Jasmine Flower Color Degradation User-Coded Computer Vision Image Analysis Tool and Kinetics Modeling
Abstract
1. Introduction
2. Materials and Methods
2.1. Overall Workflow of the Study Analysis
2.2. Sample Collection and Experimental Setup
2.3. Image Acquisition of Jasmine Flowers and Subsample Image Creation
2.4. Plugin Development for Jasmine Flower Components, Color Patch, and Dimensional Characteristics
2.4.1. Petal and Pedicle Segmentation
2.4.2. Binary Image Creation
2.4.3. Particle Analysis and Dimensional Characteristics
2.4.4. Petal and Pedicle Separation from Jasmine Images
2.4.5. Color Analysis and Lab Value Generation
2.4.6. Color Patch Visualization with Labels
2.5. Color Degradation Kinetics Modeling
2.5.1. Common Kinetics Models for Color Degradation and Their Characteristics
2.5.2. Color Vegetation Index Calculation
2.5.3. Color Kinetics Modeling, Data Analysis, and Visualization Using R Program
3. Results and Discussion
3.1. Image Acquisition and Preprocessing
3.2. Automatic Petals and Pedicles Segmentation
3.3. Dimensions of Jasmine Flowers
3.4. Color Degradation Analysis
3.5. Kinetic Modeling of Jasmine Flower Components and Model Performance
3.5.1. Model Selection and Performance Evaluation
3.5.2. Developed Petal Models and Their Performance
3.5.3. Developed Pedicle Models and Their Performance
3.5.4. Overall Model Recommendations for Jasmine Flower Components
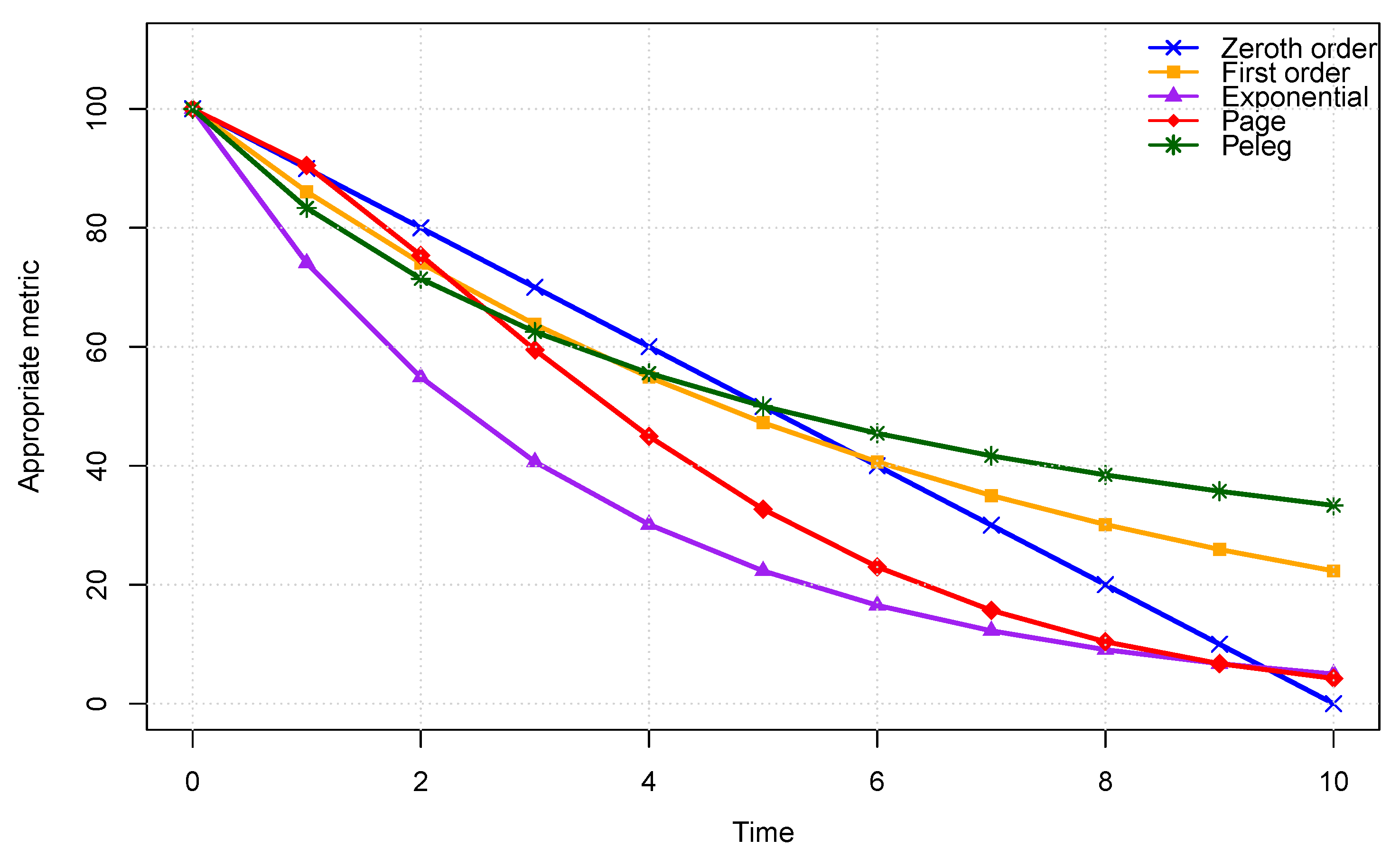
3.6. Color Degradation Kinetics Data and Model Visualization
3.7. Color Degradation Kinetics Model Performance Comparison and Ranking
3.7.1. Jasmine Petals
3.7.2. Jasmine Pedicles
4. Suggestions for Future Research
5. Conclusions
Author Contributions
Funding
Data Availability Statement
Acknowledgments
Conflicts of Interest
Appendix A. Visualization of Kinetic Model Performance of Jasmine Petals and Pedicles Using Selected Metrics

References
- Barad, A.; Gandamalla, M.; Maheta, P. Role of rural women in post-harvest handling and export of jasmine flower. Univers. J. Agric. Res. 2017, 5, 329–332. [Google Scholar]
- Zhang, Y.J.; Liu, Y.Q.; Pu, X.Y.; Yang, C.R. Iridoidal glycosides from Jasminum sambac. Phytochemistry 1995, 38, 899–903. [Google Scholar]
- Qur’ania, A.; Sarinah, I. Identification of jasmine flower (Jasminum sp.) based on the shape of the flower using sobel edge and k-nearest neighbour. IOP Conf. Ser. Mater. Sci. Eng. 2018, 332, 012008. [Google Scholar] [CrossRef]
- Heikal, G.; Abd-Elatef, E.A. Effect color of jasmine flowers on the infestation by macrosiphum rosae and tetranychus urticae under glasshouse conditions. Egypt. Acad. J. Biol. Sci. A Entomol. 2021, 14, 219–226. [Google Scholar] [CrossRef]
- Ray, H.; Majumdar, S.; Biswas, S.P.; Das, A.; Ghosh, T.; Ghosh, A. Characterization of the volatile aroma compounds from the concrete and jasmine flowers grown in India. Chem. Eng. Trans. 2014, 40, 265–270. [Google Scholar]
- Jawaharlal, M.; Thamaraiselvi, S.; Ganga, M. Packaging technology for export of jasmine (Jasminum sambac Ait.) Flowers. J. Hortic. Sci. 2012, 7, 180–189. [Google Scholar] [CrossRef]
- Ali, S.M.; Nidoni, U.; Palanimuthu, S.H.; Ramappa, K.; Ramesh, G.; Naik, N. Enhancing shelf life and freshness retention in jasmine flowers (Jasminum multiflorum L.) Through Post-Harvest Chem. Treat. Int. J. Adv. Biochem. Res. 2024, 8 (Suppl. 3), 265–270. [Google Scholar] [CrossRef]
