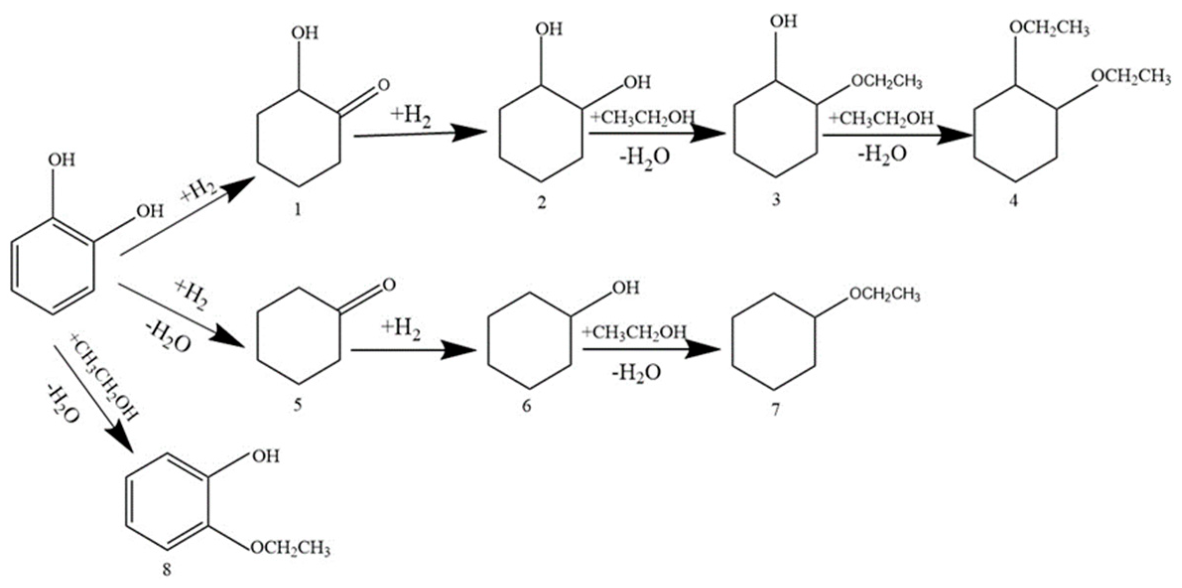
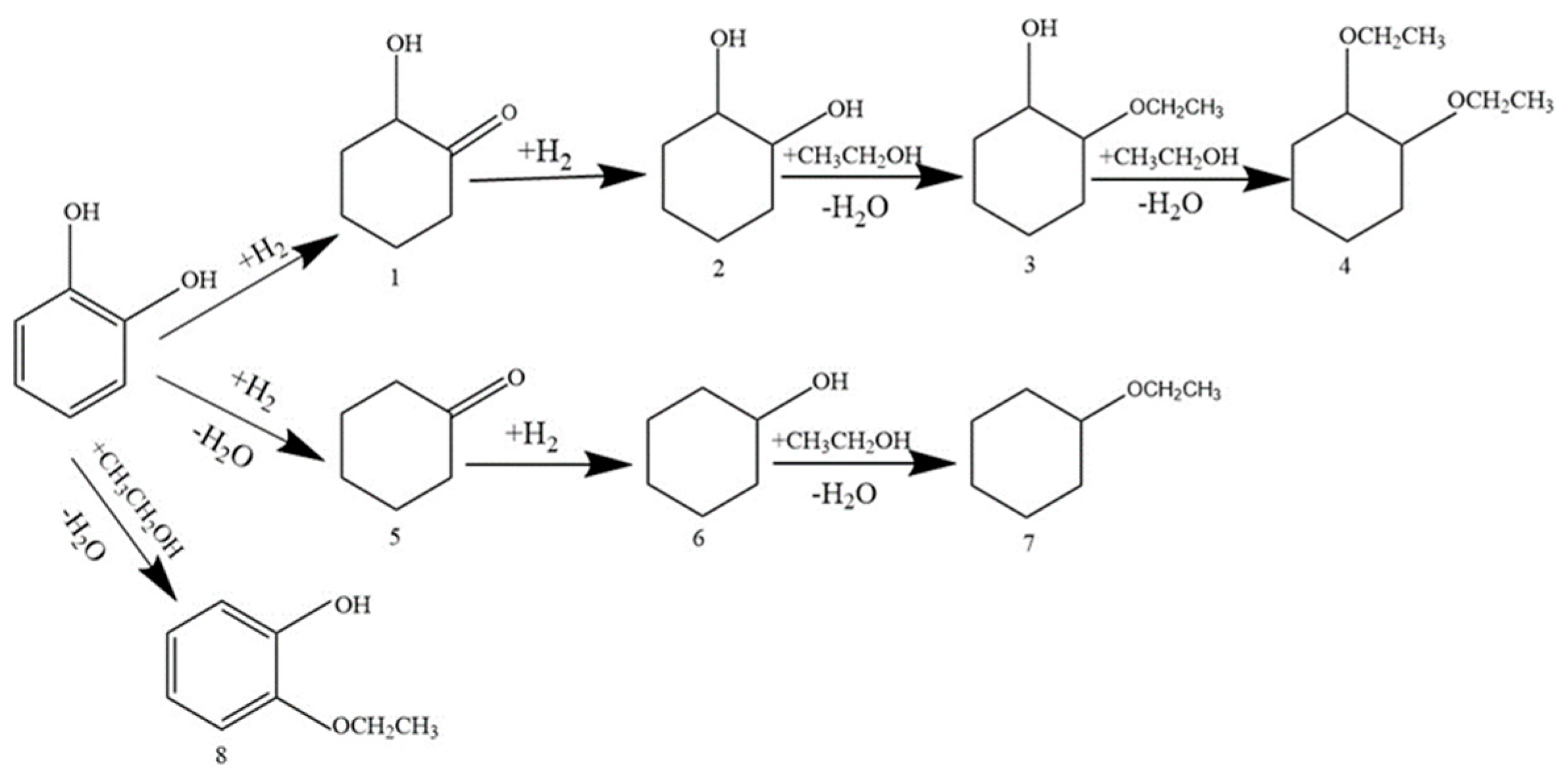
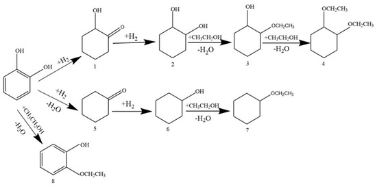
The results of catechol hydrogenation over different catalysts are shown in Table 4. Under conditions of 200 °C and 2 MPa hydrogen pressure, the conversion of catechol on the Pd/Al2Ti1 catalyst could reach 100%, which was significantly higher than for other Al/Ti catalysts, and the main product was found to be cyclohexanediol, with a selectivity of 66.7%. O-hydroxycyclohexanone was the dehydration intermediate product of cyclohexanediol in ethanol solvents in the reaction pathways. On the Pd/Al2Ti1 catalyst, the total amount of cyclohexanediol and dehydration condensation products reached 90%, with only less than 10% of catechol hydrodeoxygenation products. From the NH3-TPD data, it can be seen that the greatest amount of acidic sites were found on the surface of Al2Ti1, which might be the main factor contributing to the higher conversion of catechol. In addition, the higher amount of acid facilitates the dehydration reaction on the Pd/Al2Ti1 catalyst, in contrast to that of the other Pd catalysts. It seems that condensation and dehydration with a small-molecule alcohol is conducive to improving the dispersion and stability of bio-oil, prolonging its carbon chain and improving its utilization efficiency.
Table 4.
Catalytic activities of supported Pd catalysts on catechol conversions 1,2.
Figure 5 shows the summarized schematic reaction pathways of the catechol hydrogenation reaction in ethanol. For convenience, the corresponding products are listed in Table 4.
Figure 5.
Pathways of the catechol hydrogenation reaction in ethanol. Numbers 1–8 and their related products are the same as in Table 4.
