Characterizing Proton-Proton Collisions at the Large Hadron Collider with Thermal Properties
Abstract
1. Introduction
2. Formulation
3. Results and Discussion
4. Summary and Conclusions
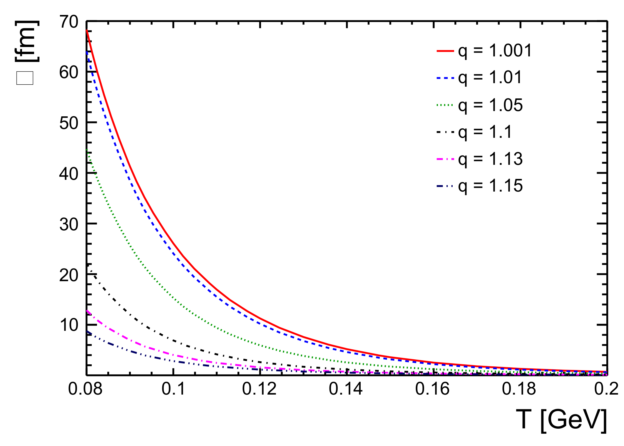
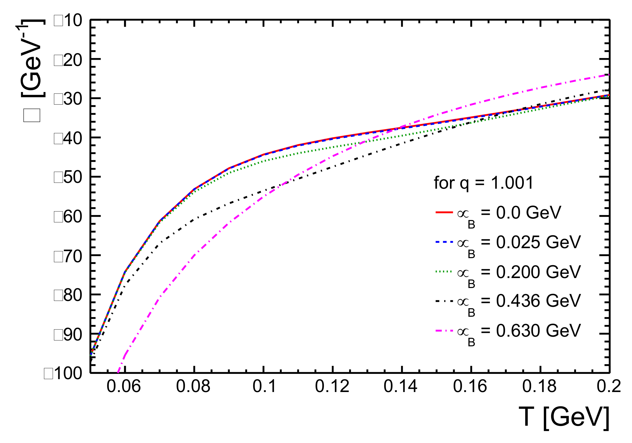
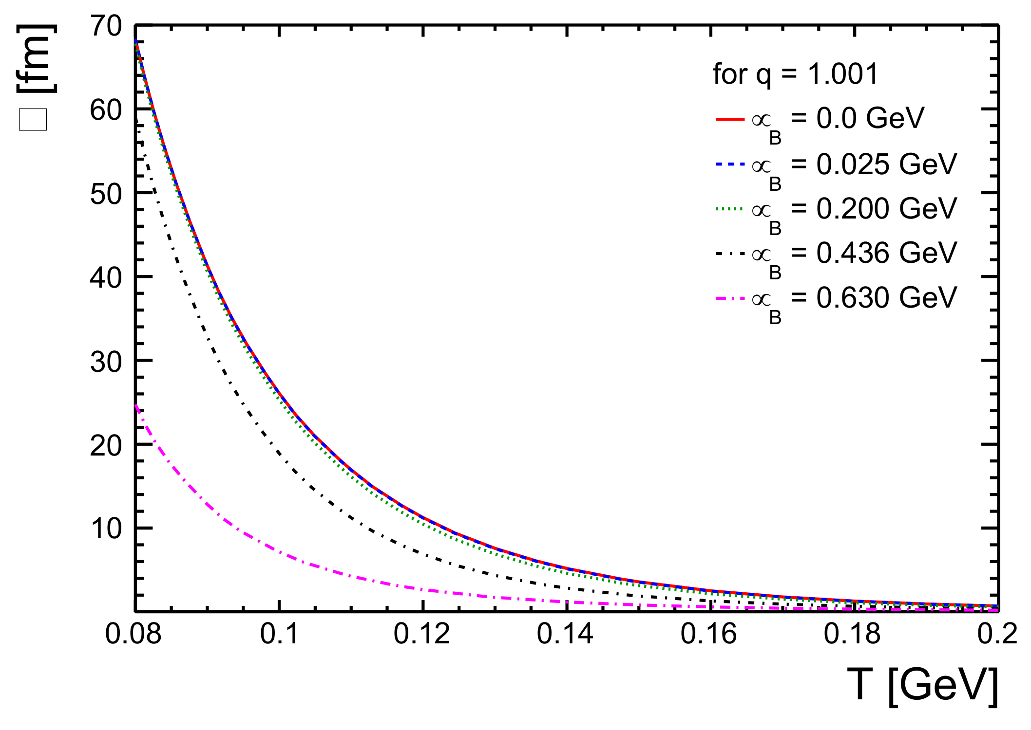
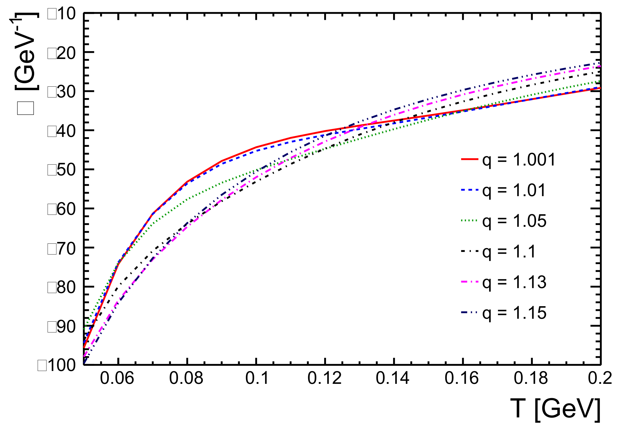
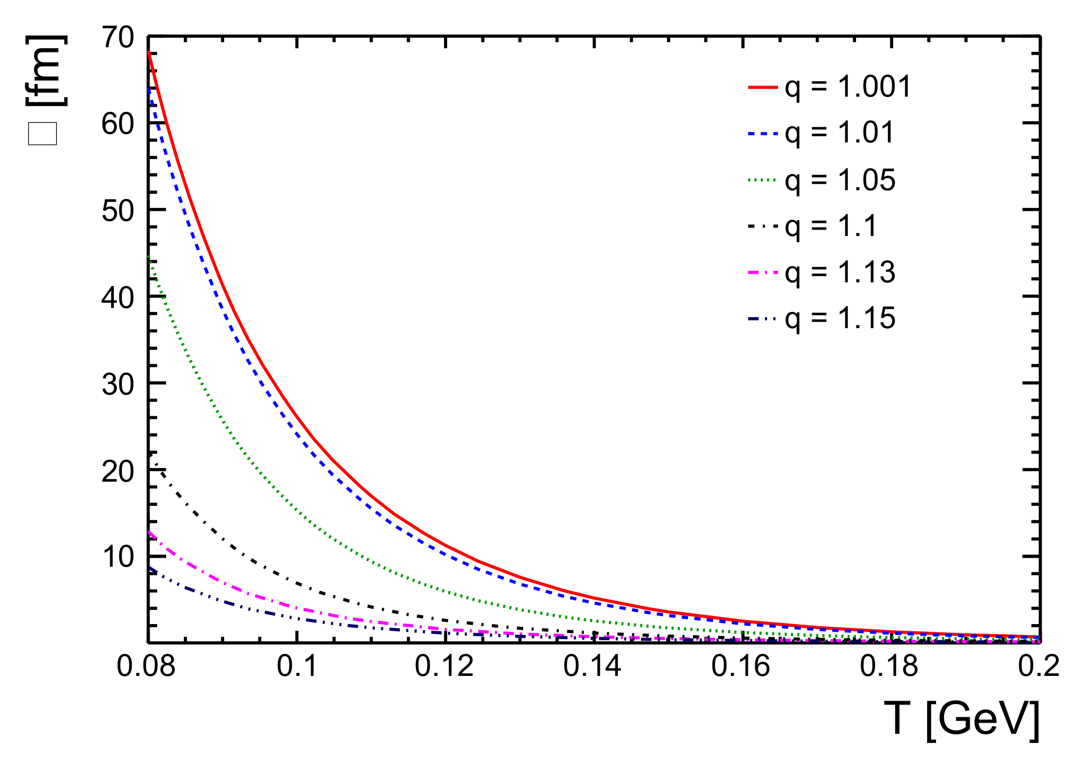
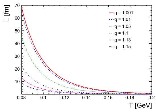
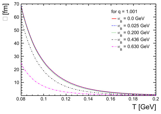
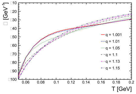
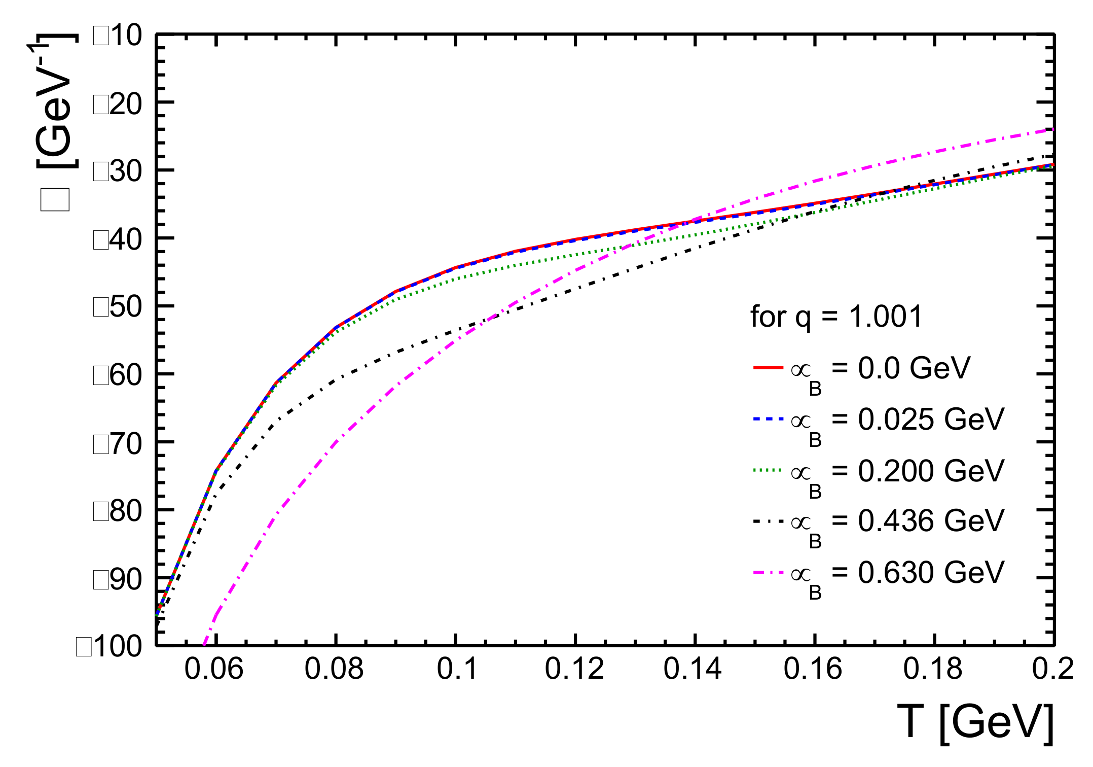
