Machine Learning Methods for Predicting Argania spinosa Crop Yield and Leaf Area Index: A Combined Drought Index Approach from Multisource Remote Sensing Data
Abstract
1. Introduction
- (I)
- Downscaling monthly CHIRPS data from a 5 km to 1 km scale using topographic and vegetation variables as predictors with the random forest model.
- (II)
- Investigating and comparing the performance of various models to identify the optimal machine learning approach for predicting crop yield and LAI in Argane forest stands.
- (III)
- Identifying correlations between crop yield and LAI with predictor variables, particularly drought indices.
- (IV)
- Establishing a combined drought index (CDI) from multisource remote sensing data to monitor and evaluate long-term agricultural drought in Argane forest areas from 2001 to 2021.
2. Materials and Methods
2.1. Study Areas
2.2. Field Measurements and Yield Data
3. Datasets
3.1. CHIRPS Precipitation Data
3.2. NDVI Data
3.3. LST Data
3.4. Evapotranspiration Data
3.5. Soil Moisture Data
3.6. DEM Data
3.7. Rain Gauge Data
4. Methods
4.1. Drought Stress Indices
4.2. Agricultural Drought Condition Index
4.3. Machine Learning Algorithms
4.4. Downscaling of Original CHIRPS Precipitation Data
- Re-sampling original predictors such as elevation, aspect, slope, longitude, latitude and NDVI from 1 km resolution to 0.05° resolution using pixel averaging. These were then reprojected to the same projection as CHIRPS data.
- Establishing relationships within the resampled environmental factors and CHIRPS precipitation data via a random forest regression model. This provided an estimated monthly precipitation at the 0.05° scale.
- Computing residual precipitation estimates with a spatial resolution of 25 km by subtracting predicted CHIRPS monthly precipitation from original CHIRPS monthly data.
- Generating CHIRPS monthly precipitation at 1 km from environmental variables at 1 km data using the nonparametric regression equation obtained in step 2.
- Correcting CHIRPS downscaled precipitation results by incorporating the 1 km resolution residual to 1 km downscaled precipitation.
5. Accuracy Evaluation
6. Results and Discussion
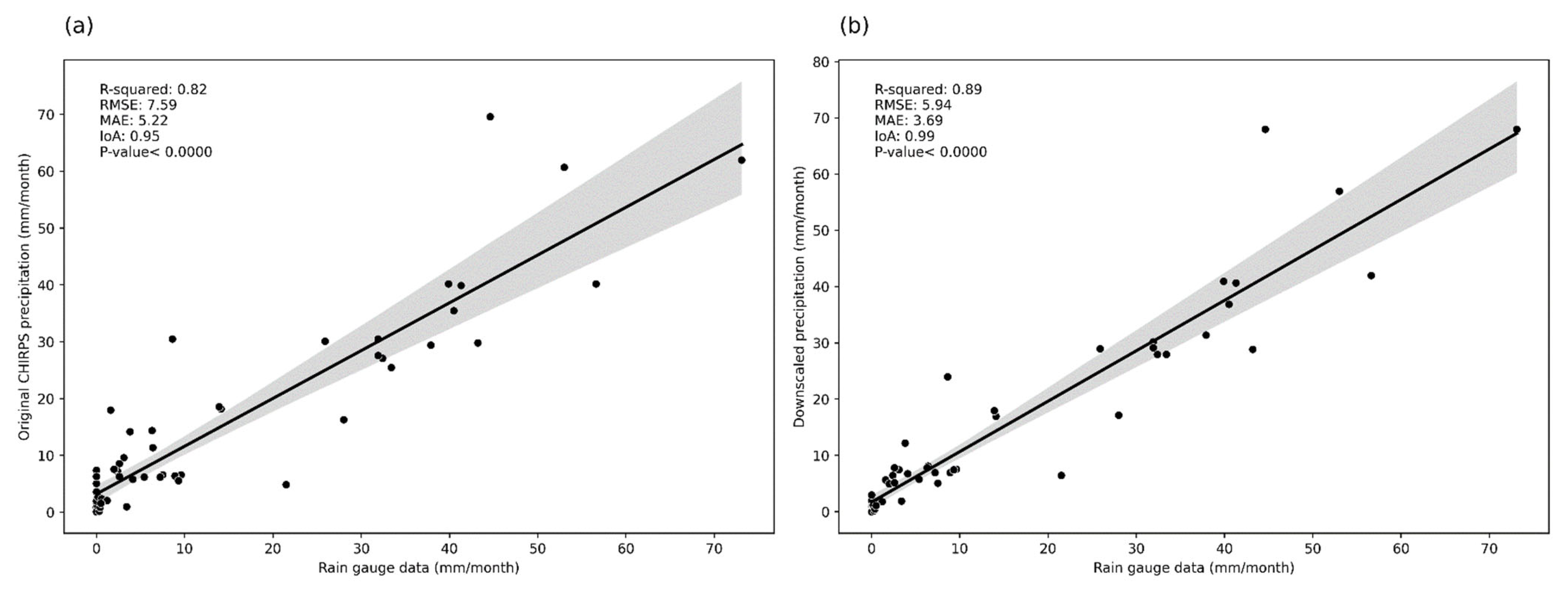
6.1. Spatial Downscaling of CHIRPS Precipitation Data
6.2. Construction of Crop Yield and LAI Estimation Model Based on Drought Indices
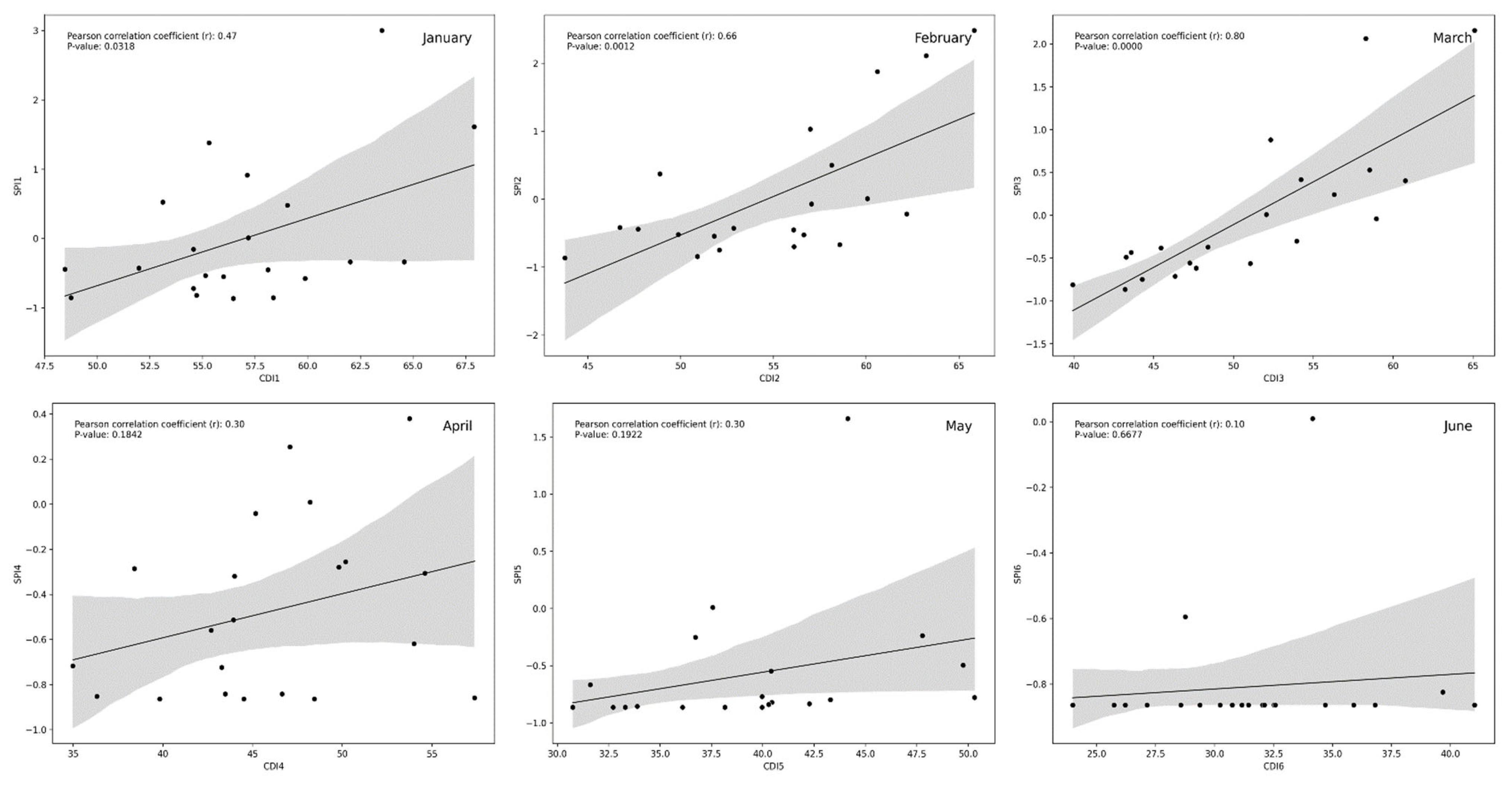