- Ray, H.; Majumdar, S.; Das, A.; Bhattacharyya, N.; Kumar, S.; Bhattacharjya, R. Aroma quality evaluation of jasmine flower. In Proceedings of the 2014 International Conference on Control, Instrumentation, Energy and Communication (CIEC), Calcutta, India, 31 January–2 February 2014; pp. 598–602. [Google Scholar]
- Issa, M.Y.; Mohsen, E.; Younis, I.Y.; Nofal, E.S.; Farag, M.A. Volatiles distribution in jasmine flowers taxa grown in Egypt and its commercial products as analyzed via solid-phase microextraction (SPME) coupled to chemometrics. Ind. Crop. Prod. 2020, 144, 112002. [Google Scholar] [CrossRef]
- Mohanasundari, P.; Sivakumar, T.; Krishna Surendar, K. Effect of post-harvest treatment and storage temperature on fragrance of jasmine (J. grandiflorum). Ann. Plant Sci. 2018, 7, 2391–2393. [Google Scholar]
- Yathindra, H.; Keerthishankar, K.; Rajesh, A.; Harshavardhan, M.; Mutthuraju, G.; Mangala, K. Packaging technology for extending shelf life of jasmine (Jasminum sambac CV. Mysuru Mallige) Flowers. J. Pharmacogn. Phytochem. 2018, 7, 257–259. [Google Scholar]
- Cubero, S.; Aleixos, N.; Moltó, E.; Gómez-Sanchis, J.; Blasco, J. Advances in machine vision applications for automatic inspection and quality evaluation of fruits and vegetables. Food Bioprocess Technol. 2011, 4, 487–504. [Google Scholar] [CrossRef]
- El-Mesery, H.S.; Mao, H.; Abomohra, A.E.F. Applications of non-destructive technologies for agricultural and food products quality inspection. Sensors 2019, 19, 846. [Google Scholar] [CrossRef] [PubMed]
- Shajahan, S. Agricultural Field Applications of Digital Image Processing Using an Open Source ImageJ Platform. Ph.D. Thesis, North Dakota State University, Fargo, ND, USA, 2019. [Google Scholar]
- Chen, F.; Li, Y.; Sun, H.; Wei, Q.; Fang, C.; Lin, X.; Li, Y.; Chen, Z.; Lin, H.; Cao, Z. Petal damage and bent flower detection method of rose cut flowers based on computer vision. Sci. Hortic. 2025, 340, 113927. [Google Scholar] [CrossRef]
- Brosnan, T.; Sun, D.W. Improving quality inspection of food products by computer vision—A review. J. Food Eng. 2004, 61, 3–16. [Google Scholar] [CrossRef]
- Mery, D.; Arteta, C. Automatic defect recognition in X-ray testing using computer vision. In Proceedings of the 2017 IEEE Winter Conference on Applications of Computer Vision (WACV), Santa Rosa, CA, USA, 24–31 March 2017; pp. 1026–1035. [Google Scholar]
- Sharayei, P.; Hedayatizadeh, M.; Chaji, H.; Einafshar, S. Studying the thin-layer drying kinetics and qualitative characteristics of dehydrated saffron petals. J. Food Process. Preserv. 2018, 42, e13677. [Google Scholar] [CrossRef]
- Jiang, T.; Mao, Y.; Sui, L.; Yang, N.; Li, S.; Zhu, Z.; Wang, C.; Yin, S.; He, J.; He, Y. Degradation of anthocyanins and polymeric color formation during heat treatment of purple sweet potato extract at different pH. Food Chem. 2019, 274, 460–470. [Google Scholar]
- Rasane, P.; Singh, A.; Singh, J.; Kaur, S.; Nanda, V.; Kaur, J.; Gunjal, M.; Bhadariya, V.; Ercisli, S.; Ullah, R.; et al. Image analysis-based discoloration rate quantification and kinetic modeling for shelf-life prediction in herb-coated pear slices. Sci. Rep. 2024, 14, 1647. [Google Scholar]
