The Adjusting Effects of Trees on Cfa-Climate Campus Acoustic Environments and Thermal Comforts in the Summer
Abstract
1. Introduction
- A well-forested area is found as the sample for investigating vegetation effects on environment quality and subjective sensations towards them;
- A few points (sites) are chosen around the area with certain properties for field surveys (measurement);
- The environmental qualities and physical characteristics of all selected points are measured, and subjective responses towards the current environment quality are collected through questionnaires;
- Data of various aspects are associated with each other to determine their interactive statistical correlations;
- Proper strategies in urban planning and forestry are proposed for improving local environment quality and subjective comfort levels.
2. Methodology
2.1. Study Area
2.2. Site Selection
2.3. Environmental Quality Parameters
2.3.1. Thermal Environment
2.3.2. Sound Environment
2.3.3. Physical Properties of Sites Affecting Environmental Quality
2.4. Field Measurement



2.5. Data Analysis
3. Results
3.1. Data Description
3.1.1. Thermal Comfort Index Ranges of All Subpoints
3.1.2. LAeq Ranges of All Subpoints
3.2. Multiple Analyses for Physical Factors Affecting Environmental Qualities
3.2.1. Artificial Neural Network Models for ΔPET and ΔLAeq
3.2.2. Linear/Polynomial Effects of Significant Factors
3.3. General Data Analyses
3.4. Thermal and Acoustic Responses towards Various Acoustic Conditions
3.4.1. Correlation between LAeq and TSV in Different Voice Types
3.4.2. Correlation between LAeq and ASV in Different Voice Types
3.4.3. Correlation between LAeq and ACV in Different Voice Types
3.5. Trees Meeting People’s Needs
4. Discussion
5. Conclusions
- The PET and LAeq values in the shade of trees were lower than those in open space, and TCD was the most important environmental factor affecting ΔPET and ΔLAeq; the decrease in PET and LAeq was stronger with increases in the TCD.
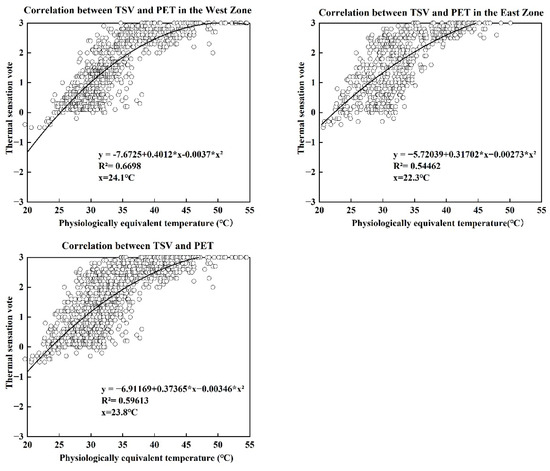
- The average outdoor neutral temperature of Mianyang in summer is 23.8, the neutral sound is about 52.2, and the preferred sound is 53.7.
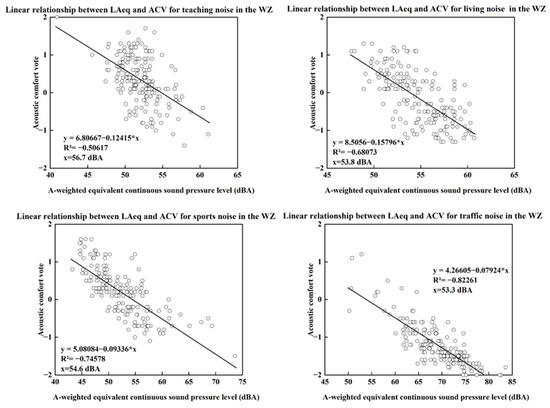
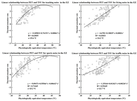
- Under different background sounds, the lowest NPET was 24.2 °C for traffic and sports, and the lowest NLAeq and preferred sound for traffic were 46.9 dBA and 51.7 dBA, respectively.
- Trees have a strong cooling and noise-reduction effect, which is crucial for daily living.