The conversions of catechol on the Pd/Al2Ti1 catalyst at different reaction temperatures are shown in Figure 6. Under the condition of a hydrogen pressure of 2 MPa, the conversion reached 93.9% at 75 °C, while 20% of the products were unstable intermediate products of o-hydroxycyclohexanone. The conversion reached up to 100% and over 100 °C with an unsaturated intermediate content lower than 3%. In these conditions, the selectivity of the hydrogenation product was over 90%. As the temperature increased, the selectivity of deoxidation product slightly increased, and at 150 °C, the selectivity of the deoxidation product became 9.7%. Catechol adsorption on the metal surface occurred through the phenyl-ring on Pd (111) [29]. The adsorption and activation of phenyl and hydrogen mainly occured on the surface of the Pd. While the activation of the methoxy group mainly occurs on the surface of the oxide carrier, the deoxidation reaction requires a synergistic action between the metal particles and the oxide support. The cleavage of the Cring-O bond has a strong temperature-dependent change in Gibbs free energy [30]. Therefore, increasing the temperature is more conducive to deoxidation reactions. Overall, under these conditions, the Pd/Al2Ti1 catalyst can provide stable conversion and selectivity over a wide temperature range.
Figure 6.
Catechol conversion over Pd/Al2Ti1 at different reaction temperatures (reaction conditions: 0.1 g catalyst, 2 MPa H2, 3 h).
The conversions of catechol at 75 °C over Pd/Al2Ti1 at different hydrogen pressures are shown in Figure 7. Under these conditions, in the range of 1 MPa to 5 MPa, the conversion rate increased from 70% to 99.9% as the hydrogen pressure increased, and the content of unsaturated intermediate products decreased from 30% to less than 10%. The increase in hydrogen pressure effectively enhances the adsorption and activation of hydrogen, and improves the conversion of the reaction. On the other hand, hydrogen is also competitive with catechol for adsorption on Pd’s surface, and the selectivity of hydrogenation products is more than 99%.
Figure 7.
Catechol conversion over Pd/Al2Ti1 at different hydrogen pressure (reaction condition: 0.1 g catalyst, 75 °C, 3 h).
Catechol conversion over Pd/Al2Ti1, at different reaction times, at 2 MPa H2 and 75 °C is shown in Figure 8. The diffusion of the reactant and/or products and the incomplete reduction of Pd oxide can reduce the catechol conversion. The conversion increased almost linearly with time from 30 to 210 min, and then tended to become stable around a conversion of 94%. The content of the intermediate product, 2-hydroxycyclohexanone, increased and then decreased, reaching its highest contents of 20.7% at 150 min and 13.8% at 270 min.
Figure 8.
Catechol conversion over Pd/Al2Ti1 at different reaction times (reaction condition: 0.1 g catalyst, 2 MPa H2, 75 °C).
The composition of bio-oil is complex, and its composition distribution is susceptible to the combined influence of raw materials and production processes, showing complex properties in terms of its solubility and stability. Several different solvents were selected to study the conversion of catechol over the Pd/Al2Ti1 catalyst, which are recorded in Table 5. It indicates that the catalyst had a good catalytic hydrogenation effect on catechol in ethanol, isopropanol, n-hexane and aqueous solvent environments, and the conversion rate of catechol in methanol was 42.3%, which suggests that it could have beneficial applications in different bio-oil systems, and provides a basis for further research on bio-oil upgrading. The influence of the solvent on the upgrading of phenolic compounds is related to the interactions between the solvent, reactant, product and catalyst [21]. Hydrogen solubility in the solvent may play a crucial role in catalytic reactions. The solubility of hydrogen in alcohols increases with increasing carbon chain length [31]. This may be one of reasons why the conversion of phenol increased from methanol to isopropanol.
Table 5.
Catechol conversion over Pd/Al2Ti1 in different solvents 1.
3.2.2. Guaiacol Conversion on Pd/Al2Ti1 Catalyst
Guaiacol has a high content in biomass oil, and is one of the most representative oxygen-containing compounds in biomass oil. A further investigation was performed on the effects of reaction temperature, hydrogen pressure and reaction time on the hydrogenation performance of guaiacol on the Pd/Al2Ti1 catalyst.