6.3. Correlation Analysis
6.4. Drought Monitoring
6.4.1. Agricultural Drought Monitoring Using CDI
6.4.2. Validation of Results
6.4.3. Limitation of the CDI
7. Conclusions
Author Contributions
Funding
Data Availability Statement
Acknowledgments
Conflicts of Interest
References
- Mouafik, M.; Fouad, M.; Audet, F.A.; El Aboudi, A. Comparative Analysis of Multi-Source Data for Machine Learning-Based LAI Estimation in Argania Spinosa. Adv. Space Res. 2024, 73, 4976–4987. [Google Scholar] [CrossRef]
- Chakhchar, A.; Ben Salah, I.; El Kharrassi, Y.; Filali-Maltouf, A.; El Modafar, C.; Lamaoui, M. Agro-Fruit-Forest Systems Based on Argan Tree in Morocco: A Review of Recent Results. Front. Plant Sci. 2022, 12, 783615. [Google Scholar] [CrossRef]
- El Aboudi, A. Typologie Des Arganeraies Inframéditerranéennes et Écophysiologie de l’arganier (Argania spinosa (L.) Skeels) Dans Le Sous (Maroc). Ph.D. Thesis, Université Joseph Fourier, Grenoble, France, 1990. [Google Scholar]
- Mouafik, M.; Chakhchar, A.; Ouajdi, M.; Antry, S.E.; Ettaleb, I.; Aoujdad, J.; Aboudi, A. El Drought Stress Responses of Four Contrasting Provenances of Argania Spinosa. Environ. Sci. Proc. 2022, 16, 25. [Google Scholar] [CrossRef]
- Wang, Q.; Lu, X.; Zhang, H.; Yang, B.; Gong, R.; Zhang, J.; Jin, Z.; Xie, R.; Xia, J.; Zhao, J. Comparison of Machine Learning Methods for Estimating Leaf Area Index and Aboveground Biomass of Cinnamomum Camphora Based on UAV Multispectral Remote Sensing Data. Forests 2023, 14, 1688. [Google Scholar] [CrossRef]
- Prasad, N.R.; Patel, N.R.; Danodia, A. Crop Yield Prediction in Cotton for Regional Level Using Random Forest Approach. Spat. Inf. Res. 2021, 29, 195–206. [Google Scholar] [CrossRef]
- Kuradusenge, M.; Hitimana, E.; Hanyurwimfura, D.; Rukundo, P.; Mtonga, K.; Mukasine, A.; Uwitonze, C.; Ngabonziza, J.; Uwamahoro, A. Crop Yield Prediction Using Machine Learning Models: Case of Irish Potato and Maize. Agriculture 2023, 13, 225. [Google Scholar] [CrossRef]
- Li, W.; Guo, L.; Zhao, H.; Hua, L. Estimating Rice Yield by HJ-1A Satellite Images. Rice Sci. 2011, 18, 142–147. [Google Scholar] [CrossRef]
- Xin, Q.; Gong, P.; Yu, C.; Yu, L.; Broich, M.; Suyker, A.E.; Myneni, R.B. A Production Efficiency Model-Based Method for Satellite Estimates of Corn and Soybean Yields in the Midwestern US. Remote Sens. 2013, 5, 5926–5943. [Google Scholar] [CrossRef]
