Furo[3,2-b]pyrrole-5-carboxylate as a Rich Source of Fused Heterocycles: Study of Synthesis, Reactions, Biological Activity and Applications
Abstract
1. Introduction
2. Synthesis of Furo[3,2-b]pyrrole-5-carboxylates
3. Properties of Furo[3,2-b]pyrrole-5-carboxylate
4. Reactions of Furo[3,2-b]pyrrole-5-carboxylates
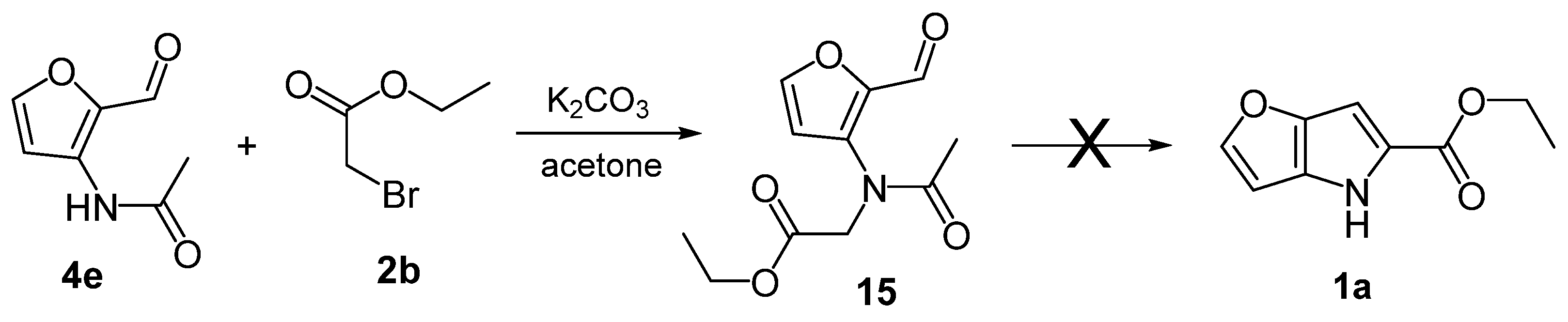
4.1. Alkylation and Related Reactions at N-4
4.2. Acylation and Subsequent Reactions
4.3. Mannich Reaction
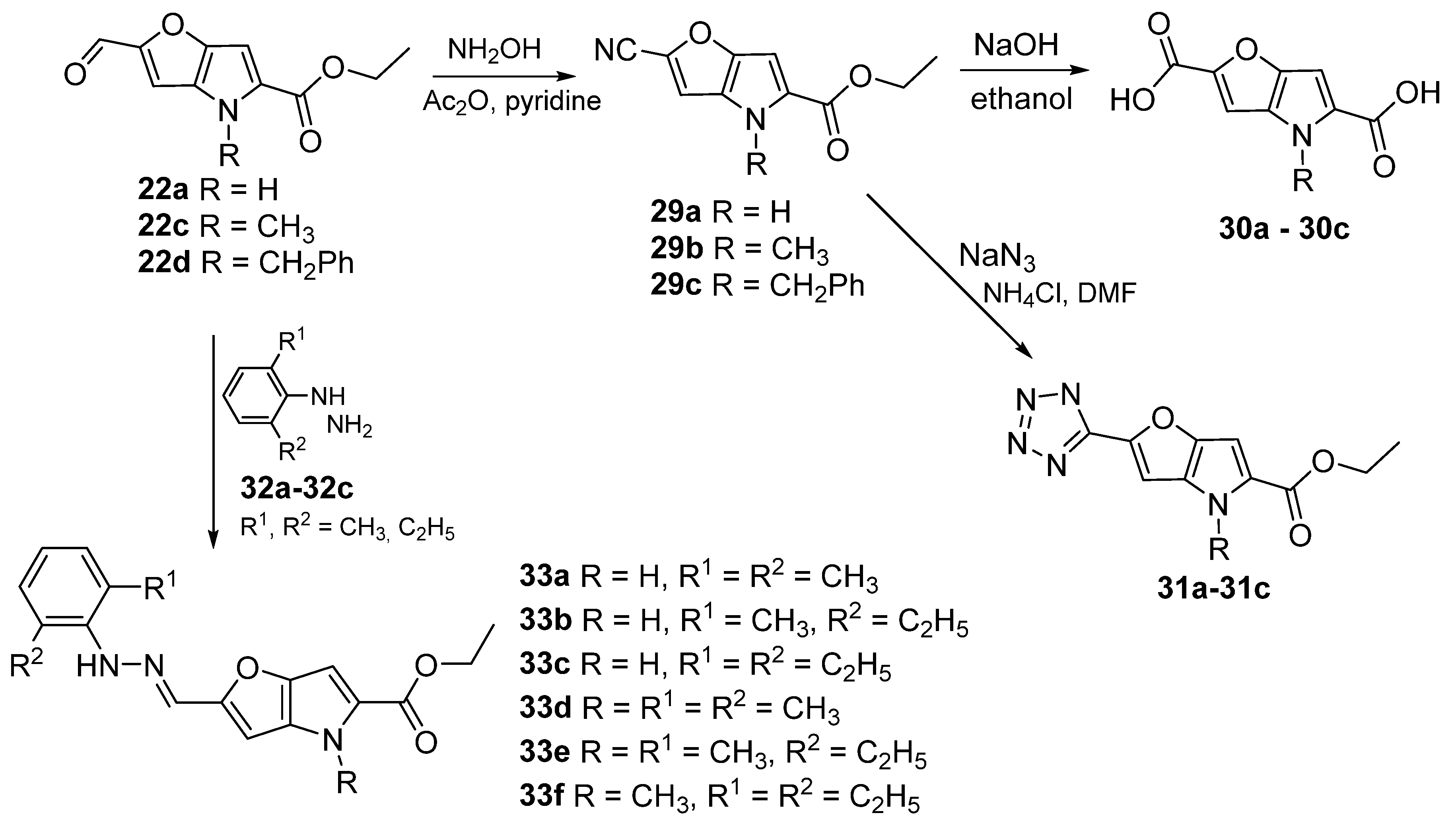
4.4. Formylation and Subsequent Reactions
4.5. Nitration and Subsequent Reactions
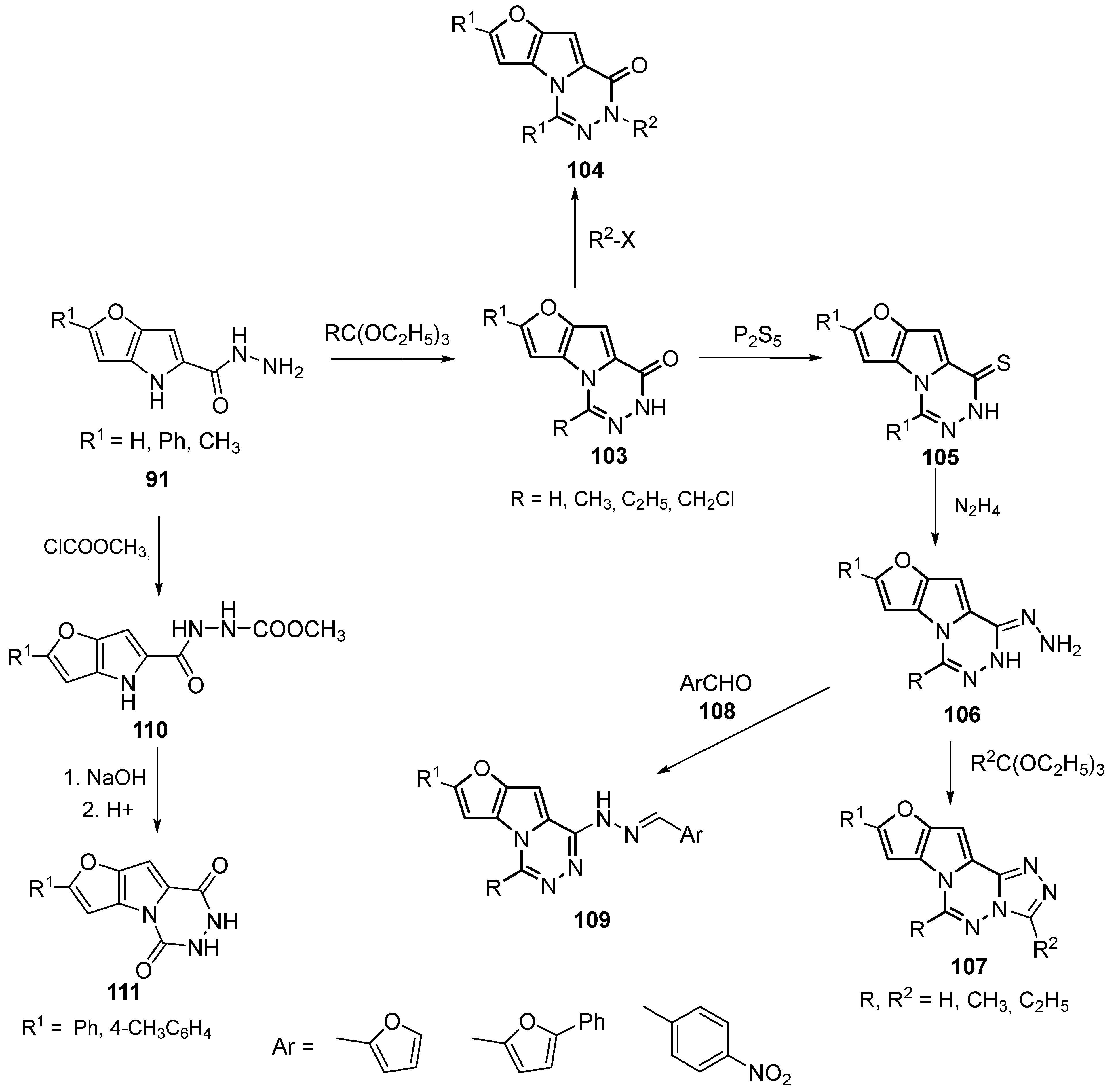
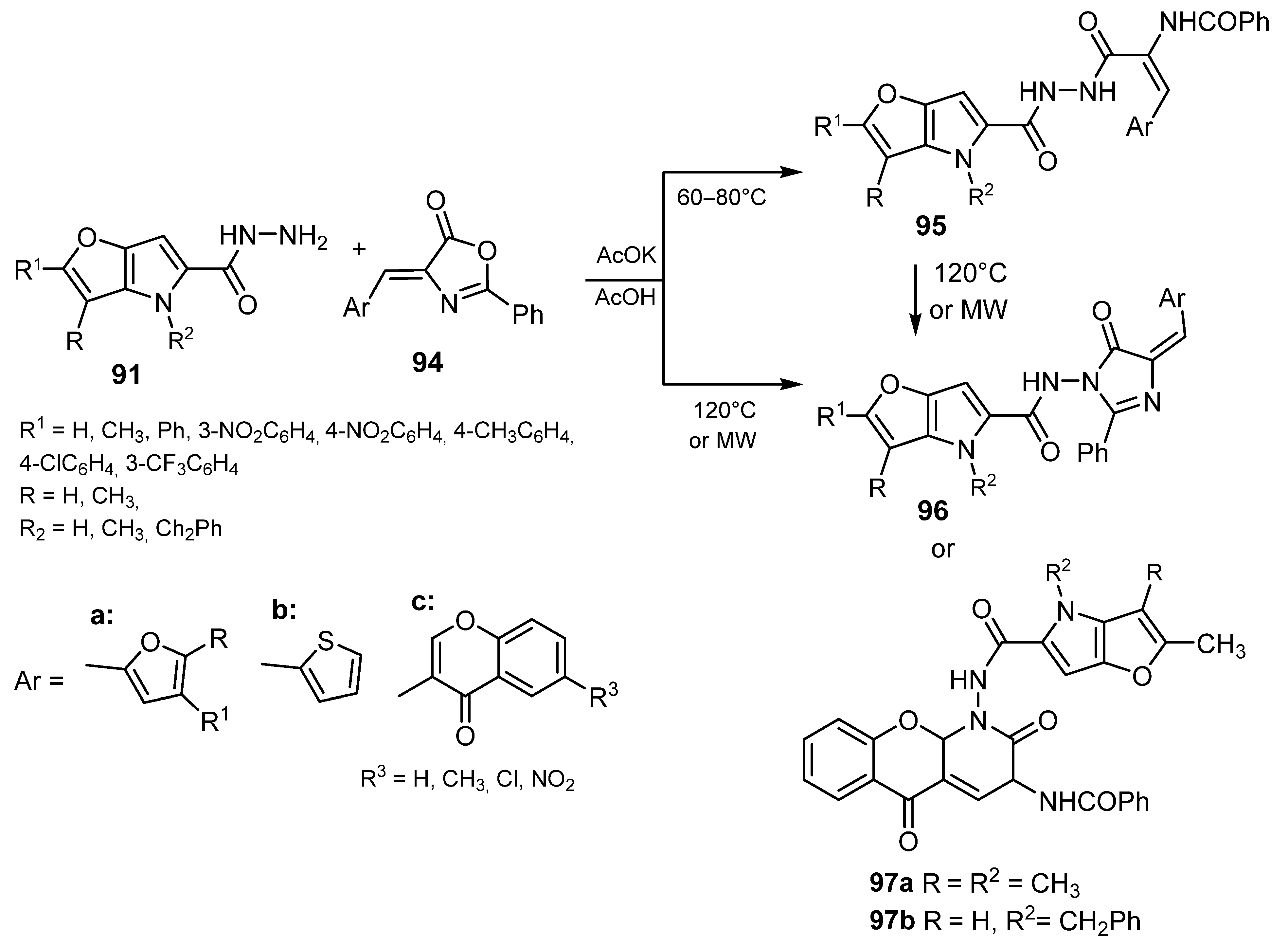
4.6. N-Amination and Subsequent Reactions
4.7. Halogenation and Subsequent Reactions
4.8. Reactions of C5 Ester Group
4.8.1. Reduction of Ester Group
4.8.2. Hydrazinolysis and Subsequent Reactions
4.8.3. Ester Hydrolysis and Subsequent Reactions of Acids
4.8.4. Synthesis of Acyl Chlorides, Esters, and Anhydrides
4.8.5. Synthesis of S-Acid and Thioester
4.8.6. Synthesis of Amides
4.8.7. Ugi Reaction
4.8.8. Decarboxylation of Acids and Subsequent Reactions at C5
- Azo-coupling reaction
- Formylation and acetylation at C5
- Enzymatic synthesis of 6-(4H-furo[3,2-b]pyrrolyl)-L-alanine
- Synthesis of BODIPY and related fluorescent dyes
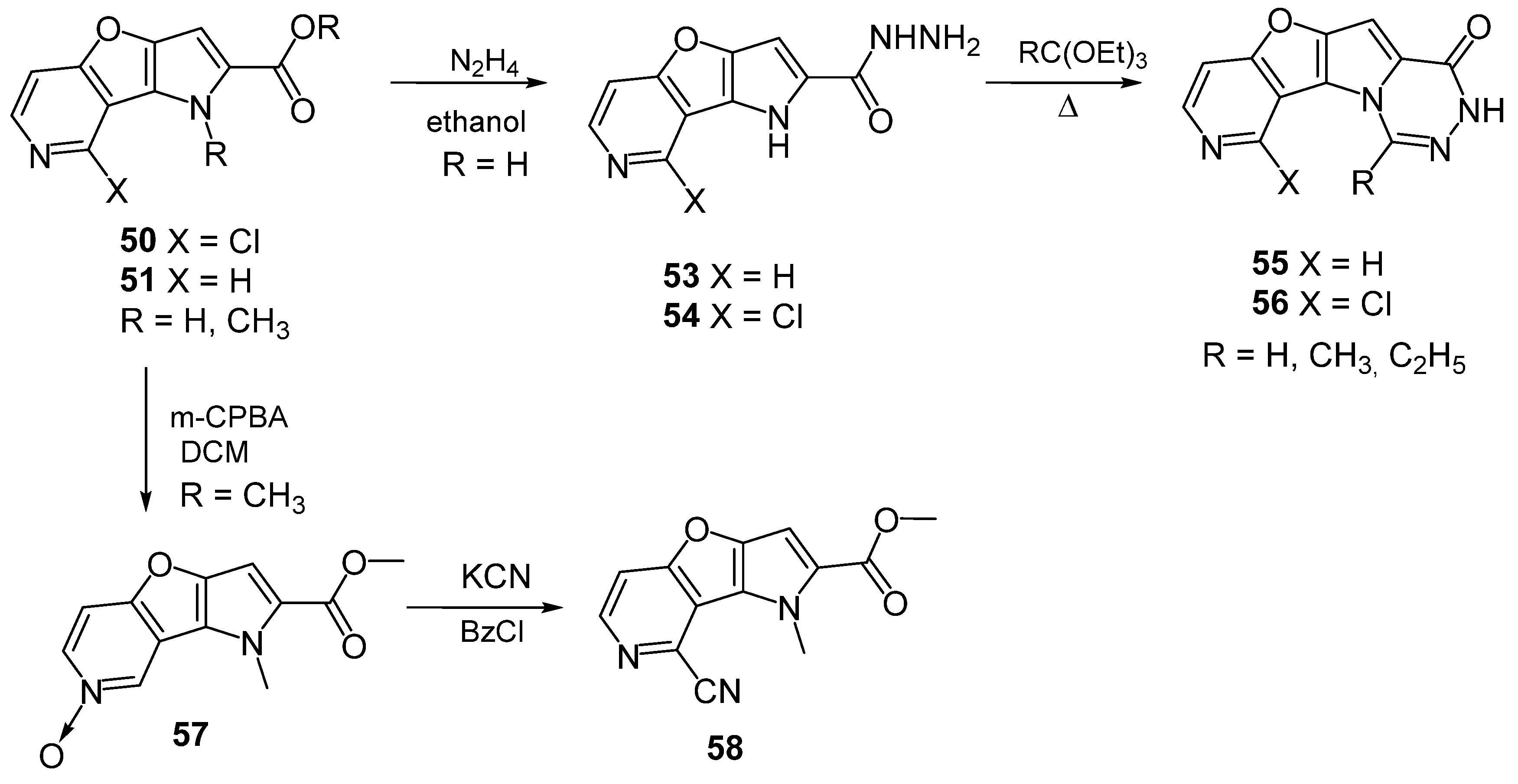
4.9. Cyclisations of FPc
4.10. Dimerisation of FPc
4.11. Reduction of FPc
4.12. Cycloadditions of FPcs and FPs
4.13. Borylation of FPc and Subsequent Arylation
4.14. Claisen-Type Condensation of FPc and Subsequent Reactions
5. Biological Activity of Furo[3,2-b]pyrrole Derivatives
5.1. Inhibitory Activity
5.2. Antiviral Activity and Cytotoxicity
5.3. Antiplasmodial Activity
5.4. Antibacterial Activity
6. Conclusions and Future Perspectives
Funding
Data Availability Statement
Conflicts of Interest
References
- Ramsden, C.A. Mesomeric betaine derivatives of heteropentalenes. Tetrahedron 1977, 33, 3193–3202. [Google Scholar] [CrossRef]
- Krutošíková, A. Bicyclic 5-5 Systems: Two heteroatoms. In Comprehensive Heterocyclic Chemistry II, 1st ed.; Katrizky, A.R., Reeds, C., Scriven, E.F.V., Eds.; Elsevier: Amsterdam, The Netherlands, 1996; Volume 7, pp. 1–47. [Google Scholar]
- Stecko, S.; Gryko, T.G. Multifunctional Heteropentalenes: From Synthesis to Optoelectronic applications. J. Am. Chem. Soc. 2022, 2, 1290–1305. [Google Scholar] [CrossRef] [PubMed]
- Tokárová, Z.; Gašparová, R.; Kabaňová, M.; Gašparová, M.; Balogh, R. Hemetsberger–Knittel and Ketcham Synthesis of Heteropentalenes with Two (1:1), Three (1:2)/(2:1) and Four (2:2) Heteroatoms. Reactions 2023, 4, 254–273. [Google Scholar] [CrossRef]
- Jones, C.; Boudinet, D.; Xia, Y.; Denti, M.; Das, A.; Facchetti, A.; Driver, T.G. Synthesis and Properties of Semiconducting Bispyrrolothiophenes for Organic Field-Effect Transistors. Chem. Eur. J. 2014, 20, 5938–5945. [Google Scholar] [CrossRef]
