Sign in to use this feature.

Years

Between: -

Subjects

remove_circle_outline
remove_circle_outline
remove_circle_outline
remove_circle_outline
remove_circle_outline
remove_circle_outline
remove_circle_outline
remove_circle_outline

Journals

Article Types

Countries / Regions

Search Results (9)

Search Parameters:
Keywords = spacetime closed domain

Order results
Result details
Results per page
Select all
Export citation of selected articles as:
17 pages, 693 KB  
Article
Disentanglement of a Bipartite System Portrayed in a (3+1)D Compact Minkowski Manifold: Quadridistances and Quadrispeeds
by Salomon S. Mizrahi
Physics 2025, 7(4), 45; https://doi.org/10.3390/physics7040045 - 28 Sep 2025
Abstract
In special relativity, particle trajectories, whether mass-bearing or not, can be traced on the Minkowski spacetime manifold in (3+1)D. Meantime, in quantum mechanics, trajectories in the phase space are not strictly outlined because coordinate and linear momentum cannot be measured simultaneously with arbitrary [...] Read more.
In special relativity, particle trajectories, whether mass-bearing or not, can be traced on the Minkowski spacetime manifold in (3+1)D. Meantime, in quantum mechanics, trajectories in the phase space are not strictly outlined because coordinate and linear momentum cannot be measured simultaneously with arbitrary precision since they do not commute within the Hilbert space formalism. However, from the density matrix representing a quantum system, the extracted information still produces an imperative description of its properties and, furthermore, by appropriately reordering the matrix entries, additional information can be obtained from the same content. Adhering to this line of work, the paper investigates the definition and the meaning of velocity and speed in a typical quantum phenomenon, the disentanglement for a bipartite system when dynamical evolution is displayed in a (3+1)D pseudo-spacetime whose coordinates are constructed from combinations of entries to the density matrix. The formalism is based on the definition of a Minkowski manifold with compact support, where trajectories are defined following the same reasoning and formalism present in the Minkowski manifold of special relativity. The space-like and time-like regions acquire different significations referred to entangled-like and separable-like, respectively. The definition and the sense of speed and velocities of disentanglement follow naturally from the formalism. Depending on the dynamics of the physical state of the system, trajectories may meander between regions of entanglement and separability in the space of new coordinates defined on the Minkowski manifold. Full article
Show Figures

Figure 1

17 pages, 5332 KB  
Article
A Multiple-Scale Space–Time Collocation Trefftz Method for Two-Dimensional Wave Equations
by Li-Dan Hong, Chen-Yu Zhang, Weichung Yeih, Cheng-Yu Ku, Xi He and Chang-Kai Lu
Mathematics 2025, 13(17), 2831; https://doi.org/10.3390/math13172831 - 2 Sep 2025
Viewed by 393
Abstract
This paper presents a semi-analytical, mesh-free space–time Collocation Trefftz Method (SCTM) for solving two-dimensional (2D) wave equations. Given prescribed initial and boundary data, collocation points are placed on the space–time (ST) boundary, reformulating the initial value problem as an equivalent boundary value problem [...] Read more.
This paper presents a semi-analytical, mesh-free space–time Collocation Trefftz Method (SCTM) for solving two-dimensional (2D) wave equations. Given prescribed initial and boundary data, collocation points are placed on the space–time (ST) boundary, reformulating the initial value problem as an equivalent boundary value problem and enabling accurate reconstruction of wave propagation in complex domains. The main contributions of this work are twofold: (i) a unified ST Trefftz basis that treats time as an analytic variable and enforces the wave equation in the full ST domain, thereby eliminating time marching and its associated truncation-error accumulation; and (ii) a Multiple-Scale Characteristic-Length (MSCL) grading strategy that systematically regularizes the collocation linear system. Several numerical examples, including benchmark tests, validate the method’s feasibility, effectiveness, and accuracy. For both forward and inverse problems, the solutions produced by the method closely match exact results, confirming its accuracy. Overall, the results reveal the method’s feasibility, accuracy, and stability across both forward and inverse problems and for varied geometries. Full article
Show Figures