- Feng, A.; Zhou, J.; Vories, E.D.; Sudduth, K.A.; Zhang, M. Yield Estimation in Cotton Using UAV-Based Multi-Sensor Imagery. Biosyst. Eng. 2020, 193, 101–114. [Google Scholar] [CrossRef]
- Zhang, H.; Ali, S.; Ma, Q.; Sun, L.; Jiang, N.; Jia, Q.; Hou, F. Remote Sensing Strategies to Characterization of Drought, Vegetation Dynamics in Relation to Climate Change from 1983 to 2016 in Tibet and Xinjiang Province, China. Environ. Sci. Pollut. Res. 2021, 28, 21085–21100. [Google Scholar] [CrossRef]
- Zhang, L.; Jiao, W.; Zhang, H.; Huang, C.; Tong, Q. Studying Drought Phenomena in the Continental United States in 2011 and 2012 Using Various Drought Indices. Remote Sens. Environ. 2017, 190, 96–106. [Google Scholar] [CrossRef]
- Du, L.; Tian, Q.; Yu, T.; Meng, Q.; Jancso, T.; Udvardy, P.; Huang, Y. A Comprehensive Drought Monitoring Method Integrating MODIS and TRMM Data. Int. J. Appl. Earth Obs. Geoinf. 2013, 23, 245–253. [Google Scholar] [CrossRef]
- Pham, H.T.; Awange, J.; Kuhn, M.; Van Nguyen, B.; Bui, L.K. Enhancing Crop Yield Prediction Utilizing Machine Learning on Satellite-Based Vegetation Health Indices. Sensors 2022, 22, 719. [Google Scholar] [CrossRef] [PubMed]
- Kogan, F.N. Operational space technology for global vegetation assessment. Bull. Am. Meteorol. Soc. 2001, 82, 1949–1964. [Google Scholar] [CrossRef]
- Elnashar, A.; Zeng, H.; Wu, B.; Zhang, N.; Tian, F.; Zhang, M.; Zhu, W.; Yan, N.; Chen, Z.; Sun, Z.; et al. Downscaling TRMM Monthly Precipitation Using Google Earth Engine and Google Cloud Computing. Remote Sens. 2020, 12, 3860. [Google Scholar] [CrossRef]
- Impollonia, G.; Croci, M.; Ferrarini, A.; Brook, J.; Martani, E.; Blandinières, H.; Marcone, A.; Awty-Carroll, D.; Ashman, C.; Kam, J.; et al. UAV Remote Sensing for High-Throughput Phenotyping and for Yield Prediction of Miscanthus by Machine Learning Techniques. Remote Sens. 2022, 14, 2927. [Google Scholar] [CrossRef]
- Jhajharia, K.; Mathur, P. Prediction of Crop Yield Using Satellite Vegetation Indices Combined with Machine Learning Approaches. Adv. Space Res. 2023, 72, 3998–4007. [Google Scholar] [CrossRef]
- Rashid, M.; Bari, B.S.; Yusup, Y.; Kamaruddin, M.A.; Khan, N. A Comprehensive Review of Crop Yield Prediction Using Machine Learning Approaches with Special Emphasis on Palm Oil Yield Prediction. IEEE Access 2021, 9, 63406–63439. [Google Scholar] [CrossRef]