- Palumbo, M.; Pace, B.; Cefola, M.; Montesano, F.F.; Colelli, G.; Attolico, G. Non-destructive and contactless estimation of chlorophyll and ammonia contents in packaged fresh-cut rocket leaves by a Computer Vision System. Postharvest Biol. Technol. 2022, 189, 111910. [Google Scholar] [CrossRef]
- Schroeder, A.B.; Dobson, E.T.; Rueden, C.T.; Tomancak, P.; Jug, F.; Eliceiri, K.W. The ImageJ ecosystem: Open-source software for image visualization, processing, and analysis. Protein Sci. 2021, 30, 234–249. [Google Scholar] [CrossRef]
- Ratti, C. Hot air and freeze-drying of high-value foods: A review. J. Food Eng. 2001, 49, 311–319. [Google Scholar] [CrossRef]
- Vega-Gálvez, A.; Di Scala, K.; Rodríguez, K.; Lemus-Mondaca, R.; Miranda, M.; López, J.; Perez-Won, M. Effect of air-drying temperature on physico-chemical properties, antioxidant capacity, colour and total phenolic content of red pepper (Capsicum annuum, L. var. Hungarian). Food Chem. 2009, 117, 647–653. [Google Scholar] [CrossRef]
- Aradwad, P.; Yadav, R.; Arun Kumar, T.; Shabeer, T.A.; Raju, D.; Kumar, P.N.; Sahoo, M. Mass transfer and color change kinetics of infrared drying of rose petals and its impact on physico-chemical properties. J. Food Process Eng. 2023, 46, e14359. [Google Scholar] [CrossRef]
- Sunoj, S.; Hammed, A.; Igathinathane, C.; Eshkabilov, S.; Simsek, H. Identification, quantification, and growth profiling of eight different microalgae species using image analysis. Algal Res. 2021, 60, 102487. [Google Scholar]
- Pothula, A.K.; Igathinathane, C.; Shen, J.; Nichols, K.; Archer, D. Milled industrial beet color kinetics and total soluble solid contents by image analysis. Ind. Crop. Prod. 2015, 65, 159–169. [Google Scholar] [CrossRef]
- Suh, H.J.; Noh, D.O.; Kang, C.S.; Kim, J.M.; Lee, S.W. Thermal kinetics of color degradation of mulberry fruit extract. Food/Nahrung 2003, 47, 132–135. [Google Scholar] [CrossRef] [PubMed]
- Peleg, M.; Normand, M.D.; Dixon, W.R.; Goulette, T.R. Modeling the degradation kinetics of ascorbic acid. Crit. Rev. Food Sci. Nutr. 2018, 58, 1478–1494. [Google Scholar]
- Peleg, M.; Normand, M.D.; Corradini, M.G. A new look at kinetics in relation to food storage. Annu. Rev. Food Sci. Technol. 2017, 8, 135–153. [Google Scholar] [CrossRef]
- Loypimai, P.; Moongngarm, A.; Chottanom, P. Thermal and pH degradation kinetics of anthocyanins in natural food colorant prepared from black rice bran. J. Food Sci. Technol. 2016, 53, 461–470. [Google Scholar] [CrossRef]
- Peleg, M. An empirical model for the description of moisture sorption curves. J. Food Sci. 1988, 53, 1216–1217. [Google Scholar] [CrossRef]
- Madamba, P.S.; Driscoll, R.H.; Buckle, K.A. The thin-layer drying characteristics of garlic slices. J. Food Eng. 1996, 29, 75–97. [Google Scholar]
- Durand, L.B.; Ruiz-López, J.; Perez, B.G.; Ionescu, A.M.; Carrillo-Pérez, F.; Ghinea, R.; Pérez, M.M. Color, lightness, chroma, hue, and translucency adjustment potential of resin composites using CIEDE2000 color difference formula. J. Esthet. Restor. Dent. 2021, 33, 836–843. [Google Scholar] [CrossRef] [PubMed]
- Ahn, J.S.; Lee, Y.K. Color distribution of a shade guide in the value, chroma, and hue scale. J. Prosthet. Dent. 2008, 100, 18–28. [Google Scholar] [CrossRef]
