Dynamical Transitions in Trapped Superfluids Excited by Alternating Fields
Abstract
1. Introduction
2. Resonant Generation
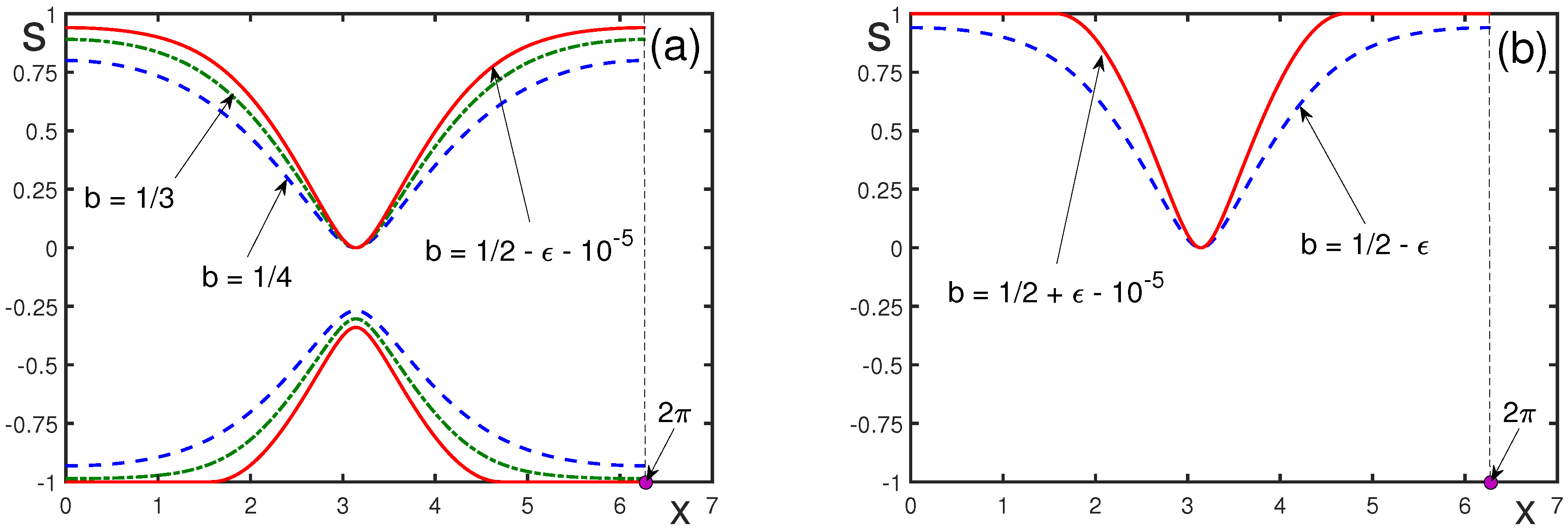
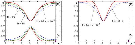
3. Dynamical Transitions
4. Strong Bose Particles Interactions
5. Generalizations and Extensions
5.1. Modulation Through Interactions
5.2. Multi-Mode Generation
5.3. Higher-Order Resonances
6. Nonresonant Excitation
6.1. Power Broadening
6.2. Nonequilibrium-State Characteristics
- (i)
- Weak nonequilibrium. At the beginning of the pumping procedure, there are no topological coherent modes, but there occur only elementary excitations describing density fluctuations.
- (ii)
- Vortex germs. Then, when the injected energy is not yet sufficient for the generation of the whole vortex rings, there arise vortex germs reminding one of broken pieces of vortex rings.
- (iii)
- (iv)
- Vortex lines. At the next stage, the pairs of vortex lines appear [90]. The vortices arise in pairs, since no rotation is imposed on the system, so that the total vorticity has to be zero.
- (v)
- Vortex turbulence. Upon generating a large number of vortices, the regime of quantum vortex turbulence develops. Due to the absence of any imposed anisotropy, the vortices form a random tangle characteristic of the Vinen turbulence [91,92,93,94,95,96], as opposed to the Kolmogorov turbulence of correlated vortex lines [95]. Several specific features confirm the existence of quantum vortex turbulence. Thus, when released from the trap, the atomic cloud expands isotropically, which is typical of Vinen turbulence [78,79,80]. The radial momentum distribution, obtained by averaging in the axial direction, exhibits a specific power law typical of an isotropic turbulent cascade [97,98,99]. The system relaxation from the vortex turbulent state displays a characteristic universal scaling [100].
- (vi)
- Droplet turbulence. Further increasing the amount of the injected energy by a longer pumping or by rising the amplitude of the alternating field transforms the system into an ensemble of coherent droplets floating in a sea of uncondensed cloud. The density of the coherent droplets is around 100 times larger than that of their incoherent surroundings. Each droplet consists of about 40 atoms. The lifetime of a droplet is of about of s. This state can be called droplet turbulence, or grain turbulence [77,81,82].