- Zhang, J.; Cheng, T.; Guo, W.; Xu, X.; Qiao, H.; Xie, Y.; Ma, X. Leaf Area Index Estimation Model for UAV Image Hyperspectral Data Based on Wavelength Variable Selection and Machine Learning Methods. Plant Methods 2021, 17, 49. [Google Scholar] [CrossRef]
- Funk, C.; Peterson, P.; Landsfeld, M.; Pedreros, D.; Verdin, J.; Shukla, S.; Husak, G.; Rowland, J.; Harrison, L.; Hoell, A.; et al. The Climate Hazards Infrared Precipitation with Stations—A New Environmental Record for Monitoring Extremes. Sci. Data 2015, 2, 150066. [Google Scholar] [CrossRef]
- Wan, Z.; Hook, S.; Hulley, G. MODIS/Terra Land Surface Temperature/Emissivity 8-Day L3 Global 1 km SIN Grid V061. Distributed by NASA EOSDIS Land Processes Distributed Active Archive Center. 2021. [Google Scholar] [CrossRef]
- Mu, Q.; Zhao, M.; Running, S.W. MODIS Global Terrestrial Evapotranspiration (ET) Product (NASA MODIS Global Terrestrial Evapotranspiration (ET) Product (NASA MOD16A2/A3) Collection 5. NASA Headquarters MOD16A2/A3) Collection 5; NASA Headquarters: Washington, DC, USA, 2013. [Google Scholar]
- Xu, J.; Su, Q.; Li, X.; Ma, J.; Song, W.; Zhang, L.; Su, X. A Spatial Downscaling Framework for SMAP Soil Moisture Based on Stacking Strategy. Remote Sens. 2024, 16, 200. [Google Scholar] [CrossRef]
- Fang, B.; Lakshmi, V.; Cosh, M.; Liu, P.W.; Bindlish, R.; Jackson, T.J. A Global 1-Km Downscaled SMAP Soil Moisture Product Based on Thermal Inertia Theory. Vadose Zone J. 2022, 21, e20182. [Google Scholar] [CrossRef]
- Zhang, Y.; Li, Y.; Ji, X.; Luo, X.; Li, X. Fine-Resolution Precipitation Mapping in a Mountainous Watershed: Geostatistical Downscaling of TRMM Products Based on Environmental Variables. Remote Sens. 2018, 10, 119. [Google Scholar] [CrossRef]
- Kogan, F.N. Application of Vegetation Index and Brightness Temperature for Drought Detection. Adv. Space Res. 1995, 15, 91–100. [Google Scholar] [CrossRef]
- Mansour Badamassi, M.B.; El-Aboudi, A.; Gbetkom, P.G. A New Index to Better Detect and Monitor Agricultural Drought in Niger Using Multisensor Remote Sensing Data. Prof. Geogr. 2020, 72, 421–432. [Google Scholar] [CrossRef]
- Han, H.; Bai, J.; Yan, J.; Yang, H.; Ma, G. A Combined Drought Monitoring Index Based on Multi-Sensor Remote Sensing Data and Machine Learning. Geocarto Int. 2021, 36, 1161–1177. [Google Scholar] [CrossRef]