Author Contributions
Funding
Institutional Review Board Statement
Data Availability Statement
Conflicts of Interest
Abbreviations
| OTC | outdoor thermal comfort |
| EQP | environmental quality in physics |
| NT(s) | neutral temperature(s) (°C) |
| SWUST | Southwest University of Science and Technology |
| A/TSV | acoustic/thermal sensation vote [-] |
| ACV | acoustic comfort vote [-] |
| PET | physiologically equivalent temperature (°C) |
| NPET | neutral physiologically equivalent temperature (°C) |
| LAeq | A-weighted equivalent continuous sound pressure level (dBA) |
| NLAeq | neutral A-weighted equivalent continuous sound pressure level (dBA) |
| PLAeq | preferred A-weight equivalent continuous sound pressure level (dBA) |
| Ta | air temperature (°C) |
| Tg | globe temperature (°C) |
| Va | air velocity (m/s) |
| MRT | mean radiant temperature (°C) |
| MLR | multiple linear regression [-] |
| RH | relative humidity (%) |
| SVF | sky view factor [-] |
| W/EZ | West/East Zone |
| TCD | tree crown diameter (m) |
| AAC | acoustic absorption coefficient [-] |
| NI | normalised importance (%) |
| ANN | artificial neural network |
| LAI | leaf area index |
| UTCI | universal thermal climate index (°C) |
References
- Geng, Y.; Hong, B.; Du, M.; Yuan, T.; Wang, Y. Combined effects of visual-acoustic-thermal comfort in campus open spaces: A pilot study in China’s cold region. Build. Environ. 2022, 209, 108658. [Google Scholar] [CrossRef]
- Cleary-Gaffney, M.; Espey, B.; Coogan, A.N. Association of perceptions of artificial light-at-night, light-emitting device usage and environmental noise appraisal with psychological distress, sleep quality and chronotype: A cross sectional study. Heliyon 2022, 8, e11284. [Google Scholar] [CrossRef] [PubMed]
- Nitidara NP, A.; Sarwono, J.; Suprijanto, S.; Soelami, F.N. The multisensory interaction between auditory, visual, and thermal to the overall comfort in public open space: A study in a tropical climate. Sustain. Cities Soc. 2022, 78, 103622. [Google Scholar] [CrossRef]
- Wu, H.; Wu, Y.; Sun, X.; Liu, J. Combined effects of acoustic, thermal, and illumination on human perception and performance: A review. Build. Environ. 2020, 169, 106593. [Google Scholar] [CrossRef]
- Zierke, O.; Goerke, P.; Maier, J.; Hoermann, H.-J. Influence of personal control on thermal comfort: A psychological effect or just the “right” temperature? Energy Build. 2023, 295, 113334. [Google Scholar] [CrossRef]
- Lam, C.K.C.; Hang, J.; Zhang, D.; Wang, Q.; Ren, M.; Huang, C. Effects of short-term physiological and psychological adaptation on summer thermal comfort of outdoor exercising people in China. Build. Environ. 2021, 198, 107877. [Google Scholar] [CrossRef]
- Dong, Y.; Shi, Y.; Liu, Y.; Rupp, R.F.; Toftum, J. Perceptive and physiological adaptation of migrants with different thermal experiences: A long-term climate chamber experiment. Build. Environ. 2022, 211, 108727. [Google Scholar] [CrossRef]
- Zhang, J.; Gou, Z. Tree crowns and their associated summertime microclimatic adjustment and thermal comfort improvement in urban parks in a subtropical city of China. Urban For. Urban Green. 2021, 59, 126912. [Google Scholar] [CrossRef]
- Zhu, X.-F.; Lau, S.-K.; Lu, Z.; Ow, L.F. Enhancement of sound absorption via vegetation with a metasurface substrate. Appl. Acoust. 2020, 165, 107309. [Google Scholar] [CrossRef]
- Tochaiwat, K.; Rinchumphu, D.; Sundaranaga, C.; Pomsurin, N.; Chaichana, C.; Khuwuthyakorn, P.; Phichetkunbodee, N.; Chan, Y.-C. The potential of a tree to increase comfort hours in campus public space design. Energy Rep. 2023, 9, 184–193. [Google Scholar] [CrossRef]
- Bowler, D.E.; Buyung-Ali, L.; Knight, T.M.; Pullin, A.S. Urban greening to cool towns and cities: A systematic review of the empirical evidence. Landsc. Urban Plan. 2010, 97, 147–155. [Google Scholar] [CrossRef]