- Deng, H.; Hu, J.; Hu, H.; He, M.; Fang, Y. Thieno [3,2-b]thiophene-2-carboxylic acid derivatives as GPR35 agonists. Bioorg. Med. Chem. Lett. 2012, 22, 4148–4152. [Google Scholar] [CrossRef]
- Ching, K.-C.; Kam, Y.-W.; Merits, A.; Ng, L.F.P.; Chai, C.L.L. Trisubstituted thieno [3,2-b]pyrrole 5-carboxamides as potent inhibitors of alphaviruses. J. Med. Chem. 2015, 58, 9196–9213. [Google Scholar] [CrossRef]
- Umezawa, K.; Matsui, A.; Nakamura, Y.; Citterio, D.; Suzuki, K. Bright, color-tunable fluorescent dyes in the VIS/NIR region: Establishment of new „Tailor-Made” multicolor fluorophores based on borondipyrromethene. Chem. Eur. J. 2009, 15, 1096–1103. [Google Scholar] [CrossRef]
- Sparey, T.; Abeywickrema, P.; Almond, S.; Brandon, N.; Byrne, N.; Campbell, A.; Hutson, P.H.; Jacobson, M.; Jones, B.; Munshi, S.; et al. The discovery of fused pyrrole carboxylic acids as novel, potent d-amino acid oxidase (DAO) inhibitors. Bioorg. Med. Chem. Lett. 2008, 18, 3386–3391. [Google Scholar] [CrossRef]
- Gašparová, R.; Boháč, A.; Maliar, T.; Kraic, F.; Addová, G. Synthesis and antibacterial activity of furo [3,2-b]pyrrole derivatives. Arkivoc 2017, 204–215. [Google Scholar] [CrossRef]
- Féher, D.; Barlow, R.; McAtee, J.; Hemscheidt, T.K. Highly brominated antimicrobial metabolites from a Marine Pseudoalteromonas sp. J. Nat. Prod. 2010, 73, 1963–1966. [Google Scholar] [CrossRef]
- Kawashima, Y.; Amanuma, F.; Sato, M.; Okuyama, S.; Nakashima, Y.; Sota, K.; Moriguchi, I. Structure-Activity Studies of 4,6-Disubstituted 2-(Morpholinocarbonyl)furo [3,2-b]indole Derivatives with Analgesic and Antiinflammatory Activities. J. Med. Chem. 1986, 29, 2284–2290. [Google Scholar] [CrossRef] [PubMed]
- Zemanová, I.; Gašparová, R.; Kraic, F.; Kružlicová, D.; Maliar, T.; Boháč, A.; Addová, G. Synthesis of furo [2′,3′:4,5]pyrrolo [1,2-d][1,2,4]triazine derivatives and theirantibacterial activity. Arkivoc 2017, 184–193. [Google Scholar] [CrossRef]
- Unangst, P.C.; Carethers, M.E.; Webster, K.; Janik, G.M.; Robichaudt, L.J. Acidic Furo [3,2-b]indoles. A New Series of Potent Antiallergy Agents. J. Med. Chem. 1984, 27, 1629–1633. [Google Scholar] [CrossRef] [PubMed]
- Hemetsberger, H.; Knittel, D. Synthese und Thermolyse von α-Azidoacrylestern. Monatsh. Chem. 1972, 103, 194–204. [Google Scholar] [CrossRef]
- Milkiewicz, L.K.; Parks, J.D.; Lu, T. Synthesis of a novel series of tetrasubstituted furan [3,2-b]pyrrols. Tetrahedron Lett. 2003, 44, 4257–4260. [Google Scholar] [CrossRef]
- Bingul, M.; Kumar, N.; StCBlack, D. The Hemetsberger reaction: A new approach to the synthesis of novel dihydroindoloindole systems. Arkivoc 2020, 16–26. [Google Scholar] [CrossRef]
- Bingul, M.; Arndt, G.M.; Marshall, G.M.; Cheung, B.B.; Kumar, N.; StCBlack, D. Synthesis, characterization and biological evaluation of novel dihydropyranoindoles improving the anticancer effects of HDAC inhibitors. Molecules 2020, 25, 1377. [Google Scholar] [CrossRef]
