Next Article in Journal
Mechanisms in Droplet Impact on Rough Surfaces with Spontaneously Varying Viscosity
Previous Article in Journal
Predicting Energy-Dependent Transformation Products of Environmental Contaminants: The Case of Ibuprofen
 
 
Due to scheduled maintenance work on our servers, there may be short service disruptions on this website between 11:00 and 12:00 CEST on March 28th.
Font Type:
Arial Georgia Verdana
Font Size:
Aa Aa Aa
Line Spacing:
Column Width:
Background:
Article

Electron Scattering Properties in Dense Quantum Plasma of Neon

by
Erik O. Shalenov
1,*,
Yerkhan A. Tashkenbayev
1,
Yeldos S. Seitkozhanov
1,2,3 and
Karlygash N. Dzhumagulova
1,2,3,*
1
Department of General Physics, Satbayev University, Almaty 050013, Kazakhstan
2
Department of Plasma Physics, Nanotechnology and Computer Physics, Al-Farabi Kazakh National University, Almaty 050040, Kazakhstan
3
Institute of Experimental and Theoretical Physics, Al-Farabi Kazakh National University, Almaty 050040, Kazakhstan
*
Authors to whom correspondence should be addressed.
Submission received: 2 September 2025 / Revised: 12 November 2025 / Accepted: 23 November 2025 / Published: 1 January 2026
(This article belongs to the Section Atomic Physics)

Abstract

We present the effective optical potential describing the interaction between an electron and a neon atom in a dense plasma. This potential accounts not only for the screening effect but also for the quantum non-locality and electronic correlation effects, which lead to an increase in the interaction energy between the electron and the neon atom. Within this framework, differential and momentum transport cross-sections for elastic electron–neon scattering are determined. The obtained results are compared with the available experimental data and theoretical predictions, showing exceptionally good agreement.

1. Introduction

Electron–atom collisions are fundamental processes in atomic physics [1,2,3], providing essential insight into the interparticle interactions and structure of the system under consideration. Accurate scattering data are critical for applications ranging from astrophysical plasma modeling to the development of plasma-based light sources and fusion technologies. Particular interest is devoted to collisions of electron with neon atoms [4,5,6], which play a key role in gas-discharge lighting, diagnostic systems, as well as in laboratory studies of plasma kinetics.
In recent experimental studies of partially ionized noble gas plasmas, several unexpected phenomena have been observed and were subsequently attributed to electron–atom interactions. In Ref. [7], the presence of the temperature-dependent minimum in the DC electrical conductivity of noble gases was reported, which was interpreted as a consequence of electron–atom scattering. In Ref. [8], momentum transfer cross-sections were calculated using an improved optical potential approach for electron–atom collisions across a broad range of plasma conditions, thus overcoming the limitations of experimentally derived scattering cross-sections used earlier in Ref. [9]. In addition to isolated electron–atom interactions, their treatment incorporated plasma environment effects, in particular, screening of the interaction potentials. This refinement yielded significantly improved agreement with conductivity measurements over the relevant temperature–density domain. Those studies indicate the high importance of taking into account the processes of the elastic scattering of electrons on neutral atoms. However, achieving a comprehensive theoretical description remains challenging due to the combined influence of many-body quantum effects, exchange interactions, and long-range polarization forces. These factors underscore the continuing importance of precise and versatile approaches for studying electron–atom collisions, in particular, in plasmas of noble gases, across a broad range of energies and physical conditions. Existing methods, such as the modified effective range theory (MERT) [10,11,12,13,14] and the R-matrix approach [15,16], are effective tools, but they require substantial computational resources and parameterization of the interaction potential [4,6,17].
In our earlier studies [18,19], a convenient approach, describing electron scattering on atoms, was used through the construction of the optical potentials [7,18,19,20,21]. These potentials enable the simultaneous treatment of short- and long-range interactions, providing accurate descriptions of phase shifts and scattering cross-sections over a broad energy range. Optical potential can be considered as the sum of the electron interactions with the charged particles in the atom (the Hartree–Fock (HF) potential), the polarization potential due to atomic polarization by the charged projectile, and the exchange term.
In Ref. [6], the optical potential was constructed for an isolated electron–atom system without accounting for environmental effects. For the case of moderately dense plasmas, Ref. [8] developed an optical potential that incorporates Debye screening and exchange effects. In Refs. [18,19], a modified version of the optical potential was proposed, which, in addition to screening and exchange, also accounts for the diffraction effect in semiclassical plasmas. In dense plasmas, it is essential to consider the known feature that with increasing density, electron degeneracy effects become significant. The parameter that characterizes the electron degeneracy is θ = k B T e / E F , where T e is the electron temperature, k B is the Boltzmann constant and E F = 2 k F 2 / ( 2 m e ) is the Fermi energy, where k F is the Fermi wave vector, is the reduced Planck constant, and m e and n e are the electron mass and numerical density, respectively. When θ > > 1 , plasma is considered as non-degenerate (classical) plasma. θ < < 1 corresponds to degenerate (quantum) plasma and the transition region θ 1 is defined as semiclassical plasma. The value of the electron temperature is determined by the degeneracy parameter, the density n e   is characterized by the dimensionless density parameter r s = r a v / a 0 , where r a v = ( 3 / 4 π n e ) 1 / 3 is the average distance between particles, and a 0 is the Bohr radius.
In quantum plasma, degeneracy leads to the replacement of the Debye screening length by the Thomas–Fermi screening length [22,23,24]. In Ref. [24], an effective electron–ion interaction potential was derived, in which the screening length interpolates between the Debye length for moderately dense plasmas and the Thomas–Fermi length for dense degenerate plasmas. To obtain this potential, the dielectric function method was employed. The key step is the determination of the dielectric function of the considered quantum system. Based on this dielectric function and the microscopic interaction potential (without screening), the Fourier transform of the effective potential (including screening) was derived. Effective potential, obtained by the inverse Fourier transformation, takes into account screening effects, quantum non-locality, as well as electronic correlations.
Earlier, in Ref. [25], another analytical screened potential that accounts for degeneracy effects was obtained by using density functional theory. Screening there was described only by the electronic component. The potential, obtained in [24], coincides with the Stanton–Murillo potential, when not accounting for screening by the ionic component. Based on these and other electron–ion interaction potentials, many properties of quantum plasma have been studied [24,25,26,27,28,29,30,31].
In the present study, the dielectric function described in Refs. [22,23,24] is used to obtain the effective optical potential for electron–atom interactions in dense degenerate plasma.
The is structured as follows. Section 2 presents the formulation of the optical potential for electron–neon interactions in dense plasma, incorporating quantum non-locality, electronic correlation effects, and screening phenomena [22,23,24]. Section 3 outlines the methodological framework applied to the scattering problem. In the present study, the variable-phase method is employed to investigate electron scattering on neon atoms using the effective optical potential introduced above. Section 4 reports the results, including comparisons with data from other studies. Phase shifts, differential cross-sections, and total scattering cross-sections are calculated, providing a comprehensive analysis of the scattering process under quantum plasma conditions. The comparison with experimental data and alternative theoretical approaches demonstrates the reliability of the proposed method and contributes to a deeper understanding of quantum plasma effects in electron–atom interactions. Conclusions are given in Section 5.