Figure 9 shows the effect of reaction temperature on the hydrogenation performance of guaiacol on the Pd/Al2Ti1 catalyst. It can be seen that as the reaction temperature rises, the conversion of guaiacol on Pd/Al2Ti1 increases first and then decreases. At 100 °C and 5 MPa hydrogen pressure, the conversion of guaiacol is 90.0%, and the conversion is highest at 150 °C, reaching 97.1%. In the range of 100~280 °C, the conversion of guaiacol is higher, reaching more than 88.0%. From the perspective of product selectivity, an increase in reaction temperature is beneficial to the further hydrogenation conversion of 2-methoxycyclohexanone, which is the intermediate product of the reaction, as the selectivity of the hydrogenation product increases rapidly. When the reaction temperature reaches 280 °C, the selectivity of hydrogenated products decreases, and the selectivity of deoxygenated products increases accordingly (33.5%). This situation is similar to that in catechol conversion. The decrease in hydrogen solubility and the reduction in phenyl ring adsorption on Pd’s surface may be responsible for this phenomenon. The methoxy group mainly adsorbs on the surface of the oxide carrier, its activation requires a synergistic action between metal particles and oxide support. The cleavage of the Cring-O bond has a strong temperature-dependent change in Gibbs free energy [30]. Therefore, increasing the temperature is favorable to deoxidation reactions. We observed that a proper high temperature was conducive to the hydrogenation of guaiacol, but too high a temperature was conducive to the hydrodeoxygenation reaction of guaiacol, which is consistent with the results reported in the literature [32,33]. In short, by choosing a milder reaction temperature (150 °C), the conversion of guaiacol can reach 97.1%, and its products are mainly hydrogenated products, with a selectivity as high as 91.4%.
Figure 9.
Guaiacol conversion over Pd/Al2Ti1 at different reaction temperatures (reaction conditions: 0.1 g catalyst, 5 MPa H2, 3 h).
The effects of hydrogen pressure and reaction time on guaiacol hydrogenation over the Pd/Al2Ti1 catalyst were very similar to those on catechol. At 100 °C and 2 MPa to 5 MPa hydrogen pressure, the conversion of guaiacol on the Pd/Al2Ti1 catalyst increased significantly with the increase in hydrogen pressure, and the intermediate products decreased significantly. As the reaction time increased, the conversion of guaiacol increased. When the reaction time was 210 min, the conversion reached 89.9%, and then tended to become stable.
3.2.3. Hydrogenation of Other Phenolic Compounds on Pd/Al2Ti1 Catalyst
Biomass oil is rich in phenolic substances, among which polyhydroxyphenols and polymethoxyphenols are the main ones. Therefore, other phenolic compounds, such as phenol, O-cresol, O-ethylphenol, O-ethoxyphenol and P-methoxyphenol, that are commonly found in biomass oils, were used as reaction substrates to study the Pd/Al2Ti1 catalyst for the hydrogenation reaction. The results are shown in Table 6. It can be seen that the Pd/Al2Ti1 catalyst also has a good catalytic hydrogenation effect on other phenolic compounds commonly found in biomass oil; not only is the conversion rate high, but the selectivity of the dehydrogenation products is also high, which provides a basis for the application of catalysts in the upgrading reactions of bio-oil.
Table 6.
Other lignin model compounds 1.