- Roy, P.J.; Dufresne, C.; Lachance, N.; Leclerc, J.-P.; Boisvert, M.; Wang, Z.; Leblanc, Y. The Hemetsberger–Knittel Synthesis of Substituted 5-, 6-, and 7-Azaindoles Synthesis of Substituted 5-, 6-, and 7-Azaindoles. Synthesis 2005, 16, 2751–2757. [Google Scholar] [CrossRef]
- Ranasinghe, N.; Jones, G.B. Extending the versatility of the Hemetsberger–Knittel indole synthesis through microwave and flow chemistry. Bioorg. Med. Chem. Lett. 2013, 23, 1740–1742. [Google Scholar] [CrossRef]
- Shafiee, A.; Mazloumi, A.; Cohen, V.I. Selenium heterocycles. XXVIII. Synthesis of pyrrolo [3,2-d]selenazole and pyrrolo [3,2-d]thiazole. Two novel heterocycles. J. Heterocycl. Chem. 1979, 16, 1563–1566. [Google Scholar] [CrossRef]
- Athmani, S.; Farhat, M.F.; Iddon, B. Azoles. Part 9. Synthesis of derivatives of thieno [2,3-d]thiazole, 4H-pyrrolo-[2,3-d]thiazole, 2H-pyrazolo [3,4-d]thiazole and isoxazolo [3,4-d]thiazole from thiazolidine-2,4-dione. J. Chem. Soc. Perkin Trans. 1 1992, 973–977. [Google Scholar] [CrossRef]
- Eras, J.; Galvez, C.; Garcia, F. Reactivity of thienopyrroles. Synthesis of isomeric nitro and bromothienopyrroles. J. Heterocycl. Chem. 1984, 21, 215–217. [Google Scholar] [CrossRef]
- Welch, M.; Phillips, R.S. Improved Syntheses of [3,2-b]- and [2,3-b]-fused Selenolo- and Thienopyrroles, and of Furo [3,2-b]pyrrole. Heterocycl. Commun. 1999, 5, 305–310. [Google Scholar] [CrossRef]
- Jacobs, L.; Kock, C.; Taylor, D.; Pelly, S.C.; Blackie, M.A.L. Synthesis of five libraries of 6,5-fused heterocycles to establish the importance of the heterocyclic core for antiplasmodial activity. Bioorg. Med. Chem. 2018, 26, 5730–5741. [Google Scholar] [CrossRef]
- Roy, P.; Boisvert, M.; Leblanc, Y. Preparation of substituted 5-azaindoles: Methyl 4-chloro-1H-pyrrolo [3,2-c]pyridine-2-carboxylate. Org. Synth. 2007, 84, 262–271. [Google Scholar]
- Heaner, W.L., IV; Gelbaum, C.S.; Gelbaum, L.; Pollet, P.; Richman, K.W.; DuBay, W.; Butler, J.D.; Wells, G.; Liotta, C.L. Indoles via Knoevenagel–Hemetsberger reaction sequence. RSC Adv. 2013, 3, 13232–13242. [Google Scholar] [CrossRef]
- Gajdoš, P.; Miklovič, J.; Krutošíková, A. Reactions of 5-[3-(Trifluoromethyl)-phenyl]furan-2-carbaldehyde. Chem. Heterocycl. Compd. 2006, 42, 719–725. [Google Scholar] [CrossRef]
- Krutošíková, A.; Dandárová, M.; Chýlová, J.; Végh, D. Condensed O-, N-heterocycles by the transformation of azidoacrylates. Monatsh. Chem. 1992, 123, 807–815. [Google Scholar] [CrossRef]
- Stokes, B.J.; Dong, H.; Leslie, B.E.; Pumphrey, A.L.; Driver, T.G.J. Intramolecular C− H amination reactions: Exploitation of the Rh2 (II)-catalyzed decomposition of azidoacrylates. Am. Chem. Soc. 2007, 129, 7500–7501. [Google Scholar] [CrossRef]
