Kicked Fluxonium with a Quantum Strange Attractor
Abstract
1. Introduction
2. Model Description
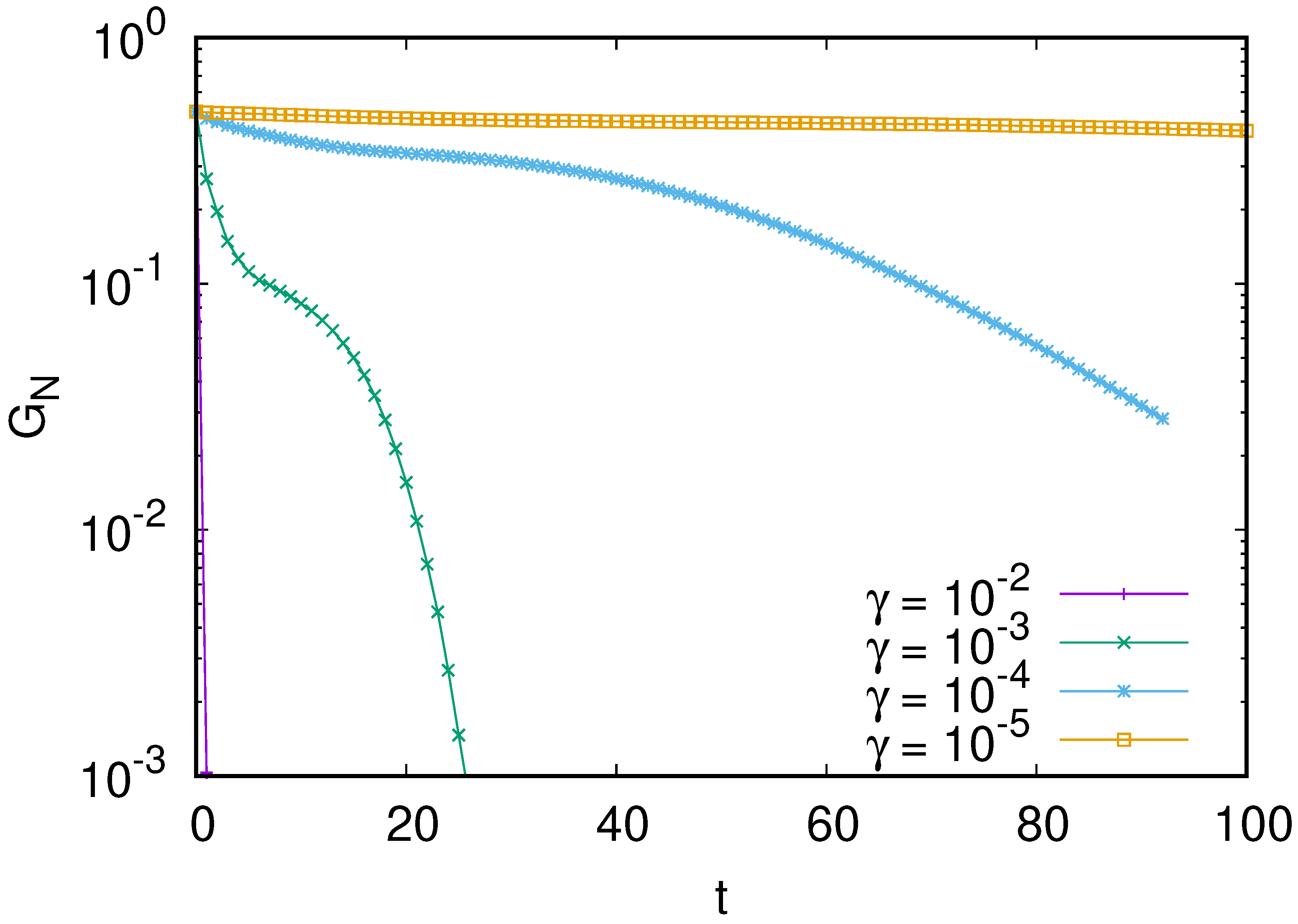
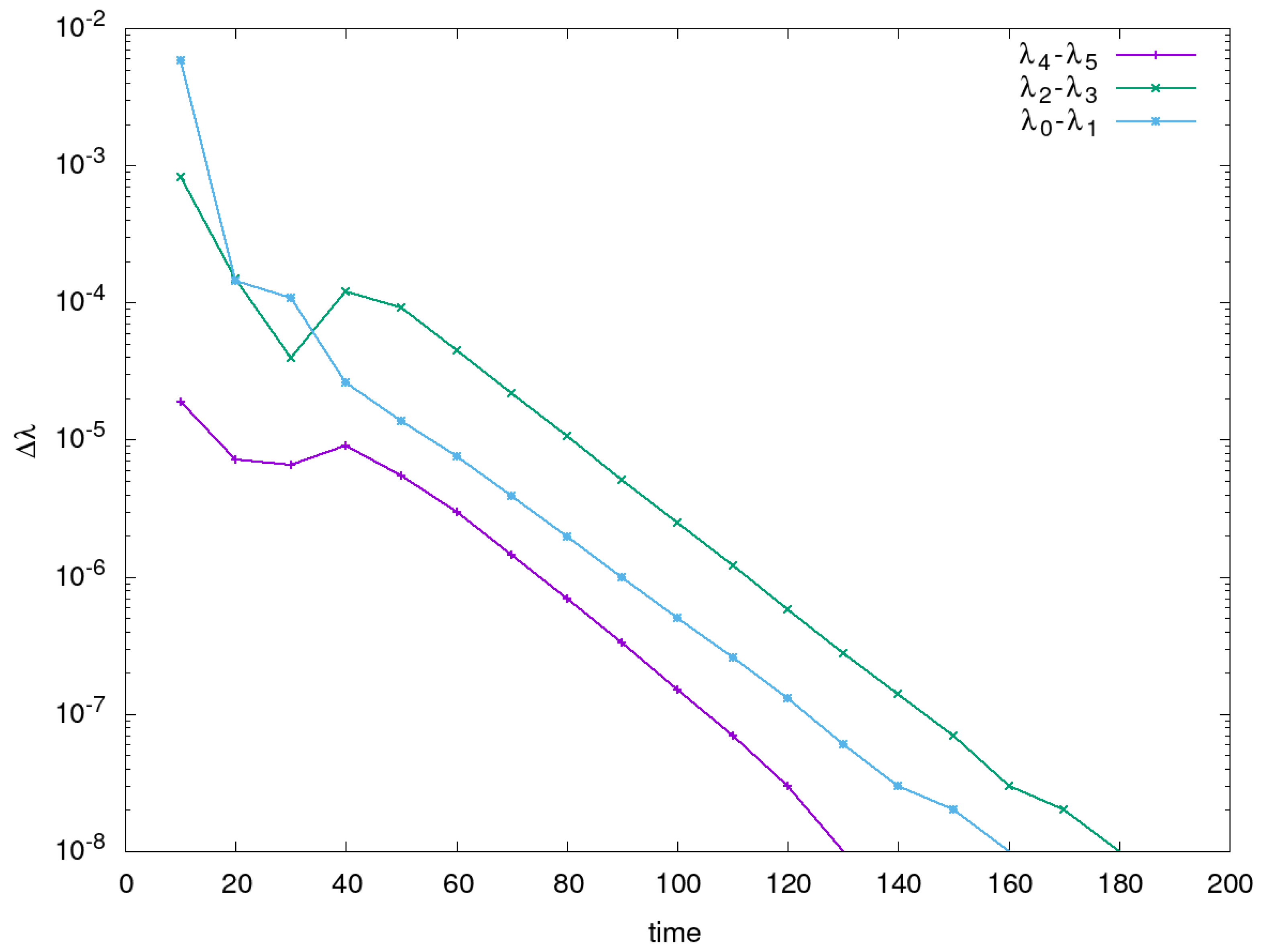
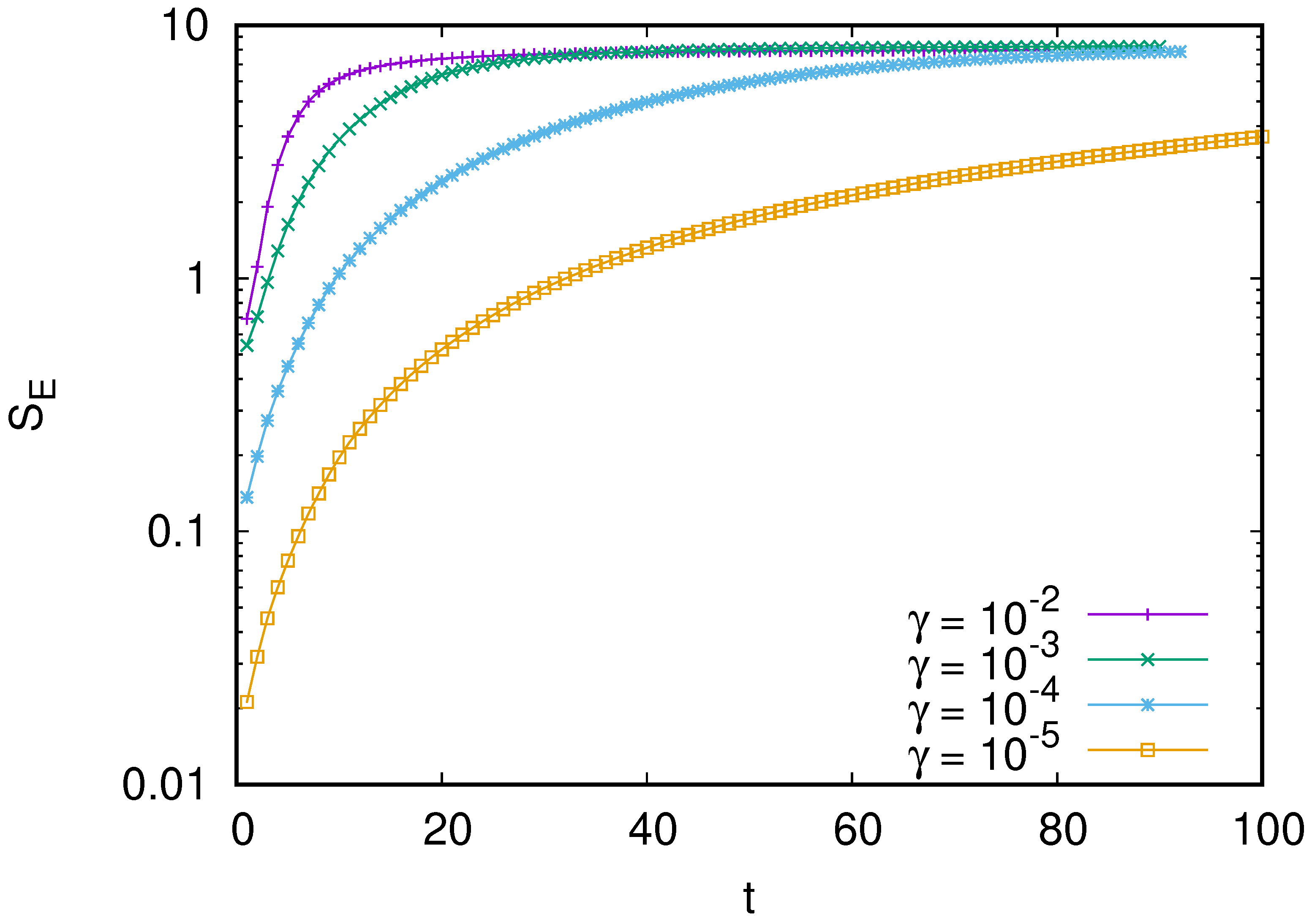
3. Results
4. Discussion
Author Contributions
Funding
Data Availability Statement
Acknowledgments
Conflicts of Interest
References
- Manucharyan, V.E.; Koch, J.; Glazman, L.I.; Devoret, M.H. Fluxonium: Single Cooper-pair circuit free of charge offsets. Science 2009, 326, 113–116. [Google Scholar] [CrossRef]
- Hazard, T.M.; Gyenis, A.; DiPaolo, A.; Asfaw, A.T.; Lyon, S.A.; Blais, A.; Houck, A.A. Nanowire superinductance fluxonium qubit. Phys. Rev. Lett. 2019, 122, 010504. [Google Scholar] [CrossRef] [PubMed]
- Nguyen, L.B.; Lin, Y.-H.; Somoroff, A.; Mencia, R.; Grabon, N.; Manucharyan, V.E. High-coherence fluxonium qubit. Phys. Rev. X 2019, 9, 041041. [Google Scholar] [CrossRef]
- Bao, F.; Deng, H.; Ding, D.; Gao, R.; Gao, X.; Huang, C.; Jiang, X.; Ku, H.-S.; Li, Z.; Ma, X.; et al. Fluxonium: An alternative qubit platform for high-fidelity operations. Phys. Rev. Lett. 2022, 129, 010502. [Google Scholar] [CrossRef] [PubMed]
- Somoroff, A.; Ficheux, Q.; Mencia, R.A.; Xiong, H.; Kuzmin, R.; Manucharyan, V.E. Millisecond coherence in a superconducting qubit. Phys. Rev. Lett. 2023, 130, 267001. [Google Scholar] [CrossRef]
- Mencia, R.A.; Lin, W.J.; Cho, H.; Vavilov, M.G.; Manucharyan, V.E. Integer fluxonium qubit. PRX Quantum 2024, 5, 040318. [Google Scholar] [CrossRef]
