Electrolysis of Liquefied Biomass for Sustainable Hydrogen and Organic Compound Production: A Biorefinery Approach
Abstract
1. Introduction
2. Materials and Methods
2.1. Electrolyte Preparation and Characterization
2.2. Electrochemical Measurements
2.3. Electrolysis Tests
3. Results and Discussion
3.1. Electrolyte Characterization
3.2. Electrochemical Studies
3.2.1. Cyclic Voltammetry



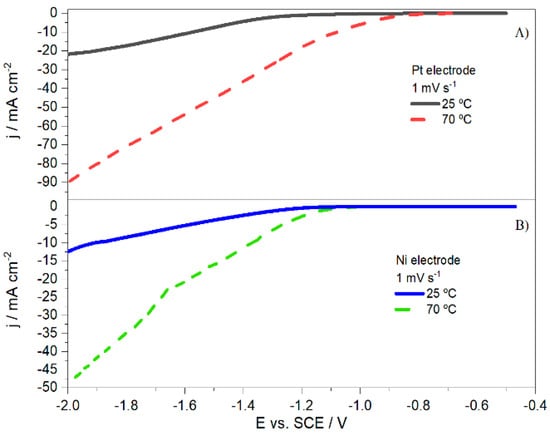
3.2.2. Hydrogen Evolution Reaction Study
3.3. Electrolysis Studies
3.3.1. Direct Current Electrolysis
3.3.2. Alternating Current Electrolysis
3.4. Electrolysis Using Waters from the Liquefaction Process
4. Conclusions
Author Contributions
Funding
Data Availability Statement
Conflicts of Interest
References
- Mckendry, P. Energy production from biomass (part 1): Overview of biomass. Bioresour. Technol. 2002, 83, 37–46. [Google Scholar] [CrossRef]
- Brandt, A.; Gräsvik, J.; Hallett, J.P.; Welton, T. Deconstruction of lignocellulosic biomass with ionic liquids. Green Chem. 2013, 15, 550–583. [Google Scholar] [CrossRef]
- Nabgan, W.; Tuan Abdullah, T.A.; Mat, R.; Nabgan, B.; Gambo, Y.; Ibrahim, M.; Ahmad, A.; Jalil, A.; Triwahyono, S.; Saeh, I. Renewable hydrogen production from bio-oil derivative via catalytic steam reforming: An overview. Renew. Sustain. Energy Rev. 2017, 79, 347–357. [Google Scholar] [CrossRef]
- Carvalho, R. Cork Liquefaction: Improvement of the Process and Its Application on Adhesives Formulation. Master’s Thesis, Universidade de Lisboa, Lisbon, Portugal, 2015. [Google Scholar]
- Akhtar, J.; Amin, N.A.S. A review on process conditions for optimum bio-oil yield in hydrothermal liquefaction of biomass. Renew. Sustain. Energy Rev. 2011, 15, 1615–1624. [Google Scholar] [CrossRef]
- Kim, J.Y.; Lee, H.W.; Lee, S.M.; Jae, J.; Park, Y. Overview of the recent advances in lignocellulose liquefaction for producing biofuels, bio-based materials and chemicals. Bioresour. Technol. 2019, 279, 373–384. [Google Scholar] [CrossRef] [PubMed]
- Zhang, X.; Chan, S.H.; Ho, H.K.; Tan, S.; Li, M.; Li, G.; Li, J.; Feng, Z. Towards a smart energy network: The roles of fuel/electrolysis cells and technological perspectives. Int. J. Hydrogen Energy 2015, 40, 6866–6919. [Google Scholar] [CrossRef]
- Chi, J.; Yu, H. Water electrolysis based on renewable energy for hydrogen production. Cuihua Xuebao/Chin. J. Catal. 2018, 39, 390–394. [Google Scholar] [CrossRef]
- Arcos, J.M.M.; Santos, D.M.F. The hydrogen color spectrum: Techno-economic analysis of the available technologies for hydrogen production. Gases 2023, 3, 25–46. [Google Scholar] [CrossRef]
- Zhang, Y.; Guo, S.X.; Zhang, X.; Bond, A.; Zhang, J. Mechanistic understanding of the electrocatalytic CO2 reduction reaction—New developments based on advanced instrumental techniques. Nano Today 2020, 31, 100835. [Google Scholar] [CrossRef]
- Liang, S.; Altaf, N.; Huang, L.; Gao, Y.; Wang, Q. Electrolytic cell design for electrochemical CO2 reduction. J. CO2 Util. 2020, 35, 90–105. [Google Scholar] [CrossRef]
- Ferreira, A.P.R.A.; Oliveira, R.C.P.; Mateus, M.M.; Santos, D.M.F. A review of the use of electrolytic cells for energy and environmental applications. Energies 2023, 16, 1593. [Google Scholar] [CrossRef]
- Khan, M.A.; Al-Attas, T.; Roy, S.; Rahman, M.M.; Ghaffour, N.; Thangadurai, V.; Larter, S.; Hu, J.; Ajayan, P.M.; Kibria, M.G. Seawater electrolysis for hydrogen production: A solution looking for a problem? Energy Environ. Sci. 2021, 14, 4831–4839. [Google Scholar] [CrossRef]
- Yu, Z.; Li, Y.; Martin-Diaconescu, V.; Simonelli, L.; Ruiz Esquius, J.; Amorim, I.; Araujo, A.; Meng, L.; Faria, J.L.; Liu, L. Highly efficient and stable saline water electrolysis enabled by self-supported nickel-iron phosphosulfide nanotubes with heterointerfaces and under-coordinated metal active sites. Adv. Funct. Mater. 2022, 32, 2206138. [Google Scholar] [CrossRef]