- (vii)
- Wave turbulence. When coherence in the system is completely destroyed, the system enters the regime of wave turbulence, which is the regime of weakly nonlinear dispersive waves [101]. Actually, the transformation of the droplet turbulence into wave turbulence is not a sharp transition but a gradual crossover. The transition point is conditionally accepted as the point where the number of coherent droplets diminishes by half.
6.3. Dynamic Scaling
7. Conclusions
Author Contributions
Funding
Conflicts of Interest
References
- Parkins, A.S.; Walls, D.F. The physics of trapped dilute-gas Bose–Einstein condensates. Phys. Rep. 1998, 303, 1–80. [Google Scholar] [CrossRef]
- Dalfovo, F.; Giorgini, S.; Pitaevskii, L.P.; Stringari, S. Theory of Bose–Einstein condensation in trapped gases. Rev. Mod. Phys. 1999, 71, 463–512. [Google Scholar] [CrossRef]
- Courteille, P.W.; Bagnato, V.S.; Yukalov, V.I. Bose–Einstein condensation of trapped atomic gases. Laser Phys. 2001, 11, 659–800. [Google Scholar]
- Andersen, J.O. Theory of the weakly interacting Bose gas. Rev. Mod. Phys. 2004, 76, 599–639. [Google Scholar] [CrossRef]
- Yukalov, V.I. Principal problems in Bose–Einstein condensation of dilute gases. Laser Phys. Lett. 2004, 1, 435–461. [Google Scholar] [CrossRef]
- Bongs, K.; Sengstock, K. Physics with coherent matter waves. Rep. Prog. Phys. 2004, 67, 907–963. [Google Scholar] [CrossRef]
- Yukalov, V.I.; Girardeau, M.D. Fermi–Bose mapping for one-dimensional Bose gases. Laser Phys. Lett. 2005, 2, 375–382. [Google Scholar] [CrossRef]
- Posazhennikova, A. Weakly interacting, dilute Bose gases in 2D. Rev. Mod. Phys. 2006, 78, 1111–1134. [Google Scholar] [CrossRef]
- Yukalov, V.I. Bose–Einstein condensation and gauge symmetry breaking. Laser Phys. Lett. 2007, 4, 632–647. [Google Scholar] [CrossRef]
- Proukakis, N.P.; Jackson, B. Finite-temperature models of Bose–Einstein condensation. J. Phys. B 2008, 41, 203002. [Google Scholar] [CrossRef]
- Yurovsky, V.A.; Olshanii, M.; Weiss, D.S. Collisions, correlations, and integrability in atom waveguides. Adv. At. Mol. Opt. Phys. 2008, 55, 61–138. [Google Scholar] [CrossRef]
- Yukalov, V.I. Basics of Bose–Einstein condensation. Phys. Part. Nucl. 2011, 42, 460–513. [Google Scholar] [CrossRef]
- Yukalov, V.I. Theory of cold atoms: Bose–Einstein statistics. Laser Phys. 2016, 26, 062001. [Google Scholar] [CrossRef]
- Yukalov, V.I.; Yukalova, E.P.; Bagnato, V.S. Trapped Bose–Einstein condensates with nonlinear coherent modes. Laser Phys. 2023, 33, 123001. [Google Scholar] [CrossRef]
- Yukalov, V.I. Particle fluctuations in systems with Bose–Einstein condensate. Laser Phys. 2024, 34, 113001. [Google Scholar] [CrossRef]
- Moseley, C.; Fialko, O.; Ziegler, K. Interacting bosons in an optical lattice. Ann. Phys. 2008, 17, 561–608. [Google Scholar] [CrossRef]
- Yukalov, V.I. Cold bosons in optical lattices. Laser Phys. 2009, 19, 1–110. [Google Scholar] [CrossRef]
- Krutitsky, K.V. Ultracold bosons with short-range interaction in regular optical lattices. Phys. Rep. 2016, 607, 1–101. [Google Scholar] [CrossRef]
- Yukalov, V.I. Dipolar and spinor bosonic systems. Laser Phys. 2018, 28, 053001. [Google Scholar] [CrossRef]
- Dupuis, N. Field Theory of Condensed Matter and Ultracold Gases. Volume 1; World Scientific Europe Ltd.: London, UK, 2023. [Google Scholar] [CrossRef]
- Castin, Y. Condensats de Bose–Einstein: La Théorie, des Fondements aux Applications; EDP Sciences: Les Ulis, France, 2025; Volumes 1 & 2. [Google Scholar]
- Josephson, B.D. Possible new effects in superconductive tunnelling. Phys. Lett. 1962, 1, 251–253. [Google Scholar] [CrossRef]
- Josephson, B.D. Coupled superconductors. Rev. Mod. Phys. 1964, 36, 216–220. [Google Scholar] [CrossRef]
