Post-Harvest Fruit Conservation of Eugenia dysenterica DC., Spondias purpurea L., Hancornia speciosa Gomes and Talisia esculenta Radlk
Abstract
1. Introduction
2. Materials and Methods
2.1. Collection of Fruits and Experimental Conditions
2.2. Experimental Design and Treatments
2.3. Physical and Chemical Analysis
2.4. Statistical Analysis
3. Results and Discussion
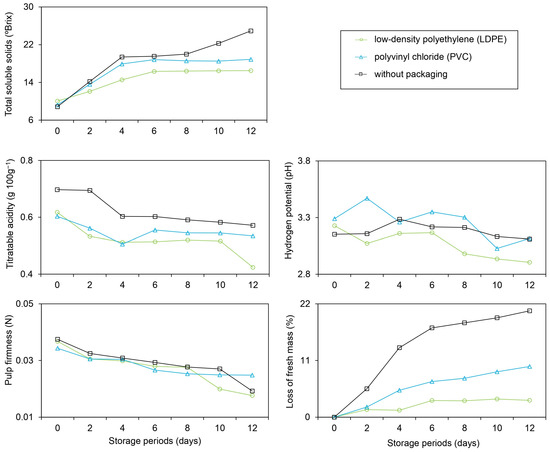
3.1. Cagaita
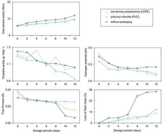
3.2. Seriguela
3.3. Mangaba
3.4. Pitomba
4. Conclusions
Author Contributions
Funding
Data Availability Statement
Acknowledgments
Conflicts of Interest
Appendix A
| Source of Variation | Sum of Squares | Mean Square | F | p-Values | |
|---|---|---|---|---|---|
| Total soluble solids (°Brix) | |||||
| Types of packaging (P) | 4.90 | 2.45 | 7.48 | 0.0013 * | |
| Storage periods (S) | 40.41 | 6.73 | 20.57 | 0.0000 * | |
| Interaction (P × S) | 0.96 | 0.08 | 0.24 | 0.9949 ns | |
| Coefficient of variation (%) | 7.60 | ||||
| General media | 7.53 | ||||
| Titratable acidity (g of citric acid 100 g−1 of pulp) | |||||
| Types of packaging (P) | 0.04 | 0.02 | 7.55 | 0.0012 * | |
| Storage periods (S) | 0.29 | 0.04 | 16.93 | 0.0000 * | |
| Interaction (P × S) | 0.04 | 0.00 | 1.03 | 0.4316 ns | |
| Coefficient of variation (%) | 6.86 | ||||
| General media | 0.78 | ||||
| Hydrogen potential (pH) | |||||
| Types of packaging (P) | 0.03 | 0.01 | 15.06 | 0.0000 * | |
| Storage periods (S) | 0.18 | 0.03 | 32.72 | 0.0000 * | |
| Interaction (P × S) | 0.02 | 0.00 | 1.80 | 0.0682 ns | |
| Coefficient of variation (%) | 1.06 | ||||
| General media | 2.88 | ||||
| Pulp firmness (N) | |||||
| Types of packaging (P) | 0.0004 | 0.0002 | 3.88 | 0.0260 * | |
| Storage periods (S) | 0.0006 | 0.0009 | 17.92 | 0.0000 * | |
| Interaction (P × S) | 0.0004 | 0.0000 | 0.66 | 0.7857 ns | |
| Coefficient of variation (%) | 32.41 | ||||
| General media | 0.0224 | ||||
| Loss of fresh mass (%) | |||||
| Types of packaging (P) | 882.04 | 441.02 | 301.41 | 0.0000 * | |
| Storage periods (S) | 1579.73 | 263.29 | 179.94 | 0.0000 * | |
| Interaction (P × S) | 517.93 | 43.16 | 29.50 | 0.0000 * | |
| Coefficient of variation (%) | 19.25 | ||||
| General media | 6.28 | ||||
| Source of Variation | Sum of Squares | Mean Square | F | p-Values | |
|---|---|---|---|---|---|
| Total soluble solids (°Brix) | |||||
| Types of packaging (P) | 205.27 | 102.63 | 86.87 | 0.0000 * | |
| Storage periods (S) | 1051.61 | 175.27 | 148.35 | 0.0000 * | |