- The mean free path is found to be highly sensitive to the equilibration parameter q at lower temperatures. In the domain of high temperature, it is found to be almost independent from the q parameter. The higher the baryochemical potential, the lower the mean free path of the system at a certain temperature. For all values of baryochemical potential, the spectra show a decreasing trend with temperature.
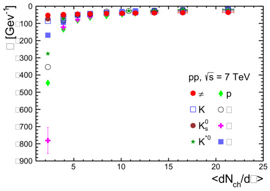
- The mean free path is then studied for identified particles with the () inputs from the experimental transverse momentum spectra. The midrapidity charged particle pseudorapidity density (10–15) is found to be a threshold in the final state event multiplicity, after which the mean free path becomes independent of particle species. For higher event multiplicities, the mean free path seems to attain a lower asymptotic value between (1–10) fm.
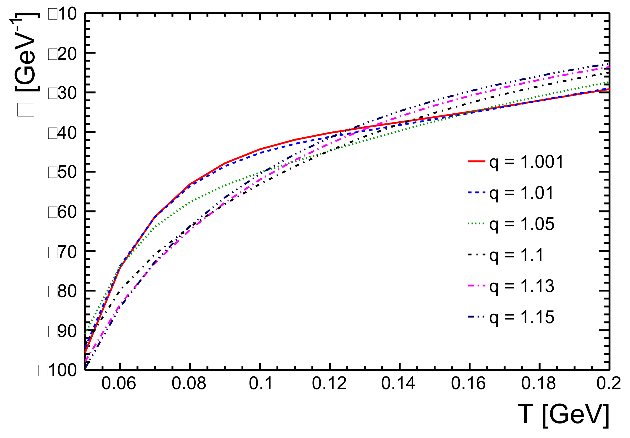
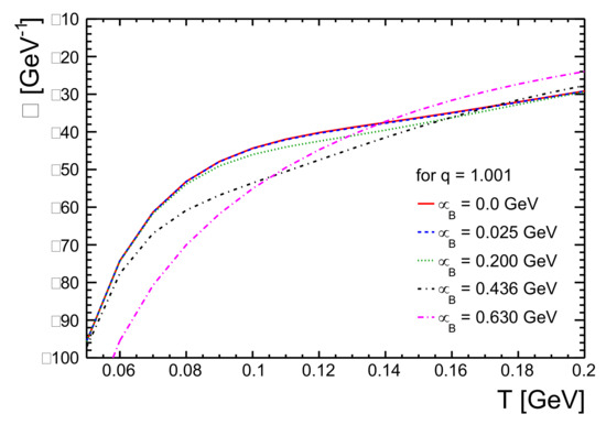
- A negative isobaric expansivity of the hadron gas system is observed. The isobaric expansivity is highly sensitive to the q parameter. In a higher temperature region, the expansivity is higher for a system away from equilibrium. Similarly, for high values, we observe a higher expansivity of the system in the high temperature region.