2. Effective Optical Potential for Particle Interaction

In Refs. [8,18,19], it was shown that, within Green’s function method, the interaction between an electron and an atom can be described by introducing the total interaction potential, known as the optical potential, which is represented as the sum of several contributions:
V o p t ( r ) = V H F ( r ) + V P ( r ) + V e x ( r ) ,
here, the first term corresponds to the HF potential, which accounts for the Coulomb interaction of a free electron with both the nucleus and the bound electrons, forming the atom. The second term represents the polarization (P) potential arising from atomic polarization induced by the incident electron, while the third term describes the exchange interaction (ex). Let us assume that Equation (1) is written for an isolated system, where the impact electron and atom are not affected by the surrounding environment. For such a system, the HF potential takes the following form (see Ref. [8]):
V H F ( r ) = Z e 2 r + e 2 ρ ( r ) r r d 3 r ,
where Z is a charge number, e denotes the elementary charge and ρ ( r ) is the shell electron density at position r .
Reference [8] accounted for the plasma screening effect in each term of the optical potential based on replacing Coulomb interactions with the Debye potential and constructed a screened (S) optical potential:
V o p t S r = V H F S r + V P S r + V e x S r .
In Refs. [18,19], an effective optical potential was developed to account for the effects of collective screening (S) and quantum mechanical diffraction (D), employing a method analogous to that used in Ref. [8]:
V o p t S D ( r ) = V H F S D ( r ) + V P S D ( r ) + V e x S D ( r ) .
In the present investigation, an effective optical potential is constructed, taking into account the quantum non-locality of the field, electronic correlation effects, as well as the screening effect
V o p t S Q C ( r ) = V H F S Q C ( r ) + V P S Q C ( r ) + V e x S Q C ( r ) .
To accomplish this task, one first needs to determine the first term of the effective optical potential. At comparably high temperatures, it is relevant to take into account the relativistic effect; therefore, to determine the interaction of a free electron with both the nucleus and the bound electrons forming the atom, the Dirac equation can be employed instead of the Schrödinger equation, which made it possible to obtain the following modified Hartree–Fock potential [32,33]:
V D H F S r = Z r i N A i e α i r ,
where A i and α i are fitting parameters; for neon, they are given in Table 1.
The inclusion of the screening effect into the modified HF potential (6) can be accomplished through the established dielectric function method. This approach is founded on the relation Φ ~ k = φ ~ k ε ( k ) 1 , where Φ ~ is the screened interaction potential in the Fourier space, φ ~ k   is the Fourier transform of the microscopic interaction potential (here, we take potential (6)), and ε ( k ) 1 is the inverse static dielectric function of the plasma. In Refs. [22,23,24], the following expression for the inverse static dielectric function was used:
ε ( k ) 1 = k 2 1 + λ e e 2 k 2 k 2 1 + λ e e 2 κ i 2 + κ 2 + λ e e 2 k 4 ,
where λ e e 2 = a ~ 2 / a ~ 0 1 k Y 2 γ E C is the parameter of quantum non-locality, with a ~ 0 = 2 π e 2 k Y 2 , a ~ 2 = 2 I 3 / 2 ( η ) 36 m e n θ 3 2 I 1 / 2 2 ( η ) , I ν ( η ) = 0 x ν exp x η + 1 d x , η = μ k B T e , where μ is the chemical potential. The inverse electron screening length i κ Y 2 = 0.5 k F 2 θ 1 2 I 1 2 η ; it must be noted that it interpolates between the Debye and Thomas–Fermi lengths [23,24,25], k F = ( 3 π 2 n e ) 1 / 3 , k T F = 3 ω p v F = 4 k F π a B is the Thomas–Fermi (TF) wave number, ω p = 4 π n e e 2 m e is the plasma electronic frequency, v F = k F m e   is the Fermi speed. The parameter of the electronic exchange correlations is   γ E C = k F 2 4 π e 2 n e f E C n e 2 , where f E C ( n e , T e ) is the exchange correlation part of the electronic free energy density.   κ 2 = κ s 2 + κ i 2 ,   κ s 2 = κ Y 2 1 κ Y 2 γ E C ,   κ i 2 = 4 π n i Z 2 e 2 k B T i is the inverse Debye length for ions. In our paper [24], an analysis of the behavior of the quantum non-locality parameter λ e e has been carried out. It was shown that with the increase in the degeneracy parameter, the quantum non-locality parameter decreases, and tends to the electron de Broglie wavelength.
So, we find the Fourier transform of the effective modified HF potential (6):
φ ~ k = 4 π Z e 2 i = 1 2 A i k 2 + α i k 2 1 + λ e e 2 k 2 k 2 + A 2 k 2 + B 2 ,
where A 2 = ζ 2 2 1 + 1 2 κ λ e e ζ 2 2 , B 2 = ζ 2 2 1 1 2 κ λ e e ζ 2 2 , ζ 2 = κ i 2 + 1 λ e e 2 .
Using the inverse Fourier transformation, the effective modified HF potential is obtained as follows:
V H F S Q C ( r ) = Z e 2 r i = 1 2 A i ζ 2 1 4 κ 2 λ e e 2 ζ 2 B 2 1 B 2 λ e e 2 B 2 α i 2 λ e e 2 e B r A 2 1 A 2 λ e e 2 A 2 α i 2 λ e e 2 e A r 1 4 κ 2 λ e e 2 ζ 2 ζ 2 α i 2 1 α i 2 λ e e 2 A 2 α i 2 B 2 α i 2 λ e e 2 e α i r .
The second term in the optical potential (5) represents the polarization potential caused by the polarization of atoms under the influence of an incident charge:
V P S Q C ( r ) = α e 2 2 r 2 + r 0 2 2 × f r 2 ,
where α is the dipole polarizability, r 0 is the cutoff parameter of the order of the Bohr radius a 0 , used as a fitting parameter, since the magnitude of the polarization potential at short distances is smaller than the HF potential. Here,
f r = 1 ζ 2 1 2 k D λ e e ζ 2 2 1 λ e e 2 B 2 1 + B r e B r 1 λ e e 2 A 2 1 + A r e A r .
The third term in the expression (5) represents the exchange potential, taking into account the TF—model and the local field approximation:
V e x S Q C ( r ) = V e x M r , K r = 2 e 2 π K F r F K ( r ) K F ( r ) ,
where K F r = 3 π 2 ρ r 1 3 is the Fermi momentum, F η = 1 2 + 1 η 2 4 η ln η + 1 η 1 is the function, and the momentum of the local electron, which, in version [14,15,16], takes the form:
K R R R S Q C r = k 2 + 2 m 2 V H F S Q C r + V P S Q C r + V e x M r , 0 ,
where V e x M r , 0 = 2 e 2 π K F r is the term of momentum less exchange.
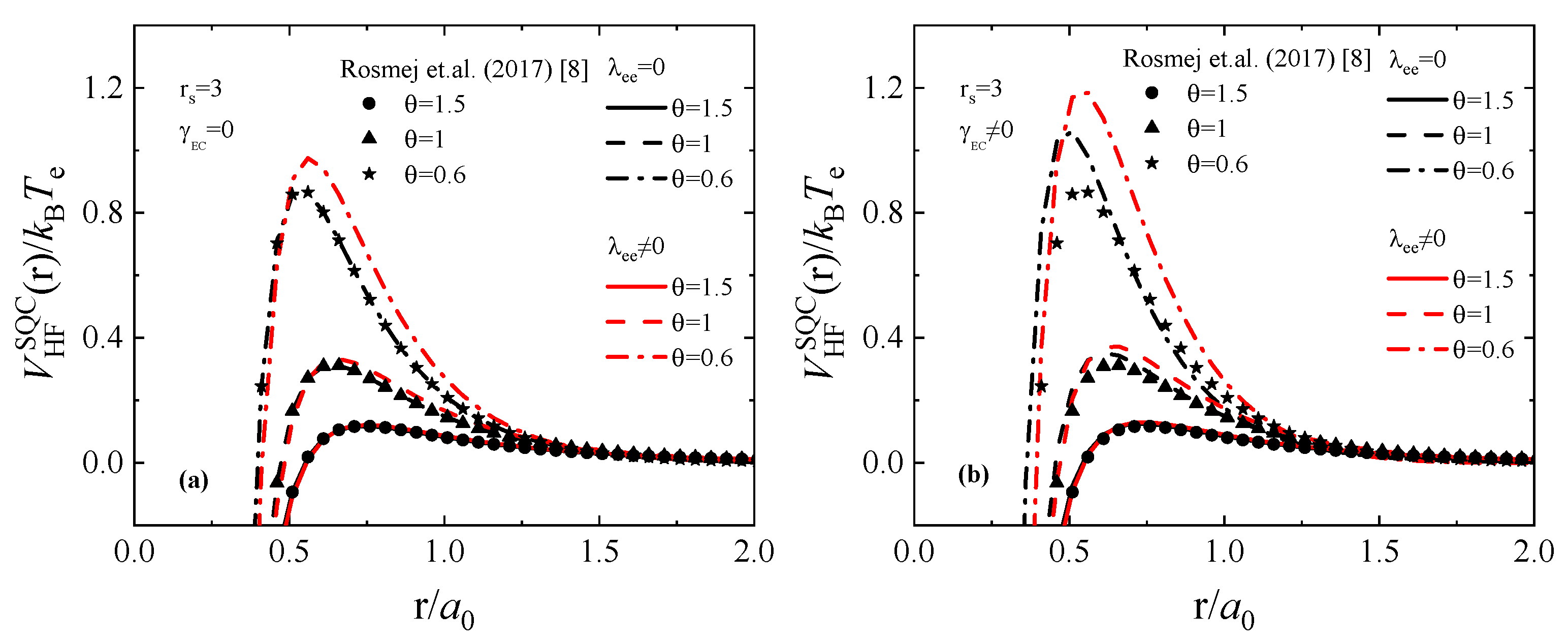
Figure 1 represents parts V H F S Q C ( r ) , V P S Q C ( r ) , V e x S Q C ( r ) of the optical potential (5) (Figure 1a–f) and total optical potential V o p t S Q C ( r ) (Figure 1g,h) as functions of reduced interparticle distance (in units of the Bohr radius) at different values of the degeneracy parameter θ.
In Figure 1a,b, the following characteristic behavior of the HF potential can be observed. As the distance between the incident electron and the atom increases, the Coulomb attraction is replaced by the Coulomb repulsion from the electron shells, followed by a tendency of the potential to approach zero. As a result, a maximum occurs on the potential curve. This maximum becomes more pronounced as the degeneracy parameter decreases. A comparison of the black and red curves shows that accounting for quantum non-locality enhances this effect.
From the comparison of the results shown in Figure 1a versus Figure 1b, it can be concluded that the inclusion of electronic correlations increases the height of the maximum on the HF potential curve.
Figure 1c,d presents the calculations of the effective polarization potential (10). The comparison of the curves shows that the effects of the quantum non-locality of the field and electronic correlations have a stronger influence on the polarization potential as the electron degeneracy increases (i.e., as the parameter θ decreases).
Figure 1e,f shows the s calculations of the effective exchange potential (12). In this case, the effects of the quantum non-locality of the field and electronic correlations have only quite a weak influence on the potential, although in general, an increase in the electron temperature (i.e., an increase in θ) leads to a decrease in the absolute value of the effective exchange potential.
As shown in Figure 1, the main contribution to the optical potential ( V o p t S Q C ) from polarization and exchange potentials occurs mainly at distances up to 0.8 a 0 , followed by the maximum, due to the contribution of the HF potential.
Here, for the first time, we introduce this optical potential and employ it to investigate the collisional properties of particles in quantum plasma. Two significant points need to be considered.
Firstly, we address the possibility of bound states within the temperature–density regime relevant to quantum plasmas. In our recent study [34], we developed an improved model for ionization potential depression (IPD) in dense plasmas. Similar to the interaction potential proposed here, this model incorporates electron degeneracy via an interpolation between Debye–Hückel and TF screening lengths. Using the resulting IPD, we solved the Saha equation. Comparison with recent measurements of warm dense aluminum demonstrates markedly improved agreement, particularly under strong coupling and partial degeneracy conditions. Here, we calculated the composition of neon plasma based on this IPD formalism [34]. Figure 2 presents the relative fractions α i = n i / n H of ions with charge i and ionization degree α e = n e / n H , where n i , n e , n H are the number density of ions with charge i , electrons, and heavy particles (nuclei), respectively.
These results indicate that degenerate neon plasma may contain bound states, including neutral atoms. Accordingly, the optical potential (5) is suitable for analyzing electron–atom scattering in quantum neon plasma within the relevant parameter domain.
In general, modeling plasma requires accounting for the distribution of atoms and ions by the degree of ionization. This was previously performed, for instance, in Ref. [35], which introduced an extensively- used analytical plasma screening potential built within a self-consistent-field ion-sphere model. Here, however, we focus on the microscopic problem of elastic electron–Ne atom scattering in dense plasma, and construct the corresponding optical potential and scattering cross-sections for that specific target. In other words, in the present study, we demonstrate that Ne atoms can exist under a given rs and θ, and we compute the corresponding e–Ne scattering cross-sections including dense plasma effects. At this stage, we do not consider how the distribution of atoms and ions affects the screening length and screened potential.
The second point concerns the limited availability of experimental data on electron–neon scattering under dense quantum plasma conditions. For comparison, we therefore employ data obtained for electron scattering on isolated atoms. Such experiments do not account for plasma environment effects, which typically contribute only a relatively small perturbation to scattering observables. Our goal here is not to demonstrate the superiority of the present optical potential over existing models, but rather to show that it provides physically meaningful results consistent with available experiments and previously published calculations.
More direct comparison with measurements that incorporate plasma state effects can be performed through macroscopic observables such as electrical conductivity. Work in this direction is currently in progress, and results on the transport properties of quantum plasma are considered to be reported in the near future.