| Interaction (P × S) | 125.96 | 10.50 | 8.89 | 0.0000 * | |
| Coefficient of variation (%) | 6.58 | ||||
| General media | 16.53 | ||||
| Titratable acidity (g of citric acid 100 g−1 of pulp) | |||||
| Types of packaging (P) | 0.14 | 0.07 | 78.83 | 0.0000 * | |
| Storage periods (S) | 0.13 | 0.02 | 21.02 | 0.0000 * | |
| Interaction (P × S) | 0.04 | 0.00 | 2.97 | 0.0026 * | |
| Coefficient of variation (%) | 5.65 | ||||
| General media | 0.56 | ||||
| Hydrogen potential (pH) | |||||
| Types of packaging (P) | 0.54 | 0.27 | 8.20 | 0.0007 * | |
| Storage periods (S) | 0.62 | 0.10 | 3.13 | 0.0099 * | |
| Interaction (P × S) | 0.37 | 0.03 | 0.93 | 0.5285 ns | |
| Coefficient of variation (%) | 5.75 | ||||
| General media | 3.17 | ||||
| Pulp firmness (N) | |||||
| Types of packaging (P) | 0.0004 | 0.0000 | 1.97 | 0.1489 ns | |
| Storage periods (S) | 0.0019 | 0.0003 | 22.39 | 0.0000 * | |
| Interaction (P × S) | 0.0002 | 0.0000 | 1.38 | 0.2022 ns | |
| Coefficient of variation (%) | 13.24 | ||||
| General media | 0.0281 | ||||
| Loss of fresh mass (%) | |||||
| Types of packaging (P) | 1848.10 | 924.05 | 1949.37 | 0.0000 * | |
| Storage periods (S) | 1288.15 | 214.69 | 452.91 | 0.0000 * | |
| Interaction (P × S) | 541.58 | 45.13 | 95.21 | 0.0000 * | |
| Coefficient of variation (%) | 9.59 | ||||
| General media | 7.18 | ||||
| Source of Variation | Sum of Squares | Mean Square | F | p-Values | |
|---|---|---|---|---|---|
| Total soluble solids (°Brix) | |||||
| Types of packaging (P) | 22.46 | 11.23 | 30.19 | 0.0000 * | |
| Storage periods (S) | 113.62 | 18.94 | 50.90 | 0.0000 * | |
| Interaction (P × S) | 8.23 | 0.69 | 1.85 | 0.0609 ns | |
| Coefficient of variation (%) | 4.94 | ||||
| General media | 12.34 | ||||
| Titratable acidity (g of citric acid 100 g−1 of pulp) | |||||
| Types of packaging (P) | 0.08 | 0.04 | 4.97 | 0.0101 * | |
| Storage periods (S) | 0.45 | 0.07 | 9.46 | 0.0000 * | |
| Interaction (P × S) | 0.10 | 0.00 | 1.11 | 0.3703 ns | |
| Coefficient of variation (%) | 7.91 | ||||
| General media | 1.12 | ||||
| Hydrogen potential (pH) | |||||
| Types of packaging (P) | 0.20 | 0.10 | 4.80 | 0.0117 * | |
| Storage periods (S) | 1.64 | 0.27 | 12.78 | 0.0000 * | |
| Interaction (P × S) | 0.25 | 0.02 | 0.98 | 0.4854 ns | |
| Coefficient of variation (%) | 4.28 | ||||
| General media | 3.41 | ||||
| Pulp firmness (N) | |||||
| Types of packaging (P) | 0.0005 | 0.0003 | 33.24 | 0.0000 * | |