- For the isobaric expansivity of the identified particles, we observed a threshold midrapidity charged particle pseudorapidity density, 10, after which the isobaric expansivity almost converged to the same value. This may indicate a change in the dynamics of the system.
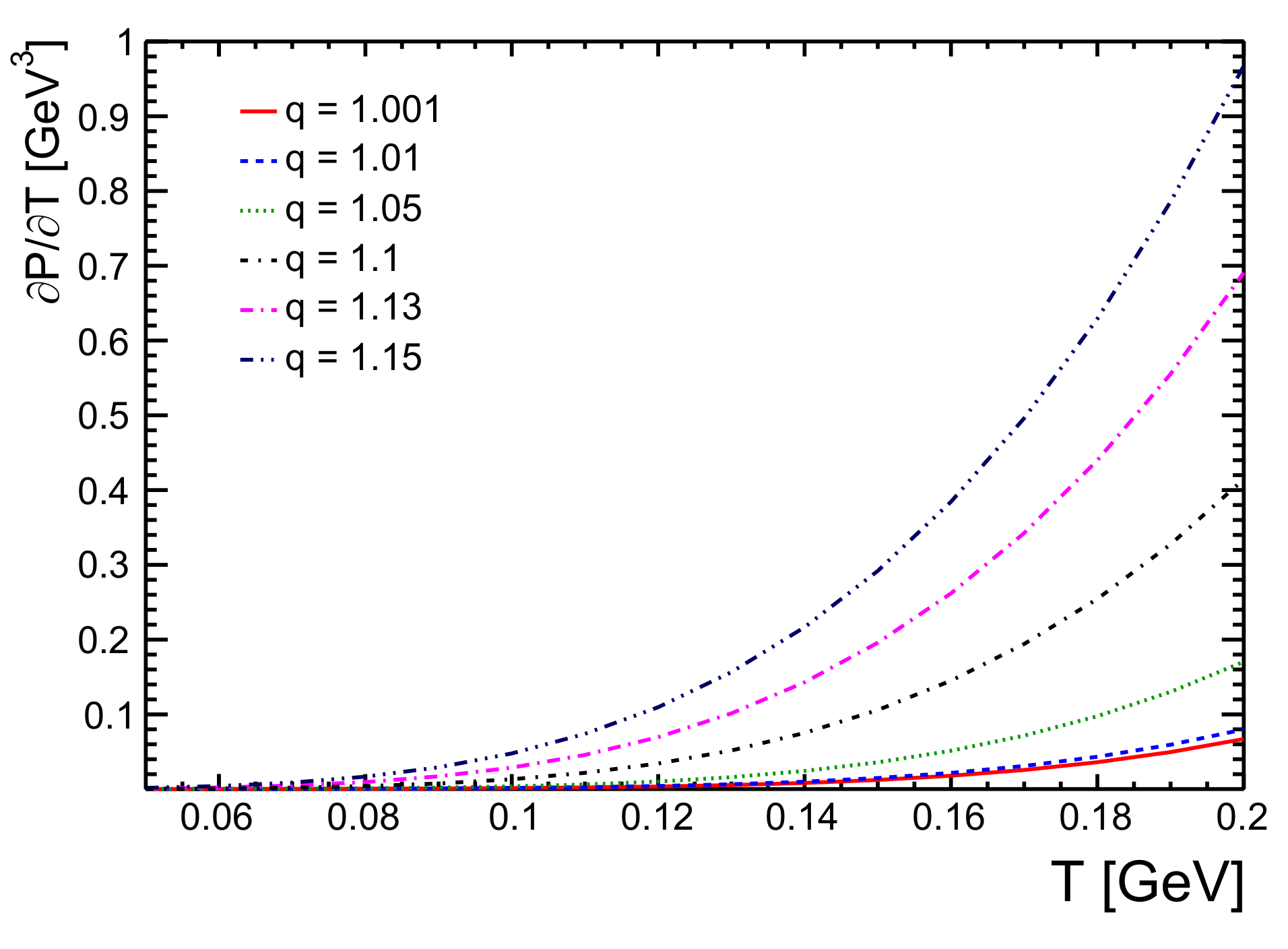
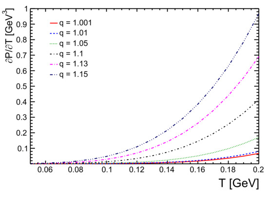
- The thermal pressure was found to be weakly dependent on the q parameter at lower temperatures, but the dependency became stronger with the increase in temperature. As expected, at lower temperatures, the thermal pressure in the system is lower, which goes up, as the temperature of the system increases. The thermal pressure is found to be positively correlated with the degree of non-extensivity of a physical system.
