Previous Article in Journal
Temperature Dependence of the Response Functions of Graphene: Impact on Casimir and Casimir–Polder Forces in and out of Thermal Equilibrium
Previous Article in Special Issue
A Comparison of Quantum and Semiclassical Rabi Models Near Multiphoton Resonances in the Presence of Parametric Modulation
 
 
Font Type:
Arial Georgia Verdana
Font Size:
Aa Aa Aa
Line Spacing:
Column Width:
Background:
Article

Disentanglement of a Bipartite System Portrayed in a (3+1)D Compact Minkowski Manifold: Quadridistances and Quadrispeeds

by
Salomon S. Mizrahi
Departamento de Física, Universidade Federal de São Carlos, Via Washington Luis 235, São Carlos 13560-905, SP, Brazil
Physics 2025, 7(4), 45; https://doi.org/10.3390/physics7040045
Submission received: 6 June 2025 / Revised: 27 August 2025 / Accepted: 29 August 2025 / Published: 28 September 2025

Abstract

In special relativity, particle trajectories, whether mass-bearing or not, can be traced on the Minkowski spacetime manifold in (3+1)D. Meantime, in quantum mechanics, trajectories in the phase space are not strictly outlined because coordinate and linear momentum cannot be measured simultaneously with arbitrary precision since they do not commute within the Hilbert space formalism. However, from the density matrix representing a quantum system, the extracted information still produces an imperative description of its properties and, furthermore, by appropriately reordering the matrix entries, additional information can be obtained from the same content. Adhering to this line of work, the paper investigates the definition and the meaning of velocity and speed in a typical quantum phenomenon, the disentanglement for a bipartite system when dynamical evolution is displayed in a (3+1)D pseudo-spacetime whose coordinates are constructed from combinations of entries to the density matrix. The formalism is based on the definition of a Minkowski manifold with compact support, where trajectories are defined following the same reasoning and formalism present in the Minkowski manifold of special relativity. The space-like and time-like regions acquire different significations referred to entangled-like and separable-like, respectively. The definition and the sense of speed and velocities of disentanglement follow naturally from the formalism. Depending on the dynamics of the physical state of the system, trajectories may meander between regions of entanglement and separability in the space of new coordinates defined on the Minkowski manifold.

1. Introduction

According to the prevalent physical theories, it is commonly assumed that the principle of causality may not be violated. That is, it is not permitted that energy, matter, or “meaningful information” travel at a speed higher than the speed of light in outer space, also known as superluminal or supercausal transmission. According to special relativity (SR) [1], only particles with zero mass, such as photons and possibly neutrinos, may travel at the speed of light c. Although the superluminal motion of any type of particle contradicts the theory of relativity, certain quantum mechanics effects suggest otherwise when subjected to the scrutiny of current understanding. These include the tunnel effect, nonlocal spooky action at a distance, and the loss of entanglement of a bipartite/multipartite system under measurement or environmental influence [2,3].
Historically, the connection between SR and quantum mechanics was established soon after its conception in 1926. Erwin Schrödinger explored this connection without publishing his findings [4], see also [5]. Subsequently, the formalism was developed by Oskar Klein [6], Walter Gordon [7], and Paul Dirac [8], leading to the Klein–Gordon equation for integer-spin particles and the Dirac equation for spin-1/2 particles [9]. Subsequently, the concept of quantized fields emerged in quantum theory, along with the principle of invariance of the Lagrangian function under Lorentz transformations [10].
The current paper does not combine non-relativistic quantum mechanics with SR as a variant of what has been achieved so far; instead, the study, uses, as motivation, the formal structure of SR to define a speed for the disentanglement of a bipartite system described in a Hilbert space, H 2 , with dependence on the parameters that characterize the speed, even when there is a time dependence simulating decoherence [11].
In quantum mechanics, the discussion regarding the separability and entanglement of bipartite states has already been explored from another perspective (see [12,13]) immersed in a compact-support Minkowski manifold (bounded domain) in (3+1)D. This approach introduces two new coordinate systems that complement each other, with the advantage of allowing graphical visualization of trajectories. The physical sense differs from the conventional treatment in SR, whose spacetime variables are defined in a non-compact domain , + . Those studies focused on two-qubit states, characterized by parameters present in the Hamiltonian of a physical system and represented by a density operator. The theory utilizes formal similarities with SR, particularly through the Minkowski manifold. As soon as quantum mechanics collects information probabilistically, the measure space ( E , X , μ ) (where E is a set, X is an algebra σ of subsets of E, and μ is a non-negative measure on E, defined on the sets X) has a measure of μ ( E ) = 1 and the mathematical object where all information resides is a density operator ρ ^ , and its essential (trace) feature Tr ρ ^ = 1 implies the compactification of the Minkowski manifold. In the new coordinate systems, the trajectories meander through two distinct regions: one for world lines, referred to as a “separable-like” region, with allusion to the time-like region of SR, while the other is termed “entangled-like”, corresponding to the space-like region.
In Ref. [12], several physical systems proposed in Refs. [14,15,16,17,18,19,20,21,22,23,24,25] are analyzed. Depending on the set of parameters of each two-qubit system, the trajectories related to each state exhibit a common behavior, starting as an entangled state, and, depending on the numerical values assigned to the parameters, a trajectory can progressively evolve toward the separable-like region. The trajectories can cross the “light-like” line that separates the two regions, and oscillate between both.
In line with the current theme, a recent experiment was published in Ref. [26], where it is reported that an electron ejected by an extremely intense high-frequency laser pulse remains entangled with the remaining electrons of the atom. If the radiation is strong enough, it is possible that a second electron in the atom may also be affected: it may be displaced to a higher-energy state and then orbit the atomic nucleus on a different trajectory. According to Joachim Burgdörfer, one of the authors of Ref. [27], “...this means that the ejected electron exists in a superposition of having left the atom multiple times without a definite momentum”. The state of the remaining electron (these two electrons are now entangled) affects the probability of the ejected electron’s birth moment: if the remaining electron is of a higher energy, the ejected electron probably left earlier; if the remaining electron is of lower energy, it probably left later, with an average of about 232 attoseconds. It is only possible to analyze the electrons altogether. It is also possible to perform a measurement one of the electrons and, at the same time, learn something about the other electron.
The paper provides a concise review of bipartite quantum systems with a specific focus on a generic two-qubit state. A formal comparison is made between the Minkowski manifold of SR and the compact-support Minkowski manifold. Subsequently, new coordinate systems are defined, and the so-called Peres–Horodecki criterion is adopted to distinguish between regions of separability and entanglement in the manifold space. Next, velocities and speed of disentanglement are defined as the state of the system evolves through the manifold, which is equipped with reference frames, where pseudo-time and the pseudo Euclidean space R 3 define the coordinate systems (3+1)D. When ordinary physical time t is introduced as a free internal parameter, to simulate decoherence, one can follow the evolution of the trajectory. A phenomenon commonly referred to in the literature [19,20] as sudden death is exhibited in the current formalism [12,13], where resurgences also occur.