- Strickl, W.M.; Elfeky, B.H.; Baker, L.; Maiani, A.; Lee, J.; Levy, I.; Issokson, J.; Vrajitoarea, A.; Shabani, J. Gatemonium: A voltage-tunable fluxonium. PRX Quantum 2025, 6, 010326. [Google Scholar] [CrossRef]
- Nguyen, L.B.; Koolstra, G.; Kim, Y.; Morvan, A.; Chistolini, T.; Singh, S.; Nesterov, K.N.; Junger, C.; Chen, L.; Pedramrazi, Z.; et al. Blueprint for a High-performance fluxonium quantum processor. PRX Quantum 2022, 3, 037001. [Google Scholar] [CrossRef]
- Makhlin, Y.; Schon, G.; Shnirman, A. Quantum-state engineering with Josephson-junction devices. Rev. Mod. Phys. 2001, 73, 357–400. [Google Scholar] [CrossRef]
- Wendin, G. Quantum information processing with superconducting circuits: A review. Rep. Prog. Phys. 2017, 80, 106001. [Google Scholar] [CrossRef]
- Zaslavskii, G.M.; Zakharov, M.Y.; Sagdeev, R.Z.; Usikov, D.A.; Chernikov, A.A. Stochastic web and diffusion of particles in magnetic field. Zh. Exp. Teor. Fiz. 1986, 91, 500–516, English translation Sov. Phys. JETP 1986, 64, 294–303. Available online: http://jetp.ras.ru/cgi-bin/e/index/e/64/2/p294?a=list (accessed on 27 January 2026).
- Chernikov, A.A.; Sagdeev, R.Z.; Usikov, D.A.; Zakharov, A.Y.; Zaslavsky, G.M. Minimal chaos and stochastic web. Nature 1987, 326, 559–563. [Google Scholar] [CrossRef]
- Zaslavsky, G. Zaslavsky web map. Scholarpedia 2007, 2, 3369. [Google Scholar] [CrossRef]