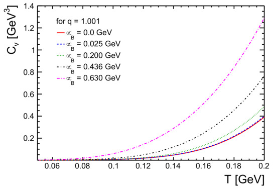
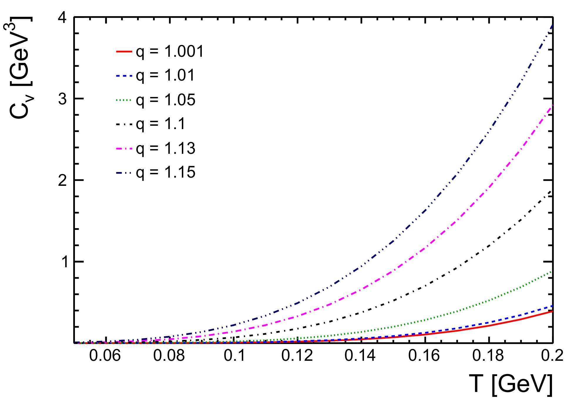
- The specific heat at constant volume is weakly dependent on the equilibration parameter q at lower temperatures and highly dependent on q in the higher temperature region. As the temperature increases, we observed an increase in the specific heat of the system. We also studied the effect of baryochemical potential on the specific heat and observed that, for a baryon-rich environment, the specific heat becomes higher for high baryochemical potential.
- Although in this paper a theoretical estimation of various important thermodynamic quantities was made as a function of final state multiplicity keeping pp collisions in mind in order to carry out a systematic study, the physical interpretation of the thermodynamic properties of the systems corresponding to low-multiplicities must be performed with caution.
Author Contributions
Funding
Acknowledgments
Conflicts of Interest
References
- ALICE Collaboration. Enhanced production of multi-strange hadrons in high-multiplicity proton–proton collisions. Nature Phys. 2017, 13, 535. [Google Scholar] [CrossRef]
- Velicanu, D. (for CMS Collaboration). Ridge correlation structure in high-multiplicity pp collisions with CMS. J. Phys. G 2011, 38, 124051. [Google Scholar] [CrossRef]
- Sjostrand, T.; Mrenna, S.; Skands, P.Z. PYTHIA 6.4 physics and manual. JHEP 2006, 05, 026. [Google Scholar]
- Ortiz Velasquez, A.; Christiansen, P.; Flores, E.C.; Cervantes, I.M.; Paić, G. Color reconnection and flowlike patterns in pp collisions. Phys. Rev. Lett. 2013, 111, 042001. [Google Scholar] [CrossRef] [PubMed]
- Nayak, R.; Pal, S.; Dash, S. Effect of rope hadronization on strangeness enhancement in p-p collisions at LHC energies. Phys. Rev. D 2019, 100, 074023. [Google Scholar] [CrossRef]
- Werner, K.; Guiot, B.; Karpenko, I.; Pierog, T. Analysing radial flow features in p-Pb and p-p collisions at several TeV by studying identified particle production in EPOS3. Phys. Rev. C 2014, 89, 064903. [Google Scholar] [CrossRef]
- Werner, K.; Karpenko, I.; Pierog, T.; Bleicher, M.; Mikhailov, K. Event-by-event simulation of the three-dimensional hydrodynamic evolution from flux tube initial conditions in ultrarelativistic heavy ion collisions. Phys. Rev. C 2010, 82, 044904. [Google Scholar] [CrossRef]
- Drescher, H.; Hladik, M.; Ostapchenko, S.; Pierog, T.; Werner, K. Parton based Gribov-Regge theory. Phys. Rept. 2001, 350, 93. [Google Scholar] [CrossRef]
- Acharya, S.; Adamová, D.; Adhya, S.P.; Adler, A.; Adolfsson, J.; Aggarwal, M.M.; Rinella, G.A.; Agnello, M.; Agrawal, N.; Ahammed, Z.; et al. Charged-particle production as a function of multiplicity and transverse spherocity in pp collisions at =5.02 and 13 TeV. Eur. Phys. J. C 2019, 79, 857. [Google Scholar] [CrossRef]
- Khatun, A.; Thakur, D.; Deb, S.; Sahoo, R. J/ψ Production dynamics: Event shape, multiplicity and rapidity dependence in proton+proton collisions at LHC energies using PYTHIA8. J. Phys. G 2020, 47, 055110. [Google Scholar] [CrossRef]