| Storage periods (S) | 0.0030 | 0.0005 | 62.30 | 0.0000 * | |
| Interaction (P × S) | 0.0010 | 0.0000 | 10.01 | 0.0000 * | |
| Coefficient of variation (%) | 11.35 | ||||
| General media | 0.0249 | ||||
| Loss of fresh mass (%) | |||||
| Types of packaging (P) | 2633.86 | 1316.93 | 756.29 | 0.0000 * | |
| Storage periods (S) | 4171.30 | 695.22 | 399.25 | 0.0000 * | |
| Interaction (P × S) | 2043.82 | 170.32 | 97.81 | 0.0000 * | |
| Coefficient of variation (%) | 15.01 | ||||
| General media | 8.79 | ||||
| Source of Variation | Sum of Squares | Mean Square | F | p-Values | |
|---|---|---|---|---|---|
| Total soluble solids (°Brix) | |||||
| Types of packaging (P) | 26.09 | 13.05 | 25.97 | 0.0000 * | |
| Storage periods (S) | 27.45 | 4.58 | 9.11 | 0.0000 * | |
| Interaction (P × S) | 2.39 | 0.20 | 0.40 | 0.9597 ns | |
| Coefficient of variation (%) | 2.85 | ||||
| General media | 24.87 | ||||
| Titratable acidity (g of citric acid 100 g−1 of pulp) | |||||
| Types of packaging (P) | 0.06 | 0.03 | 15.10 | 0.0000 * | |
| Storage periods (S) | 8.73 | 1.46 | 729.43 | 0.0000 * | |
| Interaction (P × S) | 0.42 | 0.04 | 17.68 | 0.0000 * | |
| Coefficient of variation (%) | 4.44 | ||||
| General media | 1.01 | ||||
| Hydrogen potential (pH) | |||||
| Types of packaging (P) | 0.42 | 0.21 | 13.99 | 0.0000 * | |
| Storage periods (S) | 0.29 | 0.05 | 3.27 | 0.0075 * | |
| Interaction (P × S) | 0.25 | 0.02 | 1.41 | 0.1861 ns | |
| Coefficient of variation (%) | 3.31 | ||||
| General media | 3.68 | ||||
| Pulp firmness (N) | |||||
| Types of packaging (P) | 0.0020 | 0.0010 | 285.37 | 0.0000 * | |
| Storage periods (S) | 0.0031 | 0.0005 | 145.05 | 0.0000 * | |
| Interaction (P × S) | 0.0006 | 0.0001 | 14.72 | 0.0000 * | |
| Coefficient of variation (%) | 8.37 | ||||
| General media | 0.0224 | ||||
| Loss of fresh mass (%) | |||||
| Types of packaging (P) | 2942.98 | 1471.49 | 17,001.90 | 0.0000 * | |
| Storage periods (S) | 1539.92 | 256.65 | 2965.42 | 0.0000 * | |
| Interaction (P × S) | 673.04 | 56.09 | 648.03 | 0.0000 * | |
| Coefficient of variation (%) | 3.31 | ||||
| General media | 8.89 | ||||
References
- Carvalho, A.V.; do Nascimento, W.M.O. Caracterização Físico-Química e Química da Polpa de Frutos de Muruci. Embrapa Amazônia Oriental-Boletim de Pesquisa e Desenvolvimento (INFOTECA-E). 2016. Available online: https://www.infoteca.cnptia.embrapa.br/infoteca/bitstream/doc/1054673/1/BOLETIMPD108OnLine.pdf (accessed on 15 June 2024).