3. Theory and Methods

3.1. Variable-Phase Method

The phase shifts method for dense non-ideal plasma is used to study the collisional properties of plasma based on the phase shifts, which are the asymptotic values of the phase functions δ l k = l i m r δ l k , r at large distances. To obtain them, one can solve the Calogero equation (variable-phase method (VPM)), which describes the behavior of the correlation function:
d δ l k , r d r = 2 k V o p t r cos δ l k , r j l k r sin δ l k , r n l k r 2 δ l k , 0 = 0   , ,
where j l and n l are the Riccati–Bessel functions of first and second order, respectively, l is the orbital quantum number, and k is the wave number of the impact particle.

3.2. Scattering Cross-Section

The differential scattering cross-sections (DCSs), describing the angular scattering, are determined by the following formula:
D C S k , θ = 1 k l = 0 2 l + 1 P l cos θ e i δ l k sin δ l k 2 .
The partial cross-sections (PCSs) for electron scattering on gas atoms were calculated based on the formula:
P C S k = Q l P k = 4 π k 2 2 l + 1 sin 2 δ l ( k ) .
The full scattering cross-section (FCS) is the sum of the partial scattering cross-sections:
F C S k = l = 0 n Q l P k .
The momentum transfer cross-sections (MTCSs), used to calculate transport coefficients, are also determined using phase shifts. Thus, the first-order MTCS was calculated using the following formula:
M T C S k = 4 π k 2 l = 0 l + 1 sin 2 δ l + 1 δ l .