2. The Two-Qubit State

The most general two-qubit state (pure or mixed after tracing ove ( N 2 ) qubits, where N denotes the number of qubits in a multiqubit system) can be expressed in the so-called Fano’s form [28,29], and see, for instance, Equations (34) and (54) in Ref. [30]:
ρ ^ = 1 2 2 1 ^ 1 1 ^ 2 + 1 ^ 1 σ 2 · P 2 + σ 1 · P 1 1 ^ 2 + σ 1 · M · σ 2 ,
where 1 ^ k are the unit operators (or 2 × 2 matrices), σ is a vector whose x , y and z components are the Pauli matrices σ x , σ y , and σ z , respectively, P k = Tr σ k ρ ^ is a polarization vector (PV) associated with each qubit with k = 1 , 2 and M is a dyadic operator (the two-side arrow on top denoting each side the dyadic is being multiplied by the Pauli vectors) encasing the correlation matrix (CM)
M = M x x M x y M x z M y x M y y M y z M z x M z y M z z ,
where the left subscript represents qubit 1 and the right one stands for qubit 2), whose inputs are M i j = σ 1 , i σ 2 , j = Tr ρ ^ σ 1 , i σ 2 , j and M i j 1 . A two-qubit separable state has the following properties: (i) the polarization vectors are written as P μ = k p k Q μ k , where Q μ k ( μ = 1 , 2 ) is a vector, Q μ k 1 , the superscript k characterizes a direction in 3D, and (ii) whenever the dyadic can be written as M = k p k Q 1 k Q 2 k . With weights p k 0 , 1 and k p k = 1 , the state (1) reads
ρ ^ sep = 1 4 k p k 1 ^ 1 + Q 1 k · σ 1 1 ^ 2 + Q 2 k · σ 2 ,
a form which characterizes the qubits’ separability state.

2.1. Polarization Vectors and Correlation Matrix

The state (1) can also be displayed in matrix form (see [12,13]):
ρ = 1 4 1 + P 1 , z + P 2 , z + M z z P 2 , x i P 2 , y + M z x i M z y P 2 , x + i P 2 , y + M z x + i M z y 1 + P 1 , z P 2 , z M z z P 1 , x + i P 1 , y + M x z + i M y z M x x + M y y i M x y M y x M x x M y y + i M x y + M y x P 1 , x + i P 1 , y M x z i M y z P 1 , x i P 1 , y + M x z i M y z M x x M y y i M x y + M y x M x x + M y y + i M x y M y x P 1 , x i P 1 , y M x z + i M y z 1 P 1 , z + P 2 , z M z z P 2 , x i P 2 , y M z x + i M z y P 2 , x + i P 2 , y M z x i M z y 1 P 1 , z P 2 , z + M z z ,
which depends on fifteen free parameters with constraint Tr æ = 1 and Tr ρ 2 1 . The polarization vectors are
P 1 = P 1 , x P 1 , y P 1 , z = 2 ρ 13 + ρ 24 2 ρ 13 + ρ 24 2 ρ 11 + ρ 22 1
and
P 2 = P 2 , x P 2 , y P 2 , z = 2 ρ 12 + ρ 34 2 ρ 12 + ρ 34 2 ρ 11 + ρ 33 1 ,
where the superscript represents the transposition operation, signifies that only the real part of the argument to be considered, stands for the imaginary component, and the CM (2) can be expressed as
M = 2 ρ 14 + ρ 23 2 ρ 23 + ρ 41 2 ρ 13 ρ 24 2 ρ 41 + ρ 32 2 ρ 23 ρ 14 2 ρ 24 ρ 13 2 ρ 12 ρ 34 2 ρ 34 ρ 12 1 2 ρ 22 + ρ 33 .
The reduced density matrix for each qubit depends only on a qubit’s own polarization vector
Tr 2 ρ = ρ ( 1 ) = ρ 11 + ρ 22 ρ 13 + ρ 24 ρ 31 + ρ 42 ρ 33 + ρ 44 = 1 2 1 + P 1 , z P 1 , x i P 1 , y P 1 , x + i P 1 , y 1 P 1 , z ,
Tr 1 ρ = ρ ( 2 ) = ρ 11 + ρ 33 ρ 12 + ρ 34 ρ 21 + ρ 43 ρ 22 + ρ 44 = 1 2 1 + P 2 , z P 2 , x i P 2 , y P 2 , x + i P 2 , y 1 P 2 , z
or ρ ^ k = 1 2 1 ^ + σ k · P k , k = 1 , 2 , with P k 1 , where the correlation of one qubit with its partner appears in matrix (7). The qubits may be devoid of polarization and still be correlated.

2.2. Positivity Partial Transposition

A density matrix, complete or reduced (obtained by tracing over a subset of the degrees of freedom of a physical system), contains information about the system that can be extracted through appropriate operations. In 1996, an innovative procedure was proposed, independently, by Asher Peres [14] and the Horodecki family [15]. This method, known as positive partial transposition (PPT), involves a specific transposition of the matrix entries (4) through a particular local operation on only one qubit, resulting in a different matrix, denoted ρ . According to the Peres–Horodecki criterion (PHC), it is possible to identify an entangled state when at least one eigenvalue of ρ becomes negative for a specific value (or set of values) of the system’s parameters.
Symbolically, ρ ^ = 1 ^ 1 T ^ 2 ρ ^ , where T ^ 2 represents the transposition operation on qubit 2. Partitioning the matrix (4) into four sub-blocks 2 × 2 , the transposition is performed on diagonal entries within each sub-block, i.e., ρ 12 ρ 21 , ρ 14 ρ 23 , ρ 32 ρ 41 , and ρ 34 ρ 43 , which is a positive map, but not completely positive. Therefore, it provides a necessary and sufficient condition to test the separability, or entanglement, of the qubits in state ρ ^ .
The changes in the position entries in the matrix (4), which result in the matrix ρ , make it possible to construct a geometric representation in a 3D Euclidean space R 3 , resulting in a sign change in the polarization vector P 2 , as well as a sign change in particular entries in the CM (2),
P 2 P 2 = P 2 , x P 2 , y P 2 , z ,
and
M M = M x x M x y M x z M y x M y y M y z M z x M z y M z z .
Expressions (10) and (11) cannot be obtained through a unitary transformation; they exhibit a reflection of the Pauli vector σ 2 by the xz plane in R 3 , resulting in a virtual image (in optics, a real image can be projected onto a surface because the rays converge, while a virtual image cannot be projected because the rays only appear to diverge). The drawing in Figure 1 is an allegorical image for states ρ and ρ .
While ρ conveys standard information about physical reality, ρ reveals complementary information that cannot be directly extracted from ρ , as illustrated by the red spot.