- Reges, B.M.; Batista, E.M.; do Nascimento, A.É.J.; dos Reis Lemos, L.M.; da Silva, E.; de Souza, P.A. Pós-colheita de Annona squamosa L. recobertas com filme PVC. Rev. Verde Agroecol. Desenvolv. Sustentável 2018, 13, 445–451. [Google Scholar] [CrossRef]
- Ayala-Zavala, J.F.; Wang, S.Y.; Wang, C.Y.; González-Aguilar, G.A. Effect of storage temperatures on antioxidant capacity and aroma compounds in strawberry fruit. LWT-Food Sci. Technol. 2004, 37, 687–695. [Google Scholar] [CrossRef]
- Maryam, A.; Anwar, R.; Malik, A.U.; Khan, S.A. Influence of macro-perforated polyethylene terephthalate and low-density polyethylene packaging films on quality and storability of strawberries. J. Food Process. Preserv. 2021, 45, e15068. [Google Scholar] [CrossRef]
- Zhao, X.; Xia, M.; Wei, X.; Xu, C.; Luo, Z.; Mao, L. Consolidated cold and modified atmosphere package system for fresh strawberry supply chains. LWT 2019, 109, 207–215. [Google Scholar] [CrossRef]
- Singh, R.; Giri, S.K.; Kotwaliwale, N. Shelf-life enhancement of green bell pepper (Capsicum annuum L.) under active modified atmosphere storage. Food Packag. Shelf Life 2014, 1, 101–112. [Google Scholar] [CrossRef]
- Oshiro, A.M.; Dresch, D.M.; Scalon, S.P.Q. Atmosfera modificada e temperaturas de armazenamento na conservação pós-colheita de guavira (Campomanesia adamantium Camb.). J. BioSci. 2013, 29, 1421–1430. [Google Scholar]
- Edusei, V.O.; Ofosu-Anim, J. Biochemical changes in green chilli pepper fruits during storage in polymeric films. J. Res. Agric. 2013, 2, 187–192. [Google Scholar]
- Sanches, A.G.; da Silva, M.B.; Moreira, E.G.S.; dos Santos, E.X. Delay maturation and post-harvest quality of seriguela exposed by ultraviolet irradiation. Nativa 2018, 6, 225–232. [Google Scholar] [CrossRef]
- Soethe, C.; Mattos, L.M.; Steffens, C.A. Armazenamento refrigerado de pimenta dedo-de-moça ‘BRS Mari’ em embalagem polimérica. R. Cienc. Agrovet. 2017, 16, 214–220. [Google Scholar] [CrossRef][Green Version]
- Barbosa, L.A.; Dreger, A.A.; Schneider, E.L.; Morisso, F.D.P.; Santana, R.M. Polietileno de baixa densidade—PEBD: Mercado, produção, principais propriedades e aplicações. Rev. Espac. 2017, 38, 1–13. [Google Scholar]
- Chitarra, M.I.F.; Chitarra, A.B. Pós-Colheita de Frutos e Hortaliças: Fisiologia e Manuseio, 2nd ed.; UFLA: Lavras, Brazil, 2005; 783p. [Google Scholar]
- Alvares, C.A.; Stape, J.L.; Sentelhas, P.C.; Gonçalves, J.D.M.; Sparovek, G. Köppen’s climate classification map for Brazil. Meteorol. Z. 2013, 22, 711–728. [Google Scholar] [CrossRef]
- Costa, J.O.; Coelho, R.D.; Guimarães, E.A.; Quiloango-Chimarro, C.A.; Fernandes, A.L.T. Assessing the water use efficiency of irrigated fruit crops in semi-arid regions of Brazil using remote sensing and meteorological data. Irrig. Drain. 2024, 73, 974–987. [Google Scholar] [CrossRef]
- Cardoso, L.M.; Martino, H.S.D.; Moreira, A.V.B.; Ribeiro, S.M.R.; Pinheiro-Sant’ana, H.M. Cagaita (Eugenia dysenterica DC.) of the Cerrado of Minas Gerais, Brazil: Physical and Chemical characterization, carotenoids and vitamins. Food Res. Int. 2011, 44, 2151–2154. [Google Scholar] [CrossRef]
- Camilo, Y.M.V.; Souza, E.R.B.; Vera, R.; Naves, R.V. Caracterização de frutos e seleção de progênies de cagaiteiras (Eugenia dysenterica DC.). Científica 2014, 42, 1–10. [Google Scholar] [CrossRef][Green Version]