- Pathare, P.B.; Opara, U.L.; Al-Said, F.A.J. Colour measurement and analysis in fresh and processed foods: A review. Food Bioprocess Technol. 2013, 6, 36–60. [Google Scholar]
- Gao, S.; Yan, K.; Liu, J.; Pu, J.; Zou, D.; Qi, J.; Mu, X.; Yan, G. Assessment of remote-sensed vegetation indices for estimating forest chlorophyll concentration. Ecol. Indic. 2024, 162, 112001. [Google Scholar] [CrossRef]
- Barani, Y.H.; Zhang, M.; Wang, B. Effect of thermal and ultrasonic pretreatment on enzyme inactivation, color, phenolics and flavonoids contents of infrared freeze-dried rose flower. J. Food Meas. Charact. 2021, 15, 995–1004. [Google Scholar] [CrossRef]
- He, Y.; Guo, X.; Lu, R.; Niu, B.; Pasapula, V.; Hou, P.; Cai, F.; Xu, Y.; Chen, F. Changes in morphology and biochemical indices in browning callus derived from Jatropha Curcas Hypocotyls. Plant Cell Tissue Organ Cult. (PCTOC) 2009, 98, 11–17. [Google Scholar] [CrossRef]
- Nash, J.C.; Bhattacharjee, A. A comparison of R tools for nonlinear least squares modeling. R J. 2023, 15, 198–215. [Google Scholar]
- Kuha, J. AIC and BIC: Comparisons of assumptions and performance. Sociol. Methods Res. 2004, 33, 188–229. [Google Scholar] [CrossRef]
- Vrieze, S.I. Model selection and psychological theory: A discussion of the differences between the Akaike information criterion (AIC) and the Bayesian information criterion (BIC). Psychol. Methods 2012, 17, 228. [Google Scholar] [CrossRef]
- Wickham, H. Advanced R; Chapman and Hall/CRC: London, UK, 2019. [Google Scholar]
- Farhood, H.; Bakhshayeshi, I.; Pooshideh, M.; Rezvani, N.; Beheshti, A. Recent advances of image processing techniques in agriculture. In Artificial Intelligence and Data Science in Environmental Sensing; Elsevier: Amsterdam, The Netherlands, 2022; pp. 129–153. [Google Scholar]
- Bhambri, P.; Singh, S.; Jain, S.; Dhanoa, I.S. Plants recognition using leaf image pattern analysis with focus on advanced smart computing technologies. AIP Conf. Proc. 2023, 2916, 020003. [Google Scholar]
- Bej, G.; Pal, A.; Dey, T.; Majumdar, S.; Akuli, A.; Ghosh, A.; Bhattacharyya, N. Extraction of appearance-based DUS characteristics of okra stem, flower, and seed using image processing. In Proceedings of the International Conference on Computational Intelligence, Data Science and Cloud Computing: IEM-ICDC 2021, Kolkata, India, 22–24 December 2021; Springer: Singapore, 2022; pp. 209–223. [Google Scholar]
- Pintó-Marijuan, M.; Munné-Bosch, S. Photo-oxidative stress markers as a measure of abiotic stress-induced leaf senescence: Advantages and limitations. J. Exp. Bot. 2014, 65, 3845–3857. [Google Scholar] [CrossRef] [PubMed]
- Manzoor, A.; Bashir, M.A.; Naveed, M.S.; Akhtar, M.T.; Saeed, S. Postharvest chemical treatment of physiologically induced stem end blockage improves vase life and water relation of cut flowers. Horticulturae 2024, 10, 271. [Google Scholar] [CrossRef]
- Sukpitak, C.; Seraypheap, K.; Muñoz, P.; Munné-Bosch, S. Influence of water deficit on the longevity of ethylene-sensitive and ethylene-insensitive flowers. Environ. Exp. Bot. 2024, 219, 105647. [Google Scholar] [CrossRef]
- Da Silva, J.T. The cut flower: Postharvest considerations. J. Biol. Sci. 2003, 3, 406–442. [Google Scholar]
- Salunkhe, D.K.; Bhat, N.R.; Desai, B.B. Postharvest Biotechnology of Flowers and Ornamental Plants; Springer Science & Business Media: Berlin/Heidelberg, Germany, 2012. [Google Scholar]