- Chirikov, B.V. A universal instability of many-dimensional oscillator systems. Phys. Rep. 1979, 52, 263–379. [Google Scholar] [CrossRef]
- Lichtenberg, A.; Lieberman, M. Regular and Chaotic Dynamics; Springer Science+Business Media New York: New York, NY, USA, 1992. [Google Scholar] [CrossRef]
- Ott, E. Chaos in Dynamical Systems; Cambridge University Press: Cambridge, UK, 2002. [Google Scholar] [CrossRef]
- Shepelyansky, D.; Sire, C. Quantum evolution in a dynamical quasi-crystal. Europhys. Lett. (EPL) 1992, 20, 95–100. [Google Scholar] [CrossRef]
- Dana, I. Quantum suppression of diffusion on stochastic web. Phys. Rev. Lett. 1994, 73, 1609–1612. [Google Scholar] [CrossRef]
- Gardiner, S.A.; Cirac, J.I.; Zoller, P. Quantum chaos in an ion trap: The delta-kicked harmonic oscillator. Phys. Rev. Lett. 1997, 79, 4790–4793. [Google Scholar] [CrossRef]
- Hu, B.; Li, B.; Liu, J.; Zhou, J.-L. Squeezed state dynamics of kicked quantum systems. Phys. Rev. E 1998, 58, 1743–1756. [Google Scholar] [CrossRef]
- Kells, G.A.; Twamley, J.; Heffernan, D.M. Dynamical properies od the delta-kicked harmonic oscillator. Phys. Rev. E 2004, 79, 015203(R). [Google Scholar] [CrossRef]
- Carvalho, A.R.R.; Buchleitner, A. Web-assisted tunneling in the kicked harmonic oscillator. Phys. Rev. Lett. 2004, 93, 204101. [Google Scholar] [CrossRef]
- Billam, T.P.; Gardiner, S.A. Quantum resonances in an atom-optical δ-kicked harmonic oscillator. Phys. Rev. A 2009, 80, 023414. [Google Scholar] [CrossRef]