Figure 1

20 pages, 512 KB  
Article
Flowing Time: Emergentism and Linguistic Diversity
by Kasia M. Jaszczolt
Philosophies 2023, 8(6), 116; https://doi.org/10.3390/philosophies8060116 - 4 Dec 2023
Cited by 2 | Viewed by 2582
Abstract
Humans are complex systems, ‘macro-entities’, whose existence, behaviour and consciousness stem out of the configurations of physical entities on the micro-level of the physical world. But an explanation of what humans do and think cannot be found through ‘tracking us back’, so to [...] Read more.
Humans are complex systems, ‘macro-entities’, whose existence, behaviour and consciousness stem out of the configurations of physical entities on the micro-level of the physical world. But an explanation of what humans do and think cannot be found through ‘tracking us back’, so to speak, to micro-particles. So, in explaining human behaviour, including linguistic behaviour on which this paper focuses, emergentism opens up a powerful opportunity to explain what it is exactly that emerged on that level, bearing in mind the end product in the form of the intra- and inter-cultural diversity. Currently there is a gap in emergentism research. On one hand, there are discussions in philosophy of the emergent human reality; on the other, there are discussions of social, cultural, or individual variation of these emergent aspects of humanity in the fields of anthropology, sociology, linguistics or psychology. What I do in this paper is look for a way to ‘trace’ some such diversified emergents from what is universal about their ‘coming to being’, all the way through to their diversification. My chosen emergent is human time, my domain of inquiry is natural-language discourse, and the drive behind this project is to understand the link between ‘real’ time of spacetime on the micro-level from which we emerged and the human time devised by us, paying close attention to the overwhelming diversity in which temporal reference is expressed in human languages. The main question is, where does this diversity fit in? Does understanding of this diversity, as well as of what lurks under the surface of this diversity, aid the emergentism story? My contribution to this volume on ‘the nature of structure and the structure of nature’ thus takes the following take on the title. The structure of human communication is at the same time uniform, universal, and relative to culture, in that it is emergent as a human characteristic, and as such compatible with the micro-level correlates in some essential ways, but also free to fly in different directions that are specific to societies and cultures. I explore here the grey area between the micro-level and the linguistic reflections of time—the middle ground that is emergent itself but that tends to be by-passed by those who approach the question of human flowing time from either end: metaphysics and the philosophy of time on the one hand, and contrastive linguistics, anthropological linguistics and language documentation on the other. I illustrate the debate with examples from tensed and tenseless languages from different language families, entertaining the possibility of a conceptual universal pertaining to time as degrees of epistemic modality. Needless to say, putting the question in this way also sets out my (not unassailable) methodology. Full article
(This article belongs to the Special Issue The Nature of Structure and the Structure of Nature)
28 pages, 3020 KB  
Article
An Analytic Solution for 2D Heat Conduction Problems with Space–Time-Dependent Dirichlet Boundary Conditions and Heat Sources
by Heng-Pin Hsu, Jer-Rong Chang, Chih-Yuan Weng and Chun-Jung Huang
Axioms 2023, 12(7), 708; https://doi.org/10.3390/axioms12070708 - 20 Jul 2023
Cited by 1 | Viewed by 3431
Abstract
This study proposes a closed-form solution for the two-dimensional (2D) transient heat conduction in a rectangular cross-section of an infinite bar with space–time-dependent Dirichlet boundary conditions and heat sources. The main purpose of this study is to eliminate the limitations of the previous [...] Read more.
This study proposes a closed-form solution for the two-dimensional (2D) transient heat conduction in a rectangular cross-section of an infinite bar with space–time-dependent Dirichlet boundary conditions and heat sources. The main purpose of this study is to eliminate the limitations of the previous study and add heat sources to the heat conduction system. The restriction of the previous study is that the values of the boundary conditions and initial conditions at the four corners of the rectangular region should be zero. First, the boundary value problem of 2D heat conduction system is transformed into a dimensionless form. Second, the dimensionless temperature function is transformed so that the temperatures at the four endpoints of the boundary of the rectangular region become zero. Dividing the system into two one-dimensional (1D) subsystems and solving them by combining the proposed shifting function method with the eigenfunction expansion theorem, the complete solution in series form is obtained through the superposition of the subsystem solutions. Three examples are studied to illustrate the efficiency and reliability of the method. For convenience, the space–time-dependent functions used in the examples are considered separable in the space–time domain. The linear, parabolic, and sine functions are chosen as the space-dependent functions, and the sine, cosine, and exponential functions are chosen as the time-dependent functions. The solutions in the literature are used to verify the correctness of the solutions derived using the proposed method, and the results are completely consistent. The parameter influence of the time-dependent function of the boundary conditions and heat sources on the temperature variation is also investigated. The time-dependent function includes exponential type and harmonic type. For the exponential time-dependent function, a smaller decay constant of the time-dependent function leads to a greater temperature drop. For the harmonic time-dependent function, a higher frequency of the time-dependent function leads to a more frequent fluctuation of the temperature change. Full article
(This article belongs to the Special Issue Applied Mathematics in Energy and Mechanical Engineering)
Show Figures