- Ortiz, A.; Paić, G.; Cuautle, E. Mid-rapidity charged hadron transverse spherocity in pp collisions simulated with Pythia. Nucl. Phys. A 2015, 941, 78. [Google Scholar] [CrossRef]
- Rath, R.; Khuntia, A.; Tripathy, S.; Sahoo, R. A Baseline study of the event-shape and multiplicity dependence of chemical freeze-out parameters in proton-proton collisions at = 13 TeV using PYTHIA8. Physics 2020, 2, 40. [Google Scholar] [CrossRef]
- Tripathy, S.; Bisht, A.; Sahoo, R.; Khuntia, A.; Malavika, P.S. Event shape and multiplicity dependence of freeze-out scenario and system thermodynamics in proton+proton collisions at = 13 TeV Using PYTHIA8. Adv. High Energy Phys. 2021, 2021, 8822524. [Google Scholar] [CrossRef]
- Khuntia, A.; Tripathy, S.; Bisht, A.; Sahoo, R. Event shape engineering and multiplicity dependent study of identified particle production in proton+proton collisions at = 13 TeV using PYTHIA. J. Phys. G 2021, 48, 035102. [Google Scholar] [CrossRef]
- Deb, S.; Sarwar, G.; Sahoo, R.; Alam, J.-E. Study of QCD dynamics using small systems. arXiv 2019, arXiv:1909.02837. [Google Scholar]
- Azmi, M.; Bhattacharyya, T.; Cleymans, J.; Paradza, M. Energy density at kinetic freeze-out in Pb–Pb collisions at the LHC using the Tsallis distribution. J. Phys. G 2020, 47, 045001. [Google Scholar] [CrossRef]
- Bhattacharyya, T.; Cleymans, J.; Marques, L.; Mogliacci, S.; Paradza, M.W. On the precise determination of the Tsallis parameters in proton–proton collisions at LHC energies. J. Phys. G 2018, 45, 055001. [Google Scholar] [CrossRef]
- Khuntia, A.; Tripathy, S.; Sahoo, R.; Cleymans, J. Multiplicity dependence of non-extensive parameters for strange and multi-strange particles in proton-proton collisions at = 7 TeV at the LHC. Eur. Phys. J. A 2017, 53, 103. [Google Scholar] [CrossRef]
- Huang, K. Statistical Mechanics; John Wiley: New York, NY, USA, 1987. [Google Scholar]
- Kharzeev, D.E.; Levin, E.M. Deep inelastic scattering as a probe of entanglement. Phys. Rev. D 2017, 95, 114008. [Google Scholar] [CrossRef]
- Abelev, B.I.; Adams, J.; Aggarwal, M.M.; Ahammed, Z.; Amonett, J.; Anderson, B.D.; Anderson, M.; Arkhipkin, D.; Averichev, G.S.; Bai, Y.; et al. Strange particle production in p+p collisions at = 200 GeV. Phys. Rev. C 2007, 75, 064901. [Google Scholar] [CrossRef]
- Adare, A.; Afanasiev, S.; Aidala, C.; Ajitan, N.; Akiba, Y.; Al-Bataineh, H.; Alexander, J.; Aoki, K.; Aphecetche, L.; Armendariz, R.; et al. Identified charged hadron production in p+p collisions at =200 and 62.4 GeV. Phys. Rev. C 2011, 83, 064903. [Google Scholar] [CrossRef]
- Aamodt, K.; Abel, N.; Abeysekara, U.; Quintana, A.A.; Abramyan, A.; Adamova, D.; Aggarwal, M.M.; Rinella, G.A.; Agocs, A.G.; Salazar, S.A.; et al. Production of pions, kaons and protons in pp collisions at =900 GeV with ALICE at the LHC. Eur. Phys. J. C 2011, 71, 1655. [Google Scholar] [CrossRef]
- Abelev, B.; Quintana, A.A.; Adamová, D.; Adare, A.M.; Aggarwal, M.M.; Rinella, G.A.; Agocs, A.G.; Agostinelli, A.; Salazar, S.A.; Ahammed, Z.; et al. Neutral pion and η meson production in proton-proton collisions at s=0.9 TeV and =7 TeV. Phys. Lett. B 2012, 717, 162. [Google Scholar] [CrossRef]