2.3. D7 Class Matrix with Seven Free Parameters

In order to provide greater clarity in the description of entanglement and separability, the fifteen free parameters in the matrix (4) are avoided, and this number is reduced to seven, making up matrices of the D7 class. Assuming that the polarization vectors are oriented along the z direction in R 3 , which are represented as P k = 0 0 P k , z for k = 1 , 2 , the number of nonzero entries (free parameters) in the correlation matrix is reduced just to five elements:
M = M x x M x y 0 M y x M y y 0 0 0 M z z ,
such that the matrix (4) to be dealt with reduces to
ρ D 7 = 1 4 1 + P 1 , z + P 2 , z + M z z 0 0 1 + P 1 , z P 2 , z M z z 0 M x x + M y y + i M y x M x y M x x M y y + i M y x + M x y 0 0 M x x M y y i M y x + M x y M x x + M y y i M y x M x y 0 1 P 1 , z + P 2 , z M z z 0 0 1 P 1 , z P 2 , z + M z z .
The seven free parameters can now be combined to define a new set of eight parameters:
t ± = 1 ± M z z 2 , u ± = P 1 , z ± P 2 , z 2 ,
v ± = M x x ± M y y 2 , and w ± = M y x ± M x y 2 ,
where digit 1 in t ± is inserted to complete the set, thus two sets of coordinates define the Minkowski manifold. The eigenvalues of the matrix (13) are
λ 1 = t + X 1 / 2 ,   λ 2 = t X 1 / 2 ,   λ 3 = t + + X 2 / 2 ,   and λ 4 = t + X 2 / 2 ,
where
X 1 2 = u 2 + v + 2 + w 2 and X 2 2 = u + 2 + v 2 + w + 2
represent specific quadratic distances from the origin in the frame system in R 3 . According to the PHC, the partial transposition on qubit 2 turns out to be equivalent in making the changes
( t ± , u ± , v ± , w ± ) t ± , u ± , v , w
and the eigenvalues of the partially transposed matrix ρ D 7 are
λ 1 = t + X 1 / 2 ,   λ 2 = t X 1 / 2 ,   λ 3 = t + + X 2 / 2 ,   and λ 4 = t + X 2 / 2 ,
where, differently from the quadratic forms (17), one has
X 1 2 = u 2 + v 2 + w + 2 , and X 2 2 = u + 2 + v + 2 + w 2 .
Comparing Equation (20) with Equation (17), one observes that only the parameters v and w have the subscripts “+” and “−” been swapped. The set of eigenvalues λ i can be obtained directly from the set λ i by changing the sign P 2 , y P 2 , y and M k y M k y ( k = x , y , z ) , or, equivalently, v ± , w ± v , w .

2.4. Quadridistance in the Compact Minkowski Manifold

Quadratic quadridistances in the compact Minkowski manifold (CMM), associated with the matrices ρ D 7 and ρ D 7 , are defined as
s 1 2 = t 2 X 1 2
s 1 2 = t 2 X 1 2 ,
s 2 2 = t + 2 X 2 2 ,
s 2 2 = t + 2 X 1 2 ,
and the invariance of the sums, s 1 2 + s 2 2 = s 1 2 + s 2 2 , is verified. This refers to a symmetry that remits to the invariance under Lorentz transformations in SR, although operating under dissimilar physical conditions. While each term on the left side of Equations (21)–(24) should apparently be non-negative, one of the terms on the right side, (22) or (24), may be negative, which serves as an indicator of state entanglement. Similar to special relativity, from now on, each parameter t ± is interpreted as time and the sets { u ± , v ± , w ± } are viewed as coordinates in R 3 . Using the terminology of SR, the quadridistances s 1 2 and s 2 2 as timelike and, in particular, they contain no information about the separability or entanglement of the qubits. In contrast, the PHC applied to the partially transposed state introduces imperative information into the quadridistances (22) and (24) that allows to confirm, or not, whether the qubits are entangled. For specific numerical values of the parameters of the physical system, if at least one of the two quadridistances, s 1 2 or s 2 2 , exhibits a negative value, then the qubits are in an entangled state. Using the terminology of SR, one says that the qubits’ state lies in the entangled-like region. On the other hand, when both conditions, ( s 1 T ) 2 > 0 and ( s 2 ) 2 > 0 , are satisfied, the state of qubits is within the separable-type region. The equality ( s k ) 2 = 0 defines the boundary between these regions, corresponding to the surface of the light cone.

3. Velocity of Disentanglement

The CMM coordinates in Equations (21)–(24) are related to the entries of the matrix (13) as follows:
s 1 t , u , v + , w = 1 M z z 2 , P 1 , z P 2 , z 2 , M x x + M y y 2 , M y x M x y 2 ,
s 2 t + , u + , v , w + = 1 + M z z 2 , P 1 , z + P 2 , z 2 , M x x M y y 2 , M y x + M x y 2 ,
s 1 t , u , v , w + = 1 M z z 2 , P 1 , z P 2 , z 2 , M x x M y y 2 , M y x + M x y 2 ,
s 2 t + , u + , v + , w = 1 + M z z 2 , P 1 , z + P 2 , z 2 , M x x + M y y 2 , M y x M x y 2 ,
and each component in t , u , v + , w and t + , u + , v , w + may depend, intrinsically, on the parameters present in the Hamiltonian or in the density matrix of the physical system. In R 3 , two “velocities” can be defined as
V 1 = d X 1 d t = d u d t , d v + d t , d w d t ,
V 2 = d X 2 d t + = d u + d t + , d v d t + , d w + d t + .
For a dynamical system whose evolution is measured in real time t, such as an intrinsic parameter, with all other parameters fixed, the velocities are
d u d t , d v + d t , d w d t u / t t / t , v + / t t / t , w / t t / t fixed parameters ,
d u + d t + , d v d t + , d w d t + u + / t t + / t , v / t t + / t , w + / t t + / t fixed parameters .
The speeds are
V 1 = V 1 = d u d t 2 + d v + d t 2 + d w d t 2 1 / 2 ,
V 2 = V 2 = d u + d t + 2 + d v d t + 2 + d w + d t + 2 1 / 2 ,
and each one can be plotted in parametric form V 1 t × t t and V 2 t × t + t . In the CMM, the quadrispeeds are positive
d s 1 d t = 1 V 1 2 > 0 ,
d s 2 d t + = 1 V 2 2 > 0
for V 1 2 < 1 and V 2 2 < 1 , and V 1 2 = 1 , and V 2 2 = 1 represent a pseudo “maximum speed”, such as speed of light in a cosmic vacuum, although there is no definition of a maximal speed in the CMM, as they depend on the system´s parameters.
The same is correct for the PPT matrix, where the velocities are
V 1 = d X 1 d t = d u d t , d v d t , d w + d t ,
V 2 = d X 2 d t + = d u + d t + , d v + d t + , d w d t + ,
the speeds are
V 1 = V 1 = d u d t 2 + d v d t 2 + d w + d t 2 1 / 2 ,
V 2 = V 2 = d u + d t + 2 + d v + d t + 2 + d w d t + 2 1 / 2 ,
and the squared quadrispeeds are
d s 1 d t 2 = 1 V 1 2 ,
d s 2 d t + 2 = 1 V 2 2 ,
where negative values are not excluded. Factually, the sets of coordinates t , u , v , w + and t + , u + , v + , w depend on the system’s parameters, and for a physical system evolving in real time the equivalent to Equations (31) and (32), the velocities are
d u d t , d v d t , d w + d t u / t t / t , v / t t / t , w + / t t / t fixed parameters ,
d u + d t + , d v + d t + , d w d t + u + / t t + / t , v + / t t + / t , w / t t + / t fixed parameters .
Here, also, speeds can be plotted in parametric forms, such as V 1 t × t t and V 2 t × t + t .