- de Abreu-Harbich, L.V.; Labaki, L.C.; Matzarakis, A. Effect of tree planting design and tree species on human thermal comfort in the tropics. Landsc. Urban Plan. 2015, 138, 99–109. [Google Scholar] [CrossRef]
- Cheung, P.K.; Jim, C.Y.; Hung, P.L. Preliminary study on the temperature relationship at remotely-sensed tree canopy and below-canopy air and ground surface. Build. Environ. 2021, 204, 108169. [Google Scholar] [CrossRef]
- Meili, N.; Acero, J.A.; Peleg, N.; Manoli, G.; Burlando, P.; Fatichi, S. Vegetation cover and plant-trait effects on outdoor thermal comfort in a tropical city. Build. Environ. 2021, 195, 107733. [Google Scholar] [CrossRef]
- Li, Z.; Feng, X.; Sun, J.; Li, C.; Yu, W.; Fang, Z. STMRT: A simple tree canopy radiative transfer model for outdoor mean radiant temperature. Build. Environ. 2023, 228, 109846. [Google Scholar] [CrossRef]
- Klemm, W.; Heusinkveld, B.G.; Lenzholzer, S.; Jacobs, M.H.; Van Hove, B. Psychological and physical impact of urban green spaces on outdoor thermal comfort during summertime in The Netherlands. Build. Environ. 2015, 83, 120–128. [Google Scholar] [CrossRef]
- Zhao, N.; Prieur, J.-F.; Liu, Y.; Kneeshaw, D.; Lapointe, E.M.; Paquette, A.; Zinszer, K.; Dupras, J.; Villeneuve, P.J.; Rainham, D.G.; et al. Tree characteristics and environmental noise in complex urban settings—A case study from Montreal, Canada. Environ. Res. 2021, 202, 111887. [Google Scholar] [CrossRef]
- Gilbert, K.E. Book Review. J. Sound Vib. 2008, 315, 367. [Google Scholar] [CrossRef]
- Ow, L.F.; Ghosh, S. Urban cities and road traffic noise: Reduction through vegetation. Appl. Acoust. 2017, 120, 15–20. [Google Scholar] [CrossRef]
- Baldauf, R. Roadside vegetation design characteristics that can improve local, near-road air quality. Transp. Res. Part D Transp. Environ. 2017, 52, 354–361. [Google Scholar] [CrossRef]
- Zhang, J.; Gou, Z.; Zhang, F.; Shutter, L. A study of treecrown characteristics andtheir cooling effects in asubtropical city ofAustralia. Ecol. Eng. 2020, 158, 106027. [Google Scholar] [CrossRef]
- ISO 7730; Ergonomics of the Thermal Environment Analytical Determination and Interpretation of Thermal Comfort Using Calculation of the PMV and PPD Indices and Local Thermal Comfort Criteria. International Standard Organization: Geneva, Switzerland, 2005.
- ASHRAE Standard 55-2004; Thermal Environmental Conditions for Human Occupancy. American Society of Heating, Refrigerating and Air-Conditioning Engineers, Inc.: Atlanta, GA, USA, 2004.
- Du, X.; Zhang, Y.; Zhao, S. Research on interaction effect of thermal, light and acoustic environment on human comfort in waiting hall of high-speed railway station. Build. Environ. 2022, 207, 108494. [Google Scholar] [CrossRef]
- Zhen, M.; Chen, Z.; Zou, Q. Combined effects of thermal and acoustic environments on outdoor human comfort in university campus. Urban Clim. 2023, 49, 101566. [Google Scholar] [CrossRef]
- Teshnehdel, S.; Akbari, H.; Di Giuseppe, E.; Brown, R.D. Effect of tree cover and tree species on microclimate and pedestrian comfort in a residential district in Iran. Build. Environ. 2020, 178, 106899. [Google Scholar] [CrossRef]
- Gil-Lopez, T.; Medina-Molina, M.; Verdu-Vazquez, A.; Martel-Rodriguez, B. Acoustic and economic analysis of the use of palm tree pruning waste in noise barriers to mitigate the environmental impact of motorways. Sci. Total Environ. 2017, 584–585, 1066–1076. [Google Scholar] [CrossRef]
- Means, T. Köppen Climate Classification System, Science. 2019. Available online: https://www.thoughtco.com/the-worlds-koppen-climates-4109230 (accessed on 14 August 2023).
- Report, W. Monthly Temperatures of 2023 in Mianyang. 2023. Available online: https://www.tianqi.com/qiwen/city_mianyang/ (accessed on 5 September 2023).