- Pedregosa, F.; Varoquaux, G.; Gramfort, A.; Michel, V.; Thirion, B.; Grisel, O.; Blondel, M.; Prettenhofer, P.; Weiss, R.; Dubourg, V.; et al. Scikit-Learn: Machine Learning in Python. J. Mach. Learn. Res. 2011, 12, 2825–2830. [Google Scholar]
- Friedman, J.H. Greedy function approximation: A gradient boosting machine. Ann. Stat. 2001, 29, 1189–1232. [Google Scholar] [CrossRef]
- Breiman, L. Random forests. Mach. Learn. 2001, 45, 5–32. [Google Scholar] [CrossRef]
- Zhao, X.; Jing, W.; Zhang, P. Mapping Fine Spatial Resolution Precipitation from Trmm Precipitation Datasets Using an Ensemble Learning Method and Modis Optical Products in China. Sustainability 2017, 9, 1912. [Google Scholar] [CrossRef]
- Chen, T.; Guestrin, C. XGBoost: A Scalable Tree Boosting System. In Proceedings of the 22nd ACM SIGKDD International Conference on Knowledge Discovery and Data Mining, San Francisco, CA, USA, 13–17 August 2016; pp. 785–794. [Google Scholar] [CrossRef]
- Quinlan, J.R. Induction of decision trees. Mach. Learn. 1986, 1, 81–106. [Google Scholar] [CrossRef]
- Smola, A.J.; Schölkopf, B. A Tutorial on Support Vector Regression. Stat. Comput. 2004, 14, 199–222. [Google Scholar] [CrossRef]
- Tibshiranit, R. Regression Shrinkage and Selection Via the Lasso. J. R. Stat. Soc. Ser. B Stat. Methodol. 1996, 58, 267–288. [Google Scholar] [CrossRef]
- van Gerven, M. Computational Foundations of Natural Intelligence. Front. Comput. Neurosci. 2017, 11, 299674. [Google Scholar] [CrossRef]
- Immerzeel, W.W.; Rutten, M.M.; Droogers, P. Spatial Downscaling of TRMM Precipitation Using Vegetative Response on the Iberian Peninsula. Remote Sens. Environ. 2009, 113, 362–370. [Google Scholar] [CrossRef]
- Duan, Z.; Bastiaanssen, W.G.M. First Results from Version 7 TRMM 3B43 Precipitation Product in Combination with a New Downscaling-Calibration Procedure. Remote Sens. Environ. 2013, 131, 1–13. [Google Scholar] [CrossRef]
- Shi, Y.; Song, L. Spatial Downscaling of Monthly TRMM Precipitation Based on EVI and Other Geospatial Variables over the Tibetan Plateau from 2001 to 2012. Mt. Res. Dev. 2015, 35, 180–194. [Google Scholar] [CrossRef]
- Shi, Y.; Song, L.; Xia, Z.; Lin, Y.; Myneni, R.B.; Choi, S.; Wang, L.; Ni, X.; Lao, C.; Yang, F. Mapping Annual Precipitation across Mainland China in the Period 2001–2010 from TRMM3B43 Product Using Spatial Downscaling Approach. Remote Sens. 2015, 7, 5849–5878. [Google Scholar] [CrossRef]