4. The Blank–Exner–Werner State Model as a Test Track

Let us now illustrate the key point of this presentation by defining the “speed of disentanglement” in the CMM; the sense of this speed is to be compared with that in SR, as given in Appendix A. For sake of clarity and to restrict the matter to comparably simple and straightforward calculations, the Blank–Exner–Werner (BEW) two-qubit mixed state [16,17] is utilized, which depends solely on a parameter x; that is, the polarization vectors are null while the elements of the correlation matrix exhibit a linear dependence, as shown in Table 1.
The BEW state is a mixture of a two-qubit singlet state (such as in two spin-1/2 particles), ψ , balanced with the unit operator I ^ (to be represented by a 4 × 4 trivial doubly stochastic matrix, i.e., the unit matrix),
ρ ^ x = x ψ ψ + 1 x 4 I ^ ,
and x [ 0 , 1 ] represents a weight or a probability. If one considers x as a function of time, denoted as x ( t ) , which varies due to the interaction of qubits with environment, one can basically assign the initial value x ( 0 ) = 1 , and the limit value is lim t x ( t ) = 0 . This suggests that the initial pure state inevitably transitions into a stochastic state and eventually ceases to exist. This consideration simulates a decoherence process.
In the computational basis the stochastic two-qubit state I ^ is represented as
I ^ = 00 00 + 11 11 + 01 01 + 10 10
its factorization shows the separability, I ^ = I ^ 1 I ^ 2 , where I ^ k = 0 0 + 1 1 k , and
ψ = 01 10 2 ,
is the singlet state.
State (45) in matrix form,
ρ D 7 x = 1 4 1 x 0 0 0 0 1 + x 2 x 0 0 2 x 1 + x 0 0 0 0 1 x ,
is mixed for any x < 1 , while it is totally stochastic for x = 0 and is pure for x = 1 . For the singlet, the eigenstates and eigenvalues are
ψ λ s x = 1 4 3 x + 1
and
11 , 00 , ψ + λ t x = 1 4 1 x
for the triplet, displaying a triple degeneracy. The new parameters, which are also coordinates in the CMM, are
t , u , v + , w = 1 + x / 2 , 0 , x , 0 ,
t + , u + , v , w + = 1 x / 2 , 0 , 0 , 0 ,
and, only for the purpose of comparison with SR, one defines a fictitious “light cone” line at an angle of 45
t , u , v , w 45 = x , 0 , x , 0 .
In space–time plane in Figure 2, the blue line at 45 in Equation (53) divides the quadrant into the two sectors. Both the green and black solid lines are located in the upper sector. The inclination of the black line relative to the x-axis is steeper than that of the blue line. This suggests that if t is considered a common time, a point along the black line travels faster than the one moving along the blue line. The states evolving along the blue line are metaphorically referred “luminal”, which implies that the states evolving along the black line are “superluminal”. Therefore, in this scenario, there is no barrier to establishing an upper limit for speed, and this behavior remits to the emblematic assertion in Ref. [2], i.e., “spooky action at a distance”. The vertical green line on the ordinate indicates that the system can exist in any mixture state, depending only on the pseudo-time.
The partially transposed matrix
ρ ^ D 7 = 1 4 1 x 0 0 2 x 0 1 + x 0 0 0 0 1 + x 0 2 x 0 0 1 x ,
provides additional information about the system. Regarding eigenstates and eigenvalues,
ψ + λ t x = 1 4 1 3 x ,
is no longer the singlet state as it swapped position with one of the triplet,
11 , 00 , ψ λ t x = 1 4 1 + x ,
that displays a triple degeneracy. The parameters, which are also coordinates in the CMM, are
t , u , v , w + = 1 + x / 2 , 0 , 0 , 0 ,
and
t + , u + , v + , w = 1 x / 2 , 0 , x , 0 .
Since the PHC can be used here, the two sectors shown in Figure 3 acquire different meanings. The upper sector characterizes separable BEW states, the lower sector contains entangled states, and the blue line divides the separable sector from the entangled. In Figure 3, the system (57)–(58), plotted on a space–time plane is to be compared with Figure 2. Here, if t is an ordinary time, the state evolving along the black line is “superluminal”; however, while residing in the upper sector, the state is separable and is certainly entangled, according to the PHC, when found in the lower sector.

4.1. Quadridistance for Matrix ρ D 7

The quadridistances squared
s 1 2 x = t 2 X 1 2 = 1 4 1 x 1 + 3 x 0
and
s 2 2 x = t + 2 X 2 2 = 1 x 2 2 0
provide information about the BEW state. In a reference frame in R 3 , from the point of origin, the distances are X 1 = 0 and X 2 = x . The quadridistances follow different trajectories from each other and also have different lengths, with s 1 ( x ) > s 2 ( x ) . However, they coincide at two specific points, as illustrated in Figure 4: when the BEW state is pure and when it is fully stochastic.
Assuming that the two-qubit state is tracked in common time t (or “anthropic” time), regarded as an independent variable, for example, x ( t ) = exp ( γ t ) , one obtains for the coordinates:
t = 1 + exp γ t / 2 ,
t + = 1 exp γ t / 2
and
v + = exp γ t .
Thus, the evolution scenario is as follows: at t = 0 , the qubits are prepared in a singlet state and under the effect of the environment, asymptotically ( t + ) the state acquires a maximally mixed characteristic (decoherence), becoming fully stochastic, according to the basic understanding of the concept of the “arrow of time”. The four possible states have the same probability of being reached: see Figure 5, where γ = 1 is assumed.

4.2. Quadridistance for Matrix ρ D 7

The current analysis emphasizes the role of the partial transposition matrix (54), which provides complementary and essential information about entanglement, and the positions of the entries can be compared with those in the matrix (48). The coordinates on the compact manifold are shown in Equations (57) and (58) and the quadridistances are presented as
s 1 x = t = 1 + x 2 = s 2 x
and
s 2 x 2 = t + 2 v + 2 = 1 4 x + 1 1 3 x = s 1 2 x ,
where an inner symmetry is revealed when one swaps x with x . The quadridistances derived from the matrix ρ D 7 change due to the reflection resulting from partial transposition. Consequently, s 2 x 2 takes on negative values for x 1 3 , 1 . According to PHC, the qubits are entangled when x is chosen within this interval. Numerically, s 1 0 = s 2 0 = 1 / 2 , while s 1 1 = 1 and s 2 1 2 = 1 . Hence,
1 / 2 s 1 x x 0 , 1 1
and
1 s 2 x 2 x 1 , 0 1 / 4 .
The domain range for s 2 x 2 is broader than that for s 1 x 2 , as shown in Figure 6.
Here, for a two-qubit state evolving as x ( t ) = exp ( γ t ) and for the coordinates of Equations (61)–(63), as time proceeds ( t ), the state tends to become maximally mixed and stochastic. This outcome aligns with a basic understanding of the “arrow of time” meaning, as illustrated in Figure 7, where decoherence is present.