- BEEM. The Annual Environment Quality Condition Report of the Metropolitan Districts of Mianyang in 2021. Available online: https://sthjj.my.gov.cn//myssthjj/c105839/202205/b600a6194c6a4dc0bbf8197139c3c8a9.shtml (accessed on 21 January 2024).
- Monteith, J.L.; Unsworth, M.H. Principles of Environmental Physics, 4th ed.; Academic Press: Cambridge, MA, USA, 2014. [Google Scholar]
- Wieczerzak, M.; Namieśnik, J.; Kudłak, B. Bioassays as one of the Green Chemistry tools for assessing environmental quality: A review. Environ. Int. 2016, 94, 341–361. [Google Scholar] [CrossRef]
- Zhang, S.; Zhang, X.; Niu, D.; Fang, Z.; Chang, H.; Lin, Z. Physiological equivalent temperature-based and universal thermal climate index-based adaptive-rational outdoor thermal comfort models. Build. Environ. 2023, 228, 109900. [Google Scholar] [CrossRef]
- Thorsson, S.; Lindberg, F.; Eliasson, I.; Holmer, B. Different methods for estimating the mean radiant temperature in an outdoor urban setting. Int. J. Climatol. 2007, 27, 1983–1993. [Google Scholar] [CrossRef]
- Höppe, P. The physiological equivalent temperature – a universal index for the biometeorological assessment of the thermal environment. Int. J. Biometeorol. 1999, 43, 71–75. [Google Scholar] [CrossRef]
- Gál, C.V.; Kántor, N. Modeling mean radiant temperature in outdoor spaces, A comparative numerical simulation and validation study. Urban Clim. 2020, 32, 100571. [Google Scholar] [CrossRef]
- Morakinyo, T.E.; Kong, L.; Lau, K.K.-L.; Yuan, C.; Ng, E. A study on the impact of shadow-cast and tree species on in-canyon and neighborhood’s thermal comfort. Build. Environ. 2017, 115, 1–17. [Google Scholar] [CrossRef]
- Xiong, J.; Cheng, B.; Zhang, J.; Liu, Y.; Tan, X.; Shi, M.; He, X.; Guo, J. A study of waterside microenvironmental factors and their effects on summer outdoor thermal comfort in a Cfa-climate campus. J. Therm. Biol. 2023, 117, 103700. [Google Scholar] [CrossRef]
- Wang, S.; Chen, B.; Suo, J.; Zhao, J.R. Impact of building morphology and outdoor environment on light and thermal environment in campus buildings in cold region during winter. Build. Environ. 2021, 204, 108074. [Google Scholar] [CrossRef]
- The People’s Government of Dehua County, Q.C. What Are the Classifications of Ambient Noise? 2023. Available online: http://www.dehua.gov.cn (accessed on 5 January 2024).
- Dzhambov, A.M.; Dimitrova, D.D. Green spaces and environmental noise perception. Urban For. Urban Green. 2015, 14, 1000–1008. [Google Scholar] [CrossRef]
- NoiseNet. Noise—Terms—Energy Averaging [LAeq]. 2000. Available online: http://www.noisenet.org/Noise_Terms_Leq.htm#:~:text=The%20results%20of%20calculations%20or%20measurements%20Such%20measurements,is%20the%20main%20unit%20used%20for%20assessingOccupational%20Noise (accessed on 4 November 2023).
- Law Insider, Ltd. 2023. Available online: https://www.lawinsider.com/dictionary/laeq-t#:~:text=The%20total%20equivalent%20continuous%20Aweighted%20sound%20pressure%20level,on%20board%20over%20a%20period%20of%2024%20hours (accessed on 4 November 2023).
- Zhang, W.; Xin, F. Broadband low-frequency sound absorption via Helmholtz resonators with porous material lining. J. Sound Vib. 2024, 578, 118330. [Google Scholar] [CrossRef]
- Liu, X. Building Physics; China Architecture & Building Press: Beijing, China, 2010; Volume 023793. [Google Scholar]
- Motors, P. Whether the Noise of a Car on the Road Is High or Low. 2024. Available online: https://www.pcauto.com.cn/jxwd/2519/25199089.html# (accessed on 25 January 2024).
- Zhihu. What Is the General Range of Intensity and Frequency of Noise in Social Life? 2021. Available online: https://www.zhihu.com/question/500891443 (accessed on 25 January 2024).