3.3. Catalyst Stability
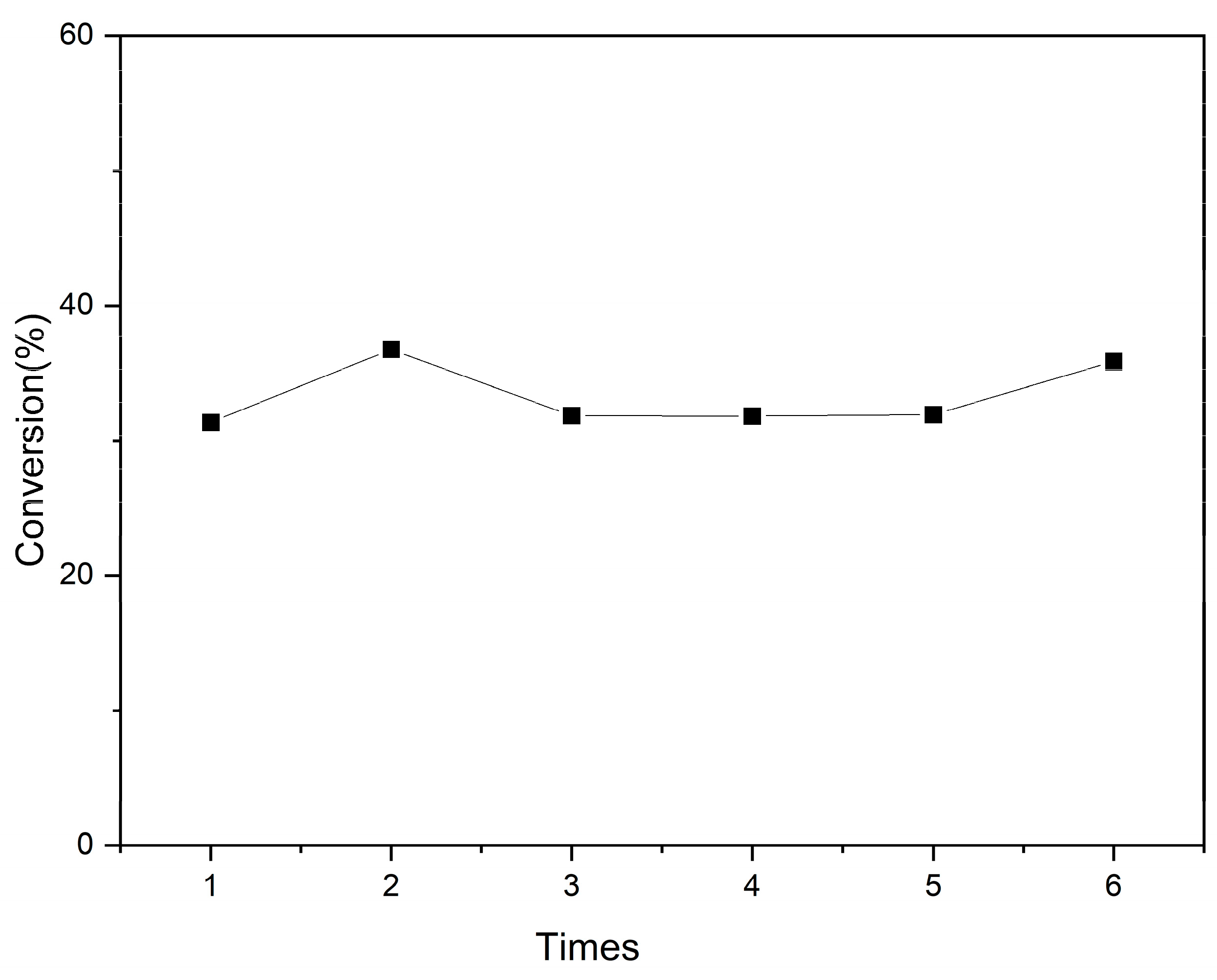
A harsher reaction condition (100 °C and 2 MPa hydrogen pressure) was selected for the investigation of the catalyst’s stability. After reusing it five times, the conversion was recorded in Figure 10. It can be seen that the conversion of guaiacol was basically stable. Figure 11 shows that the XRD patterns of the Pd/Al2Ti1 catalyst before and after the cyclic reaction were almost the same, which is strong evidence for the stability of the structure of the oxide support and the size of the Pd crystals. The variations in the sizes of the Pd particles could have led to the instability of its catalytic efficiency, caused by aggregation, which is more prominent in catalysts with a high distribution of small nanoparticles. The homogeneous and appropriately large sizes of the Pd particles may account for the stability of the performance of the catalyst.
Figure 10.
Conversion of Pd/Al2Ti1 catalyst after being reused five times. Reaction conditions: 0.03 g catalyst, 100 °C, 2 MPa H2.