- ALICE Collaboration. Multi-strange baryon production in pp collisions at =7 TeV with ALICE. Phys. Lett. B 2012, 712, 309. [Google Scholar] [CrossRef]
- Chatrchyan, S.; Khachatryan, V.; Sirunyan, A.M.; Tumasyan, A.; Adam, W.; Aguilo, E.; Bergauer, T.; Dragicevic, M.; Erö, J.; Fabjan, C.; et al. Study of the inclusive production of charged pions, kaons, and protons in pp collisions at =0.9, 2.76, and 7 TeV. Eur. Phys. J. C 2012, 72, 2164. [Google Scholar] [CrossRef]
- Bhattacharyya, T.; Cleymans, J.; Khuntia, A.; Pareek, P.; Sahoo, R. Radial flow in non-extensive thermodynamics and study of particle spectra at LHC in the limit of small (q-1). Eur. Phys. J. A. 2016, 52, 30. [Google Scholar] [CrossRef]
- Pirner, H.J.; Reygers, K. Light-cone QCD plasma. Phys. Rev. D 2012, 86, 034005. [Google Scholar] [CrossRef]
- Cleymans, J.; Worku, D. The Tsallis distribution in proton-proton collisions at = 0.9 TeV at the LHC. J. Phys. G 2012, 39, 025006. [Google Scholar] [CrossRef]
- Cleymans, J.; Worku, D. Relativistic thermodynamics: transverse momentum distributions in high-energy physics. Eur. Phys. J. A 2012, 48, 160. [Google Scholar] [CrossRef]
- Deppman, A. Self-consistency in non-extensive thermodynamics of highly excited hadronic states. Physica A 2012, 391, 6380. [Google Scholar] [CrossRef]
- Deppman, A. Properties of hadronic systems according to the nonextensive self-consistent thermodynamics. J. Phys. G Nucl. Part. Phys. 2014, 41, 055108. [Google Scholar] [CrossRef]
- Bíró, G.; Barnaföldi, G.G.; Biró, T.S. Tsallis-thermometer: A QGP indicator for large and small collisional systems. arXiv 2020, arXiv:2003.03278. [Google Scholar] [CrossRef]
- Deppman, A.; Megias, E.; Menezes, D.P.; Frederico, T. Fractal structure and non extensive statistics. Entropy 2018, 20, 633. [Google Scholar] [CrossRef] [PubMed]
- Kadam, G.P.; Mishra, H. Dissipative properties of hot and dense hadronic matter in an excluded-volume hadron resonance gas model. Phys. Rev. C 2015, 92, 035203. [Google Scholar] [CrossRef]
- Bugaev, K.A.; Oliinychenko, D.R.; Sorin, A.S.; Zinovjev, G.M. Simple solution to the strangeness horn description puzzle. Eur. Phys. J. A 2013, 49, 30. [Google Scholar] [CrossRef]
- Zyla, P.A.; Barnett, R.M.; Beringer, J.; Dahl, O.; Dwyer, D.A.; Groom, D.E.; Lin, C.-J.; Lugovsky, K.S.; Pianori, E.; Robinson, D.J.; et al. (Particle Data Group), Review of Particle Physics. Prog. Theor. Exp. Phys. 2020, 2020, 083C01. [Google Scholar]
- Cleymans, J.; Paradza, M.W. Tsallis statistics in high energy physics: Chemical and thermal freeze-outs. Physics 2020, 2, 38. [Google Scholar] [CrossRef]
- Kraus, I.; Cleymans, J.; Oeschler, H.; Redlich, K.; Wheaton, S. Chemical equilibrium in collisions of small systems. Phys. Rev. C 2007, 76, 064903. [Google Scholar] [CrossRef]
- Tawfik, N.A.; Abou-Salem, L.I.; Shalaby, A.G.; Hanafy, M.; Sorin, A.; Rogachevsky, O.; Scheinast, W. Particle production and chemical freezeout from the hybrid UrQMD approach at NICA energies. Eur. Phys. J. A 2016, 52, 324. [Google Scholar] [CrossRef]