4. Results and Discussion

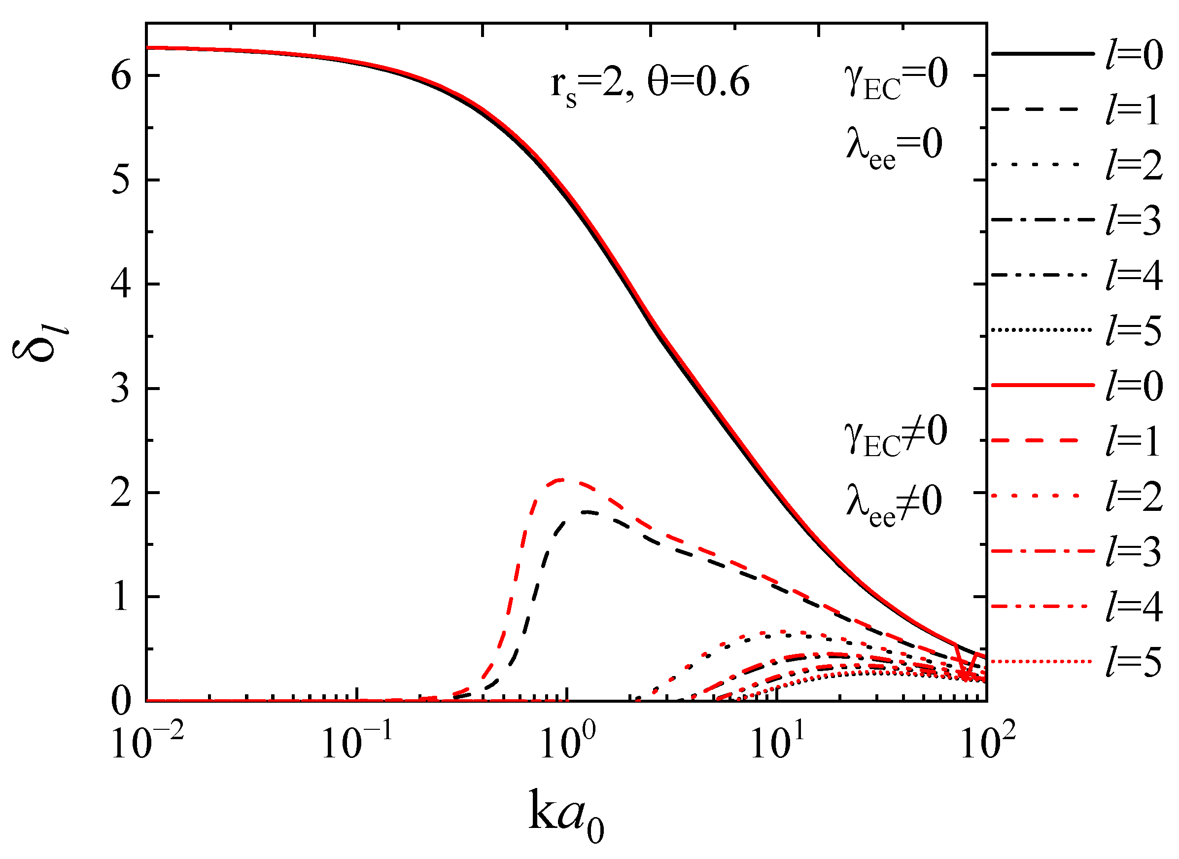
Figure 3 presents the calculations of the phase shift for electron scattering on the neon atom, calculated using the effective optical potential at a fixed density parameter r s = 2 and degeneracy parameter θ = 0.6 . As shown in Figure 2, an increase in the orbital quantum number l leads to a reduction in scattering phase shifts, allowing for the calculation of the FCS to be limited to summation over l . For l = 0 , the scattering phase shift approaches the value 2π. According to Levinson’s theorem, this corresponds to two bound states ( δ 0 = m π , where   m is the number of bound states). As one can see, the results when the quantum non-locality and electronic correlations are taken into account (red lines) lay higher than the result where the effects are not considered (black lines). This is a consequence of the feature that the optical potential that takes into account quantum properties exceeds the potential that takes into account only screening (see Figure 1).
Figure 4 shows the angular distributions of the DCSs for electron scattering on the neon atom. For comparison with the experimental data, we used the data obtained for electron scattering on isolated atoms ( κ = 0 ,   λ e e = 0 and γ E C = 0 ) due to the limited availability of experimental data on electron–neon scattering under dense quantum plasma conditions (see Section 2). In Figure 4a–d, one can see our low-energy results at energies E = 5   e V , E = 7   e V , E = 10   e V , and E = 15   e V , of respectively. Figure 4, demonstrates quite a good agreement of the calculations with the experimental data from Refs. [36,37,38,39] at angles 50° to 120°, and with the experimental data at larger angles up to 180° from in Refs. [40,41]. Additionally, in Figure 4, the calculations of the MERT [17] are given. It should be noted that the MERT uses a fitting method, where the coefficients of the interpolating functions are found on the basis of experimental data. This explains the calculations exceptionally close agreement with the results of experiments [36,37,38,39,40,41].
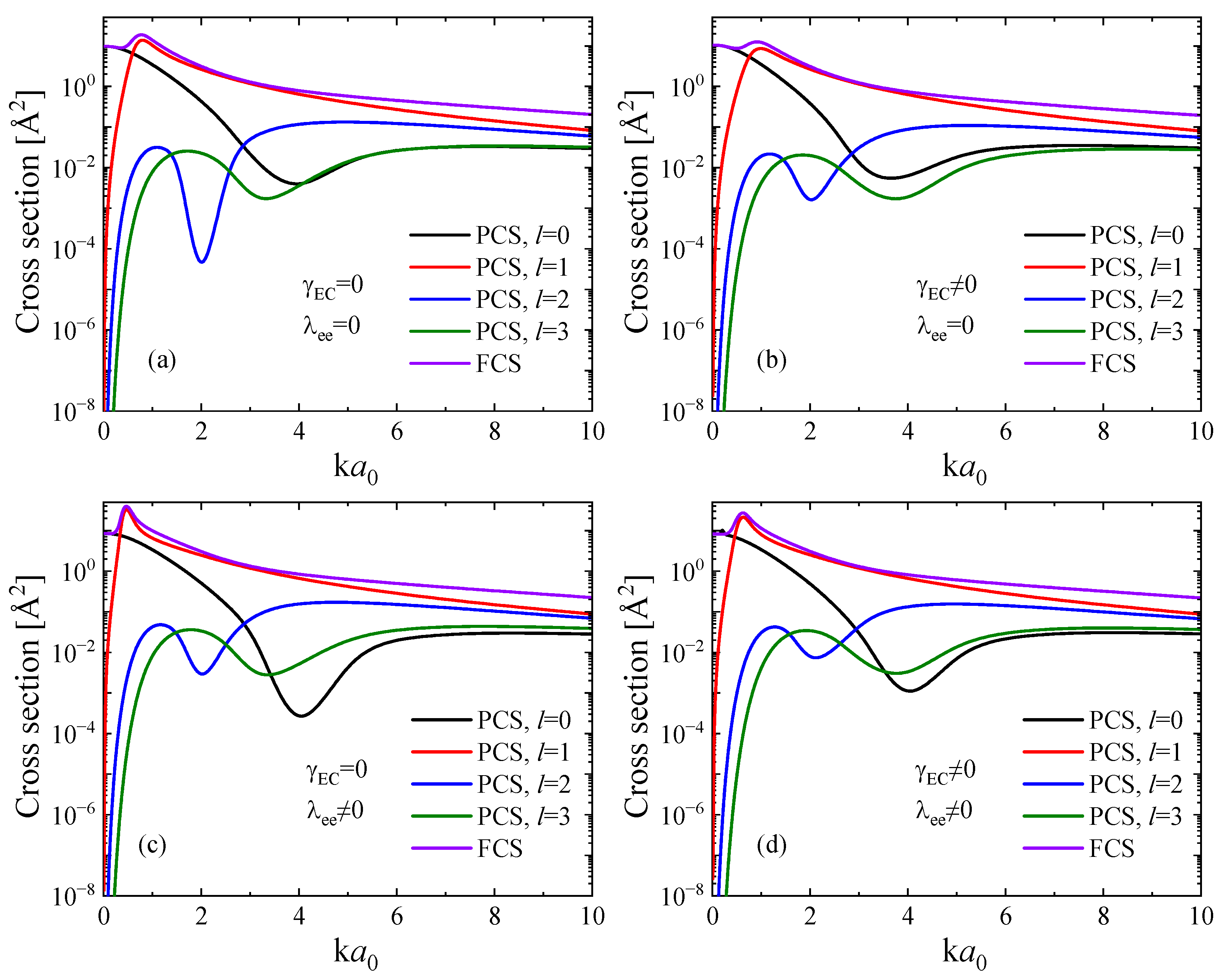