- Guinea, F.; Schön, G. Dynamics and phase transitions of Josephson junctions with dissipation due to quasiparticle tunneling. J. Low Temp. Phys. 1987, 69, 219–243. [Google Scholar] [CrossRef]
- Pashin, D.; Satanin, A.M.; Kim, C.S. Classical and quantum dissipative dynamics in the Josephson junction: Arnold problem, bifurcation and capture into resonance. Phys. Rev. E 2018, 99, 062223. [Google Scholar] [CrossRef] [PubMed]
- Cataliotti, F.; Burger, S.; Fort, C.; Maddaloni, P.; Minardi, F.; Trombettoni, A.; Smerzi, A.; Inguscio, M. Josephson junction arrays with Bose–Einstein condensates. Science 2001, 293, 843–846. [Google Scholar] [CrossRef]
- Albiez, M.; Gati, R.; Folling, J.; Hunsmann, S.; Cristiani, M.; Oberthaler, M. Direct observation of tunneling and nonlinear self-trapping in a single bosonic Josephson junction. Phys. Rev. Lett. 2005, 95, 010402. [Google Scholar] [CrossRef]
- Levy, S.; Lahoud, E.; Shomroni, I.; Steinhauer, J. The a.c. and d.c. Josephson effects in a Bose–Einstein condensate. Nature 2007, 449, 579–583. [Google Scholar] [CrossRef]
- Pereverzev, S.; Loshak, A.; Backhaus, S.; Davis, J.; Packard, R. Quantum oscillations between two weakly coupled reservoirs of superfluid 3He. Nature 1997, 388, 449–451. [Google Scholar] [CrossRef]
- Sukhatme, K.; Mukharsky, Y.; Chui, T.; Pearson, D. Observation of the ideal Josephson effect in superfluid 4He. Nature 2001, 411, 280–283. [Google Scholar] [CrossRef]
- Bellettini, A.; Richaud, A.; Penna, V. Massive-vortex realization of a bosonic Josephson junction. Phys. Rev. Res. 2024, 6, 043197. [Google Scholar] [CrossRef]
- Öhberg, P.; Stenholm, S. Internal Josephson effect in trapped double condensates. Phys. Rev. A 1999, 59, 3890–3895. [Google Scholar] [CrossRef]
- Davis, M.J.; Heller, E.J. Quantum dynamical tunneling in bound states. J. Chem. Phys. 1981, 75, 246–254. [Google Scholar] [CrossRef]
- Yukalov, V.I.; Yukalova, E.P.; Bagnato, V.S. Non-ground-state Bose–Einstein condensates of trapped atoms. Phys. Rev. A 1997, 56, 4845–4854. [Google Scholar] [CrossRef]
- Yukalov, V.I.; Yukalova, E.P.; Bagnato, V.S. Nonlinear coherent modes of trapped Bose–Einstein condensates. Phys. Rev. A 2002, 66, 043602. [Google Scholar] [CrossRef]
- Williams, J.; Walser, R.; Cooper, J.; Cornell, E.; Holland, M. Nonlinear Josephson-type oscillations of a driven, two-component Bose–Einstein condensate. Phys. Rev. A 1999, 59, R31–R34. [Google Scholar] [CrossRef]
- Zibold, T.; Nicklas, E.; Gross, C.; Oberthaler, M.K. Classical bifurcation at the transition from Rabi to Josephson dynamics. Phys. Rev. Lett. 2010, 105, 204101. [Google Scholar] [CrossRef] [PubMed]
- Klauder, J.R.; Sudarshan, E.C.G. Fundamentals of Quantum Optics; W. A. Benjamin Inc.: New York, NY, USA, 1968; Available online: https://archive.org/details/fundamentalsofqu0000john (accessed on 26 July 2025).
- Mandel, L.; Wolf, E. Optical Coherence and Quantum Optics; Cambridge University Press: Cambridge, UK, 1995. [Google Scholar] [CrossRef]
- Dodonov, V.V. ‘Nonclassical’ states in quantum optics: A ‘squeezed’ review of the first 75 years. J. Opt. B Quantum Semiclass. Opt. 2002, 4, R1–R33. [Google Scholar] [CrossRef]
- Yukalov, V.I. Theory of cold atoms: Basics of quantum statistics. Laser Phys. 2013, 23, 062001. [Google Scholar] [CrossRef]
- Bogolyubov, M.M. Lectures on Quantum Statistics: Questions of Statistical Mechanics of Quantum Systems; Ryadyans’ka Shkola: Kiev, USSR, 1949. (In Ukrainian) [Google Scholar]
- Bogoliubov, N.N. Lectures on Quantum Statistics. Volume 1: Quantum Statistics; Gordon and Breach, Science Publishers, Inc.: New York, NY, USA, 1967; Available online: https://vdoc.pub/download/lectures-on-quantum-statistics-vol-1-quantum-statistics-62unplqle5g0 (accessed on 26 July 2025).