- Liu, Z.; Luo, Y.; Liao, W. Postharvest physiology of fresh-cut flowers. In Oxygen, Nitrogen and Sulfur Species in Post-Harvest Physiology of Horticultural Crops; Elsevier: Amsterdam, The Netherlands, 2024; pp. 23–42. [Google Scholar]
- Reid, M.S.; Jiang, C.Z. Postharvest biology and technology of cut flowers and potted plants. Hortic. Rev. 2012, 40, 3–56. [Google Scholar]
- Finger, F.L.; Silva, T.P.; Araujo, F.F.; Barbosa, J.G. Postharvest quality of ornamental plants. In Postharvest Ripening Physiology of Crops: Innovations in Postharvest Technology Series; CRC Press: Boca Raton, FL, USA, 2016; p. 88. [Google Scholar]
- Cheok, C.Y.; Ragunathan, A. Anthocyanin Degradation Kinetics and Thermodynamic Analysis of Hibiscus Rosa-sinensis L. Clitoria ternatea L. and Hibiscus sabdariffa L. Prog. Energy Environ. 2022, 19, 1–12. [Google Scholar]
- Tuly, S.S.; Mahiuddin, M.; Karim, A. Mathematical modeling of nutritional, color, texture, and microbial activity changes in fruit and vegetables during drying: A critical review. Crit. Rev. Food Sci. Nutr. 2023, 63, 1877–1900. [Google Scholar]
- Pavan, M.A. Effects of Freeze Drying, Refractance Window Drying and Hot-Air Drying on the Quality Parameters of Açaí. Ph.D. Thesis, University of Illinois at Urbana-Champaign, Champaign, IL, USA, 2010. [Google Scholar]
- Van Doorn, W.G. Is petal senescence due to sugar starvation? Plant Physiol. 2004, 134, 35–42. [Google Scholar] [CrossRef]








| Model | Equation | Eqn. Number | References |
|---|---|---|---|
| Zeroth-order kinetic model | (2) | [20,27,28] | |
| First-order kinetic model | (3) | [19,20,28,29] | |
| Exponential model | (4) | [26,30] | |
| Page model | (5) | [18,26,27] | |
| Peleg model | (6) | [26,27] |
| Color Index | Equation | Eqn. Number | Reference |
|---|---|---|---|
| Total color difference () | (7) | [19,20,34] | |
| Hue (hue) | (8) | [20,21,35] | |
| Chroma (Ch) | (9) | [35] | |
| Browning index (BI) | where, | (10) | [19,36] |
| Color index vegetation (CIVE) | (11) | [27] | |
| Vegetative (VEG) | (12) | [27] | |
| Excess green (ExG) | (13) | [26] | |
| Excess green–red (ExGR) | (14) | [14] | |
| Combination (COM) | (15) | [14] | |
| Whiteness (WI) | (16) | [36] | |
| ISO brightness (ISO_B) | (17) | [36] | |
| Hunter whiteness (Hunter_WI) | (18) | [36] |
| Jasmine Flower Components | Area (mm2) | Perimeter (mm) | Circularity | Feret (mm) | Aspect Ratio | Roundness |
|---|---|---|---|---|---|---|
| Whole 1 h | 35.56 ± 2.06 | 32.92 ± 2.34 | 0.52 ± 0.03 | 13.75 ± 0.92 | 2.8 ± 0.05 | 0.57 ± 0.02 |
| Whole 12 h | 41.75 ± 2.90 | 30.67 ± 2.20 | 0.49 ± 0.05 | 10.8 ± 0.94 | 2.4 ± 0.24 | 0.53 ± 0.02 |
| Whole 24 h | 18.87 ± 2.02 | 23.43 ± 2.30 | 0.48 ± 0.03 | 7.63 ± 0.46 | 1.98 ± 0.15 | 0.37 ± 0.02 |
| Petals 1 h | 30.53 ± 7.37 | 32.93 ± 10.71 | 0.78 ± 0.08 | 8.97 ± 1.91 | 1.68 ± 0.48 | 0.74 ± 0.11 |
| Petals 12 h | 39.62 ± 14.59 | 28.05 ± 8.01 | 0.66 ± 0.14 | 8.59 ± 1.82 | 1.49 ± 0.29 | 0.69 ± 0.13 |
| Petals 24 h | 30.65 ± 10.41 | 22.09 ± 2.57 | 0.41 ± 0.18 | 8.18 ± 1.03 | 1.39 ± 0.22 | 0.63 ± 0.12 |
| Pedicles 1 h | 9.42 ± 2.09 | 14.7 ± 2.57 | 0.62 ± 0.31 | 5.93 ± 1.07 | 3.68 ± 1.59 | 0.49 ± 0.32 |
| Pedicles 12 h | 5.29 ± 3.26 | 11.95 ± 6.03 | 0.55 ± 0.08 | 4.86 ± 2.46 | 3.2 ± 1.94 | 0.37 ± 0.24 |