Figure 1

21 pages, 1852 KB  
Article
An Analytic Solution for 2D Heat Conduction Problems with General Dirichlet Boundary Conditions
by Heng-Pin Hsu, Te-Wen Tu and Jer-Rong Chang
Axioms 2023, 12(5), 416; https://doi.org/10.3390/axioms12050416 - 24 Apr 2023
Cited by 3 | Viewed by 6262
Abstract
This paper proposed a closed-form solution for the 2D transient heat conduction in a rectangular cross-section of an infinite bar with the general Dirichlet boundary conditions. The boundary conditions at the four edges of the rectangular region are specified as the general case [...] Read more.
This paper proposed a closed-form solution for the 2D transient heat conduction in a rectangular cross-section of an infinite bar with the general Dirichlet boundary conditions. The boundary conditions at the four edges of the rectangular region are specified as the general case of space–time dependence. First, the physical system is decomposed into two one-dimensional subsystems, each of which can be solved by combining the proposed shifting function method with the eigenfunction expansion theorem. Therefore, through the superposition of the solutions of the two subsystems, the complete solution in the form of series can be obtained. Two numerical examples are used to investigate the analytic solution of the 2D heat conduction problems with space–time-dependent boundary conditions. The considered space–time-dependent functions are separable in the space–time domain for convenience. The space-dependent function is specified as a sine function and/or a parabolic function, and the time-dependent function is specified as an exponential function and/or a cosine function. In order to verify the correctness of the proposed method, the case of the space-dependent sinusoidal function and time-dependent exponential function is studied, and the consistency between the derived solution and the literature solution is verified. The parameter influence of the time-dependent function of the boundary conditions on the temperature variation is also investigated, and the time-dependent function includes harmonic type and exponential type. Full article
(This article belongs to the Special Issue Applied Mathematics in Energy and Mechanical Engineering)
Show Figures