- Bogoliubov, N.N. Lectures on Quantum Statistics. Volume 2: Quasi-Averages; Gordon and Breach, Science Publishers, Inc.: New York, NY, USA, 1970; Available online: https://archive.org/details/lecturesonquantu0002nbog (accessed on 26 July 2025).
- Gross, E.P. Unified theory of interacting Bosons. Phys. Rev. 1957, 106, 161–162. [Google Scholar] [CrossRef]
- Gross, E.P. Classical theory of Boson wave fields. Ann. Phys. 1958, 4, 57–74. [Google Scholar] [CrossRef]
- Gross, E.P. Quantum theory of interacting Bosons. Ann. Phys. 1960, 9, 292–324. [Google Scholar] [CrossRef]
- Gross, E.P. Structure of a quantized vortex in Boson systems. Nuovo C. 1961, 20, 454–477. [Google Scholar] [CrossRef]
- Gross, E.P. Hydrodynamics of a superfluid condensate. J. Math. Phys. 1963, 4, 195–207. [Google Scholar] [CrossRef]
- Pitaevskii, L.P. Vortex lines in an imperfect Bose gas. J. Exp. Theor. Phys. 1961, 13, 451–454. Available online: http://jetp.ras.ru/cgi-bin/e/index/e/13/2/p451?a=list (accessed on 26 July 2025).
- Wu, T.T. Some nonequilibrium properties of a Bose system of hard spheres at extremely low temperatures. J. Math. Phys. 1961, 2, 105–123. [Google Scholar] [CrossRef]
- Yukalov, V.I. Nonequilibrium Bose systems and nonground-state Bose–Einstein condensates. Laser Phys. Lett. 2006, 3, 406–414. [Google Scholar] [CrossRef]
- Yukalov, V.I.; Bagnato, V.S. Generation of nonground-state condensates and adiabatic paradox. Laser Phys. Lett. 2009, 6, 399–403. [Google Scholar] [CrossRef]
- Nemytskii, V.V.; Stepanov, V.V. Qualitative Theory of Differential Equations; Princeton University Press: Princeton, NJ, USA, 1960. [Google Scholar]
- Temam, R. Infinite-Dimensional Dynamical Systems in Mechanics and Physics; Springer Science+Business Media, LLC: New York, NY, USA, 1997. [Google Scholar] [CrossRef]
- Marzlin, K.P.; Zhang, W. Laser-induced rotation of a trapped Bose–Einstein condensate. Phys. Rev. A 1998, 57, 3801–3804. [Google Scholar] [CrossRef]
- Marzlin, K.P.; Zhang, W. Quantized circular motion of a trapped Bose–Einstein condensate: Coherent rotation and vortices. Phys. Rev. A 1998, 57, 4761–4769. [Google Scholar] [CrossRef]
- Yukalov, V.I.; Yukalova, E.P.; Bagnato, V.S. Excited coherent modes of ultracold trapped atoms. Laser Phys. 2000, 10, 26–30. [Google Scholar]
- Ostrovskaya, E.A.; Kivshar, Y.S.; Lisak, M.; Hall, B.; Cattani, F.; Anderson, D. Coupled-mode theory for Bose–Einstein condensates. Phys. Rev. A 2000, 61, 031601. [Google Scholar] [CrossRef]
- Williams, J.; Walser, R.; Cooper, J.; Cornell, E.A.; Holland, M. Excitation of a dipole topological state in a strongly coupled two-component Bose–Einstein condensate. Phys. Rev. A 2000, 61, 033612. [Google Scholar] [CrossRef]
- Yukalov, V.I.; Yukalova, E.P.; Bagnato, V.S. Nonground state condensates of ultracold trapped atoms. Laser Phys. 2001, 11, 455–459. [Google Scholar] [CrossRef]
- Kivshar, Y.S.; Alexander, T.J.; Turitsyn, S.K. Nonlinear modes of a macroscopic quantum oscillator. Phys. Lett. A 2001, 278, 225–230. [Google Scholar] [CrossRef]
- D’Agosta, R.; Presilla, C. States without a linear counterpart in Bose–Einstein condensates. Phys. Rev. A 2002, 65, 043609. [Google Scholar] [CrossRef]
- Yukalov, V.I.; Yukalova, E.P.; Bagnato, V.S. Resonant Bose condensate: Analog of resonant atom. Laser Phys. 2003, 13, 551–561. [Google Scholar] [CrossRef]
- Yukalov, V.I.; Yukalova, E.P.; Bagnato, V.S. Coherent resonance in trapped Bose condensates. Laser Phys. 2003, 13, 861–870. [Google Scholar] [CrossRef]
- Yukalov, V.I.; Yukalova, E.P.; Bagnato, V.S. Critical effects in population dynamics of trapped Bose–Einstein condensates. Laser Phys. 2002, 12, 231–239. [Google Scholar] [CrossRef]
- Bogoliubov, N.N.; Mitropolsky, Y.A. Asymptotic Methods in the Theory of Non-linear Oscillations; Gordon and Breach, Science Publishers, Inc.: New York, NY, USA; Hindustan Publishing Corporation: Dehli, India, 1961; Available online: https://vdoc.pub/download/asymptotic-methods-in-the-theory-of-npn-linear-oscillations-7r6016cklun0 (accessed on 26 July 2025).