Figure 11.
Powder XRD patterns of fresh and reused Pd/Al2Ti1 catalyst. (After: used catalyst, before: fresh catalyst).
4. Conclusions
In this work, the typical lignin model compounds of catechol and guaiacol were converted at low temperatures on a Pd/Al2Ti1 catalyst. The conversion of catechol reached 93% at 75 °C with 2 MPa H2, while the conversion rate of guaiacol was more than 88% at 100 °C with 5 MPa H2, and the selectivity of the saturated hydrogenation products in both could reach more than 90%. This catalyst can be applied to solvents of a variety of polarities, and its stability and reusability are excellent.
Author Contributions
Conceptualization, X.Z.; methodology, H.L.; validation, Y.S.; formal analysis, P.C.; investigation, Y.S.; writing—original draft preparation, Y.S.; writing—review and editing, X.S.; visualization, H.L.; supervision, H.L. All authors have read and agreed to the published version of the manuscript.
Funding
This research received no external funding.
Data Availability Statement
Data will be available on request.
Acknowledgments
This study was financially supported by the National Key Research and Development Program of China (No.2018YFB1501402).
Conflicts of Interest
The authors declare no conflicts of interest.
References
- Mahima, J.; Sundaresh, R.K.; Gopinath, K.P.; Rajan, P.S.S.; Arun, J.; Kim, S.H.; Pugazhendhi, A. Effect of algae (Scenedesmus obliquus) biomass pre-treatment on bio-oil production in hydrothermal liquefaction (HTL): Biochar and aqueous phase utilization studies. Sci. Total Environ. 2021, 778, 146262. [Google Scholar] [CrossRef] [PubMed]
- Wu, P.; Zhang, X.; Wang, J.; Yang, J.; Feng, L.; Zu, B.; Xie, Y.; Li, M. Pyrolysis of aquatic fern and macroalgae biomass into bio-oil: Comparison and optimization of operational parameters using response surface methodology. J. Energy Inst. 2021, 97, 194–202. [Google Scholar] [CrossRef]
- Akhtar, J.; Amin, N.A.S. A review on process conditions for optimum bio-oil yield in hydrothermal liquefaction of biomass. Renew. Sust. Energy Rev. 2011, 15, 1615–1624. [Google Scholar] [CrossRef]
- Peng, J.; Chen, P.; Lou, H.; Zheng, X. Upgrading of Bio-oil over Aluminum Silicate in Supercritical Ethanol. Energy Fuels 2008, 22, 3489–3492. [Google Scholar] [CrossRef]
- Li, W.; Pan, C.; Zhang, Q.; Liu, Z.; Peng, J.; Chen, P.; Lou, H.; Zheng, X. Upgrading of low-boiling fraction of bio-oil in supercritical methanol and reaction network. Bioresour. Technol. 2011, 102, 4884–4889. [Google Scholar] [CrossRef]
- Gayubo, A.G.; Aguayo, A.T.; Atutxa, A.; Aguado, R.; Olazar, M.; Bilbao, J. Transformation of oxygenate components of biomass pyrolysis oil on a HZSM-5 zeolite. II. Aldehydes, ketones, and acids. Ind. Eng. Chem. Res. 2004, 43, 2619–2626. [Google Scholar] [CrossRef]
- Vriamont, C.E.; Chen, T.; Romain, C.; Corbett, P.; Manageracharath, P.; Peet, J.; Conifer, C.M.; Hallett, J.P.; Britovsek, G.J. From lignin to chemicals: Hydrogenation of lignin models and mechanistic insights into hydrodeoxygenation via low-temperature C-O bond cleavage. ACS Catal. 2019, 9, 2345–2354. [Google Scholar] [CrossRef]