- Das, S.K.; Das, S.; Ghosh, S.; Roy, S.; Pareek, M.; Roy, B.; Sunoj, R.B.; Chattopadhyay, B. An iron (II)-based metalloradical system for intramolecular amination of C (sp2)–H and C (sp3)–H bonds: Synthetic applications and mechanistic studies. Chem. Sci. 2022, 13, 11817–11828. [Google Scholar] [CrossRef]
- Baykal, A.; Plietker, B. A Bu4N[Fe(CO)3(NO)]-Catalyzed Hemetsberger–Knittel Indole Synthesis. Eur. J. Org. Chem. 2019, 2020, 1145–1147. [Google Scholar] [CrossRef]
- Zhao, H.; Koenig, S.G.; Dankwardt, J.W.; Singh, S.P. Practical Nonazide Synthesis of a d-Amino Acid Oxidase Inhibitor via a Sequential Erlenmeyer–Plöchl Reaction and Ligand-Free Copper(I) Amination Protocol. Org. Proc. Res. Develop. 2014, 18, 198–204. [Google Scholar] [CrossRef]
- Foucaud, A.; Razorilalana-Rabearivony, C.; Loukakou, E.; Person, H. [1 + 4] Cycloaddition of Isocyanides with 1-Aryl-2-nitro-1-propenes, Methyl 2-Nitro-3-arylpropenoates, and Methyl 2-Nitro-2,4-pentadienoates. Synthesis of 1-Hydroxyindoles and 1-Hydroxypyrroles. J. Org. Chem. 1983, 48, 3639–3644. [Google Scholar] [CrossRef]
- Lehnert, W. Knoevenagel-kondensationen mit titantetrachlorid/base—II. Tetrahedron 1972, 28, 663–666. [Google Scholar] [CrossRef]
- Soth, S.; Farnier, M.; Paulmier, C. Recherches en série hétérocyclique. XXIX. Sur des voies d’accès à des thiéno, sélénolo, furo et pyrrolopyrroles. Can. J. Chem. 1978, 56, 1429. [Google Scholar] [CrossRef]
- Alkorta, I.; Blanco, F.; Elguero, J. Heteropentalenes aromaticity. J. Mol. Struct. THEOCHEM 2008, 851, 75–83. [Google Scholar] [CrossRef]
- Cyrański, M.K.; Krygowski, T.M.; Krutošíková, A.; Sleziak, R. Aromaticity of dihetero analogues of pentalene dianion. X-Ray and ab initio studies of eight methyl furo [3,2-b]pyrrole-5-carboxylate derivatives and five methyl furo [2,3-b]pyrrole-5-carboxylate derivatives. Tetrahedron 2001, 57, 8867–8873. [Google Scholar] [CrossRef]
- Sivý, P.; Koreň, B.; Valach, F.; Krutošíková, A. Structure of a furo [3,2-b]pyrrole derivative. Acta Cryst. 1988, C44, 2032–2033. [Google Scholar] [CrossRef]
- Romanová, D.; Vachálková, A.; Horváthová, K.; Krutošíková, A. DC Polarographic and UV Spectrometric Studies of Substituted Furo [3,2-b]- and Furo [2,3-b]pyrroles. Collect. Czechoslov. Chem. Commun. 2001, 66, 1615–1622. [Google Scholar] [CrossRef]
- Gajdoš, P.; Pavlíková, S.; Bureš, F.; Krutošíková, A. 2-[3-(Trifluoromethyl)phenyl]furo [3,2-b]pyrroles: Synthesis and reactions. Cent. Eur. J. Chem. 2005, 3, 311–325. [Google Scholar] [CrossRef]
- Sartori, L.; Mercurio, C.; Amigoni, F.; Cappa, A.; Fagá, G.; Fattori, R.; Legnaghi, E.; Ciossani, G.; Mattevi, A.; Meroni, G.; et al. Thieno [3,2-b]pyrrole-5-carboxamides as New Reversible Inhibitors of Histone Lysine Demethylase KDM1A/LSD1. Part 1: High-Throughput Screening and Preliminary Exploration. J. Med. Chem. 2017, 60, 1673–1692. [Google Scholar] [CrossRef]
- Krutošíková, A.; Lácová, M.; Dandárová, M.; Chovancová, J. Effect of microwave irradiation on reaction of furo [3,2-b]pyrrole and furo [2,3-b]pyrrole-2-carbaldehydes with some active methylene compounds. Arkivoc 2000, 409–420. [Google Scholar] [CrossRef]