- Yukalov, V.I.; Yukalova, E.P. Cooperative electromagnetic effects. Phys. Part. Nucl. 2000, 31, 1128–1211. Available online: http://www1.jinr.ru/Archive/Pepan/v-31-5/3.htm (accessed on 26 July 2025).
- Lieb, E.H.; Seiringer, R.; Solovej, J.P.; Yngvason, J. The Mathematics of the Bose Gas and Its Condensation; Birkhäuser/Springer Science+Business Media: Basel, Switzerland, 2005. [Google Scholar] [CrossRef][Green Version]
- Yukalov, V.I. Major issues in theory of Bose–Einstein condensation. AVS Quantum Sci. 2025, 7, 023501. [Google Scholar] [CrossRef]
- Timmermans, E.; Tommasini, P.; Hussein, M.; Kerman, A. Feshbach resonances in atomic Bose–Einstein condensates. Phys. Rep. 1999, 315, 199–230. [Google Scholar] [CrossRef]
- Yukalov, V.I.; Yukalova, E.P. Dynamics of nonground-state Bose–Einstein condensates. J. Low Temp. Phys. 2005, 138, 657–662. [Google Scholar] [CrossRef]
- Ramos, E.R.; Henn, E.A.; Seman, J.A.; Caracanhas, M.A.; Magalhães, K.M.; Helmerson, K.; Yukalov, V.I.; Bagnato, V.S. Generation of nonground-state Bose–Einstein condensates by modulating atomic interactions. Phys. Rev. A 2008, 78, 063412. [Google Scholar] [CrossRef]
- Yukalov, V.I.; Marzlin, K.P.; Yukalova, E.P. Resonant generation of topological modes in trapped Bose–Einstein gases. Phys. Rev. A 2004, 69, 023620. [Google Scholar] [CrossRef]
- Zhang, Z.; Hsu, T.W.; Tan, T.Y.; Slichter, D.H.; Kaufman, A.M.; Marinelli, M.; Regal, C.A. High optical access cryogenic system for Rydberg atom arrays with a 3000-second trap lifetime. PRX Quantum 2025, 6, 020337. [Google Scholar] [CrossRef]
- Yukalov, V.I.; Yukalova, E.P.; Sornette, D. Mode interference in quantum joint probabilities for multimode Bose-condensed systems. Laser Phys. Lett. 2013, 10, 115502. [Google Scholar] [CrossRef]
- Yukalov, V.I.; Novikov, A.N.; Bagnato, V.S. Characterization of nonequilibrium states of trapped Bose–Einstein condensates. Laser Phys. Lett. 2018, 15, 065501. [Google Scholar] [CrossRef]
- Henn, E.A.L.; Seman, J.A.; Roati, G.; Magalhães, K.M.F.; Bagnato, V.S. Emergence of turbulence in an oscillating Bose–Einstein condensate. Phys. Rev. Lett. 2009, 103, 045301. [Google Scholar] [CrossRef]
- Shiozaki, R.F.; Telles, G.D.; Yukalov, V.I.; Bagnato, V.S. Transition to quantum turbulence in finite-size superfluids. Laser Phys. Lett. 2011, 8, 393–397. [Google Scholar] [CrossRef]
- Seman, J.A.; Henn, E.A.L.; Shiozaki, R.F.; Roati, G.; Poveda-Cuevas, F.J.; Magalhães, K.M.F.; Yukalov, V.I.; Tsubota, M.; Kobayashi, M.; Kasamatsu, K.; et al. Route to turbulence in a trapped Bose–Einstein condensate. Laser Phys. Lett. 2011, 8, 691–696. [Google Scholar] [CrossRef]
- Yukalov, V.I.; Novikov, A.N.; Bagnato, V.S. Formation of granular structures in trapped Bose–Einstein condensates under oscillatory excitations. Laser Phys. Lett. 2014, 11, 095501. [Google Scholar] [CrossRef]
- Yukalov, V.I.; Novikov, A.N.; Bagnato, V.S. Realization of inverse Kibble–Zurek scenario with trapped Bose gases. Phys. Lett. A 2015, 379, 1366–1371. [Google Scholar] [CrossRef]
- Iordanskiĭ, S.V. Vortex ring formation in a superfluid. J. Exp. Theor. Phys. 1965, 21, 467–471. Available online: http://jetp.ras.ru/cgi-bin/e/index/e/21/2/p467?a=list (accessed on 26 July 2025).