4.3. Quadrispeed

Concerning the speeds in R 3 , from Equations (52) and (57) one obtains:
V 1 = d v d t = d v / d x d t / d x = 0 ,
and from Equation (58), the result is
V 2 = d v + d t + = d v + / d x d t + / d x = 2 .
Consequently, the squared quadrivelocities acquire the following values:
d s 1 d t 2 = 1 V 1 2 = 1
and
d s 2 d t + 2 = 1 V 2 2 = 3 .
The quadrispeed in Equation (70) does not highlight the dynamics of evolution. In contrast, the quadrispeed (71) negative value is a flag indicating that besides entanglement, the motion is euphemistically “superluminal”. Both quadrispeeds are independent of x ( t ) because the dependence of CMM coordinates on x is linear. However, for other quantum states [18,19,20,21] that exhibit multi-parametric nonlinear dependence, the quadrispeeds values to vary quite differently due to the nature of the parameters.
Regarding the BEW state, one may associate a different concept with the “arrow of time”. Instead of using the time dependence x ( t ) = exp ( γ t ) , one may also consider x ( t ) = 1 exp ( γ t ) . The latter implies that x ( 0 ) = 0 , and lim t x ( t ) = 1 . Consequently, the two-qubit state starting out fully stochastic, under very specific environmental conditions, approaches the pure state as time proceeds. A paramount dissimilarity between a CMM and the manifold of SR is that, in real space–time, coordinates t , x , y , and z are considered fundamental in describing the real world. These coordinates do not depend on any underlying parameters, which is not true for the CMM.

5. Summary and Conclusions

An old but ubiquitous question in quantum mechanics is the connection between entanglement and the separability of states representing some physical property. In the case of qubits, a system with N qubits, N 2 , can be analyzed at its lowest order as N ( N 1 ) / 2 two-qubit subsystems, where some or all of which may exhibit entanglement. In the context of three-qubit subsystems N ( N 1 ) ( N 2 ) / 6 , some or all may also exhibit entanglement. However, the point here is to analyze and define speed, and fastness of disentanglement using the appropriate structure of a two-qubit density matrix. A generic matrix of a two-qubit subsystem ( 4 × 4 dimension) contains fifteen free parameters, which is quite challenging to handle (for a three-qubit subsystem each matrix is of 9 × 9 dimension which contains eighty free parameters). However, by reducing the matrix to a form that depends on only seven free parameters (class D7), the matrix can be specified using two polarization vectors and a correlation matrix of 3 × 3 dimension, which makes the analysis and calculations much less complicated.
According to symmetries of the matrix, new parameters can be introduced by rearranging the positions of the entries. These parameters are suitable for analyzing positivity condition of the state, which maintains a formal relationship with quadratic distances on a compact-support Minkowski manifold.
By applying a local reflection symmetry operation to the original matrix, the new one (obtained by a partial transposition operation) provides additional information about the system’s properties and also allows the construction of two quadridistances. For certain values assigned to the matrix’s entries, one of the quadridistances can be negative. Therefore, according to the Peres–Horodecki criterion, this indicates that the state cannot be expressed in separable form, implying, therefore, that the qubits are objectively entangled. The Peres–Horodecki criterion acquires a geometric interpretation, which allows tracing trajectories in the space of new coordinates and identifying two distinct regions: one where the qubits are entangled and another where they are separable. The boundary between these regions corresponds to the surface of the light cone in SR. Using similar terminology, one region is called “entangled-like” (in analogy with space-like), while the other is called “separable-like” (in analogy with time-like).
It may not seem unexpected finding a formal similarity between the entanglement of states of two qubits in Hilbert space and invariances by Lorentz transformations in Minkowski space ( 3 + 1 ) D, given that the density matrix considered is quite special, being of 4 × 4 dimension and of class D7 (seven free parameters). Without an explicit connection between the two physical phenomena, it was possible to adapt the nomenclature and to operate the density matrix, such to make it similar to that used in relativity. This made it possible to demonstrate a description for the velocities and speed of disentanglement without the constraint that they remain “subluminal”. It is plausible that the formal treatment and the results obtained with the density matrix may influence research in general relativity, in which the metric matrix used is not limited to a flat space, as the entries depend on further parameters.
For continuous variables, the relation between the symplectic and Lorentz groups is explored in Ref. [31] where entanglement features in a two-mode bipartite Gaussian state have been investigated.

Funding

The work done under CNPq (National Council for Scientific and Technological Development, Brazil) grant No. 301977/2024-0.

Acknowledgments

The paper is a revised and extended version of Chapter 8 in Ref. [32]. Thanks go to Miled H. Y. Moussa from the Instituto de Física de São Carlos, Universidade de São Paulo, SP, Brazil, for his fruitful discussions and suggestions.

Conflicts of Interest

The author declares no conflicts of interest.

Abbreviations

The following abbreviations are used in this manuscript:
BEWBlank–Exner–Werner
CMcorrelation matrix
CMMcompact Minkowski manifold
D7matrix with seven free parameters
PHCPeres–Horodecki criterion
PPTpositive partial transposition
PVpolarization vector
3D, (3+1)Dspace, space–time dimensions (-dimensional)

Appendix A

Space–Time Geometry: A Brief Reminder

The differential distance between two points in the 3D Euclidean space is expressed as a quadratic equation in Cartesian coordinates:
d s 2 = d x 2 + d y 2 + d z 2 = d x i g i j d x j ,
where g i j = δ i j (the Kronecker delta) specifies the flat Euclidian metric, which is invariant under an orthogonal transformation R of the coordinates, or rotations in 3D, d x i = R i k d x k (with R l i R i k = δ k l ), such as d s 2 = R i k d x k g i j R j l d x l = d x k I k l d x l = d s 2 , where R i j is the Ricci tensor and the unit matrix I k l = δ k l . In SR, the matrix that specifies the metric is pseudo-Euclidean or hyperbolic:
g = 1 0 0 0 0 1 0 0 0 0 1 0 0 0 0 1 .
In the context of differential geometry, the space–time interval between two events, expressed as a quadratic equation that includes four terms, is represented by the quadratic infinitesimal geodesic segment.
d s 2 = d x 0 2 d r 2 = d x 0 2 d r · d r = c 2 d t 2 d x 2 d y 2 d z 2 = d x μ g μ ν d x ν ,
which must remain invariant under a space–time transformation: D α μ g μ ν D ν β = g α β , where the Greek letter space-time indices take values 0, 1, 2, and 3 with index 0 reserved for time.
For a particle moving along a segment, d s , one can define a speed that depends on the internal parameter ϑ :
u g ϑ = d s d ϑ = + d x 0 d ϑ 2 d x i d ϑ d x i d ϑ .
Setting ϑ as the common time t, then
u g t = c d t d t 2 d x i d t d x i d t = c 2 d r d t · d r d t = c 1 v 2 c 2 .
It is assumed that a particle traveling along a geodesic segment has positive speed, u g ( t ) > 0 . Therefore, the speed of the particle in three-dimensional space does not exceed the speed of light c in cosmic vacuum, where c > v . However, according to Equation (A3), the inequality d s 2 < 0 is not precluded when a particle is moving at a hypothetical superluminal speed with a trajectory drawn in the spacelike region:
d s d t 2 = d x 0 d t 2 d r d t 2 = c 2 v 2 < 0 .