Figure 5 presents the PCS and FCS for electron scattering on the neon atom with a fixed density parameter ( r s = 2 ) and degeneracy parameter ( θ = 0.6 ). It is found that simultaneous consideration of the quantum non-locality of the field and electronic correlations leads to an increase in the FCS due to the growth of the PCS. Figure 5 shows the results for four cases of combinations of parameters   λ e e and γ E C . One can see that taking into account the quantum non-locality or (and) electronic correlation effects significantly affects the partial cross-sections of electron scattering.
Figure 6 shows the MTCSs calculated for electron scattering on the neon atom compared with the results of other studies. Here, we also used data obtained for electron scattering on isolated atoms ( κ = 0 ;   λ e e = 0 ; γ E C = 0 ). As one can see, our calculations are in an exceptionally good agreement with the experimental data from Refs. [38,41,42,43].
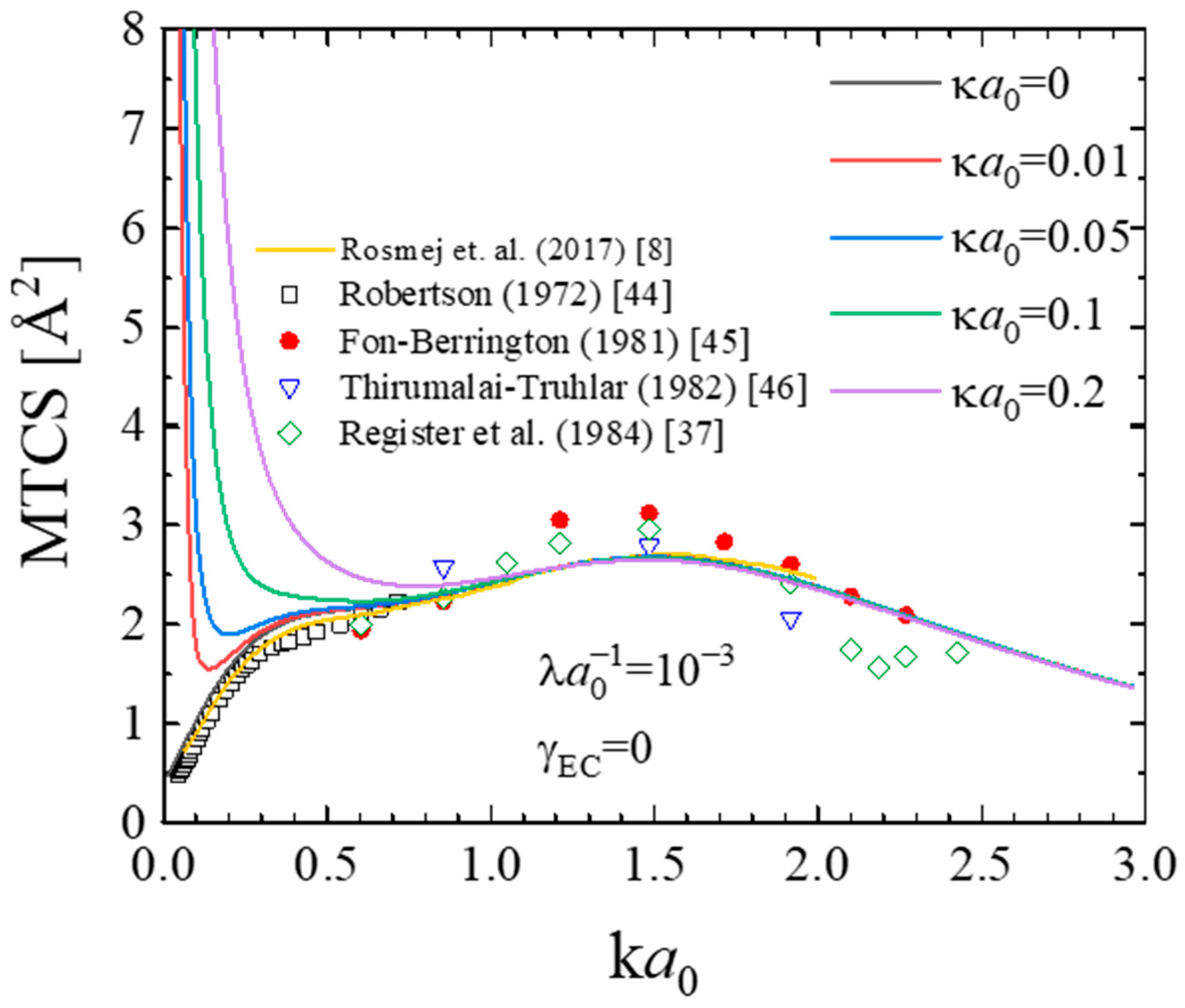
Figure 7 presents the MTCS calculated for for electron scattering on the neon atom at different values of the dimensionless screening parameter κ a 0 . At κ a 0 = 0 ,   our results are in quite a good agreement with the experimental data from Refs. [37,44] and the theoretical results from Ref. [8] (for   κ a 0 = 0 ), [45,46]. Reference [45] performed R-matrix calculations with full static dipole polarizability. The matrix-effective-potential formalism, presented in Ref. [46], is also quite successful in predicting the elastic integral and differential cross-sections for electron–neon collisions. It can be seen that an increase in the screening parameter leads to an increase in the MTCS at low energies. Such an effect was noticed in our previous paper [19] with semiclassical optical potential and in Ref. [8].
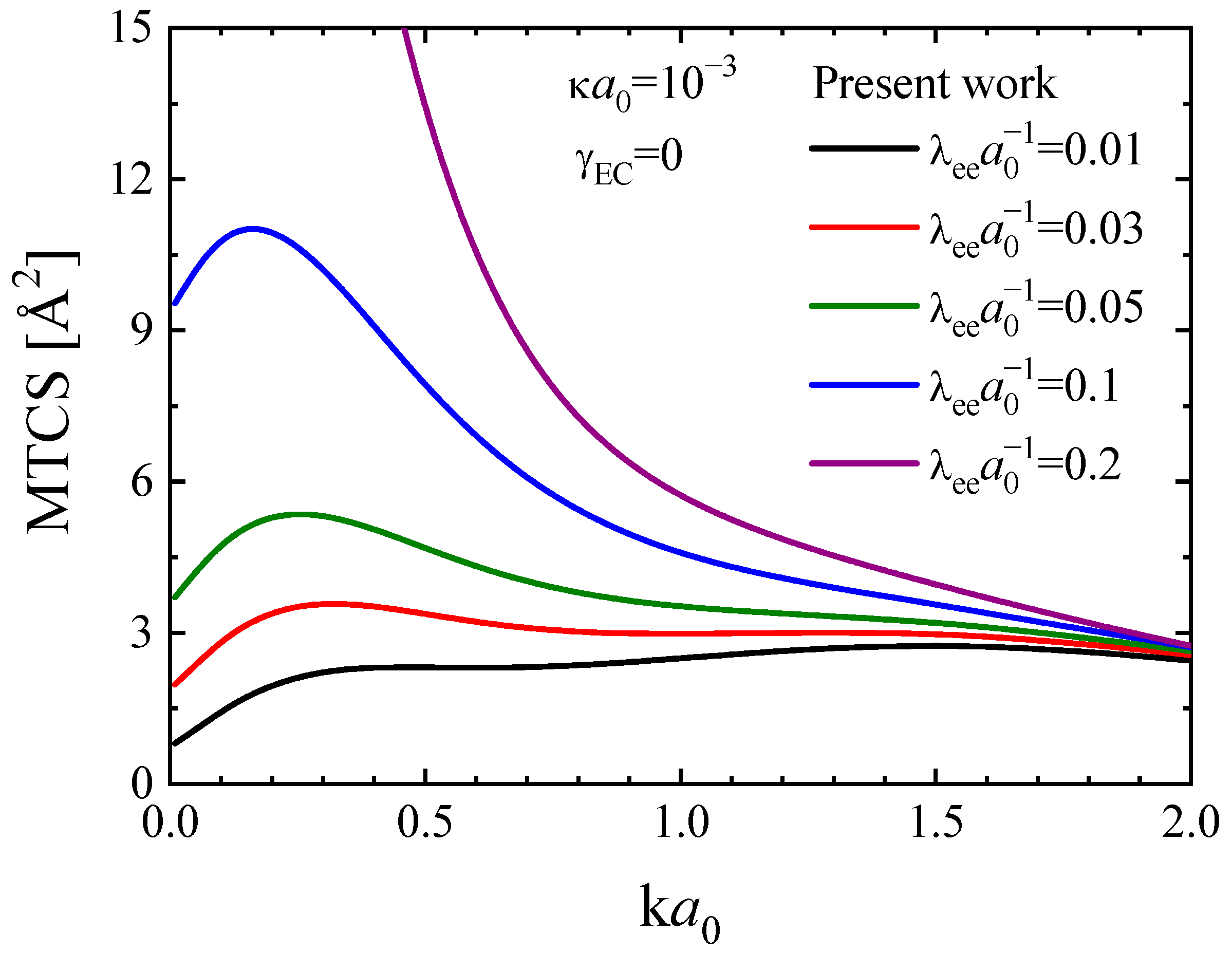
The influence of the parameter λ e e on the MTCSs for electron scattering on the neon atom is shown in Figure 8. It can be seen that when λ e e increases, the MTCSs also rises. Figure 9 shows that increasing the parameter γ E C , on the contrary, leads to a decrease in the MTCSs.