- Amit, D.; Gross, E.P. Vortex rings in a Bose fluid. Phys. Rev. 1966, 145, 130–136. [Google Scholar] [CrossRef]
- Roberts, P.H.; Grant, J. Motions in a Bose condensate. I. The structure of the large circular vortex. J. Phys. A Gen. Phys. 1971, 4, 55–72. [Google Scholar] [CrossRef]
- Jones, C.A.; Roberts, P.H. Motions in a Bose condensate. IV. Axisymmetric solitary waves. J. Phys. A Gen. Phys. 1982, 15, 2599–2619. [Google Scholar] [CrossRef]
- Jackson, B.; McCann, J.F.; Adams, C.S. Vortex line and ring dynamics in trapped Bose–Einstein condensates. Phys. Rev. A 1999, 61, 013604. [Google Scholar] [CrossRef]
- Barenghi, C.F.; Donnelly, R.J. Vortex rings in classical and quantum systems. Fluid Dyn. Res. 2009, 41, 051401. [Google Scholar] [CrossRef]
- Reichl, M.D.; Mueller, E.J. Vortex ring dynamics in trapped Bose–Einstein condensates. Phys. Rev. A 2013, 88, 053626. [Google Scholar] [CrossRef]
- Pethick, C.J.; Smith, H. Bose–Einstein Condensation in Dilute Gases; Cambridge University: Cambridge, UK, 2008. [Google Scholar] [CrossRef]
- Vinen, W.F.; Niemela, J.J. Quantum turbulence. J. Low Temp. Phys. 2002, 128, 167–231. [Google Scholar] [CrossRef]
- Vinen, W.F. An introduction to quantum turbulence. J. Low Temp. Phys. 2006, 145, 7–24. [Google Scholar] [CrossRef]
- Vinen, W.F. Quantum turbulence: Achievements and challenges. J. Low Temp. Phys. 2010, 161, 419–444. [Google Scholar] [CrossRef]
- Tsubota, M.; Kobayashi, M.; Takeushi, H. Quantum hydrodynamics. Phys. Rep. 2013, 522, 191–238. [Google Scholar] [CrossRef]
- Nemirovskii, S.K. Quantum turbulence: Theoretical and numerical problems. Phys. Rep. 2013, 524, 85–202. [Google Scholar] [CrossRef]
- Tsatsos, M.C.; Tavares, P.E.S.; Cidrim, A.; Fritsch, A.R.; Caracanhas, M.A.; Dos Santos, F.E.A.; Barenghi, C.F.; Bagnato, V.S. Quantum turbulence in trapped atomic Bose–Einstein condensates. Phys. Rep. 2016, 622, 1–52. [Google Scholar] [CrossRef]
- Zakharov, V.E.; L’vov, V.S.; Falkovich, G. Kolmogorov Spectra of Turbulence; Springer: Berlin/Heidelberg, Germany, 1992. [Google Scholar] [CrossRef]
- Thompson, K.J.; Bagnato, G.G.; Telles, G.D.; Caracanhas, M.A.; Dos Santos, F.E.A.; Bagnato, V.S. Evidence of power law behavior in the momentum distribution of a turbulent trapped Bose–Einstein condensate. Laser Phys. Lett. 2014, 11, 015501. [Google Scholar] [CrossRef]
- Navon, N.; Gaunt, A.L.; Smith, R.P.; Hadzibabic, Z. Emergence of a turbulent cascade in a quantum gas. Nature 2016, 532, 72–75. [Google Scholar] [CrossRef] [PubMed]
- Moreno-Armijos, M.A.; Fritsch, A.R.; Garcia-Orozco, A.D.; Sab, S.; Telles, G.; Zhu, Y.; Madeira, L.; Nazarenko, S.; Yukalov, V.I.; Bagnato, V.S. Observation of relaxation stages in a nonequilibrium closed quantum system: Decaying turbulence in a trapped superfluid. Phys. Rev. Lett. 2025, 134, 023401. [Google Scholar] [CrossRef]
- Nazarenko, S. Wave Turbulence; Springer: Berlin/Heidelberg, Germany, 2011. [Google Scholar] [CrossRef]
- Kibble, T.W.B. Topology of cosmic domains and strings. J. Phys. A Math. Gen. 1976, 9, 1387–1398. [Google Scholar] [CrossRef]
- Kibble, T.W.B. Some implications of a cosmological phase transition. Phys. Rep. 1980, 67, 183–199. [Google Scholar] [CrossRef]
- Zurek, W.H. Cosmological experiments in superfluid helium? Nature 1985, 317, 505–508. [Google Scholar] [CrossRef]