- Krutošíková, A.; Kováč, J.; Dandárová, M.; Leško, J.; Ferík, Š. Synthesis and reactions of substituted furo [3,2-b]pyrrole derivatives. Collect. Czechoslov. Chem. Commun. 1981, 46, 2564–2572. [Google Scholar] [CrossRef]
- Krutošíková, A.; Hanes, M. Substituted 4-Benzylfuro [3,2-b]pyrroles. Collect. Czechoslov. Chem. Commun. 1991, 57, 1487–1494. [Google Scholar] [CrossRef]
- Krutošíková, A.; Dandárová, M.; Alföldi, J. Substituted Vinyl Azides in the Synthesis of Condensed Nitrogen Heterocycles. Chem. Pap. 1994, 48, 268–273. [Google Scholar]
- Krutošíková, A.; Dandárová, M.; Bobošík, V. Derivatives of Furo [3,2-b]pyrrole. Collect. Czechoslov. Chem. Commun. 1994, 59, 473–481. [Google Scholar] [CrossRef]
- Krutošíková, A.; Kováč, J.; Dandárová, M.; Bobálová, M. Synthesis and reactions of substituted benzofuro [3,2-b]pyrrole derivatives. Collect. Czechoslov. Chem. Commun. 1982, 47, 3288–3296. [Google Scholar] [CrossRef]
- Bobošík, V.; Krutošíková, A. Synthesis of N-Phenylsulfonyl protected furo [3,2-b]pyrroles. Collect. Czechoslov. Chem. Commun. 1994, 59, 499–502. [Google Scholar] [CrossRef]
- Krutošíková, A.; Kryštofová-Labudová, L.; Dandárová, M. Synthesis and reactions of 4-oxiranylmethylfuro [3,2-b]pyrroles and their benzo derivatives. Chem. Heterocycl. Compd. 2001, 37, 1511–1517. [Google Scholar] [CrossRef]
- Ilyin, A.P.; Kobak, V.V.; Dmitrieva, I.G.; Peregudova, Y.N.; Kustova, V.A.; Mishunina, Y.S.; Tkachenko, S.E.; Ivachtchenko, A.V. Synthesis of annelated azaheterocycles containing a 5-carbamoylpyrazin-3-one fragment by a modification of the four-component Ugi reaction. Eur. J. Org. Chem. 2005, 21, 4670–4679. [Google Scholar] [CrossRef]
- Garzan, A.; Willby, M.J.; Green, K.D.; Tsodikov, O.V.; Posey, J.E.; Garneau-Tsodikova, S. Discovery and Optimization of Two Eis Inhibitor Families as Kanamycin Adjuvants against Drug-Resistant, M. tuberculosis. Med. Chem. Lett. 2016, 7, 1219–1221. [Google Scholar] [CrossRef]
- Bulumulla, C.; Gunawardhana, R.; Yoo, S.H.; Mills, C.R.; Kularatne, R.N.; Jackson, T.N.; Biewer, M.C.; Gomez, E.D.; Stefan, M.C. The effect of single atom replacement on organic thin film transistors: Case of thieno [3,2-b]pyrrole vs. furo [3,2-b]pyrrole. J. Mater. Chem. C 2018, 6, 10050–10058. [Google Scholar] [CrossRef]
- Hong, X.; Guo, J.; Liu, J.; Cao, W.; Wei, C.; Zhang, Y.; Zhang, X.; Fu, Z. Organocatalytic dynamic kinetic resolution of N-arylindole lactams: Atroposelective construction of axially chiral amino acids bearing a C–N chiral axis. Sci. China Chem. 2022, 65, 905–911. [Google Scholar] [CrossRef]
- Jo, S.; Kim, D. Preparation of Pyrazine Derivatives as PKMYT1 and/or CCNE1 Inhibitors. US20250092052 A1. 2025. Available online: https://worldwide.espacenet.com/patent/search/family/094976772/publication/US2025092052A1?q=US20250092052A1 (accessed on 27 November 2025).