| Pedicles 24 h | 3.82 ± 3.77 | 9.34 ± 7.79 | 0.51 ± 0.24 | 3.71 ± 3.01 | 3.08 ± 0.55 | 0.34 ± 0.07 |
| CI | Model | n | RMSE | AIC | ||||
|---|---|---|---|---|---|---|---|---|
| E | Zeroth-order | 57.73 | - | - | 0.98 | 2.41 | 48.03 | |
| First-order | 69.70 | - | - | 0.97 | 3.01 | 59.15 | ||
| Exponential | - | - | - | 0.94 | 4.39 | 75.99 | ||
| Page | - | - | 1.44 | 0.98 | 2.36 | 46.88 | ||
| Peleg | 63.85 | - | 0.99 | 1.30 | 19.19 | |||
| CIVE | Zeroth-order | 19.71 | - | - | 0.95 | 0.93 | 0.14 | |
| First-order | 20.65 | - | - | 0.89 | 1.40 | 20.90 | ||
| Exponential | - | - | - | 0.80 | 1.88 | 33.68 | ||
| Page | - | - | 2.14 | 0.94 | 1.05 | 6.40 | ||
| Peleg | 18.22 | 0.07 | - | 0.98 | 0.57 | |||
| VEG | Zeroth-order | 35.56 | - | - | 0.99 | 0.44 | ||
| First-order | 36.04 | - | - | 0.98 | 0.58 | |||
| Exponential | - | - | - | 0.87 | 1.39 | 18.38 | ||
| Page | - | - | 1.81 | 0.97 | 0.71 | |||
| Peleg | 34.96 | 0.02 | - | 0.99 | 0.36 | |||
| ExG | Zeroth-order | 15.83 | - | - | 0.98 | 0.62 | ||
| First-order | 17.85 | - | - | - | - | - | ||
| Exponential | - | - | - | 0.91 | 1.29 | 14.81 | ||
| Page | - | - | 1.55 | 0.97 | 0.74 | |||
| Peleg | 16.01 | - | 0.98 | 0.61 | ||||
| ExGR | Zeroth-order | 130.36 | - | - | 0.96 | 2.63 | 52.42 | |
| First-order | 131.71 | - | - | - | - | - | ||
| Exponential | - | - | - | 0.81 | 5.97 | 91.36 | ||
| Page | - | - | 2.18 | 0.95 | 2.92 | 57.51 | ||
| Peleg | 125.70 | 0.02 | - | 0.99 | 1.41 | 23.28 | ||
| COM | Zeroth-order | 34.38 | - | - | 0.96 | 0.96 | 2.10 | |
| First-order | 35.04 | - | - | 0.93 | 1.29 | 16.58 | ||
| Exponential | - | - | - | 0.81 | 2.12 | 39.52 | ||
| Page | - | - | 2.17 | 0.95 | 1.06 | 6.75 | ||
| Peleg | 32.64 | 0.06 | - | 0.99 | 0.47 | |||
| BI | Zeroth-order | 41,239.93 | - | - | 0.96 | 908.41 | 344.59 | |
| First-order | 41,659.85 | - | - | 0.94 | 1092.28 | 353.80 | ||
| Exponential | - | - | - | 0.83 | 1788.76 | 376.46 | ||
| Page | - | - | 1.93 | 0.93 | 1106.97 | 354.47 | ||
| Peleg | 39,794.62 | - | 0.98 | 572.43 | 323.49 | |||
| WI | Zeroth-order | 101.41 | - | - | 0.95 | 2.50 | 49.88 | |
| First-order | 102.90 | - | - | 0.94 | 2.90 | 57.21 | ||
| Exponential | - | - | - | 0.85 | 4.60 | 78.34 | ||
| Page | - | - | 1.72 | 0.93 | 3.09 | 60.44 | ||
| Peleg | 98.67 | 0.01 | - | 0.97 | 2.20 | 45.51 | ||
| ISO_B | Zeroth-order | 214.52 | - | - | 0.99 | 2.15 | 42.25 | |
| First-order | 216.22 | - | - | 0.98 | 2.62 | 52.13 | ||
| Exponential | - | - | - | 0.90 | 5.62 | 88.31 | ||
| Page | - | - | 1.51 | 0.95 | 3.82 | 70.97 | ||
| Peleg | 211.55 | 0.01 | - | 0.99 | 1.78 | 34.88 | ||
| Hunter | Zeroth-order | 46.84 | - | - | 0.92 | 2.18 | 42.86 | |
| First-order | 48.34 | - | - | 0.90 | 2.51 | 50.04 | ||
| Exponential | - | - | - | 0.85 | 3.09 | 58.46 | ||
| Page | - | - | 1.38 | 0.88 | 2.75 | 54.63 | ||
| Peleg | 45.35 | 0.02 | - | 0.93 | 2.07 | 42.34 | ||
| Hue | Zeroth-order | 73.09 | - | - | 0.97 | 1.45 | 22.64 | |
| First-order | 74.04 | - | - | 0.95 | 1.83 | 34.21 | ||
| Exponential | - | - | - | 0.85 | 3.23 | 60.66 | ||
| Page | - | - | 1.86 | 0.95 | 1.92 | 36.65 | ||
| Peleg | 70.82 | 0.02 | - | 0.99 | 1.00 | 6.04 | ||
| Chroma | Zeroth-order | 18.29 | - | - | 0.98 | 0.55 | ||
| First-order | 19.69 | - | - | 0.93 | 1.13 | 10.27 | ||