Figure 1

22 pages, 7184 KB  
Article
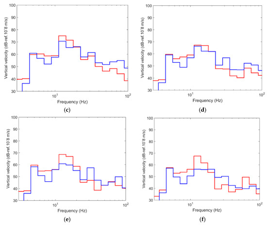
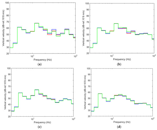
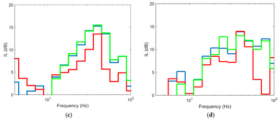
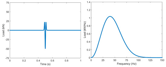
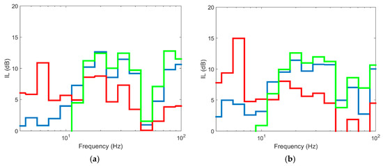
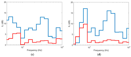
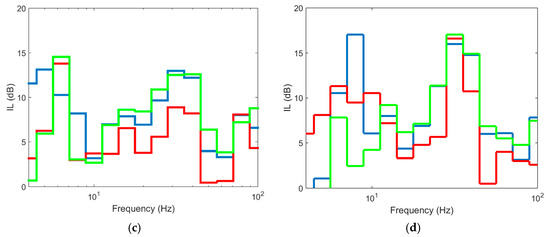
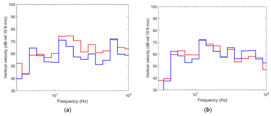
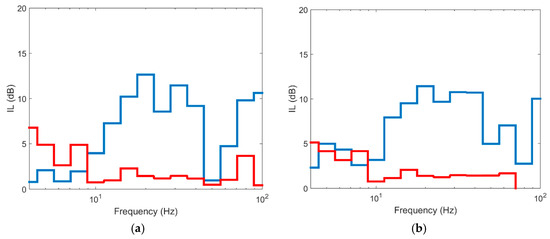
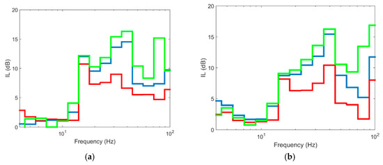
Use of Tyre-Derived Aggregate as Backfill Material for Wave Barriers to Mitigate Railway-Induced Ground Vibrations
by Jesús Fernández-Ruiz, Luis E. Medina Rodríguez and Pedro Alves Costa
Int. J. Environ. Res. Public Health 2020, 17(24), 9191; https://doi.org/10.3390/ijerph17249191 - 9 Dec 2020
Cited by 14 | Viewed by 3121
Abstract
The use of piles as barriers to mitigate vibrations from rail traffic has been increasing in theoretical and practical engineering during the last years. Tyre-derived aggregate (TDA) is a recycled material with some interesting applications in civil engineering, including those related to railway [...] Read more.
The use of piles as barriers to mitigate vibrations from rail traffic has been increasing in theoretical and practical engineering during the last years. Tyre-derived aggregate (TDA) is a recycled material with some interesting applications in civil engineering, including those related to railway engineering. As a novelty, this paper combines the concept of pile wave barriers and TDA material and investigates the mitigation effect of pile barriers made of TDA on the vibrations transmitted by rail traffic. This solution has a dual purpose: the reduction of railway vibrations and the recycling of a highly polluting material. The mitigation potential of this material when used as backfill for piles is analysed using a numerical scheme based on a 3D finite-difference numerical model formulated in the space/time domain, which is also experimentally validated in this paper in a real case without pile barriers. The numerical results show insertion loss (IL) values of up to 11 dB for a depth closed to the wavelength of Rayleigh wave. Finally, this solution is compared with more common backfills, such as concrete and steel tubular piles, showing that the TDA pile is a less effective measure although from an environmental and engineering point of view it is a very competitive solution. Full article
(This article belongs to the Section Environmental Science and Engineering)
Show Figures

Figure 1

16 pages, 1215 KB  
Article
A Space-Time Correlation Model for MRC Receivers in Rayleigh Fading Channels
by Ramiro Sámano-Robles
Technologies 2020, 8(3), 41; https://doi.org/10.3390/technologies8030041 - 22 Jul 2020
Cited by 1 | Viewed by 4448
Abstract
This paper presents a statistical model for maximum ratio combining (MRC) receivers in Rayleigh fading channels enabled with a temporal combining process. This means that the receiver effectively combines spatial and temporal branch components. Therefore, the signals that will be processed by the [...] Read more.
This paper presents a statistical model for maximum ratio combining (MRC) receivers in Rayleigh fading channels enabled with a temporal combining process. This means that the receiver effectively combines spatial and temporal branch components. Therefore, the signals that will be processed by the MRC receiver are collected not only across different antennas (space), but also at different instants of time. This suggests the use of a retransmission, repetition or space-time coding algorithm that forces the receiver to store signals in memory at different instants of time. Eventually, these stored signals are combined after a predefined or dynamically optimized number of time-slots or retransmissions. The model includes temporal correlation features in addition to the space correlation between the signals of the different components or branches of the MRC receiver. The derivation uses a frequency domain approach (using the characteristic function of the random variables) to obtain closed-form expressions of the statistics of the post-processing signal-to-noise ratio (SNR) under the assumption of equivalent correlation in time and equivalent correlation in space. The described methodology paves the way for the reformulation of other statistical functions as a frequency-domain polynomial root analysis problem. This is opposed to the infinite series approach that is used in the conventional methodology using directly the probability density function (PDF). The results suggest that temporal diversity is a good complement to receivers with limited spatial diversity capabilities. It is also shown that this additional operation could be maximized when the temporal diversity is adaptive (i.e., activated by thresholds of SNR), thus leading to a better resource utilization. Full article
(This article belongs to the Special Issue Reviews and Advances in Internet of Things Technologies)
Show Figures