5. Conclusions

In this paper, we built an optical potential for quantum neon plasma that self-consistently accounts for screening, quantum non-locality, and electronic correlation effects. To this end, we have employed the previously developed static dielectric function, which incorporates quantum non-locality together with electronic correlations. In the optical model built, three components—the Hartree–Fock, the polarization, and the exchange potentials—are considered via a plasma dielectric function rather than introduced as independent terms. Inclusion of these effects are found to lead to a substantial increase in the effective optical electron–Ne interaction potential.
Using the proposed optical potential model, we investigated electron collisions with neon atoms. We found that incorporating quantum non-locality and electronic correlations results in an increase in the scattering phase shifts at fixed density and degeneracy parameters.
It is demonstrated that our calculated momentum transfer and differential cross-sections are in exceptionally good agreement with experimental data over a wide scattering angle range spanning 5 0 to 18 0 , and with the existing experimental data for isolated systems (i.e., without plasma effects). Let us note that a more direct comparison with experiments that include plasma state effects may be performed through macroscopic observables such as electrical conductivity.
Our analysis shows that quantum non-locality leads to an increase in the momentum transfer cross-sections, whereas electronic correlations tend to decrease it. These findings indicate that the proposed effective optical potential provides a realistic description of elastic electron–atom scattering in dense quantum neon plasma. Thanks to its construction, the model can be extended to be used for heavier targets such as argon (Ar) and xenon (Xe).
In future, by combining the momentum transfer cross-sections with a specific ionization balance model, we plan to investigate the transport and optical properties of quantum neon plasma, the work currently in progress.

Author Contributions

Conceptualization, E.O.S.; methodology, Y.A.T., Y.S.S. and E.O.S.; software, Y.A.T., E.O.S. and Y.S.S.; validation, Y.A.T., K.N.D. and E.O.S.; formal analysis, Y.A.T., K.N.D. and E.O.S.; investigation, K.N.D. and E.O.S.; resources, Y.A.T. and Y.S.S.; data curation, Y.A.T., Y.S.S. and E.O.S.; writing—original draft preparation, K.N.D. and E.O.S.; writing—review and editing, K.N.D. and E.O.S.; visualization, Y.A.T., Y.S.S. and E.O.S.; supervision, K.N.D.; project administration, K.N.D.; funding acquisition, K.N.D. All authors have read and agreed to the published version of the manuscript.

Funding

This research was funded by the Science Committee of the Ministry of Science and Higher Education of the Republic of Kazakhstan grant number AP19676689. The APC was funded by AP19676689.

Data Availability Statement

The raw data supporting the conclusions of this article will be made available by the authors on a reasonable request.

Conflicts of Interest

The authors declare no conflicts of interest.