| Exponential | - | - | - | 0.84 | 1.72 | 29.13 | ||
| Page | - | - | 2.04 | 0.97 | 0.69 | |||
| Peleg | 17.58 | 0.02 | - | 0.99 | 0.46 |
| CI | Model | n | RMSE | AIC | ||||
|---|---|---|---|---|---|---|---|---|
| E | Zeroth-order | 19.68 | - | - | 0.93 | 1.14 | 10.38 | |
| First-order | 21.71 | - | - | 0.97 | 0.75 | |||
| Exponential | - | - | - | 0.97 | 0.76 | |||
| Page | - | - | 1.07 | 0.97 | 0.74 | |||
| Peleg | 23.01 | - | 0.97 | 0.68 | ||||
| CIVE | Zeroth-order | 13.90 | - | - | 0.98 | 0.65 | ||
| First-order | 15.66 | - | - | 0.88 | 1.40 | 20.81 | ||
| Exponential | - | - | - | 0.82 | 1.74 | 29.76 | ||
| Page | - | - | 2.26 | 0.97 | 0.66 | |||
| Peleg | 13.45 | 0.01 | - | 0.98 | 0.62 | |||
| VEG | Zeroth-order | 32.22 | - | - | 0.96 | 0.62 | ||
| First-order | 32.68 | - | - | 0.97 | 0.51 | |||
| Exponential | - | - | - | 0.95 | 0.71 | |||
| Page | - | - | 1.38 | 0.98 | 0.41 | |||
| Peleg | 33.71 | - | 0.98 | 0.39 | ||||
| ExG | Zeroth-order | 29.00 | - | - | 0.96 | 2.01 | 38.89 | |
| First-order | 36.64 | - | - | 0.95 | 2.15 | 42.21 | ||
| Exponential | - | - | - | 0.91 | 2.85 | 54.28 | ||
| Page | - | - | 1.65 | 0.98 | 1.24 | 14.76 | ||
| Peleg | 33.29 | - | 0.98 | 1.36 | 21.24 | |||
| ExGR | Zeroth-order | 103.48 | - | - | 0.95 | 3.40 | 65.14 | |
| First-order | 105.62 | - | - | 1.00 | 4.56 | - | ||
| Exponential | - | - | - | 0.79 | 7.19 | 100.67 | ||
| Page | - | - | 2.49 | 0.97 | 2.86 | 56.62 | ||
| Peleg | 98.11 | 0.02 | - | 0.99 | 1.90 | 38.01 | ||
| COM | Zeroth-order | 24.78 | - | - | 0.95 | 1.22 | 14.06 | |
| First-order | 26.10 | - | - | 0.88 | 2.01 | 38.98 | ||
| Exponential | - | - | - | 0.79 | 2.64 | 50.47 | ||
| Page | - | - | 2.47 | 0.97 | 1.03 | 5.58 | ||
| Peleg | 22.86 | 0.05 | - | 0.98 | 0.70 | |||
| BI | Zeroth-order | 31127.09 | - | - | 0.93 | 688.36 | 330.72 | |
| First-order | 31431.41 | - | - | 0.94 | 655.00 | 328.23 | ||
| Exponential | - | - | - | 0.93 | 669.80 | 327.35 | ||
| Page | - | - | 0.91 | 0.94 | 648.18 | 327.71 | ||
| Peleg | - | - | - | - | - | - | - | |
| WI | Zeroth-order | 95.34 | - | - | 0.95 | 2.05 | 39.96 | |
| First-order | 96.87 | - | - | 0.97 | 1.76 | 32.31 | ||
| Exponential | - | - | - | 0.97 | 1.80 | 31.31 | ||
| Page | - | - | 1.11 | 0.97 | 1.65 | 29.18 | ||
| Peleg | 100.05 | - | 0.98 | 1.48 | 25.72 | |||
| ISO_B | Zeroth-order | 188.94 | - | - | 0.97 | 2.60 | 51.82 | |
| First-order | 190.56 | - | - | 0.97 | 2.34 | 46.55 | ||
| Exponential | - | - | - | 0.96 | 2.89 | 55.14 | ||
| Page | - | - | 1.11 | 0.97 | 2.70 | 53.58 | ||
| Peleg | 193.74 | - | 0.98 | 2.12 | 43.54 | |||
| Hunter | Zeroth-order | 58.69 | - | - | 0.82 | 5.22 | 86.64 | |
| First-order | 64.81 | - | - | 0.90 | 3.93 | 72.38 | ||
| Exponential | - | - | - | 0.97 | 2.01 | 36.88 | ||
| Page | - | - | 1.00 | 0.97 | 2.01 | 38.86 | ||
| Peleg | 28.50 | - | 0.98 | 1.84 | 36.51 | |||
| Hue | Zeroth-order | 17.33 | - | - | 0.98 | 0.43 | ||
| First-order | 18.14 | - | - | 0.99 | 0.30 | |||
| Exponential | - | - | - | 0.89 | 0.96 | |||
| Page | - | - | 1.83 | 0.99 | 0.28 | |||
| Peleg | 18.17 | - | 0.99 | 0.31 | ||||
| Chroma | Zeroth-order | 93.48 | - | - | 0.96 | 3.24 | 62.71 | |
| First-order | 97.07 | - | - | 0.94 | 4.07 | 74.18 | ||
| Exponential | - | - | - | 0.83 | 6.60 | 96.34 | ||
| Page | - | - | 1.89 | 0.95 | 3.62 | 68.30 | ||