References

  1. Rindler, W. Introduction to Special Relativity; Oxford Science Publications: Oxford, UK, 1991; Available online: https://archive.org/details/introductiontosp0000rind/ (accessed on 28 August 2025).
  2. Einstein, A.; Podolski, B.; Rosen, N. Can quantum-mechanical description of physical reality be considered complete? Phys. Rev. 1935, 47, 777–780. [Google Scholar] [CrossRef]
  3. Mizrahi, S.S. Non-locality portrayed as a human twins metaphor. Entropy 2023, 25, 192. [Google Scholar] [CrossRef]
  4. Kragh, H. Erwin Schrödinger and the wave equation: The crucial phase. Centaurus 1982, 26, 154–197. [Google Scholar] [CrossRef]
  5. Barley, K.; Vega-Guzmán, J.; Ruffing, A.; Suslov, S.K. Discovery of the relativistic Schrödinger equation. Phys.-Usp. 2022, 65, 90–103. [Google Scholar] [CrossRef]
  6. Klein, O. Quantentheorie und ünfdimensionale Relativitätstheorie. Z. Phys. 1926, 37, 895–906. [Google Scholar] [CrossRef]
  7. Gordon, W. Der Comptoneffekt nach der Schrödingerschen Theorie. Z. Phys. 1926, 40, 117–133. [Google Scholar] [CrossRef]
  8. Dirac, P.A.M. The quantum theory of the electron. Proc. Roy. Soc. Lond. A Math. Phys. Engin. Sci. 1928, 117, 610–624. [Google Scholar] [CrossRef]
  9. Davydov, A.S. Quantum Mechanics; Pergamon Press Ltd.: Oxford, UK, 1976; Available online: https://archive.org/details/quantummechanics0000davy/ (accessed on 28 August 2025).
  10. Mandl, F.; Shaw, G. Quantum Field Theory; John Wiley & Sons, Ltd.: Chichester, UK, 2010; Available online: https://www.scribd.com/document/421083944/Franz-Mandl-Graham-Shaw-Quantum-Field-Theory-Wiley-2010 (accessed on 28 August 2025).
  11. Schlosshauer, M. Quantum decoherence. Phys. Rep. 2019, 831, 1–57. [Google Scholar] [CrossRef]
  12. Braga, H.; Souza, S.; Mizrahi, S.S. Geometrical meaning of two-qubit entanglement and its symmetries. Phys. Rev. A 2010, 81, 042310. [Google Scholar] [CrossRef]
  13. Braga, H.; Souza, S.; Mizrahi, S.S. Entanglement and separability of two-qubit states on Minkowski space with compact support. Phys. Rev. A 2011, 84, 052324. [Google Scholar] [CrossRef]
  14. Peres, A. Separability criterion for density matrices. Phys. Rev. Lett. 1996, 77, 1413–1416. [Google Scholar] [CrossRef]
  15. Horodecki, M.; Horodecki, P.; Horodecki, R. Separability of mixed states: Necessary and sufficient conditions. Phys. Lett. A 1996, 223, 1–8. [Google Scholar] [CrossRef]
  16. Blank, J.; Exner, P. Remarks on tensor products and their applications in quantum theory-II. Spectral properties. Acta Univ. Carolinae Math. Phys. 1976, 17, 75–98. Available online: http://dml.cz/dmlcz/142389 (accessed on 25 August 2025).
  17. Werner, R.F. Quantum states with Einstein–Podolsky–Rosen correlations admitting a hidden-variable model. Phys. Rev. A 1989, 40, 4277–4281. [Google Scholar] [CrossRef]
  18. Gisin, N. Hidden quantum nonlocality revealed by local filters. Phys. Lett. A 1996, 210, 151–156. [Google Scholar] [CrossRef]
  19. Yu, T.; Eberly, J.H. Finite-time disentanglement via spontaneous emission. Phys. Rev. Lett. 2004, 93, 140404. [Google Scholar] [CrossRef]
  20. Yu, T.; Eberly, J.H. Negative entanglement measure, and what it implies. J. Mod. Opt. 2007, 54, 2289–2296. [Google Scholar] [CrossRef]
  21. Almeida, M.P.; de Melo, F.; Hor-Meyll, M.; Salles, A.; Walborn, S.P.; Ribeiro, P.H.S.; Davidovich, L. Environment-induced sudden death of entanglement. Science 2007, 316, 579–582. [Google Scholar] [CrossRef]
  22. Bellomo, B.; Franco, R.L.; Compagno, G. Non-Markovian effects on the dynamics of entanglement. Phys. Rev. Lett. 2007, 99, 160502. [Google Scholar] [CrossRef]
  23. Mazzola, L.; Maniscalco, S.; Piilo, J.; Suominen, K.-A.; Garraway, B.M. Sudden death and sudden birth of entanglement in common structured reservoirs. Phys. Rev. A 2009, 79, 042302. [Google Scholar] [CrossRef]
  24. López, C.E.; Romero, G.; Lastra, F.; Solano, E.; Retamal, J.C. Sudden birth versus sudden death of entanglement in multipartite systems. Phys. Rev. Lett. 2008, 101, 080503. [Google Scholar] [CrossRef] [PubMed]
  25. Das, S.; Agarwal, G.S. Decoherence effects in interacting qubits under the influence of various environments. J. Phys. B 2009, 42, 229801. [Google Scholar] [CrossRef]
  26. Jian, W.-C.; Zhong, M.-C.; Fang, Y.-K.; Donsa, S.; Březinová, I.; Peng, L.-Y.; Burgdörfer, J. Time delays as attosecond probe of interelectronic coherence and entanglement. Phys. Rev. Lett. 2024, 133, 163201. [Google Scholar] [CrossRef] [PubMed]
  27. Burgdörfer, J.; Březinová, I. How Fast is Quantum Entanglement? TU Wien News Articles, 22 October 2024. Available online: https://www.tuwien.at/en/tu-wien/news/news-articles/news/wie-schnell-ist-quantenverschraenkung (accessed on 25 August 2024).