- Fraga, G.; Yin, Y.; Konarova, M.; Hasan, M.; Laycock, B.; Yuan, Q.; Batalha, N.; Pratt, S. Hydrocarbon hydrogen carriers for catalytic transfer hydrogenation of guaiacol. Int. J. Hydrogen Energy 2020, 45, 27381–27391. [Google Scholar]
- Zheng, X.; Lou, H. Recent Advances in Upgrading of Bio-oils from Pyrolysis of Biomass. Chin. J. Catal. 2009, 30, 765–769. [Google Scholar]
- Lu, M.; Du, H.; Wei, B.; Zhu, J.; Li, M.; Shan, Y.; Song, C. Catalytic hydrodeoxygenation of guaiacol over palladium catalyst on different titania supports. Energy Fuels 2017, 31, 10858–10865. [Google Scholar] [CrossRef]
- Hellinger, M.; Carvalho, H.W.; Baier, S.; Wang, D.; Kleist, W.; Grunwaldt, J.D. Catalytic hydrodeoxygenation of guaiacol over platinum supported on metal oxides and zeolites. Appl. Catal. A Gen. 2015, 490, 181–192. [Google Scholar] [CrossRef]
- Zanuttini, M.S.; Dalla Costa, B.O.; Querini, C.A.; Peralta, M.A. Hydrodeoxygenation of m-cresol with Pt supported over mild acid materials. Appl. Catal. A Gen. 2014, 482, 352–361. [Google Scholar] [CrossRef]
- Chiu, C.; Genest, A.; Borgna, A.; Rösch, N. Hydrodeoxygenation of guaiacol over Ru (0001): A DFT study. ACS Catal. 2014, 4, 4178–4188. [Google Scholar] [CrossRef]
- Boullosa-Eiras, S.; Lødeng, R.; Bergem, H.; Stöcker, M.; Hannevold, L.; Blekkan, E.A. Catalytic hydrodeoxygenation (HDO) of phenol over supported molybdenum carbide, nitride, phosphide and oxide catalysts. Catal. Today 2014, 223, 44–53. [Google Scholar] [CrossRef]
- Shetty, M.; Murugappan, K.; Prasomsri, T.; Green, W.H.; Roman-Leshkov, Y. Reactivity and stability investigation of supported molybdenum oxide catalysts for the hydrodeoxygenation (HDO) of m-cresol. J. Catal. 2015, 331, 86–97. [Google Scholar] [CrossRef]
- Fisk, C.A.; Morgan, T.; Ji, Y.; Crocker, M.; Crofcheck, C.; Lewis, S.A. Bio-oil upgrading over platinum catalysts using in situ generated hydrogen. Appl. Catal. A Gen. 2009, 358, 150–156. [Google Scholar] [CrossRef]
- Wang, W.; Wu, K.; Liu, P.; Li, L.; Yang, Y.; Wang, Y. Hydrodeoxygenation of p-cresol over Pt/Al2O3 catalyst promoted by ZrO2, CeO2, and CeO2-ZrO2. Ind. Eng. Chem. Res. 2016, 55, 7598–7603. [Google Scholar] [CrossRef]
- Dhar, G.M.; Srinivas, B.N.; Rana, M.S.; Kumar, M.; Maity, S.K. Mixed oxide supported hydrodesulfurization catalysts—A review. Catal. Today 2003, 86, 45. [Google Scholar] [CrossRef]
- Wang, R.; Chen, L.; Zhang, X.; Zhang, Q.; Li, Y.; Wang, C.; Ma, L. Conversion of levulinic acid to γ-valerolactone over Ru/Al2O3–TiO2 catalyst under mild conditions. RSC Adv. 2018, 8, 40989–40995. [Google Scholar] [CrossRef]
- Herbert, J.; Santes, V.; Cortez, M.T.; Zárate, R.; Díaz, L. Catalytic hydrotreating of heavy gasoil FCC feed over a NiMo/γ-Al2O3-TiO2 catalyst: Effect of hydrogen sulfide on the activity. Catal. Today 2005, 107, 559–563. [Google Scholar] [CrossRef]
- Zhao, L.; Cheng, L.; Xin, H.; Yuan, S.; Bo, Q.; Zhang, B.; Jiang, Y. Effect of Mg modification on the catalytic performance of Co/γ-Al2O3-TiO2 in the combustion of propane. J. Fuel Chem. Technol. 2020, 48, 867–874. [Google Scholar]