References

  1. Syty, P.; Piłat, M.P.; Sienkiewicz, J.E. Calculation of Electron Scattering Lengths on Ar, Kr, Xe, Rn and Og Atoms. J. Phys. B 2024, 57, 175202. [Google Scholar] [CrossRef]
  2. Szmytkowski, C.; Maciag, K.; Karwasz, G. Absolute Electron-Scattering Total Cross Section Measurements for Noble Gas Atoms and Diatomic Molecules. Phys. Scr. 1996, 54, 271–280. [Google Scholar] [CrossRef][Green Version]
  3. Kłos, J.; Tiesinga, E. Elastic and Glancing-Angle Rate Coefficients for Heating of Ultracold Li and Rb Atoms by Collisions with Room-Temperature Noble Gases, H2, and N2. J. Chem. Phys. 2023, 158, 014308. [Google Scholar] [CrossRef] [PubMed]
  4. Fedus, K. Elastic Scattering of Slow Electrons by Noble Gases—The Effective Range Theory and the Rigid Sphere Model. Atoms 2021, 9, 91. [Google Scholar] [CrossRef]
  5. Zatsarinny, O.; Bartschat, K. Large-Scale Pseudostate Calculations for Electron Scattering from Neon Atoms. Phys. Rev. A 2012, 85, 062710. [Google Scholar] [CrossRef]
  6. Kumar, S.; Kumar, K.; Jain, D.; Singh, M. Investigation of Elastic Scattering Cross-Sections of Electron with Neon Atoms. Chem. Phys. Impact 2024, 8, 100503. [Google Scholar] [CrossRef]
  7. Kuhlbrodt, S.; Redmer, R.; Reinholz, H.; Röpke, G.; Holst, B.; Mintsev, V.B.; Gryaznov, V.K.; Shilkin, N.S.; Fortov, V.E. Electrical conductivity of noble gases at high pressures. Contrib. Plasma Phys. 2005, 45, 61–69. [Google Scholar] [CrossRef]
  8. Rosmej, S.; Reinholz, H.; Röpke, G. Contribution of Electron–Atom Collisions to the Plasma Conductivity of Noble Gases. Phys. Rev. E 2017, 95, 063208. [Google Scholar] [CrossRef]
  9. Adams, J.R.; Reinholz, H.; Redmer, R.; Mintsev, V.B.; Shilkin, N.S.; Gryaznov, V.K. Electrical conductivity of noble gases at high pressures. Phys. Rev. E 2007, 76, 036405. [Google Scholar] [CrossRef] [PubMed]
  10. Fedus, K.; Karwasz, G.P. Ramsauer–Townsend Minimum in Electron Scattering from CF4: Modified Effective Range Analysis. Eur. Phys. J. D 2021, 75, 76. [Google Scholar] [CrossRef]
  11. Idziaszek, Z.; Karwasz, G. Modified Effective-Range Theory for Low Energy e–N2 Scattering. Eur. Phys. J. D 2009, 51, 347–355. [Google Scholar] [CrossRef]
  12. Idziaszek, Z.; Karwasz, G. Applicability of Modified Effective-Range Theory to Positron-Atom and Positron–Molecule Scattering. Phys. Rev. A 2006, 73, 064701. [Google Scholar] [CrossRef]
  13. Fedus, K.; Karwasz, G.P.; Idziaszek, Z. Analytic Approach to Modified Effective-Range Theory for Electron and Positron Elastic Scattering. Phys. Rev. A 2013, 88, 012704. [Google Scholar] [CrossRef]
  14. Arretche, F.; Seidel, E.P.; Tenfen, W. A Semiempirical Model for Low Energy Electron–Atom Transport Cross Sections: The Case of Noble Gases. J. Electron Spectrosc. Relat. Phenom. 2024, 275, 147476. [Google Scholar] [CrossRef]
  15. Zatsarinny, O.; Bartschat, K. B-Spline Breit–Pauli R-Matrix Calculations for Electron Collisions with Neon Atoms. J. Phys. B 2004, 37, 2173–2190. [Google Scholar] [CrossRef]
  16. Zatsarinny, O.; Bartschat, K. B-Spline Breit–Pauli R-Matrix Calculations for Electron Collisions with Argon Atoms. J. Phys. B 2004, 37, 4693–4706. [Google Scholar] [CrossRef]
  17. Fedus, K. Electron Scattering from Neon via Effective Range Theory. Braz. J. Phys. 2014, 44, 622–628. [Google Scholar] [CrossRef]
  18. Dzhumagulova, K.N.; Shalenov, E.O.; Tashkenbayev, Y.A.; Ramazanov, T.S. Electron–Atom Interactions in Dense Semiclassical Helium Plasma. Phys. Plasmas 2022, 29, 012101. [Google Scholar] [CrossRef]
  19. Dzhumagulova, K.N.; Shalenov, E.O.; Tashkenbayev, Y.A.; Ramazanov, T.S. Study of the Electron–Atom Collisions in Dense Semiclassical Plasma of Noble Gases. J. Plasma Phys. 2022, 88, 905880119. [Google Scholar] [CrossRef]
  20. Gu, Y.J.; Quan, W.L.; Yang, G.; Tan, M.J.; Liu, L.; Chen, Q.F. Transport Properties of Warm Dense Neon and Krypton at High Pressures. Phys. Rev. E 2020, 102, 043214. [Google Scholar] [CrossRef]
  21. Khandker, M.H.; Haque, A.K.F.; Maaza, M.; Uddin, M.A. Scattering of e ± from the Neon Isonuclear Series over the Energy Range 1 eV–0.5 GeV. Jpn. J. Appl. Phys. 2020, 59, SHHA05. [Google Scholar] [CrossRef]
  22. Ramazanov, T.S.; Amirov, S.M.; Moldabekov, Z.A. Impact of Quantum Non-locality and Electronic Non-ideality on e–He Scattering in a Dense Plasma. Contrib. Plasma Phys. 2018, 58, 155–163. [Google Scholar] [CrossRef]
  23. Nuraly, A.T.; Seisembayeva, M.M.; Dzhumagulova, K.N.; Shalenov, E.O. Impact of Quantum Non-Locality and Electronic Non-Ideality on the Shannon Entropy for Atomic States in Dense Plasma. Entropy 2024, 26, 602. [Google Scholar] [CrossRef] [PubMed]
  24. Shalenov, E.O.; Nuraly, A.T.; Dzhumagulova, K.N. Bound States of the Hydrogen Atom in High-density Plasmas. Contrib. Plasma Phys. 2022, 62, e202200017. [Google Scholar] [CrossRef]
  25. Stanton, L.; Murillo, M. Unified Description of Linear Screening in Dense Plasmas. Phys. Rev. E 2015, 91, 033104. [Google Scholar] [CrossRef]
  26. Chen, Z. Theoretical Determination of the Electronic Structures and Photoelectron Angular Distributions after Stomic Photoionization in Finite Temperature Dense Plasmas. Eur. Phys. J. Plus 2025, 140, 782. [Google Scholar] [CrossRef]
  27. Chen, C.; Zhao, G.; Chen, Z.; Qi, Y.; Liu, L.; Wu, Y.; Wang, J. Electron Scattering on Finite-Temperature Quantum Screened Potential. Phys. Plasmas 2023, 30, 123503. [Google Scholar] [CrossRef]
  28. Zhao, G.; Chen, C.; Liu, L.; Chen, Z.; Qi, Y.; Wang, J. Sensitive Dependence of Photoionization for Highly Charged H-like Ion on the Plasma Environments. Phys. Plasmas 2022, 29, 053301. [Google Scholar] [CrossRef]
  29. Chen, Z.; Tian, Y.; Yin, Y.M.; Qi, Y.; Zhao, G.; Shen, X.; Wang, K. Theoretical Determination of Level Delocalizations, Plasma Shifts and Radiative Properties of Fusion Relevant Ni XXII in Finite Temperature Dense Plasmas using a Generalized Analytical b-Potential. J. Quant. Spectrosc. Radiat. Transf. 2021, 266, 107570. [Google Scholar] [CrossRef]
  30. Seisembayeva, M.M.; Shalenov, E.O.; Kossymkyzy, Z.; Turekhanova, K.M.; Jumagulov, M.N.; Ramazanov, T.S.; Dzhumagulova, K.N. Effective Interaction Potentials and the Scattering Cross Sections of the Lorentzian Dense Semiclassical Plasma Particles. Phys. Lett. A 2022, 447, 128313. [Google Scholar] [CrossRef]
  31. Shalenov, E.O.; Dzhumagulova, K.N.; Ramazanov, T.S.; Reinholz, H.; Röpke, G. Influence of Dynamic Screening on the Conductivity of Hydrogen Plasma Including Electron–Electron Collisions. Contrib. Plasma Phys. 2019, 59, e201900024. [Google Scholar] [CrossRef]
  32. Clementi, E.; Roetti, C. Roothaan-Hartree-Fock Atomic Wavefunctions: Basis Functions and Their Coefficients for Ground and Certain Excited States of Neutral and Ionized Atoms, Z≤54. At. Data Nucl. Data Tables 1974, 14, 177–478. [Google Scholar] [CrossRef]
  33. Salvat, F.; Martínez, J.D.; Mayol, R.; Parellada, J. Analytical Dirac–Hartree–Fock–Slater Screening Function for Atoms (Z=1–92). Phys. Rev. A 1987, 36, 467–474. [Google Scholar] [CrossRef]
  34. Seitkozhanov, Y.S.; Dzhumagulova, K.N.; Shalenov, E.O. Improved Ionization Potential Depression Model Incorporating Dynamical Structure Factors and Electron Degeneracy for Non-Ideal Plasma Composition. Entropy 2025, 27, 253. [Google Scholar] [CrossRef]
  35. Li, X.; Rosmej, F.B.; Lisitsa, V.S.; Astapenko, V.A. An analytical plasma screening potential based on the self-consistent-field ion-sphere model. Phys. Plasmas 2019, 26, 033301. [Google Scholar] [CrossRef]
  36. Shi, X.; Burrow, P.D. Differential Scattering Cross Sections of Neon at Low Electron Energies. J. Phys. B 1992, 25, 4273–4280. [Google Scholar] [CrossRef]
  37. Register, D.F.; Trajmar, S. Differential, Integral, and Momentum-Transfer Cross Sections for Elastic Electron Scattering by Neon: 5 to 100 eV. Phys. Rev. A 1984, 29, 1785–1792. [Google Scholar] [CrossRef]