- Retalis, A.; Tymvios, F.; Katsanos, D.; Michaelides, S. Downscaling CHIRPS Precipitation Data: An Artificial Neural Network Modelling Approach. Int. J. Remote Sens. 2017, 38, 3943–3959. [Google Scholar] [CrossRef]
- Fang, J.; Du, J.; Xu, W.; Shi, P.; Li, M.; Ming, X. Spatial Downscaling of TRMM Precipitation Data Based on the Orographical Effect and Meteorological Conditions in a Mountainous Area. Adv. Water Resour. 2013, 61, 42–50. [Google Scholar] [CrossRef]
- Jordan, M.I.; Mitchell, T.M. Machine Learning: Trends, Perspectives, and Prospects. Science 2015, 349, 255–260. [Google Scholar] [CrossRef] [PubMed]
- Maya Gopal, P.S.; Bhargavi, R. Performance Evaluation of Best Feature Subsets for Crop Yield Prediction Using Machine Learning Algorithms. Appl. Artif. Intell. 2019, 33, 621–642. [Google Scholar] [CrossRef]
- Sharifi, A. Yield Prediction with Machine Learning Algorithms and Satellite Images. J. Sci. Food Agric. 2021, 101, 891–896. [Google Scholar] [CrossRef] [PubMed]
- Abbas, F.; Afzaal, H.; Farooque, A.A.; Tang, S. Crop Yield Prediction through Proximal Sensing and Machine Learning Algorithms. Agronomy 2020, 10, 1046. [Google Scholar] [CrossRef]
- Mao, H.; Meng, J.; Ji, F.; Zhang, Q.; Fang, H. Comparison of Machine Learning Regression Algorithms for Cotton Leaf Area Index Retrieval Using Sentinel-2 Spectral Bands. Appl. Sci. 2019, 9, 1459. [Google Scholar] [CrossRef]
- Yuan, H.; Yang, G.; Li, C.; Wang, Y.; Liu, J.; Yu, H.; Feng, H.; Xu, B.; Zhao, X.; Yang, X. Retrieving Soybean Leaf Area Index from Unmanned Aerial Vehicle Hyperspectral Remote Sensing: Analysis of RF, ANN, and SVM Regression Models. Remote Sens. 2017, 9, 309. [Google Scholar] [CrossRef]
- Zhang, L.; Zhang, H.; Niu, Y.; Han, W. Mapping Maizewater Stress Based on UAV Multispectral Remote Sensing. Remote Sens. 2019, 11, 605. [Google Scholar] [CrossRef]
- Ali, S.; Haixing, Z.; Qi, M.; Liang, S.; Ning, J.; Jia, Q.; Hou, F. Monitoring Drought Events and Vegetation Dynamics in Relation to Climate Change over Mainland China from 1983 to 2016. Environ. Sci. Pollut. Res. 2021, 28, 21910. [Google Scholar] [CrossRef] [PubMed]
- Gidey, E.; Dikinya, O.; Sebego, R.; Segosebe, E.; Zenebe, A. Using Drought Indices to Model the Statistical Relationships Between Meteorological and Agricultural Drought in Raya and Its Environs, Northern Ethiopia. Earth Syst. Environ. 2018, 2, 265–279. [Google Scholar] [CrossRef]