- Grigio, M.L.; Neves, L.C.; Tosin, J.M.; Nascimento, C.R.; Chagas, E.A.; Vieites, R.L. Efeito da modificação atmosférica em goiabas var. Paluma na redução de danos mecânicos em pós-colheita. Rev. Agro Mbiente-Line 2011, 5, 57–65. [Google Scholar] [CrossRef]
- Mizobutsi, G.P.; Silva, J.M.D.; Mizobutsi, E.H.; Rodrigues, M.L.M.; Lopes, R.S.; Fernandes, M.B.; Oliveira, F.S. Conservação de pinha com uso de atmosfera modificada e refrigeração. Rev. Ceres 2012, 59, 751–757. [Google Scholar] [CrossRef]
- Vespucci, I.L.; Silva, D.D.A.; Machado, V.S.; Campos, A.J. Conservação de maracujá silvestre sob atmosfera modificada passiva. Rev. Eletr. Educ. Fac. Araguaia 2018, 13, 32–43. [Google Scholar]
- Almeida, R.R.; Morgado, C.M.A.; Almeida, V.F.R.; Nascimento, L.M.; Gomes, N.R.; de Campos, A.J. Refrigerated storage of pitombas subjected to different packaging. Comun. Sci. 2020, 11, 3256. [Google Scholar] [CrossRef]
- Araújo, F.F.; Neri-Numa, I.A.; Farias, D.P.; Cunha, G.R.M.C.; Pastore, G.M. Wild Brazilian species of Eugenia genera (Myrtaceae) as an innovation hotspot for food and pharmacological purposes. Food Res. Int. 2019, 121, 57–72. [Google Scholar] [CrossRef]
- Braz, A.J.; Nascente, L.P.; Corrêa, N.C.; Rocha, R.A.; Souza, E.R.B.; Siqueira, A.P.S. Influence of coverage based on biopolymers on the maturation of cagaita (Eugenia dysenterica). J. Neotrop. Agric. 2020, 7, 62–65. [Google Scholar] [CrossRef]
- Dantas, A.L.; Silva, S.D.M.; Dantas, R.L.; Sousa, A.S.B.D.; Schunemann, A.P.P. Desenvolvimento, fisiologia da maturação e indicadores do ponto de colheita de frutos da umbugueleira (Spondias sp.). Rev. Bras. Frut. 2016, 38, 33–42. [Google Scholar] [CrossRef]
- Silva, Q.J.D.; Figueiredo, F.J.D.; Lima, V.L.A.G.D. Características físicas e químicas de cirigueleiras cultivadas na Zona da Mata Norte de Pernambuco. Rev. Ceres 2016, 63, 285–290. [Google Scholar] [CrossRef]
- Santos, P.R.G.; Cardoso, L.D.M.; Bedetti, S.D.F.; Hamacek, F.R.; Moreira, A.V.B.; Martino, H.S.D.; Pinheiro-Sant’ana, H.M. Geleia de cagaita (Eugenia dysenterica DC.): Desenvolvimento, caracterização microbiológica, sensorial, química e estudo da estabilidade. Rev. Inst. Adolfo Lutz 2012, 71, 281–290. [Google Scholar] [CrossRef]
- Siqueira, C.L.; Lopes, O.P.; Batista, P.S.C.; Rodrigues, M.L.M.; Serpa, M.F.P.; MIzobutsi, G.P.; Mota, W.F. Atmosfera modificada e refrigeração na conservação pós-colheita de bananas ‘Tropical’ e ‘Thap Maeo’. Nativa 2017, 5, 157–162. [Google Scholar] [CrossRef]
- Anthon, G.E.; Sekine, Y.; Watanabe, N. Thermal inactivation of pectin methylesterase, polygalacturonase, and peroxidase in tomato juice. J. Agric. Food Chem. 2002, 50, 6153–6159. [Google Scholar] [CrossRef]
- Silva, P.A.; de Abreu, C.M.P.; Correa, A.D.; Asmar, S.A. Modificações nas atividades da poligalacturonase e pectinametilesterase em morangos armazenados à temperatura ambiente. Ciência Agrotecnologia 2009, 33, 1953–1958. [Google Scholar] [CrossRef]
- Asif, M.H.; Nath, P. Expression of multiple forms of polygalacturonase gene during ripening in banana fruit. Plant Phys. Biochem. 2005, 43, 177–184. [Google Scholar] [CrossRef]
- Martinotto, C.; Paiva, R.; Soares, P.F.; Santos, D.B.; Nogueira, C.R. Cagaiteira (Eugenia dysenterica DC). Boletim Técnico—N°. 78. Lavras—MG. 2008, pp. 1–21. Available online: http://repositorio.ufla.br/bitstream/1/48179/1/BT%2078.pdf (accessed on 15 June 2024).