  38. Gulley, R.J.; Alle, D.T.; Brennan, M.J.; Brunger, M.J.; Buckman, S.J. Differential and Total Electron Scattering from Neon at Low Incident Energies. J. Phys. B 1994, 27, 2593–2612. [Google Scholar] [CrossRef]
  39. Brewer, D.F.C.; Newell, W.R.; Harper, S.F.W.; Smith, A.C.H. Elastic Scattering of Low-Energy Electrons by Neon Atoms. J. Phys. B 1981, 14, L749–L754. [Google Scholar] [CrossRef]
  40. Linert, I.; Mielewska, B.; King, G.C.; Zubek, M. Elastic Electron Scattering in Neon in the 110°–180° Scttering Angle Range. Phys. Rev. A 2006, 74, 042701. [Google Scholar] [CrossRef]
  41. Cho, H.; McEachran, R.P.; Buckman, S.J.; Tanaka, H. Elastic Electron Scattering from Neon at Backward Angles. Phys. Rev. A 2008, 78, 034702. [Google Scholar] [CrossRef][Green Version]
  42. Adibzadeh, M.; Theodosiou, C.E. Elastic Electron Scattering from Inert-Gas Atoms. At. Data Nucl. Data Tables 2005, 91, 8–76. [Google Scholar] [CrossRef]
  43. Shigemura, K.; Kitajima, M.; Kurokawa, M.; Toyoshima, K.; Odagiri, T.; Suga, A.; Kato, H.; Hoshino, M.; Tanaka, H.; Ito, K. Total Cross Sections for Electron Scattering from He and Ne at Very Low Energies. Phys. Rev. A 2014, 89, 022709. [Google Scholar] [CrossRef]
  44. Robertson, A.G. The Momentum Transfer Cross Section for Low Energy Electrons in Neon. J. Phys. B 1972, 5, 648–664. [Google Scholar] [CrossRef]
  45. Fon, W.C.; Berrington, K.A. The Elastic Scattering of Electrons from Inert Gases. II Neon. J. Phys. B 1981, 14, 323–334. [Google Scholar] [CrossRef]
  46. Thirumalai, D.; Truhlar, D.G. Application of the Matrix-Effective-Potential Formalism to Electron–Neon Scattering at 150–700-eV Impact Energy and Comparison to Optical-Potential Calculations. Phys. Rev. A 1982, 25, 3058–3071. [Google Scholar] [CrossRef]
Figure 1. Effective potentials V H F S Q C  (9) (a,b), V P S Q C  (10) (c,d), V e x S Q C  (12) (e,f), and V o p t S Q C  (5) (g,h) describing the interaction of an electron with a neon atom without ( γ E C = 0 ) and with ( γ E C 0 ) electronic correlations at a fixed density parameter (rs = 3) and various values of the degeneracy parameter (θ). The symbols represent the results from Ref. [8]; the black and red lines represent our results without (λee = 0) and with (λee ≠ 0) quantum non-locality.
Figure 1. Effective potentials V H F S Q C  (9) (a,b), V P S Q C  (10) (c,d), V e x S Q C  (12) (e,f), and V o p t S Q C  (5) (g,h) describing the interaction of an electron with a neon atom without ( γ E C = 0 ) and with ( γ E C 0 ) electronic correlations at a fixed density parameter (rs = 3) and various values of the degeneracy parameter (θ). The symbols represent the results from Ref. [8]; the black and red lines represent our results without (λee = 0) and with (λee ≠ 0) quantum non-locality.
Physics 08 00005 g001aPhysics 08 00005 g001b
Figure 2. The composition of neon plasma relative fraction with charge i as a function of the electron degeneracy parameter.
Figure 2. The composition of neon plasma relative fraction with charge i as a function of the electron degeneracy parameter.
Physics 08 00005 g002
Figure 3. Phase shifts of electron scattering on the neon atom at a fixed density parameter r s = 2 and degeneracy parameter θ = 0.6 . The black lines represent the results obtained for λ e e = 0 and γ E C = 0 and the red lines represent the results for λ e e 0 and γ E C 0 .
Figure 3. Phase shifts of electron scattering on the neon atom at a fixed density parameter r s = 2 and degeneracy parameter θ = 0.6 . The black lines represent the results obtained for λ e e = 0 and γ E C = 0 and the red lines represent the results for λ e e 0 and γ E C 0 .
Physics 08 00005 g003
Figure 4. Differential cross-sections calculated for electron scattering on the neon atom as a function of the scattering angle at different energies of the incident electron in an isolated system ( κ = 0 , λ e e = 0 and γ E C = 0 ) compared to the experimental data [36,37,38,39,40,41] and the MERT calculations.
Figure 4. Differential cross-sections calculated for electron scattering on the neon atom as a function of the scattering angle at different energies of the incident electron in an isolated system ( κ = 0 , λ e e = 0 and γ E C = 0 ) compared to the experimental data [36,37,38,39,40,41] and the MERT calculations.
Physics 08 00005 g004
Figure 5. Partial (PCS (16)) and full (FCS (17)) cross-sections of electron scattering on the neon atom at a fixed density parameter ( r s = 2 ) and degeneracy parameter ( θ = 0.6 ) for various values of the orbital number l as indicated.
Figure 5. Partial (PCS (16)) and full (FCS (17)) cross-sections of electron scattering on the neon atom at a fixed density parameter ( r s = 2 ) and degeneracy parameter ( θ = 0.6 ) for various values of the orbital number l as indicated.
Physics 08 00005 g005
Figure 6. Electron scattering momentum transfer cross-sections (18) on the neon atom for an isolated system (for κ = 0 , λ e e = 0 and γ E C = 0 ) compared to the experimental data [38,41,42,43].
Figure 6. Electron scattering momentum transfer cross-sections (18) on the neon atom for an isolated system (for κ = 0 , λ e e = 0 and γ E C = 0 ) compared to the experimental data [38,41,42,43].
Physics 08 00005 g006
Figure 7. Momentum transfer cross-sections (18) for electron scattering on the neon atom for different values of the screening parameter compared to the calculations [8,37,44,45,46].
Figure 7. Momentum transfer cross-sections (18) for electron scattering on the neon atom for different values of the screening parameter compared to the calculations [8,37,44,45,46].
Physics 08 00005 g007
Figure 8. Momentum transfer cross-sections (18) for electron scattering on the neon atom for different λ e e values.
Figure 8. Momentum transfer cross-sections (18) for electron scattering on the neon atom for different λ e e values.
Physics 08 00005 g008
Figure 9. Electron scattering momentum transfer cross-sections on the neon atom with and without considering quantum non-locality and electronic correlations.
Figure 9. Electron scattering momentum transfer cross-sections on the neon atom with and without considering quantum non-locality and electronic correlations.
Physics 08 00005 g009
Table 1. Parameters for neon; see Equation (6).
Table 1. Parameters for neon; see Equation (6).
ZA1A2 α 1 α 2
100.01880.981234.9992.5662
Disclaimer/Publisher’s Note: The statements, opinions and data contained in all publications are solely those of the individual author(s) and contributor(s) and not of MDPI and/or the editor(s). MDPI and/or the editor(s) disclaim responsibility for any injury to people or property resulting from any ideas, methods, instructions or products referred to in the content.

Share and Cite

MDPI and ACS Style

Shalenov, E.O.; Tashkenbayev, Y.A.; Seitkozhanov, Y.S.; Dzhumagulova, K.N. Electron Scattering Properties in Dense Quantum Plasma of Neon. Physics 2026, 8, 5. https://doi.org/10.3390/physics8010005

AMA Style

Shalenov EO, Tashkenbayev YA, Seitkozhanov YS, Dzhumagulova KN. Electron Scattering Properties in Dense Quantum Plasma of Neon. Physics. 2026; 8(1):5. https://doi.org/10.3390/physics8010005

Chicago/Turabian Style

Shalenov, Erik O., Yerkhan A. Tashkenbayev, Yeldos S. Seitkozhanov, and Karlygash N. Dzhumagulova. 2026. "Electron Scattering Properties in Dense Quantum Plasma of Neon" Physics 8, no. 1: 5. https://doi.org/10.3390/physics8010005

APA Style

Shalenov, E. O., Tashkenbayev, Y. A., Seitkozhanov, Y. S., & Dzhumagulova, K. N. (2026). Electron Scattering Properties in Dense Quantum Plasma of Neon. Physics, 8(1), 5. https://doi.org/10.3390/physics8010005

Article Metrics

Back to TopTop