- Liu, Q.; Zhang, S.; Zhang, H.; Bai, Y.; Zhang, J. Monitoring Drought Using Composite Drought Indices Based on Remote Sensing. Sci. Total Environ. 2020, 711, 134585. [Google Scholar] [CrossRef]
- Zhang, Z.; Xu, W.; Shi, Z.; Qin, Q. Establishment of a Comprehensive Drought Monitoring Index Based on Multisource Remote Sensing Data and Agricultural Drought Monitoring. IEEE J. Sel. Top. Appl. Earth Obs. Remote Sens. 2021, 14, 2113–2126. [Google Scholar] [CrossRef]













| Municipalities | Provinces | Latitude | Longitude | Altitude |
|---|---|---|---|---|
| Tafedna | Essaouira | 31.11 | –9.80 | 100 m–250 m |
| Sidi Hmad ou Hamed | Essaouira | 31.35 | –9.67 | 100 m–250 m |
| Imi Mqourn | Ait Baha | 30.21 | –9.21 | 200 m–300 m |
| Lqliaa | Inzegane Ait Melloul | 30.31 | –9.54 | 40 m–70 m |
| Drargua | Agadir | 30.45 | –9.48 | 100 m–900 m |
| Sidi Ahmed Ou Abdallah | Taroudannt | 30.34 | –8.61 | 900 m–1100 m |
| Bigoudine | Taroudannt | 30.67 | –9.22 | 700 m–1100 m |
| Bounrar | Taroudannt | 30.31 | –8.77 | 900 m–1100 m |
| Tioughza | Sidi ifni | 29.43 | –9.98 | 150 m–700 m |
| Sidi Bouabdelli | Tiznit | 29.47 | –9.83 | 300 m–800 m |
| Drought Index | Name | Formulation | Data Source |
|---|---|---|---|
| PCI | Precipitation Condition Index | CHIRPS | |
| VCI | Vegetation Condition Index | MODIS | |
| TCI | Temperature Condition Index | MODIS | |
| ETCI | Evapotranspiration Condition Index | MODIS | |
| SMCI | Soil Moisture Condition Index | SMAP |
| Drought Severity | TCI, VCI, PCI, ETCI & VHI Values | CDI Values |
|---|---|---|
| Exceptional drought | VCI ≤ 10 | CDI ≤ 10 |
| Critical drought | 10 < VCI ≤ 20 | 10 < CDI ≤ 20 |
| Moderate drought | 20 < VCI ≤ 30 | 20 < CDI ≤ 30 |
| Slight drought | 30 < VCI ≤ 40 | 30 < CDI ≤ 40 |
| No drought | VCI ≥ 40 | CDI ≥ 40 |
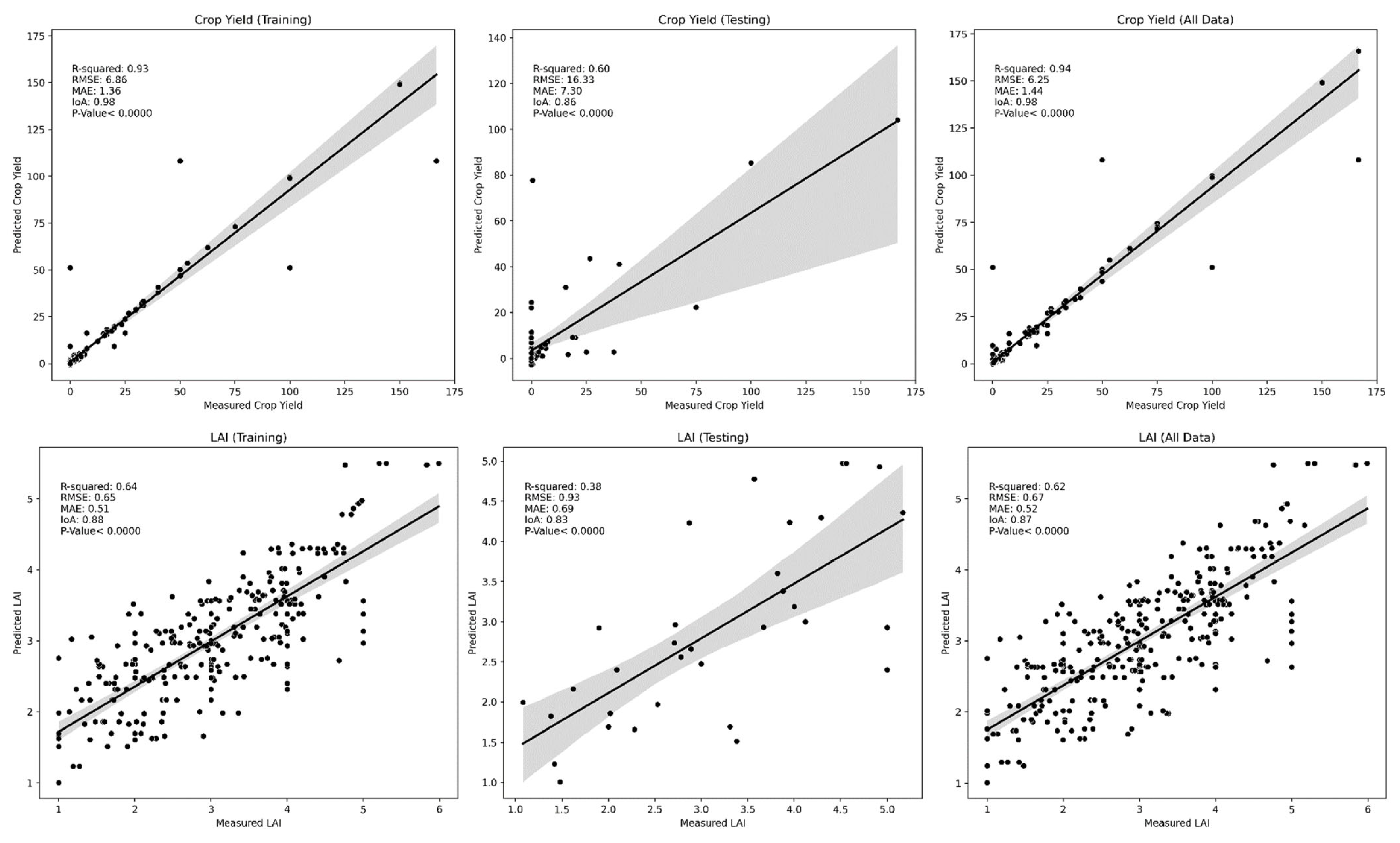
| Trait | Model | Training Set | Testing Set | All Data Set | ||||||
|---|---|---|---|---|---|---|---|---|---|---|
| R2 | RMSE | MAE | R2 | RMSE | MAE | R2 | RMSE | MAE | ||
| Crop Yield | XGBoost | 0.93 | 6.86 | 1.36 | 0.60 | 16.33 | 7.30 | 0.94 | 6.25 | 1.44 |
| GBDT | 0.93 | 6.88 | 1.49 | 0.44 | 19.38 | 8.14 | 0.94 | 6.22 | 1.41 | |
| RF | 0.87 | 9.17 | 3.57 | 0.56 | 17.17 | 7.87 | 0.88 | 8.72 | 3.31 | |
| DT | 0.66 | 15.03 | 6.75 | 0.54 | 17.50 | 7.79 | 0.67 | 14.62 | 6.47 | |
| SVR | 0.21 | 22.78 | 8.20 | 0.25 | 22.29 | 7.80 | 0.33 | 20.94 | 7.95 | |
| ANN | 0.71 | 13.79 | 6.39 | 0.67 | 14.87 | 7.93 | 0.73 | 13.38 | 6.09 | |