- Janda, Ľ.; Votický, Z. Semisynthetic cephalosporines. I. An improved synthesis of 5-aryl-2-furancarboxylic acids. Chem. Pap. 1984, 38, 507–513. [Google Scholar]
- McClure, M.S.; Glover, B.; McSorley, E.; Millar, A.; Osterhout, M.H.; Roschangar, F. Regioselective Palladium-Catalyzed Arylation of 2-Furaldehyde. Org. Lett. 2001, 3, 1677–1680. [Google Scholar] [CrossRef]
- Heffernan, M.L.R.; Dorsey, J.M.; Fang, Q.K.; Foglesong, R.J.; Hopkins, S.C.; Jones, M.L.; Jones, S.W.; Ogbu, C.O.; Perales, J.B.; Soukri, M.; et al. Fused Heterocyclic Inhibitors of D-Amino Acid Oxidase. U.S. Patent US20080058395A1, 6 March 2008. [Google Scholar]
- Krutošíková, A.; Kováč, J.; Chudobová, M.; Ilavský, D. Reactions of ethyl 2-(4-chlorophenyl)-4H-furo [3,2-b]pyrrole-5-carboxylate. Collect. Czechoslov. Chem. Commun. 1980, 45, 2949–2957. [Google Scholar] [CrossRef]
- Krutošíková, A.; Kráľovičová, E.; Dandárová, M.; Kelemen, P. Reactions of furo [3,2-b]pyrroles and their benzo[b] analogues. Chem. Pap. 1988, 42, 89–95. [Google Scholar]
- Kráľovičová, E.; Krutošíková, A.; Kováč, J.; Dandárová, M. Electrophilic substitution reactions of furo [3,2-b]pyrrole derivatives. Collect. Czechoslov. Chem. Commun. 1986, 51, 106–111. [Google Scholar] [CrossRef]
- Krutošíková, A.; Dandárová, M.; Alföldi, J. Synthesis and Reactions of Furo [3,2-b]pyrrole Type Aldehydes. Collect. Czechoslov. Chem. Commun. 1993, 58, 2139–2149. [Google Scholar] [CrossRef]
- Sleziak, R.; Balážiová, S.; Krutošíková, A. Reactions of furo [2,3-b]pyrrole and Furo [3,2-b]pyrrole-Type Aldehydes. Collect. Czechoslov. Chem. Commun. 1999, 64, 1135–1146. [Google Scholar] [CrossRef]
- Krutošíková, A.; Dandárová, M. Reactions of Methyl 2-Formylfuro [3,2-b]pyrrole-5-carboxylates. Chem Pap. 1996, 50, 72–76. [Google Scholar]
- Puterová, Z.; Sterk, H.; Krutošíková, A. Reaction of Substituted Furan-2-carboxaldehydes and Furo[b]pyrrole Type Aldehydes with Hippuric Acid. Molecules 2004, 9, 11–21. [Google Scholar] [CrossRef] [PubMed]
- Puterová, Z.; Krutošíková, A.; Lyčka, A.; Ďurčeková, T. Reactions of substituted furan-2-carboxaldehydes and furo[b]pyrrole type aldehydes with benzothiazolium salts. Molecules 2004, 9, 241–255. [Google Scholar] [CrossRef] [PubMed]
- Bencková, M.; Krutošíková, A. Synthesis of pyrrolo [2′,3′:4,5]furo [3,2-c]pyridines. Monatshefte Chem. 1995, 126, 753–758. [Google Scholar] [CrossRef]
- Bencková, M.; Krutošíková, A.; Pullman, J.; Prónayová, N. Pyrrolo [2′,3′:4,5]furo [3,2-c]pyridine Derivatives Reactions in the Pyridine and Pyrrole Ring. Chem. Pap. 1999, 53, 118–122. [Google Scholar] [CrossRef]
- Kráľovičová, E.; Krutošíková, A.; Kováč, J. Preparation and reactions of thieno [3,2-b]furan derivatives. Collect. Czechoslov. Chem. Commun. 1986, 51, 1685–1691. [Google Scholar] [CrossRef]
- Dandia, A.; Indora, A.; Parewa, V.; Rathore, K.S. An Ultrasound-assisted Nanocatalysis: Ag NPs/rGO Nanocomposite Catalyzed One-pot Diastereoselective Synthesis of Functionalized Tetrahydropyridines. Indian J. Heterocycl. Chem. 2018, 28, 103–112. [Google Scholar]
- Glenn, W.R.; Lim, I.M. Keratin Dyeing Compounds, Keratin Dyeing Compositions Containing Them, and Use Thereof. U.S. Patent US2006/0042025A1, 2 March 2006. [Google Scholar]
- Heffernan, M.L.R.; Foglesong, R.J.; Hopkins, S.C.; Soukri, M.; Jones, S.W.; Spear, K.L.; Varney, M.A. Fluoro-Substituted Inhibitors of D-Amino Acid Oxidase. U.S. Patent US2008/0004327A1, 3 January 2008. [Google Scholar]
- Pinto, R.M.G.C.; Duvey, G.A.J.; Vanherck, J.-C.A.L.; Marchand, A.D.M.; Pericolle, V.H.D. Fused Pyrrolyl-Sulfonamide Compounds. WO2024115733A1. 2024. Available online: https://patentscope.wipo.int/search/en/detail.jsf?docId=WO2024115733 (accessed on 27 November 2025).
- Zhou, L.; Xu, D.; Gao, H.; Zhang, C.; Ni, F.; Zhao, W.; Cheng, D.; Liu, X.; Han, A. β-Furan-Fused bis(Difluoroboron)-1,2-bis((1H-pyrrol-2-yl)methylene)hydrazine Fluorescent Dyes in the Visible Deep-Red Region. J. Org. Chem. 2016, 81, 7439–7447. [Google Scholar] [CrossRef]
- Krutošíková, A.; Kováč, J.; Dandárová, M. Synthesis and reactions of furocondensed derivatives. Collect. Czechoslov. Chem. Commun. 1984, 49, 65–70. [Google Scholar] [CrossRef]
- Koreňová, A.; Krutošíková, A.; Kováč, J. Furan derivatives CCIV. Synthesis and reactions of 5-(2-nitrophenoxy)-2-furaldehyde. Chem. Pap. 1985, 39, 503–511. [Google Scholar]
- Gašparová, R.; Zbojek, D.; Lácová, M.; Kráľová, K.; Gatial, A.; Horváth, B.; Krutošíková, A. Reactions of substituted furo [3,2-b]pyrrole-5-carboxhydrazides and their biological activity. Cent. Eur. J. Chem. 2005, 3, 622–646. [Google Scholar]
- Gašparová, R.; Moncman, M.; Horváth, B. Microwave assisted reactions of 2-[3-(Trifluoromethyl)phenyl]-4-R1-furo [3,2-b]pyrrole-5-carboxhydrazides. Cent. Eur. J. Chem. 2008, 6, 180–187. [Google Scholar] [CrossRef]
- Gašparová, R.; Lácová, M.; Krutošíková, A. Reactions of substituted furo [3,2-b]pyrrole-5-carbohydrazides under classical and microwave conditions. Collect. Czechoslov. Chem. Commun. 2005, 70, 2101–2111. [Google Scholar] [CrossRef]
- Bobošík, V.; Krutošíková, A.; Dandárová, M. Synthesis of Substituted Furo [2′,3′:4,5]pyrrolo [1,2-d][1,2,4]triazolo [3,4-f][1,2,4]triazines. Collect. Czechoslov. Chem. Commun. 1995, 60, 709–714. [Google Scholar] [CrossRef]
- Krutošíková, A.; Mastik, S.; Dandárová, M.; Lyčka, A. Synthesis and Reactions of 8-Hydrazinofuro [2′,3′:4,5]pyrrolo-[1,2-d][1,2,4]triazines. Collect. Czechoslov. Chem. Commun 1997, 62, 1612–1622. [Google Scholar] [CrossRef]
- Krutošíková, A.; Dandárová, M. Synthesis of substituted Furo [2′,3′: 4,5]pyrrolo [1,2-d][1,2,4]triazolo [3,4-f][1,2,4]triazines. Chem. Pap. 1999, 53, 123–125. [Google Scholar]
- Sleziak, R.; Krutošíková, A. Synthesis of substituted benzo [4′,5′]furo [2′,3′:4,5]pyrrolo [1,2-d][1,2,4]triazolo [3,4-f][1,2,4]triazines. Chem. Pap. 1997, 51, 412–415. [Google Scholar] [CrossRef]
- Bencková, M.; Krutošíková, A.; Dandárová, M. Synthesis of 4-methoxyphenyl-substituted furo-fused derivatives. Chem. Pap. 1997, 51, 398–402. [Google Scholar]
- Krutošíková, A.; Kováč, J.; Kraľovičová, E. The synthesis and reactions of arylfurocondensed derivatives. Collect. Czechoslov. Chem. Commun. 1983, 48, 1878–1884. [Google Scholar] [CrossRef]
- Krutošíková, A.; Kováč, J.; Kraľovičová, E. 2-Arylfluoro [3,2-b]pyrroles. Collect. Czechoslov. Chem. Commun. 1983, 48, 772–777. [Google Scholar] [CrossRef]
- Hopkins, S.C.; Zhao, F.-Y.; Bowen, C.A.; Fang, X.; Weim, H.; Heffernan, M.L.R.; Spear, K.L.; Spanswick, D.C.; Varney, M.A.; Large, T.H. Pharmacodynamic Effects of a d-Amino Acid Oxidase Inhibitor Indicate a Spinal Site of Action in Rat Models of Neuropathic Pain. J. Pharmacol. Exp. Ther. 2013, 45, 502–511. [Google Scholar] [CrossRef] [PubMed]
- Krutošíková, A.; Kováč, J.; Dandárová, M.; Veverka, M. Reactions of ethyl 2-(nitrophenyl)-4H-furo [3,2-b]pyrrole-5-carboxylate. Collect. Czechoslov. Chem. Commun. 1979, 44, 1805–1809. [Google Scholar] [CrossRef]
- Tsai, G.E.; Wang, C.-C.; Hsieh, Y.-T. D-Amino Acid Oxidase Inhibitors and Therapeutic Uses Thereof. WO Patent WO 2019/076329 A1, 25 April 2019. [Google Scholar]
- Heffernan, M.L.R.; Dennis, R.; Dorsey, J.M.; Foglesong, R.J.; Jones, M.L.; Ogbu, C.O.; Soukri, M.; Spear, K.L.; Orsini, M.A. Prodrugs of Fused Heterocyclic Inhibitors of D-Amino Acid Oxidase. WO Patent WO 2011/017634 A2, 14 February 2011. [Google Scholar]
- Cheng, X.; Zeng, S.; Liu, S.; Ling, Y.; Yuan, L.; Zhou, D.; Sun, Y. Polymer Adhesive Curing Agent for Buildings and Preparation Method Thereof. CN120310492 A. 2025. Available online: https://worldwide.espacenet.com/patent/search/family/096336403/publication/CN120310492A?q=CN120310492A (accessed on 27 November 2025).