- Sanches, A.G.; Silva, M.B.; Moreira, E.G.S.; Cordeiro, A.M. Relação entre a embalagem e a temperatura de armazenamento na conservação do pimentão vermelho cv. Rubi. Acta Iguazu 2015, 4, 1–12. [Google Scholar]
- Freire, E.C.B.; Silva, F.V.G.; Santos, A.F.; Medeiros, I.F. Avaliação da qualidade de seriguela, Spondias purpurea, L., em diferentes estádios de maturação. Rev. Verde Agroecol. Desenvolv. Sustentável 2011, 6, 11. [Google Scholar]
- Aroucha, E.M.M. Qualidade pós-colheita da cajarana em diferentes estádios de maturação durante armazenamento refrigerado. Rev. Bras. Frut. 2012, 34, 391–399. [Google Scholar] [CrossRef][Green Version]
- Santos, A.E.O.; Assis, J.S.; Batista, P.F.; Santos, O.O. Utilização de atmosfera modificada na conservação pós-colheita de mangas ‘Tommy Atkins’. Rev. Semiárido Visu 2011, 1, 10–17. [Google Scholar] [CrossRef]
- Siqueira, C.L.; Rodrigues, M.L.M.; Mizobutsi, G.P.; Santos, P.G.; Mota, W.F.; Mizobutsi, E.H.; Oliveira, G.B. Características físico-químicas, análise sensorial e conservação de frutos de cultivares de bananeira resistente à sigatoca-negra. Rev. Ceres 2010, 57, 673–678. [Google Scholar] [CrossRef]
- Lima, M.S.S.; Dantas, A.C.V.L.; Fonseca, A.A.O.; Barroso, J.P. Caracterização de frutos de genótipos selecionados de umbu-cajazeira (Spondias sp.). Interciencia 2015, 40, 311–316. [Google Scholar]
- Minas, I.S.; Crisosto, G.M.; Holcroft, D.; Vasilakakis, M.; Crisosto, C.H. Postharvest handling of plums (Prunus salicina Lindl.) at 10 °C to save energy and preserve fruit quality using an innovative application system of 1-MCP. Posthar. Biol. Technol. 2013, 76, 1–9. [Google Scholar] [CrossRef]
- Menezes, P.H.S.; Souza, A.A.; Silva, E.S.; Medeiros, R.D.; Barbosa, N.C.; Soria, D.G. Influência do estádio de maturação na qualidade físico-química de frutos de umbu (Spondias tuberosa). Sci. Agropec. 2017, 8, 73–78. [Google Scholar]
- Cia, P.; Benato, E.A.; Signist, J.M.M.; Sarantopoulos, C.; Oliveira, L.M.; Padula, M. Modified atmosphere packaging for extending the storage life of ‘Fuyu’ persimmon. Posthar. Biol. Technol. 2006, 42, 228–234. [Google Scholar] [CrossRef]
- Kluge, R.A.; Preczenhak, A.P. Betalaínas Em beterraba minimamente processada: Perdas e formas de preservação. Rev. Iberoam. Tecnol. Postcosecha 2016, 17, 175–192. [Google Scholar]
- Vieira, E.L. Apontamentos e Práticas de Fisiologia Pós-Colheita de Frutos e Hortaliças; Centro de Ciências Agrárias, Ambientais e Biológicas–CCAAB. Universidade Federal do Recôncavo da Bahia–UFRB: Cruz das Almas, Brazil, 2019. [Google Scholar]
- Campos, R.P.; Knoch, B.; Hiane, P.A.; Ramos, M.I.L.; Ramos Filho, M.M. 1-MCP on Mangaba stored at ambiental temperature and 11 °C. Rev. Bras. Frut. 2012, 33, 206–212. [Google Scholar] [CrossRef]