- Yu, Z.; Liu, L. Recent advances in hybrid seawater electrolysis for hydrogen production. Adv. Mater. 2024, 36, 2308647. [Google Scholar] [CrossRef]
- Dolle, C.; Neha, N.; Coutanceau, C. Electrochemical hydrogen production from biomass. Curr. Opin. Electrochem. 2022, 31, 100841. [Google Scholar] [CrossRef]
- Umer, M.; Brandoni, C.; Jaffar, M.; Hewitt, N.J.; Dunlop, P.; Zhang, K.; Huang, Y. An experimental investigation of hydrogen production through biomass electrolysis. Processes 2024, 12, 112. [Google Scholar] [CrossRef]
- Guerra, L.; Moura, K.; Rodrigues, J.; Gomes, J.; Puna, J.; Bordado, J.; Santos, T. Synthesis gas production from water electrolysis, using the Electrocracking concept. J. Environ. Chem. Eng. 2018, 6, 604–609. [Google Scholar] [CrossRef]
- Nunes, A.M.; Bordado, J.C.M.; Neiva Correia, J.; Mateus, M.M.; Oliveira, F.M.; Galhano, R.M. Catalytic and Continuous Thermochemical Process of Production of Valuable Derivatives from Organic Materials and/or Waste. WO2021245440, 2 June 2020. Available online: https://patentscope2.wipo.int/search/pt/detail.jsf?docId=WO2021245440&_cid=JP1-M4N672-18620-1 (accessed on 13 January 2025).
- Silva, T.; Condeço, J.; Santos, D.M.F. Preliminary studies on the electrochemical conversion of liquefied forest biomass. Reactions 2022, 3, 553–575. [Google Scholar] [CrossRef]
- Pacheco, W.F.; Semaan, F.S.; Almeida, V.G.K.; Ritta, A.; Aucélio, R. Voltammetry: A brief review about concepts. Rev. Virtual Quim. 2013, 5, 516–537. [Google Scholar] [CrossRef]
- Elgrishi, N.; Rountree, K.J.; McCarthy, B.D.; Rountree, E.; Dempsey, J. A Practical Beginner’s Guide to Cyclic Voltammetry. J. Chem. Educ. 2018, 95, 197–206. [Google Scholar] [CrossRef]
- Espinoza, E.M.; Clark, J.A.; Soliman, J.; Derr, J.M.; Vullev, V. Practical Aspects of Cyclic Voltammetry: How to Estimate Reduction Potentials When Irreversibility Prevails. J. Electrochem. Soc. 2019, 166, H3175–H3187. [Google Scholar] [CrossRef]
- Li, D.; Lin, C.; Batchelor-McAuley, C.; Lifu, C.; Richard, C. Tafel analysis in practice. J. Electroanal. Chem. 2008, 826, 117–124. [Google Scholar] [CrossRef]
- Santos, D.M.F.; Sequeira, C.A.C. Cyclic voltammetry investigation of borohydride oxidation at a gold electrode. Electrochim. Acta 2010, 55, 6775–6781. [Google Scholar] [CrossRef]
- Cardoso, D.S.P.; Santos, D.M.F.; Šljukić, B.; Sequeira, C.; Macciò, D.; Saccone, A. Platinum-rare earth cathodes for direct borohydride-peroxide fuel cells. J. Power Sources 2016, 307, 251–258. [Google Scholar] [CrossRef]
- Silva, T. Electrochemical Conversion of Liquefied Forest Biomass. Master’s Thesis, Instituto Superior Técnico, Lisbon, Portugal, 2018. [Google Scholar]
- Bard, A.J.; Faulkner, L.R. Electrochemical Methods, 2nd ed.; John Wiley & Sons, Inc.: Hoboken, NJ, USA, 2001. [Google Scholar]
- Ghatak, H.R.; Kumar, S.; Kundu, P.P. Electrode processes in black liquor electrolysis and their significance for hydrogen production. Int. J. Hydrogen Energy 2008, 33, 2904–2911. [Google Scholar] [CrossRef]
- Shinagawa, T.; Garcia-Esparza, A.T.; Takanabe, K. Insight on Tafel slopes from a microkinetic analysis of aqueous electrocatalysis for energy conversion. Sci. Rep. 2015, 5, 13801. [Google Scholar] [CrossRef] [PubMed]
- Caravaca, A.; Garcia-Lorefice, W.E.; Gil, S.; Lucas-Consuegra, A.; Vernoux, P. Towards a sustainable technology for H2 production: Direct lignin electrolysis in a continuous-flow polymer electrolyte membrane reactor. Electrochem. Commun. 2019, 100, 43–47. [Google Scholar] [CrossRef]
- U.S. Department of Energy. Technical Targets for Liquid Alkaline Electrolysis. Available online: https://www.energy.gov/eere/fuelcells/technical-targets-liquid-alkaline-electrolysis (accessed on 14 January 2025).