- Angeli, A.; Kartsev, V.; Petrou, A.; Pinteala, M.; Vydzhak, R.M.; Panchishin, S.Y.; Brovarets, V.; De Luca, V.; Capasso, C.; Geronikaki, A.; et al. New Sulfanilamide Derivatives Incorporating Heterocyclic Carboxamide Moieties as Carbonic Anhydrase Inhibitors. Pharmaceuticals 2021, 14, 828. [Google Scholar] [CrossRef] [PubMed]
- Katritzky, A.R.; Singh, S.K.; Bobrov, S. Novel Synthesis of Bicycles with Fused Pyrrole, Indole, Oxazole, and Imidazole Rings. J. Org. Chem. 2004, 69, 9313–9315. [Google Scholar] [CrossRef]
- Cox, B.; Duffy, J.; Zdorichenko, V.; Bellanger, C.; Hurcum, J.; Laleu, B.; Booker-Milburn, K.I.; Elliott, L.D.; Robertson-Ralph, M.; Swain, C.J.; et al. Escaping from Flatland: Antimalarial Activity of sp3-Rich Bridged Pyrrolidine Derivatives. ACS Med. Chem. Lett. 2020, 11, 2497–2503. [Google Scholar] [CrossRef]
- Waaler, J.; Leenders, R.G.G.; Sowa, S.T.; Brinch, S.A.; Lycke, M.; Nieczypor, P.; Aertssen, S.; Murthy, S.; Galera-Prat, A.; Damen, E.; et al. Preclinical Lead Optimization of a 1,2,4-Triazole Based Tankyrase Inhibitor. J. Med. Chem. 2020, 63, 6834–6846. [Google Scholar] [CrossRef]
- Mhetre, A.B.; Sreedhar, E.; Dubey, R.; Sable, G.A.; Lee, H.; Yang, H.; Lee, K.; Nam, D.-H.; Lim, D. Synthesis and biological evaluation of potent benzoselenophene and heteroaromatic analogues of (S)-1-(chloromethyl)-8-methoxy-2,3-dihydro-1H-benzo[e]indol-5-ol (seco-MCB). RSC Adv. 2019, 9, 29023–29036. [Google Scholar] [CrossRef]
- Ching, K.-C.; Tran, T.N.Q.; Amrun, S.N.; Kam, Y.-W.; Ng, L.F.P.; Chai, C.L.L. Structural Optimizations of Thieno [3,2-b]pyrrole Derivatives for the Development of Metabolically Stable Inhibitors of Chikungunya Virus. J. Med. Chem. 2017, 60, 3165–3186. [Google Scholar] [CrossRef]
- Durante, D.; Bott, R.; Cooper, L.; Owen, C.; Morsheimer, K.M.; Patten, J.J.; Zielinski, C.; Peet, N.P.; Davey, R.A.; Gaisina, I.N.; et al. N-Substituted Pyrrole-Based Heterocycles as Broad-Spectrum Filoviral Entry Inhibitors. J. Med. Chem. 2024, 67, 13737–13764. [Google Scholar] [CrossRef]
- Kraľovičová, E.; Krutošíková, A.; Kováč, J.; Dandárová, M. Reactions of 2-aryl-4H-furo [3,2-b]pyrrole derivatives. Collect. Czechoslov. Chem. Commun. 1986, 51, 1455–1461. [Google Scholar] [CrossRef]
- Webert, J.-M.; Cagniant, D.; Cagniant, P.; Kirsch, G.; Weber, J.-V. Réactivité d’analogues bihétérocycliques du phénanthrène, vis-à-vis des agents d’acétylation et de lithiation. J. Heterocycl. Chem. 1983, 20, 61–64. [Google Scholar] [CrossRef]
- Welch, M.; Phillips, R.S. Enzymatic Syntheses of 6-(4H-SelenoloI3,2-b]pyrrolyl)-L-Alanine, 4-(6H-Selenolo [2,3-b]pyrrolyl)-L-Alanine, And 6-(4H-Furo [3,2-b]pyrrolyl)-L-Alanine. Bioorg. Med. Chem. Lett. 1999, 9, 637–640. [Google Scholar] [CrossRef] [PubMed]
- Ooyama, Y.; Yagi, S. (Eds.) Progress in the Science of Functional Dyes, 1st ed.; Springer Nature: Singapore, 2021; pp. 3–597. [Google Scholar]
- Li, D.; Zhang, H.; Wang, Y. Four-coordinate organoboron compounds for organic light-emitting diodes (OLEDs). Chem. Soc. Rev. 2013, 42, 8416–8433. [Google Scholar] [CrossRef] [PubMed]
- Ni, Y.; Wu, J. Far-red and near infrared BODIPY dyes: Synthesis and applications for fluorescent pH probes and bio-imaging. Org. Biomol. Chem. 2014, 12, 3774–3791. [Google Scholar] [CrossRef]
- Umezawa, K.; Nakamura, Y.; Makino, H.; Citterio, D.; Suzuki, K.J. Bright, color-tunable fluorescent dyes in the visible− near-infrared region. Am. Chem. Soc. 2008, 130, 1550–1551. [Google Scholar] [CrossRef]
- Li, T.; Benduhn, J.; Qiao, Z.; Liu, Y.; Li, Y.; Shivhare, R.; Jaiser, F.; Wang, P.; Ma, J.; Zeika, O.; et al. The Effect of H- and J-Aggregation on the Photophysical and Voltage Loss of Boron Dipyrromethene Small Molecules in Vacuum-Deposited Organic Solar Cells. J. Phys. Chem. Lett. 2019, 10, 2684–2691. [Google Scholar] [CrossRef]
- Li, T.; Benduhn, J.; Li, Y.; Jaiser, F.; Spoltore, D.; Zeika, O.; Ma, Z.; Neher, D.; Vandewal, K.; Leo, K. Boron Dipyrromethene (BODIPY) with meso-perfluorinated Alkyl Substituents as Near Infrared Donors in Organic Solar Cells. J. Mater. Chem. A 2018, 6, 18583–18591. [Google Scholar] [CrossRef]
- Awuah, S.G.; Polreis, J.; Biradar, V.; You, Y. Singlet Oxygen Generation by Novel NIR BODIPY Dyes. Org. Lett. 2011, 13, 3884–3887. [Google Scholar] [CrossRef]
- Chen, J.; Burghart, A.; Derecskei-Kovacs, A.; Burgess, K. 4,4-Difluoro-4-bora-3a,4a-diaza-sindacene (BODIPY) dyes modified for extended conjugation and restricted bond rotations. J. Org. Chem. 2000, 65, 2900–2906. [Google Scholar] [CrossRef]
- Umezawa, K.; Citterio, D.; Suzuki, K. New trends in near-infrared fluorophores for bioimaging. Anal. Sci. 2014, 30, 327–349. [Google Scholar] [CrossRef]
- Matsui, A.; Umezawa, K.; Shindo, Y.; Fujii, T.; Citterio, D.; Oka, K.; Suzuki, K. A near-infrared fluorescent calcium probe: A new tool for intracellular multicolour Ca2+ imaging. Chem. Commun. 2011, 47, 10407. [Google Scholar] [CrossRef]