- Nascimento, R.S.; Cardoso, J.A.; Cocozza, F.D. Physical and physicochemical characterization of mangabeira fruits (Hancornia speciosa Gomes) in Western Bahia. Rev. Bras. Eng. Agric. Ambien. 2014, 18, 856–860. [Google Scholar] [CrossRef]
- Sacramento, C.K.; Matos, C.B.; Souza, C.N.; Barretto, W.S.; Faria, J.C. Características físicas, físico-químicas e químicas de cajás oriundos de diversos municípios da região sul da Bahia. Magistra 2007, 19, 283–289. [Google Scholar]
- Perfeito, D.G.A.; Carvalho, N.; Lopes, M.C.M.; Schmidt, F.L. Caracterização de frutos de mangabas (Hancornia speciosa Gomes) e estudo de processos de extração da polpa. Rev. Agric. Neotrop. 2015, 2, 1–7. [Google Scholar] [CrossRef]
- Azeredo, H.M.C.; Brito, E.S. Tendências em conservação de alimentos. In Fundamentos de Estabilidade de Alimentos; Azeredo, H.M.C., Ed.; Embrapa Agroindústria Tropical: Fortaleza, Brazil, 2004; pp. 135–150. [Google Scholar]
- Mariano-Nasser, F.; Boliani, A.; Nasser, M.; Alves-Prado, H.; Pagliarini, M.; Moreira, E. Modified atmosphere in post-harvest mangaba fruit conservation in three maturity degrees. Colloq. Agrar. 2018, 14, 111–121. [Google Scholar] [CrossRef][Green Version]
- Gupta, K.J.; Zabalza, A.; Van Dongen, J.T. Regulation of respiration when the oxygen availability changes. Physiol. Plant. 2009, 137, 383–391. [Google Scholar] [CrossRef] [PubMed]
- Oliveira Junior, L.F.G.; Coelho, E.M.; Coelho, F.C. Caracterização pós-colheita de mamão armazenado em atmosfera modificada. Rev. Bras. Eng. Agric. Ambien. 2006, 10, 660–664. [Google Scholar] [CrossRef]
- Brackmann, A.; Weber, A.; Giehl, R.F.H.; Einsermann, A.C.; Sautter, C.K.; Gonçalves, E.D.; Antunes, L.E.C. Armazenamento de mirtilo ‘Bluegem’ em atmosfera controlada e refrigerada com absorção e inibição do etileno. Rev. Ceres 2010, 57, 6–11. [Google Scholar] [CrossRef]
- Oliveira, M.E.B.; Guerra, N.B.; Maia, A.H.N.; Alves, R.E.; Matos, N.M.S.; Sampaio, F.G.M.; Lopes, M.M.T. Características Químicas e Físico-Químicas de pequi da Chapada do Araripe. Rev. Bras. Frut. 2010, 32, 114–125. [Google Scholar] [CrossRef]
- Seleguini, A.; Faria Júnior, M.J.D.A.; Seno, S.; Santos, J.I.; Silva, K.S.D.; Lemos, O.L. Vida útil e qualidade de frutos de tomateiros tratados com paclobutrazol. Rev. Ceres 2011, 58, 470–475. [Google Scholar] [CrossRef]
- Mendonça, V.Z.; Vieites, R.L. Physical-chemical properties of exotic and native Brazilian fruits. Acta Agronómica 2019, 68, 175–181. [Google Scholar] [CrossRef]
- Neves, L.C.; Rodrigues, A.C.; Vieites, R.L. Polietileno de baixa densidade (PEBD) na conservação póscolheita de figos cv “Roxo de Valinhos”. Rev. Bras. Frut. 2002, 24, 57–62. [Google Scholar] [CrossRef]
- Queiroga, A.X.; Costa, F.B.; Santiago, M.D.M.; Sousa, F.F.; Santos, K.P.; da Silva, J.L.; Filho, R.B. Physical, Chemical-Physical Characterization and Determination of Bioactives Compounds of the Pimtobeira Fruits (Talisia esculenta). J. Agric. Sci. 2019, 11, 303–312. [Google Scholar] [CrossRef]