- Zurek, W.H. Cosmological experiments in condensed matter systems. Phys. Rep. 1996, 276, 177–221. [Google Scholar] [CrossRef]
- Vicsek, T.; Family, F. Dynamic scaling for aggregation of clusters. Phys. Rev. Lett. 1984, 52, 1669–1672. [Google Scholar] [CrossRef]
- Family, F.; Vicsek, T. Scaling of the active zone in the Eden process on percolation networks and the ballistic deposition model. J. Phys. A Math. Gen. 1985, 18, L75–L81. [Google Scholar] [CrossRef]
- Ziff, R.M.; McGrady, E.D. The kinetics of cluster fragmentation and depolymerisation. J. Phys. A Math. Gen. 1985, 18, 3027–3037. [Google Scholar] [CrossRef]
- van Dongen, P.G.J.; Ernst, M.H. Dynamic scaling in the kinetics of clustering. Phys. Rev. Lett. 1985, 54, 1396–1399. [Google Scholar] [CrossRef] [PubMed]
- Kreer, M.; Penrose, O. Proof of dynamical scaling in Smoluchowski’s coagulation equation with constant kernel. J. Stat. Phys. 1994, 75, 389–407. [Google Scholar] [CrossRef]
- Hassan, M.K.; Hassan, M.Z. Condensation-driven aggregation in one dimension. Phys. Rev. E 2008, 77, 061404. [Google Scholar] [CrossRef]
- Hassan, M.K.; Hassan, M.Z. Emergence of fractal behavior in condensation-driven aggregation. Phys. Rev. E 2009, 79, 021406. [Google Scholar] [CrossRef]
- Hassan, M.K.; Hassan, M.Z.; Islam, N. Emergence of fractals in aggregation with stochastic self-replication. Phys. Rev. E 2013, 88, 042137. [Google Scholar] [CrossRef]
- Hassan, M.K.; Hassan, M.Z.; Pavel, N.I. Dynamic scaling, data-collapse and self-similarity in Barabási–Albert networks. J. Phys. A Math. Gen. 2011, 44, 175101. [Google Scholar] [CrossRef]
- Kardar, M.; Parisi, G.; Zhang, Y.C. Dynamic scaling of growing interfaces. Phys. Rev. Lett. 1986, 56, 889–892. [Google Scholar] [CrossRef]
- D’Souza, R.M. Anomalies in simulations of nearest neighbor ballistic deposition. Int. J. Mod. Phys. C 1997, 8, 941–951. [Google Scholar] [CrossRef]
- Kreer, M. An elementary proof for dynamical scaling for certain fractional non-homogeneous Poisson processes. Stat. Probab. Lett. 2022, 182, 109296. [Google Scholar] [CrossRef]
- Leonel, E.D. Scaling Laws in Dynamical Systems; Higher Education Press/Springer Nature Singapore Pte Ltd.: Singapore, 2021. [Google Scholar] [CrossRef]
- Pineiro Orioli, A.P.; Boguslavski, K.; Berges, J. Universal self-similar dynamics of relativistic and nonrelativistic field theories near nonthermal fixed points. Phys. Rev. D 2015, 92, 025041. [Google Scholar] [CrossRef]
- Schmied, C.M.; Mikheev, A.N.; Gasenzer, T. Nonthermal fixed points: Universal dynamics far from equilibrium. Int. J. Mod. Phys. A 2019, 34, 1941006. [Google Scholar] [CrossRef]
- Mikheev, A.N.; Siovitz, I.; Gasenzer, T. Universal dynamics and non-thermal fixed points in quantum fluids far from equilibrium. Eur. Phys. J. Spec. Top. 2023, 232, 3393. [Google Scholar] [CrossRef]
- Berges, J.; Borsanyi, S.; Wetterich, C. Prethermalization. Phys. Rev. Lett. 2004, 93, 142002. [Google Scholar] [CrossRef]
- Gring, M.; Kuhnert, M.; Langen, T.; Kitagawa, T.; Rauer, B.; Schreitl, M.; Mazets, I.; Smith, D.A.; Demler, E.; Schmiedmayer, J. Relaxation and prethermalization in an isolated quantum system. Science 2012, 337, 1318. [Google Scholar] [CrossRef]