- Feng, G.; Liu, Z.; Chen, P.; Lou, H. Influence of solvent on upgrading of phenolic compounds in pyrolysis bio-oil. Rsc Adv. 2014, 4, 49924–49929. [Google Scholar] [CrossRef]
- Li, Z.; Quan, Y.; Chang, Y.; Xu, L.; Huang, W.; Xie, K. Method of reliability evaluation for cold and warm stand-by systems. J. Mol. Catal. China 2007, 21, 417–422. [Google Scholar]
- Wang, H.; Yang, W.; Tian, P.; Zhou, J.; Tang, R.; Wu, S. A highly active and anti-coking Pd-Pt/SiO2 catalyst for catalytic combustion of toluene at low temperature. Appl. Catal. A Gen. 2017, 529, 60–67. [Google Scholar] [CrossRef]
- Lee, C.R.; Yoon, J.S.; Suh, Y.; Choi, J.; Ha, J.; Suh, D.J.; Park, Y. Catalytic roles of metals and supports on hydrodeoxygenation of lignin monomer guaiacol. Catal. Commun. 2012, 17, 54–58. [Google Scholar] [CrossRef]
- Newman, C.; Zhou, X.; Goundie, B.; Ghampson, I.T.; Pollock, R.A.; Ross, Z.; Wheeler, M.C.; Meulenberg, R.W.; Austin, R.N.; Frederick, B.G. Effects of support identity and metal dispersion in supported ruthenium hydrodeoxygenation catalysts. Appl. Catal. A Gen. 2014, 477, 64–74. [Google Scholar] [CrossRef]
- Li, N.; Huber, G.W. Aqueous-phase hydrodeoxygenation of sorbitol with Pt/SiO2-Al2O3: Identification of reaction intermediates. J. Catal. 2010, 270, 48–59. [Google Scholar] [CrossRef]
- Gao, D.; Schweitzer, C.; Hwang, H.T.; Varma, A. Conversion of guaiacol on noble metal catalysts: Reaction performance and deactivation studies. Ind. Eng. Chem. Res. 2014, 53, 18658–18667. [Google Scholar] [CrossRef]
- Wawrzetz, A.; Peng, B.; Hrabar, A.; Jentys, A.; Lemonidou, A.; Lercher, J. Towards understanding the bifunctional hydrodeoxygenation and aqueous phase reforming of glycerol. J. Catal. 2010, 269, 411–420. [Google Scholar] [CrossRef]
- Wachs, I.E. Recent conceptual advances in the catalysis science of mixed metal oxide catalytic materials. Catal. Today 2005, 100, 79–94. [Google Scholar] [CrossRef]
- Wainwright, M.S.; Ahn, T.; Trimm, D.L.; Cant, N.W. Solubility of hydrogen in alcohols and esters. J. Chem. Eng. Data 1987, 32, 22. [Google Scholar] [CrossRef]
- Li, G.; Han, J.; Wang, H.; Zhu, X.; Ge, Q. Role of dissociation of phenol in its selective hydrogenation on Pt (111) and Pd (111). ACS Catal. 2015, 5, 2009–2016. [Google Scholar] [CrossRef]
- Hong, J.; Prawer, S.; Murphy, A.B. Plasma catalysis as an alternative route for ammonia production: Status, mechanisms, and prospects for progress. ACS Sustain. Chem. Eng. 2018, 6, 15–31. [Google Scholar] [CrossRef]
Disclaimer/Publisher’s Note: The statements, opinions and data contained in all publications are solely those of the individual author(s) and contributor(s) and not of MDPI and/or the editor(s). MDPI and/or the editor(s) disclaim responsibility for any injury to people or property resulting from any ideas, methods, instructions or products referred to in the content. |
© 2024 by the authors. Licensee MDPI, Basel, Switzerland. This article is an open access article distributed under the terms and conditions of the Creative Commons Attribution (CC BY) license (https://creativecommons.org/licenses/by/4.0/).