  28. Fano, U. Description of states in quantum mechanics by density matrix and operator techniques. Rev. Mod. Phys. 1957, 29, 74–93. [Google Scholar] [CrossRef]
  29. Blum, K. Density Matrix Theory and Applications; Springer: Berlin/Heidelberg, Germany, 2012. [Google Scholar] [CrossRef]
  30. Prataviera, G.A.; Mizrahi, S.S. Many-particle Sudarshan–Lindblad equation: Mean-field approximation, nonlinearity and dissipation in a spin system. Rev. Bras. Ens. Fís. 2014, 36, 4303. [Google Scholar] [CrossRef]
  31. de Oliveira, M.C.; Nicacio, F.; Mizrahi, S.S. Minkowski structure for purity and entanglement of Gaussian bipartite states. Phys. Rev. A 2013, 88, 052324. [Google Scholar] [CrossRef]
  32. Dodonov, A.; Holanda Riberio, C.C. (Eds.) Second International Workshop on Quantum Nonstationary Systems. Proceedings; LF Editorial: São Paulo, Brazil, 2023. [Google Scholar]
Figure 1. An allegorical illustration of the hidden information in the “object” ρ and its revelation in the virtual image ρ , which is not directly visible to the observer. The stain on the inner side of the petal is only visible to an external observer when it is reflected in a mirror.
Figure 1. An allegorical illustration of the hidden information in the “object” ρ and its revelation in the virtual image ρ , which is not directly visible to the observer. The stain on the inner side of the petal is only visible to an external observer when it is reflected in a mirror.
Physics 07 00045 g001
Figure 2. Time-space ( t ± ( x ) X ( x ) ) plane: the picture illustrates Equations (51) (black line) and (52) (green line). X 1 ( x ) = ( u ) 2 + ( v + ) 2 + ( w ) 2 and X 2 ( x ) = ( u + ) 2 + ( v ) 2 + ( w + ) 2 for t ( x ) and t + ( x ) , respectively. At a 45 angle the blue line divides the quadrant into two sectors, S (separable-like) and E (entangled-like). The arrow indicates the direction the parameter x is decreasing, from 1 to 0, which signifies that X k ( x ) is moving from a pure state to a stochastic state. The red dot on the ordinate axis indicates the point where X 1 ( x ) and X 2 ( x ) meet. See text for more details.
Figure 2. Time-space ( t ± ( x ) X ( x ) ) plane: the picture illustrates Equations (51) (black line) and (52) (green line). X 1 ( x ) = ( u ) 2 + ( v + ) 2 + ( w ) 2 and X 2 ( x ) = ( u + ) 2 + ( v ) 2 + ( w + ) 2 for t ( x ) and t + ( x ) , respectively. At a 45 angle the blue line divides the quadrant into two sectors, S (separable-like) and E (entangled-like). The arrow indicates the direction the parameter x is decreasing, from 1 to 0, which signifies that X k ( x ) is moving from a pure state to a stochastic state. The red dot on the ordinate axis indicates the point where X 1 ( x ) and X 2 ( x ) meet. See text for more details.
Physics 07 00045 g002
Figure 3. Time-space ( t ± ( x ) X ( x ) ) plane: the picture illustrates Equations (57) (green line) and (58) (red-black line). X 1 ( x ) = ( u ) 2 + ( v ) 2 + ( w + ) 2 and X 2 ( x ) = ( u + ) 2 + ( v + ) 2 + ( w ) 2 for t ( x ) and t + ( x ) , respectively. The black line segment resides in sector S (separable-like), indicating that the qubits are separable for x > 1 / 3 . The red line segment in sector E (entangled-like) indicates that the state is entangled. The blue line separates separable-like from entangled-like BEW states. The dot on the ordinate axis and the arrows as in Figure 2. The dashed vertical line with arrow indicates the crossing point of the “light-cone” separating the regions. See text for more details.
Figure 3. Time-space ( t ± ( x ) X ( x ) ) plane: the picture illustrates Equations (57) (green line) and (58) (red-black line). X 1 ( x ) = ( u ) 2 + ( v ) 2 + ( w + ) 2 and X 2 ( x ) = ( u + ) 2 + ( v + ) 2 + ( w ) 2 for t ( x ) and t + ( x ) , respectively. The black line segment resides in sector S (separable-like), indicating that the qubits are separable for x > 1 / 3 . The red line segment in sector E (entangled-like) indicates that the state is entangled. The blue line separates separable-like from entangled-like BEW states. The dot on the ordinate axis and the arrows as in Figure 2. The dashed vertical line with arrow indicates the crossing point of the “light-cone” separating the regions. See text for more details.
Physics 07 00045 g003
Figure 4. The quadridistances, s 1 ( x ) , Equation (59), (black curve) and s 2 ( x ) Equation (60), (blue line). If the state is fully stochastic ( x = 0 ), the quadridistances converge to 0.5, and when the state is pure ( x = 1 ), s 1 ( 1 ) = s 2 ( 1 ) = 0 , otherwise, for any other x, the quadridistances are quite different.
Figure 4. The quadridistances, s 1 ( x ) , Equation (59), (black curve) and s 2 ( x ) Equation (60), (blue line). If the state is fully stochastic ( x = 0 ), the quadridistances converge to 0.5, and when the state is pure ( x = 1 ), s 1 ( 1 ) = s 2 ( 1 ) = 0 , otherwise, for any other x, the quadridistances are quite different.