| LR | 0.63 | 15.52 | 8.70 | 0.54 | 17.52 | 10.81 | 0.69 | 14.30 | 7.61 | |
| LAI | XGBoost | 0.64 | 0.65 | 0.51 | 0.38 | 0.93 | 0.69 | 0.62 | 0.67 | 0.52 |
| GBDT | 0.64 | 0.68 | 0.54 | 0.38 | 0.94 | 0.70 | 0.62 | 0.67 | 0.52 | |
| RF | 0.63 | 0.66 | 0.52 | 0.41 | 0.90 | 0.66 | 0.62 | 0.68 | 0.53 | |
| DT | 0.58 | 0.70 | 0.56 | 0.34 | 0.96 | 0.72 | 0.57 | 0.72 | 0.56 | |
| SVR | 0.59 | 0.69 | 0.55 | 0.34 | 0.96 | 0.67 | 0.59 | 0.70 | 0.55 | |
| ANN | 0.63 | 0.66 | 0.51 | 0.38 | 0.93 | 0.69 | 0.62 | 0.67 | 0.53 | |
| LR | 0.57 | 0.71 | 0.56 | 0.37 | 0.93 | 0.72 | 0.56 | 0.72 | 0.58 | |
Disclaimer/Publisher’s Note: The statements, opinions and data contained in all publications are solely those of the individual author(s) and contributor(s) and not of MDPI and/or the editor(s). MDPI and/or the editor(s) disclaim responsibility for any injury to people or property resulting from any ideas, methods, instructions or products referred to in the content. |
© 2024 by the authors. Licensee MDPI, Basel, Switzerland. This article is an open access article distributed under the terms and conditions of the Creative Commons Attribution (CC BY) license (https://creativecommons.org/licenses/by/4.0/).
Share and Cite
Mouafik, M.; Fouad, M.; El Aboudi, A. Machine Learning Methods for Predicting Argania spinosa Crop Yield and Leaf Area Index: A Combined Drought Index Approach from Multisource Remote Sensing Data. AgriEngineering 2024, 6, 2283-2305. https://doi.org/10.3390/agriengineering6030134
Mouafik M, Fouad M, El Aboudi A. Machine Learning Methods for Predicting Argania spinosa Crop Yield and Leaf Area Index: A Combined Drought Index Approach from Multisource Remote Sensing Data. AgriEngineering. 2024; 6(3):2283-2305. https://doi.org/10.3390/agriengineering6030134
Chicago/Turabian StyleMouafik, Mohamed, Mounir Fouad, and Ahmed El Aboudi. 2024. "Machine Learning Methods for Predicting Argania spinosa Crop Yield and Leaf Area Index: A Combined Drought Index Approach from Multisource Remote Sensing Data" AgriEngineering 6, no. 3: 2283-2305. https://doi.org/10.3390/agriengineering6030134
APA StyleMouafik, M., Fouad, M., & El Aboudi, A. (2024). Machine Learning Methods for Predicting Argania spinosa Crop Yield and Leaf Area Index: A Combined Drought Index Approach from Multisource Remote Sensing Data. AgriEngineering, 6(3), 2283-2305. https://doi.org/10.3390/agriengineering6030134