- Varikuti, N.D.; Sahu, A.; Lakshminarayan, A.; Madhok, V. Probing dynamical sensitivity of a non-Kolmogotov–Arnold–Moser system through out-of-time-order correlators. Phys. Rev. E 2024, 109, 014209. [Google Scholar] [CrossRef]
- Lima, R.; Shepelyansky, D. Fast delocalization in a model of quantum kicked rotator. Phys. Rev. Lett. 1991, 67, 1377–1380. [Google Scholar] [CrossRef] [PubMed]
- Artuso, R. Kicked Harper mode. Scholarpedia 2011, 6, 10462. [Google Scholar] [CrossRef]
- Chirikov, B.V.; Izrailev, F.M.; Shepelyansky, D.L. Quantum chaos: Localization vs. ergodicity. Phys. D 1988, 33, 77–88. [Google Scholar] [CrossRef]
- Chirikov, B.; Shepelyansky, D. Chirikov standard map. Scholarpedia 2008, 3, 2550. [Google Scholar] [CrossRef]
- Fishman, S. Anderson localization and quantum chaos maps. Scholarpedia 2010, 5, 9816. [Google Scholar] [CrossRef]
- Moore, F.L.; Robinson, J.C.; Bharucha, C.F.; Sundaram, B.; Raizen, M.G. Atom optics realization of the quantum Δ-kicked rotor. Phys. Rev. Lett. 1995, 75, 4598–4601. [Google Scholar] [CrossRef]
- Gorini, V.; Kossakowski, A.; Sudarshan, E.C.G. Completely positive dynamical semigroups of N-level systems. J. Math. Phys. 1976, 17, 821–825. [Google Scholar] [CrossRef]
- Lindblad, G. On the generators of quantum dynamical semigroups. Commun. Math. Phys. 1976, 48, 119–130. [Google Scholar] [CrossRef]