Physics 07 00045 g004
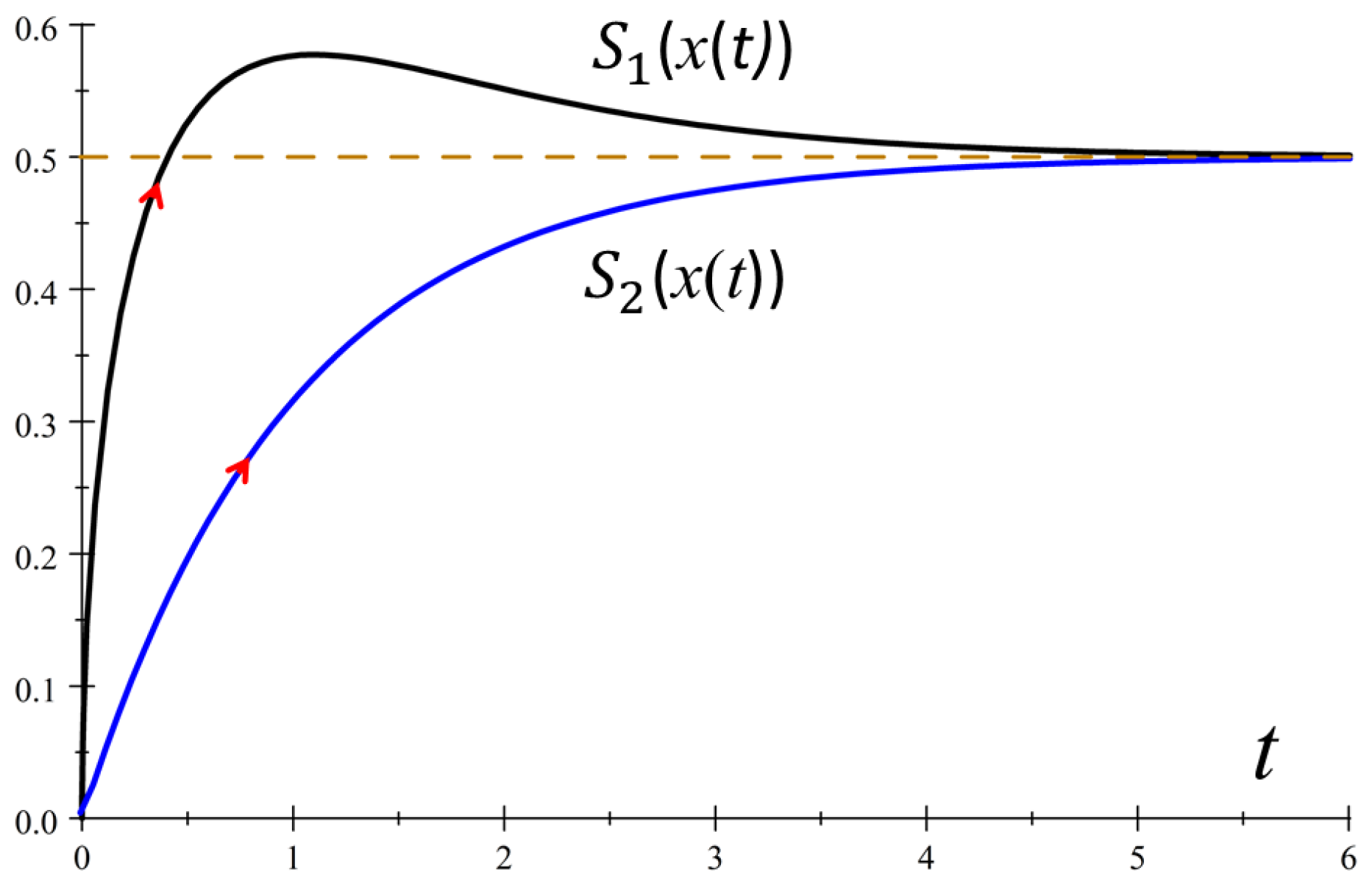
Figure 5. The quadridistances s 1 ( x ( t ) ) (59) (black curve) and s 2 ( x ( t ) ) (60) (blue curve). If the state is fully stochastic ( x = 0 and t ), the quadridistances converge asymptotically to 0.5 (dashed sienna line). In contrast, when the state is pure ( x = 1 and t = 0 ), both quadridistances equal 0. However, despite these coincidente endpoints, quadridistances follow different paths and cover different quadrilengths over the same time intervals. The arrows indicate the direction of increasing time.
Figure 5. The quadridistances s 1 ( x ( t ) ) (59) (black curve) and s 2 ( x ( t ) ) (60) (blue curve). If the state is fully stochastic ( x = 0 and t ), the quadridistances converge asymptotically to 0.5 (dashed sienna line). In contrast, when the state is pure ( x = 1 and t = 0 ), both quadridistances equal 0. However, despite these coincidente endpoints, quadridistances follow different paths and cover different quadrilengths over the same time intervals. The arrows indicate the direction of increasing time.
Physics 07 00045 g005
Figure 6. The x-range of ( s 1 ( x ) ) 2 (black dashed line) and ( s 2 ( x ) ) 2 (solid line). ( s 1 ( x ) ) 2 does not provide useful information about entanglement. The black segment of ( s 2 ( x ) ) 2 , that intersects the x-axis at 1 / 3 (on the “light cone”), indicates that the two-qubit state is separable. Meanwhile, the red segment of ( s 2 ( x ) ) 2 highlights the range of x values corresponding to the entangled two-qubit state.
Figure 6. The x-range of ( s 1 ( x ) ) 2 (black dashed line) and ( s 2 ( x ) ) 2 (solid line). ( s 1 ( x ) ) 2 does not provide useful information about entanglement. The black segment of ( s 2 ( x ) ) 2 , that intersects the x-axis at 1 / 3 (on the “light cone”), indicates that the two-qubit state is separable. Meanwhile, the red segment of ( s 2 ( x ) ) 2 highlights the range of x values corresponding to the entangled two-qubit state.
Physics 07 00045 g006
Figure 7. Evolution in time of ( s 1 ( x ( t ) ) ) 2 (dashed line) ( s 2 ( x ( t ) ) ) 2 (solid line). ( s 1 ( x ( t ) ) ) 2 does not display entanglement. Meanwhile the red line segment of ( s 2 ( x ( t ) ) ) 2 indicates that the qubits are entangled, while the black segment of ( s 2 ( x ( t ) ) ) 2 represents the qubits in a separable state. The green dot on the t-axis at ln 3 indicates the “light cone” position. The horizontal dashed sienna line marks the asymptotic location of the stochastic state.
Figure 7. Evolution in time of ( s 1 ( x ( t ) ) ) 2 (dashed line) ( s 2 ( x ( t ) ) ) 2 (solid line). ( s 1 ( x ( t ) ) ) 2 does not display entanglement. Meanwhile the red line segment of ( s 2 ( x ( t ) ) ) 2 indicates that the qubits are entangled, while the black segment of ( s 2 ( x ( t ) ) ) 2 represents the qubits in a separable state. The green dot on the t-axis at ln 3 indicates the “light cone” position. The horizontal dashed sienna line marks the asymptotic location of the stochastic state.
Physics 07 00045 g007
Table 1. Correlation matrix (4) elements in case of the Blank–Exner–Werner (BEW) two-qubit state.
Table 1. Correlation matrix (4) elements in case of the Blank–Exner–Werner (BEW) two-qubit state.
Entries P 1 , z P 2 , z M x x M y y M x y M y x M z z
BEW00 x x 00 x
Disclaimer/Publisher’s Note: The statements, opinions and data contained in all publications are solely those of the individual author(s) and contributor(s) and not of MDPI and/or the editor(s). MDPI and/or the editor(s) disclaim responsibility for any injury to people or property resulting from any ideas, methods, instructions or products referred to in the content.

Share and Cite

MDPI and ACS Style

Mizrahi, S.S. Disentanglement of a Bipartite System Portrayed in a (3+1)D Compact Minkowski Manifold: Quadridistances and Quadrispeeds. Physics 2025, 7, 45. https://doi.org/10.3390/physics7040045

AMA Style

Mizrahi SS. Disentanglement of a Bipartite System Portrayed in a (3+1)D Compact Minkowski Manifold: Quadridistances and Quadrispeeds. Physics. 2025; 7(4):45. https://doi.org/10.3390/physics7040045

Chicago/Turabian Style

Mizrahi, Salomon S. 2025. "Disentanglement of a Bipartite System Portrayed in a (3+1)D Compact Minkowski Manifold: Quadridistances and Quadrispeeds" Physics 7, no. 4: 45. https://doi.org/10.3390/physics7040045

APA Style

Mizrahi, S. S. (2025). Disentanglement of a Bipartite System Portrayed in a (3+1)D Compact Minkowski Manifold: Quadridistances and Quadrispeeds. Physics, 7(4), 45. https://doi.org/10.3390/physics7040045

Article Metrics

Back to TopTop