- Wang, Y.; Kasahara, J.; Yamagata, K.; Nakamura, H.; Murayama, T.; Suzuki, N.; Nishida, A. Development of a new doubly-labeled fluorescent ceramide probe for monitoring the metabolism of sphingolipids in living cells. Bioorg. Med. Chem. Lett. 2018, 28, 3222–3226. [Google Scholar] [CrossRef] [PubMed]
- Gross, G.; Wentrup, C. Direct Observation of 1-Azafulven-6-one and Annelated Derivatives. J. Chem. Soc. Chem. Commun. 1982, 360–361. [Google Scholar] [CrossRef]
- Smrcina, M.; Li, R.; Nair, A.; August, P.; Bjergarde, K.; Ludington, J. PIKFYVE Kinase Inhibitors. WO Patent WO 2021/163727 A1, 25 September 2021. [Google Scholar]
- Venkateshappa, C.; Bera, K.; Samadjar, S.; Törmäkangas, O.; Turku, A. CBL-b Inhibitors. WO Patent WO 2024/156938 A1, 15 July 2024. [Google Scholar]
- Ichida, J.K.; Stremlau, M.; Zhou, H. Treatment of Viral Infections with Combination of PIKfyve Kinase Inhibitors and TMPRSS-2 Inhibitors. U.S. Patent US2021/0338683 A1, 25 November 2021. [Google Scholar]
- Krutošíková, A.; Dandárová, M.; Alföldi, J.; Kováč, J. Addition and cycloaddition reactions of furo [3,2-b]pyrroles and their benzo[b] analogues: An NMR study of structure of products. Collect. Czechoslov. Chem. Commun. 1988, 53, 1770–1778. [Google Scholar] [CrossRef]
- Koreňová, A.; Krutošíková, A.; Dandárová, M.; Kováč, J. Preparation of 2-substituted furo [3,2-b]pyrroles and their reactions with dimethyl butynedioate. Chem. Pap. 1989, 43, 457–464. [Google Scholar]
- Buhrlage, S.; Maisonet, I.J.; Sharafi, M. Preparation of Substituted Furopyrrolopyrazinecarboxamides and Thienopyrrolopyrazinecarboxamides as USP7 Activators. WO2025154015 A1. 2025. Available online: https://patentscope.wipo.int/search/en/WO2025154015 (accessed on 27 November 2025).

































































| Entry | Reagents | R2-X | Conditions | Ref. |
|---|---|---|---|---|
| 1 | NaH/DMF | CH3I CH3OCH2Cl CH3OCOCH2Cl | r.t., 15 min–1 h | [10,41,42,43] |
| 2 | NaH/NaI | RCH2Br or RCH2Cl (R = Ph, 4-NO2Ph, furan-2-yl, 2-pyridyl, 3-pyridyl, CH2NEt2, tetrahydropyran-2-yl, morpholin-1-yl, pyrrolidin-1-yl) | 60 °C, 16 h | [16] |
| 3 | triethylbenzylammonium chloride/NaOH/benzene | CH3CH2Br | 65 °C, 4 h | [44] |
| 4 | triethylbenzylammonium bromide/Na2CO3/benzene | 2-NO2-C6H4CH2Br | 60 °C, 7 h | [45] |
| 5 | triethylbenzylammonium chloride/NaOH/toluene | CH3I, PhCH2Br | 65 °C, 4 h | [46,47,48] |
| 6 | tetrabutylammonium bromide/NaOH/toluene | PhSO2Cl | r.t., 1 h | [49] |
| 7 | trimethylbenzylammonium hydroxide/EtOH | chloromethyloxirane | reflux, 6 h | [50] |
| 8 | trimethylbenzylammonium hydroxide/pyridine/EtOH | acrylonitrile | reflux, 20 min | [44] |
| 9 | triethylbenzylammonium hydroxide/pyridine | acrylonitrile | reflux, 20 min | [48] |
| 10 | K2CO3/[18]crown-6/1,4-dioxane | CH3COCH2Cl R-C6H4COCH2Br (R = H, 2-F, 3-F, 4-F, 3-Cl, 4-Cl, 4-Br, 3-CH3) 2-naphtyl-CH2Br | reflux, 5–7 h | [51,52] |
| 11 | K2CO3/DMF | R1COCH2Br (R1 = Et, tert-Bu) R-C6H4COCH2Br (R = 3-Br, 3-OCH3) | r.t., overnight, | [52] |
| 12 | K2CO3/[18]crown-6/DMF | C12H25Br | reflux, 24 h | [53] |
| 13 | CsCO3/DMF | 2-NO2-6-CH3-1-F-C6H3 | 150 °C, 2 h | [54] |
| 14 | NaH/THF | (CH3)3Si(CH2)2OCH2Cl | 0 °C, 30 min, 12 h, r.t. | [55] |
Disclaimer/Publisher’s Note: The statements, opinions and data contained in all publications are solely those of the individual author(s) and contributor(s) and not of MDPI and/or the editor(s). MDPI and/or the editor(s) disclaim responsibility for any injury to people or property resulting from any ideas, methods, instructions or products referred to in the content. |
© 2025 by the author. Licensee MDPI, Basel, Switzerland. This article is an open access article distributed under the terms and conditions of the Creative Commons Attribution (CC BY) license (https://creativecommons.org/licenses/by/4.0/).
Share and Cite
Gašparová, R. Furo[3,2-b]pyrrole-5-carboxylate as a Rich Source of Fused Heterocycles: Study of Synthesis, Reactions, Biological Activity and Applications. Reactions 2025, 6, 67. https://doi.org/10.3390/reactions6040067
Gašparová R. Furo[3,2-b]pyrrole-5-carboxylate as a Rich Source of Fused Heterocycles: Study of Synthesis, Reactions, Biological Activity and Applications. Reactions. 2025; 6(4):67. https://doi.org/10.3390/reactions6040067
Chicago/Turabian StyleGašparová, Renata. 2025. "Furo[3,2-b]pyrrole-5-carboxylate as a Rich Source of Fused Heterocycles: Study of Synthesis, Reactions, Biological Activity and Applications" Reactions 6, no. 4: 67. https://doi.org/10.3390/reactions6040067
APA StyleGašparová, R. (2025). Furo[3,2-b]pyrrole-5-carboxylate as a Rich Source of Fused Heterocycles: Study of Synthesis, Reactions, Biological Activity and Applications. Reactions, 6(4), 67. https://doi.org/10.3390/reactions6040067