- Weiss, U. Quantum Dissipative Systems; World Scieentific: Singapore, 2021. [Google Scholar] [CrossRef]
- Dittrich, T.; Graham, R. Quantum effects in the steady state of the dissipative standard map. Europhys. Lett. (EPL) 1987, 4, 263–268. [Google Scholar] [CrossRef]
- Dittrich, T.; Graham, R. Effects of weak dissipation on the long-time behaviour of the quantized standard map. Europhys. Lett. (EPL) 1988, 7, 287–291. [Google Scholar] [CrossRef]
- Carlo, G.G.; Benenti, G.; Shepelyansky, D.L. Dissipative quantum chaos: Transition from wave packet collapse to explosion. Phys. Rev. Lett. 2005, 95, 164101. [Google Scholar] [CrossRef] [PubMed]
- Carmichael, H.J. Quantum trajectory theory for cascaded open systems. Phys. Rev. Lett. 1993, 70, 2273–2276. [Google Scholar] [CrossRef] [PubMed]
- Brun, T.A.; Percival, I.C.; Schack, R. Quantum chaos in open systems: A quantum state diffusion analysis. J. Phys. A Math. Gen. 1996, 29, 2077–2090. [Google Scholar] [CrossRef]
- Brun, T.A. A simple model of quantum trajectories. Am. J. Phys. 2002, 70, 719–737. [Google Scholar] [CrossRef]
- Ehrenfest, P. Bemerkung über die angenaherte Gultigkeit der klassischen Mechanik innerhalb der Quantenmechanik. Z. Phys. 1927, 45, 455–457. [Google Scholar] [CrossRef]
- Ehrenfest, P. Remark on the Approximate Validity of Classical Mechanics within Quantum Mechanics. Available online: https://www.neo-classical-physics.info/electromagnetism.html (accessed on 27 January 2026).