- Vasconcelos, L.H.C.; Evangelista, Z.R.; Campos, A.J.; Teixeira, I.R. Diferentes embalagens na conservação pós-colheita de Cajá-Manga. Rev. Espac. 2017, 38, 1–10. [Google Scholar]
- Kader, A.A. Posthavest biology and technology: An overview. In Posthavest Technology of Horticultural Crops, 3rd ed.; University of California: Berkeley, CA, USA, 2002; pp. 435–461. [Google Scholar]
- Kader, A.A. Future of Modified Atmosphere Research. Acta Hortic. 2010, 857, 212–217. [Google Scholar] [CrossRef]









Disclaimer/Publisher’s Note: The statements, opinions and data contained in all publications are solely those of the individual author(s) and contributor(s) and not of MDPI and/or the editor(s). MDPI and/or the editor(s) disclaim responsibility for any injury to people or property resulting from any ideas, methods, instructions or products referred to in the content. |
© 2024 by the authors. Licensee MDPI, Basel, Switzerland. This article is an open access article distributed under the terms and conditions of the Creative Commons Attribution (CC BY) license (https://creativecommons.org/licenses/by/4.0/).
Share and Cite
Sobral, R.R.S.; Mizobutsi, G.P.; Mizobutsi, E.H.; Aguiar, F.S.; Almeida, L.B.d.; Almeida, L.B.; Santos, R.C.d.; Oliveira, L.M.d.; Souza, D.B.; Costa, J.d.O. Post-Harvest Fruit Conservation of Eugenia dysenterica DC., Spondias purpurea L., Hancornia speciosa Gomes and Talisia esculenta Radlk. AgriEngineering 2024, 6, 2306-2325. https://doi.org/10.3390/agriengineering6030135
Sobral RRS, Mizobutsi GP, Mizobutsi EH, Aguiar FS, Almeida LBd, Almeida LB, Santos RCd, Oliveira LMd, Souza DB, Costa JdO. Post-Harvest Fruit Conservation of Eugenia dysenterica DC., Spondias purpurea L., Hancornia speciosa Gomes and Talisia esculenta Radlk. AgriEngineering. 2024; 6(3):2306-2325. https://doi.org/10.3390/agriengineering6030135
Chicago/Turabian StyleSobral, Raquel Rodrigues Soares, Gisele Polete Mizobutsi, Edson Hiydu Mizobutsi, Flávia Soares Aguiar, Luciele Barboza de Almeida, Lucicleia Borges Almeida, Rayane Carneiro dos Santos, Lucas Maciel de Oliveira, Diego Batista Souza, and Jéfferson de Oliveira Costa. 2024. "Post-Harvest Fruit Conservation of Eugenia dysenterica DC., Spondias purpurea L., Hancornia speciosa Gomes and Talisia esculenta Radlk" AgriEngineering 6, no. 3: 2306-2325. https://doi.org/10.3390/agriengineering6030135
APA StyleSobral, R. R. S., Mizobutsi, G. P., Mizobutsi, E. H., Aguiar, F. S., Almeida, L. B. d., Almeida, L. B., Santos, R. C. d., Oliveira, L. M. d., Souza, D. B., & Costa, J. d. O. (2024). Post-Harvest Fruit Conservation of Eugenia dysenterica DC., Spondias purpurea L., Hancornia speciosa Gomes and Talisia esculenta Radlk. AgriEngineering, 6(3), 2306-2325. https://doi.org/10.3390/agriengineering6030135