- Vincent, I.; Choi, B.; Nakoji, M.; Ishizuka, M.; Tsutsumi, K.; Tsutsumi, A. Pulsed current water splitting electrochemical cycle for hydrogen production. Int. J. Hydrogen Energy 2018, 43, 10240–10248. [Google Scholar] [CrossRef]
- Liu, T.; Wang, J.; Yang, X.; Gong, M. A review of pulse electrolysis for efficient energy conversion and chemical production. J. Energy Chem. 2021, 59, 69–82. [Google Scholar] [CrossRef]
- Cheng, H.; Xia, Y.; Hu, Z.; Wei, W. Optimum pulse electrolysis for efficiency enhancement of hydrogen production by alkaline water electrolyzers. Appl. Energy 2024, 358, 122510. [Google Scholar] [CrossRef]














| , mS cm−1 | pH | , g dm−3 | Humidity, % | |
|---|---|---|---|---|
| Emulsion | 115 | 13.8 | 1123 | 78 |
| Condensed water | 8.73 × 10−3 | 2.51 | − | − |
| Light-colored phase | 0.01 × 10−3 | 1.53 | − | − |
| Dark phase | 11.2 | 2.09 | − | − |
| Temperature (°C) | Kinetic Parameters | Peak a1 | Peak a2 | Peak c1 |
|---|---|---|---|---|
| RT (17 °C) | α | 0.61 | 0.63 | 0.96 |
| n | 3.1 | 4.7 | 2.0 | |
| 65 °C | α | 0.57 | − | 0.93 |
| n | 4.6 | − | 1.0 |
| 25 °C | 70 °C | ||
|---|---|---|---|
| Pt | b (mV dec−1) | 284 | 319 |
| α | 0.21 | 0.21 | |
| j0 (mA cm−2) | 6.59 × 10−2 | 1.58 | |
| Ni | b (mV dec−1) | 180 | 515 |
| α | 0.33 | 0.11 | |
| j0 (mA cm−2) | 6.30 × 10−2 | 3.14 |
| Test | Theoretical H2/mL | Produced Gas/mL | /% | /% |
|---|---|---|---|---|
| DC | 127 | 55 | 43 | 39 |
| Pulsed | 343 | 102 | 30 | 11 |
Disclaimer/Publisher’s Note: The statements, opinions and data contained in all publications are solely those of the individual author(s) and contributor(s) and not of MDPI and/or the editor(s). MDPI and/or the editor(s) disclaim responsibility for any injury to people or property resulting from any ideas, methods, instructions or products referred to in the content. |
© 2025 by the authors. Licensee MDPI, Basel, Switzerland. This article is an open access article distributed under the terms and conditions of the Creative Commons Attribution (CC BY) license (https://creativecommons.org/licenses/by/4.0/).
Share and Cite
Ferreira, A.P.R.A.; Mateus, M.M.; Santos, D.M.F. Electrolysis of Liquefied Biomass for Sustainable Hydrogen and Organic Compound Production: A Biorefinery Approach. Reactions 2025, 6, 10. https://doi.org/10.3390/reactions6010010
Ferreira APRA, Mateus MM, Santos DMF. Electrolysis of Liquefied Biomass for Sustainable Hydrogen and Organic Compound Production: A Biorefinery Approach. Reactions. 2025; 6(1):10. https://doi.org/10.3390/reactions6010010
Chicago/Turabian StyleFerreira, Ana P. R. A., M. Margarida Mateus, and Diogo M. F. Santos. 2025. "Electrolysis of Liquefied Biomass for Sustainable Hydrogen and Organic Compound Production: A Biorefinery Approach" Reactions 6, no. 1: 10. https://doi.org/10.3390/reactions6010010
APA StyleFerreira, A. P. R. A., Mateus, M. M., & Santos, D. M. F. (2025). Electrolysis of Liquefied Biomass for Sustainable Hydrogen and Organic Compound Production: A Biorefinery Approach. Reactions, 6(1), 10. https://doi.org/10.3390/reactions6010010