- Shepelyansky, D. Ehrenfest time and chaos. Scholarpedia 2020, 15, 55031. [Google Scholar] [CrossRef]
- Frahm, K.M.; Fleckinger, R.; Shepelyansky, D.L. Quantum chaos and random matrix theory for fidelity decay in quantum computations with static imperfections. Eur. Phys. J. D 2004, 29, 139–155. [Google Scholar] [CrossRef]
- Frahm, K.M.; Shepelyansky, D.L. Diffusion and localization for the Chirikov typical map. Phys. Rev. E 2009, 80, 016210. [Google Scholar] [CrossRef]
- Landau, L.D.; Lifshitz, E.M. Mechanics; Elsvier Butterworth–Heinemann/Elsevier Ltd.: Oxford, UK, 1976. [Google Scholar] [CrossRef]
- Prudnikov, A.P.; Brychkov, Y.A.; Marichev, O.I. Integrals and Series. Volume 3: More Special Functions; Gordon and Breach Science Publishers: Amsterdam, The Netherlands, 1986; see point 2.20.16 (22). [Google Scholar]
- Chepelianskii, A.D.; Shepelyansky, D.L. Quantum synchronization and entanglement of dissipative qubits coupled to a resonator. Entropy 2024, 26, 415. [Google Scholar] [CrossRef]
- Chang, S.J.; Shi, K.-J. Evolution and exact eigenstates of a resonant quantum system. Phys. Rev. A 1986, 34, 7–22. [Google Scholar] [CrossRef]
- Reglade, U.; Bocquet, A.; Gautier, R.; Cohen, J.; Marquet, A.; Albertinale, E.; Pankratova, N.; Hallen, M.; Rautschke, F.; Sellem, L.-A.; et al. Quantum control of a cat qubit with bit-flip times exceeding ten seconds. Nature 2024, 629, 778–783. [Google Scholar] [CrossRef]
- Nielsen, M.A.; Chuang, I.L. Quantum Computation and Quantum Information; Cambridge University Press: New York, USA, 2010. [Google Scholar] [CrossRef]
- Eisert, J.; Cramer, M.; Plenio, M.B. Area laws for the entanglement entropy. Rev. Mod. Phys. 2010, 82, 277–306. [Google Scholar] [CrossRef]
- Vidal, G.; Werner, R.F. Computable measure of entanglement. Phys. Rev. A 2002, 65, 032314. [Google Scholar] [CrossRef]
- Bengtsson, I.; Zyczkowski, K. Geometry of Quantum States: An Introduction to Quantum Entanglement; Cambridge University Press: Cambridge, UK, 2017. [Google Scholar] [CrossRef]
- Plenio, M.B. The logarithmic negativity: A full entanglement monotone that is not convex. Phys. Rev. Lett. 2005, 95, 000503. [Google Scholar] [CrossRef]






Disclaimer/Publisher’s Note: The statements, opinions and data contained in all publications are solely those of the individual author(s) and contributor(s) and not of MDPI and/or the editor(s). MDPI and/or the editor(s) disclaim responsibility for any injury to people or property resulting from any ideas, methods, instructions or products referred to in the content. |
© 2026 by the authors. Licensee MDPI, Basel, Switzerland. This article is an open access article distributed under the terms and conditions of the Creative Commons Attribution (CC BY) license.
Share and Cite
Chepelianskii, A.D.; Shepelyansky, D.L. Kicked Fluxonium with a Quantum Strange Attractor. Physics 2026, 8, 22. https://doi.org/10.3390/physics8010022
Chepelianskii AD, Shepelyansky DL. Kicked Fluxonium with a Quantum Strange Attractor. Physics. 2026; 8(1):22. https://doi.org/10.3390/physics8010022
Chicago/Turabian StyleChepelianskii, Alexei D., and Dima L. Shepelyansky. 2026. "Kicked Fluxonium with a Quantum Strange Attractor" Physics 8, no. 1: 22. https://doi.org/10.3390/physics8010022
APA StyleChepelianskii, A. D., & Shepelyansky, D. L. (2026). Kicked Fluxonium with a Quantum Strange Attractor. Physics, 8(1), 22. https://doi.org/10.3390/physics8010022