- Braun-Munzinger, P.; Magestro, D.; Redlich, K.; Stachel, J. Hadron production in Au-Au collisions at RHIC. Phys. Lett. B 2001, 518, 41. [Google Scholar] [CrossRef]
- Cleymans, J.; Oeschler, H.; Redlich, K.; Wheaton, S. Comparison of chemical freeze-out criteria in heavy-ion collisions. Phys. Rev. C 2006, 73, 034905. [Google Scholar] [CrossRef]
- Khuntia, A.; Tiwari, S.K.; Sharma, P.; Sahoo, R.; Nayak, T.K. Effect of Hagedorn states on isothermal compressibility of hadronic matter formed in heavy-ion collisions: From NICA to LHC energies. Phys. Rev. C 2019, 100, 014910. [Google Scholar] [CrossRef]
- Khuntia, A.; Sharma, H.; Tiwari, S.K.; Sahoo, R.; Cleymans, J. Radial flow and differential freeze-out in proton-proton collisions at =7 TeV at the LHC. Eur. Phys. J. A 2019, 55, 3. [Google Scholar] [CrossRef]
- Sarkar, N.; Ghosh, P. Thermalization in a small hadron gas system and high-multiplicity pp events. Phys. Rev. C 2017, 96, 04490. [Google Scholar] [CrossRef]
- Fisher, D.J. Negative Thermal Expansion Materials; Materials Research Forum LLC: Millersville, PA, USA, 2018. [Google Scholar]
- ALICE Collaboration. Multiplicity dependence of light-flavor hadron production in pp collisions at = 7 TeV. Phys. Rev. C 2019, 99, 024906. [Google Scholar] [CrossRef]
- Sahu, D.; Tripathy, S.; Pradhan, G.S.; Sahoo, R. Role of event multiplicity on hadronic phase lifetime and QCD phase boundary in ultrarelativistic collisions at energies available at the BNL Relativistic Heavy Ion Collider and CERN Large Hadron Collider. Phys. Rev. C 2020, 101, 014902. [Google Scholar] [CrossRef]
- Kell, G.S. Density, thermal expansivity, and compressibility of liquid water from 0. deg. to 150. deg.. Correlations and tables for atmospheric pressure and saturation reviewed and expressed on 1968 temperature scale. J. Chem. Eng. Data 1975, 20, 97. [Google Scholar] [CrossRef]









Publisher’s Note: MDPI stays neutral with regard to jurisdictional claims in published maps and institutional affiliations. |
© 2021 by the authors. Licensee MDPI, Basel, Switzerland. This article is an open access article distributed under the terms and conditions of the Creative Commons Attribution (CC BY) license (https://creativecommons.org/licenses/by/4.0/).
Share and Cite
Sahu, D.; Sahoo, R. Characterizing Proton-Proton Collisions at the Large Hadron Collider with Thermal Properties. Physics 2021, 3, 207-219. https://doi.org/10.3390/physics3020016
Sahu D, Sahoo R. Characterizing Proton-Proton Collisions at the Large Hadron Collider with Thermal Properties. Physics. 2021; 3(2):207-219. https://doi.org/10.3390/physics3020016
Chicago/Turabian StyleSahu, Dushmanta, and Raghunath Sahoo. 2021. "Characterizing Proton-Proton Collisions at the Large Hadron Collider with Thermal Properties" Physics 3, no. 2: 207-219. https://doi.org/10.3390/physics3020016
APA StyleSahu, D., & Sahoo, R. (2021). Characterizing Proton-Proton Collisions at the Large Hadron Collider with Thermal Properties. Physics, 3(2), 207-219. https://doi.org/10.3390/physics3020016