| Peleg | 90.71 | 0.01 | - | 0.96 | 3.04 | 61.59 |
| Component | Rank | CI | Model | Best Fitted Model | RMSE | AIC | |
|---|---|---|---|---|---|---|---|
| Petals | 1 | VEG | Peleg | 0.99 | 0.35 | ||
| 2 | Chroma | Peleg | 0.98 | 0.45 | |||
| 3 | COM | Peleg | 0.99 | 0.46 | |||
| 4 | CIVE | Peleg | 0.98 | 0.57 | |||
| 5 | ExG | Zeroth | 0.97 | 0.61 | |||
| 6 | Hue | Peleg | 0.98 | 1.00 | 6.04 | ||
| 7 | Delta E | Peleg | 0.99 | 1.30 | 19.19 | ||
| 8 | ExGR | Peleg | 0.98 | 1.41 | 23.28 | ||
| 9 | ISO_B | Peleg | 0.99 | 1.78 | 34.88 | ||
| 10 | Hunter_WI | Zeroth | 0.92 | 2.17 | 42.86 | ||
| 11 | WI | Peleg | 0.96 | 2.20 | 45.51 | ||
| 12 | BI * | Peleg | 0.98 | 572.42 | 323.49 | ||
| Pedicles | 1 | Hue | Page | 0.99 | 0.28 | ||
| 2 | VEG | Page | 0.98 | 0.40 | |||
| 3 | CIVE | Zeroth | 0.97 | 0.65 | |||
| 4 | Delta E | Exponential | 0.96 | 0.76 | |||
| 5 | COM | Peleg | 0.98 | 0.70 | |||
| 6 | ExG | Page | 0.98 | 1.24 | 14.76 | ||
| 7 | WI | Peleg | 0.97 | 1.48 | 25.72 | ||
| 8 | Hunter_WI | Exponential | 0.97 | 2.00 | 36.88 | ||
| 9 | ExGR | Peleg | 0.98 | 1.89 | 38.01 | ||
| 10 | ISO_B | Peleg | 0.97 | 2.11 | 43.54 | ||
| 11 | Chroma | Zeroth | 0.96 | 3.23 | 62.71 | ||
| 12 | BI * | Exponential | 0.93 | 669.79 | 327.35 |
Disclaimer/Publisher’s Note: The statements, opinions and data contained in all publications are solely those of the individual author(s) and contributor(s) and not of MDPI and/or the editor(s). MDPI and/or the editor(s) disclaim responsibility for any injury to people or property resulting from any ideas, methods, instructions or products referred to in the content. |
© 2025 by the authors. Licensee MDPI, Basel, Switzerland. This article is an open access article distributed under the terms and conditions of the Creative Commons Attribution (CC BY) license (https://creativecommons.org/licenses/by/4.0/).
Share and Cite
Tazeen, H.; Joice, A.; Tufaique, T.; Igathinathane, C.; Ajayi-Banji, A.; Zhang, Z.; Whippo, C.W.; Scott, D.A.; Hendrickson, J.R.; Archer, D.W.; et al. Jasmine Flower Color Degradation User-Coded Computer Vision Image Analysis Tool and Kinetics Modeling. AgriEngineering 2025, 7, 193. https://doi.org/10.3390/agriengineering7060193
Tazeen H, Joice A, Tufaique T, Igathinathane C, Ajayi-Banji A, Zhang Z, Whippo CW, Scott DA, Hendrickson JR, Archer DW, et al. Jasmine Flower Color Degradation User-Coded Computer Vision Image Analysis Tool and Kinetics Modeling. AgriEngineering. 2025; 7(6):193. https://doi.org/10.3390/agriengineering7060193
Chicago/Turabian StyleTazeen, Humeera, Astina Joice, Talha Tufaique, C. Igathinathane, Ademola Ajayi-Banji, Zhao Zhang, Craig W. Whippo, Drew A. Scott, John R. Hendrickson, David W. Archer, and et al. 2025. "Jasmine Flower Color Degradation User-Coded Computer Vision Image Analysis Tool and Kinetics Modeling" AgriEngineering 7, no. 6: 193. https://doi.org/10.3390/agriengineering7060193
APA StyleTazeen, H., Joice, A., Tufaique, T., Igathinathane, C., Ajayi-Banji, A., Zhang, Z., Whippo, C. W., Scott, D. A., Hendrickson, J. R., Archer, D. W., Pordesimo, L. O., & Sokhansanj, S. (2025). Jasmine Flower Color Degradation User-Coded Computer Vision Image Analysis Tool and Kinetics Modeling. AgriEngineering, 7(6), 193. https://doi.org/10.3390/agriengineering7060193