- Lee, C.C.H.; Jeong, D. Measurements of sound absorption coefficients of raked audience seating in a rectangular scale model room. Appl. Acoust. 2024, 217, 109872. [Google Scholar]
- Environmental Safety Technology. Noise Prediction Sound Absorption Volume, Sound Absorption Coefficient Value Reference. 2019. Available online: http://www.ihamodel.com/?p=14981 (accessed on 25 January 2024).
- Tan, P.Y.; Wong, N.H.; Tan, C.L.; Jusuf, S.K.; Chang, M.F.; Chiam, Z.Q. A method to partition the relative effects of evaporative cooling and shading on air temperature within vegetation canopy. Urban Econ. 2018, 4, juy012. [Google Scholar] [CrossRef]
- Zhang, T.; Hong, B.; Su, X.; Li, Y.; Song, L. Effects of tree seasonal characteristics on thermal-visual perception and thermal comfort. Build. Environ. 2022, 212, 108793. [Google Scholar] [CrossRef]
- Kotzen, B. An investigation of shade under six different tree species of the Negev desert towards their potential use for enhancing micro-climatic conditions in landscape architectural development. J. Arid. Environ. 2003, 55, 231–274. [Google Scholar] [CrossRef]
- Smith, I.A.; Fabian, M.P.; Hutyra, L.R. Urban green space and albedo impacts on surface temperature across seven United States cities. Sci. Total Environ. 2023, 857, 159663. [Google Scholar] [CrossRef]
- Yang, Y.; Tang, M.; Xie, H.; Ran, M.; Chen, Z.; Kang, J. Building Physics (Graphic Edition II); China Architecture & Building Press: Beijing, China, 2020. [Google Scholar]
- WinSCANOPY. WinSCANOPY 2017a Is Used for Canopy Analysis; Regent Instrument Inc.: Québec, QC, Canada, 2017; Available online: https://regentinstruments.com/ (accessed on 3 November 2023).
- Elnabawi, M.H.; Hamza, N.; Raveendran, R. ‘Super cool roofs’: Mitigating the UHI effect and enhancing urban thermal comfort with high albedo-coated roofs. Results Eng. 2023, 19, 101269. [Google Scholar] [CrossRef]
- Amani-Beni, M.; Zhang, B.; Xie, G.-D.; Xu, J. Impact of urban park’s tree, grass and waterbody on microclimate in hot summer days: A case study of Olympic Park in Beijing, China. Urban For. Urban Green. 2018, 32, 1–6. [Google Scholar] [CrossRef]
- Testo 480. Multi-Function Measuring Instrument Testo 480 for Norm-Compliant VAC Measurements. 2023. Available online: https://www.testo.com/en/testo-480/p/0563-4800 (accessed on 4 November 2023).
- Jeon, J.Y.; Hong, J.Y. Classification of urban park soundscapes through perceptions of the acoustical environments. Landsc. Urban Plan. 2015, 141, 100–111. [Google Scholar] [CrossRef]
- Choi, H.; Jeong, B.; Lee, J.; Na, H.; Kang, K.; Kim, T. Deep-vision-based metabolic rate and clothing insulation estimation for occupant-centric control. Build. Environ. 2022, 211, 109345. [Google Scholar] [CrossRef]
- ISO 7726; Ergonomics of the Thermal Environment—Instruments for Measuring Physical Quantities. Available online: https://cdn.standards.iteh.ai/samples/14562/0f8ba16a6e4d454f95d38708649e538a/ISO-7726-1998.pdf (accessed on 2 October 2024).
- Uyanık, G.K.; Güler, N. A Study on Multiple Linear Regression Analysis. Procedia-Soc. Behav. Sci. 2013, 106, 234–240. [Google Scholar] [CrossRef]
- Zhang, J.; Zhang, F.; Gou, Z.; Liu, J. Assessment of macroclimate and microclimate effects on outdoor thermal comfort via artificial neural network models. Urban Clim. 2022, 42, 101134. [Google Scholar] [CrossRef]
- Lee, Y.Y.; Kim, J.T.; Yun, G.Y. The neural network predictive model for heat island intensity in Seoul. Energy Build. 2016, 110, 353–361. [Google Scholar] [CrossRef]
- Zhihu. Types and Hazards of Noise. 2021. Available online: https://zhuanlan.zhihu.com/p/369781901 (accessed on 21 January 2024).