- Langen, T.; Gasenzer, T.; Schmiedmayer, J. Prethermalization and universal dynamics in near-integrable quantum systems. J. Stat. Mech. 2016, 2016, 064009. [Google Scholar] [CrossRef]
- Mori, T.; Ikeda, T.N.; Kaminishi, E.; Ueda, M. Thermalization and prethermalization in isolated quantum systems: A theoretical overview. J. Phys. B 2018, 51, 112001. [Google Scholar] [CrossRef]
- Nowak, B.; Schole, J.; Sexty, D.; Gasenzer, T. Nonthermal fixed points, vortex statistics, and superfluid turbulence in an ultracold Bose gas. Phys. Rev. A 2012, 85, 043627. [Google Scholar] [CrossRef]
- Kwon, W.J.; Moon, G.; Choi, J.Y.; Seo, S.W.; Shin, Y.I. Relaxation of superfluid turbulence in highly oblate Bose–Einstein condensates. Phys. Rev. A 2014, 90, 063627. [Google Scholar] [CrossRef]
- Nowak, B.; Schole, J.; Gasenzer, T. Universal dynamics on the way to thermalization. New J. Phys. 2014, 16, 093052. [Google Scholar] [CrossRef]
- Madeira, L.; Caracanhas, M.; dos Santos, F.; Bagnato, V.S. Quantum turbulence in quantum gases. Annu. Rev. Condens. Matter Phys. 2020, 11, 37–56. [Google Scholar] [CrossRef]
- Garcia-Orozco, A.D.; Madeira, L.; Moreno-Armijos, M.A.; Fritsch, A.R.; Tavares, P.E.S.; Castilho, P.C.M.; Cidrim, A.; Roati, G.; Bagnato, V.S. Universal dynamics of a turbulent superfluid Bose gas. Phys. Rev. A 2022, 106, 023314. [Google Scholar] [CrossRef]
- Zhu, Y.; Semisalov, B.; Krstulovic, G.; Nazarenko, S. Direct and inverse cascades in turbulent Bose–Einstein condensates. Phys. Rev. Lett. 2023, 130, 133001. [Google Scholar] [CrossRef]
- Zhu, Y.; Semisalov, B.; Krstulovic, G.; Nazarenko, S. Self-similar evolution of wave turbulence in Gross–Pitaevskii system. Phys. Rev. E 2023, 108, 064207. [Google Scholar] [CrossRef]



| State | ||
|---|---|---|
| Weak nonequilibrium | 0 | 0 |
| Vortex germs | 0.29 | 0.11 |
| Vortex rings | 1.21 | 0.23 |
| Vortex lines | 2.26 | 0.31 |
| Vortex turbulence | 5.54 | 0.49 |
| Droplet turbulence | 8.56 | 0.61 |
| Wave turbulence | 23.5 | 1.01 |
Disclaimer/Publisher’s Note: The statements, opinions and data contained in all publications are solely those of the individual author(s) and contributor(s) and not of MDPI and/or the editor(s). MDPI and/or the editor(s) disclaim responsibility for any injury to people or property resulting from any ideas, methods, instructions or products referred to in the content. |
© 2025 by the authors. Licensee MDPI, Basel, Switzerland. This article is an open access article distributed under the terms and conditions of the Creative Commons Attribution (CC BY) license (https://creativecommons.org/licenses/by/4.0/).
Share and Cite
Yukalov, V.I.; Yukalova, E.P. Dynamical Transitions in Trapped Superfluids Excited by Alternating Fields. Physics 2025, 7, 41. https://doi.org/10.3390/physics7030041
Yukalov VI, Yukalova EP. Dynamical Transitions in Trapped Superfluids Excited by Alternating Fields. Physics. 2025; 7(3):41. https://doi.org/10.3390/physics7030041
Chicago/Turabian StyleYukalov, Vyacheslav I., and Elizaveta P. Yukalova. 2025. "Dynamical Transitions in Trapped Superfluids Excited by Alternating Fields" Physics 7, no. 3: 41. https://doi.org/10.3390/physics7030041
APA StyleYukalov, V. I., & Yukalova, E. P. (2025). Dynamical Transitions in Trapped Superfluids Excited by Alternating Fields. Physics, 7(3), 41. https://doi.org/10.3390/physics7030041