Figure 1

12 pages, 289 KB  
Article
Does Our Universe Prefer Exotic Smoothness?
by Torsten Asselmeyer-Maluga, Jerzy Król and Tomasz Miller
Symmetry 2020, 12(1), 98; https://doi.org/10.3390/sym12010098 - 5 Jan 2020
Cited by 1 | Viewed by 3676
Abstract
Various experimentally verified values of physical parameters indicate that the universe evolves close to the topological phase of exotic smoothness structures on R 4 and K3 surface. The structures determine the α parameter of the Starobinski model, the number of e-folds, the [...] Read more.
Various experimentally verified values of physical parameters indicate that the universe evolves close to the topological phase of exotic smoothness structures on R 4 and K3 surface. The structures determine the α parameter of the Starobinski model, the number of e-folds, the spectral tilt, the scalar-to-tensor ratio and the GUT and electroweak energy scales, as topologically supported quantities. Neglecting exotic R 4 and K3 leaves these free parameters undetermined. We present general physical and mathematical reasons for such preference of exotic smoothness. It appears that the spacetime should be formed on open domains of smooth K 3 # C P 2 ¯ at extra-large scales possibly exceeding our direct observational capacities. Such potent explanatory power of the formalism is not that surprising since there exist natural physical conditions, which we state explicitly, that allow for the unique determination of a spacetime within the exotic K3. Full article
18 pages, 4481 KB  
Article
Direction-of-Arrival Estimation for Circulating Space-Time Coding Arrays: From Beamspace MUSIC to Spatial Smoothing in the Transform Domain
by Huake Wang, Guisheng Liao, Jingwei Xu, Shengqi Zhu and Cao Zeng
Sensors 2018, 18(11), 3689; https://doi.org/10.3390/s18113689 - 30 Oct 2018
Cited by 6 | Viewed by 3790
Abstract
As a special type of coherent collocated Multiple-Input Multiple-Output (MIMO) radar, a circulating space-time coding array (CSTCA) transmits an identical waveform with a tiny time shift. It provides a simple way to achieve a full angular coverage with a stable gain and a [...] Read more.
As a special type of coherent collocated Multiple-Input Multiple-Output (MIMO) radar, a circulating space-time coding array (CSTCA) transmits an identical waveform with a tiny time shift. It provides a simple way to achieve a full angular coverage with a stable gain and a low sidelobe level (SLL) in the range domain. In this paper, we address the problem of direction-of-arrival (DOA) estimation in CSTCA. Firstly, we design a novel two-dimensional space-time matched filter on receiver. It jointly performs equivalent transmit beamforming in the angle domain and waveform matching in the fast time domain. Multi-beams can be formed to acquire controllable transmit freedoms. Then, we propose a beamspace multiple signal classification (MUSIC) algorithm applicable in case of small training samples. Next, since targets at the same range cell show characteristics of coherence, we devise a transformation matrix to restore the rotational invariance property (RIP) of the receive array. Afterwards, we perform spatial smoothing in element domain based on the transformation. In addition, the closed-form expression of Cramer-Rao lower bound (CRLB) for angle estimation is derived. Theoretical performance analysis and numerical simulations are presented to demonstrate the effectiveness of proposed approaches. Full article
(This article belongs to the Section Remote Sensors)
Show Figures

Figure 1

Back to TopTop