- Zhang, J.; Gou, Z.; Zhang, F.; Yu, R. The tree cooling pond effect and its influential factors: A pilot study in Gold Coast, Australia. Nat.-Based Solut. 2023, 3, 100058. [Google Scholar] [CrossRef]
- Wang, C.; Ren, Z.; Chang, X.; Wang, G.; Hong, X.; Dong, Y.; Guo, Y.; Zhang, P.; Ma, Z.; Wang, W. Understanding the cooling capacity and its potential drivers in urban forests at the single tree and cluster scales. Sustain. Cities Soc. 2023, 93, 104531. [Google Scholar] [CrossRef]
- Dong, Q.; Xu, X.; Zhen, M. Assessing the cooling and buildings’ energy-saving potential of urban trees in severe cold region of China during summer. Build. Environ. 2023, 244, 110818. [Google Scholar] [CrossRef]
- Huang, J.; Kong, F.; Yin, H.; Middel, A.; Liu, H.; Zheng, X.; Wen, Z.; Wang, D. Transpirational cooling and physiological responses of trees to heat. Agric. For. Meteorol. 2022, 320, 108940. [Google Scholar] [CrossRef]
- Yuan, W.; Zhu, N.; Zhang, L.; Tong, R.; Miao, Y.; Zhou, F.; Geoff Wang, G.; Wu, T. Three-dimensional aerodynamic structure estimation and wind field simulation for wide tree shelterbelts. For. Ecol. Manag. 2024, 559, 121813. [Google Scholar] [CrossRef]
- Kim, J.; Khouakhi, A.; Corstanje, R.; Johnston, A.S.A. Greater local cooling effects of trees across globally distributed urban green spaces. Sci. Total Environ. 2024, 911, 168494. [Google Scholar] [CrossRef]
- Cabon, A.; Ameztegui, A.; Anderegg, W.R.L.; Martínez-Vilalta, J.; De Cáceres, M. Probing the interplay of biophysical constraints and photosynthesis to model tree growth. Agric. For. Meteorol. 2024, 345, 109852. [Google Scholar] [CrossRef]
- Wang, Z.; White, J.D.; Hockaday, W.C. The molecular composition of leaf lipids changes with seasonal gradients in temperature and light among deciduous and evergreen trees in a sub-humid ecosystem. Org. Geochem. 2024, 187, 104709. [Google Scholar] [CrossRef]
- Sharmin, M.; Tjoelker, M.G.; Pfautsch, S.; Esperon-Rodriguez, M.; Rymer, P.D.; Power, S.A. Tree crown traits and planting context contribute to reducing urban heat. Urban For. Urban Green. 2023, 83, 127913. [Google Scholar] [CrossRef]
- Zhihu. Absorption of Sound Energy. 2024. Available online: https://zhuanlan.zhihu.com/p/684396685# (accessed on 18 March 2024).
- Zhihu. Basic Types of Sound-Absorbing Materials (Porous and Resonant). 2021. Available online: https://zhuanlan.zhihu.com/p/354959542 (accessed on 18 March 2024).
- Ding, L.; Van Renterghem, T.; Botteldooren, D.; Horoshenkov, K.; Khan, A. Sound absorption of porous substrates covered by foliage: Experimental results and numerical predictions. J. Acoust. Soc. Am. 2013, 134, 4599–4609. [Google Scholar] [CrossRef]
- Li, M.; Van Renterghem, T.; Kang, J.; Verheyen, K.; Botteldooren, D. Sound absorption by tree bark. Appl. Acoust. 2020, 165, 107328. [Google Scholar] [CrossRef]
- Van Renterghem, T.; Forssén, J.; Attenborough, K.; Jean, P.; Defrance, J.; Hornikx, M.; Kang, J. Using natural means to reduce surface transport noise during propagation outdoors. Appl. Acoust. 2015, 92, 86–101. [Google Scholar] [CrossRef]
- Attenborough, K.; Van Renterghem, T. Predicting Outdoor Sound; CRC Press: Boca Raton, FL, USA, 2021; Volume 134. [Google Scholar]
- Bai, Y.; Jin, H. Effects of visual, thermal, and acoustic comfort on the psychological restoration of the older people in a severe cold city. Build. Environ. 2023, 239, 110402. [Google Scholar] [CrossRef]
- Rychtáriková, M.; Jedovnický, M.; Vargová, A.; Glorieux, C. Synthesis of a Virtual Urban Soundscape. Buildings 2014, 4, 139–154. [Google Scholar] [CrossRef]
- Baquero Larriva, M.T.; Higueras, E. Health risk for older adults in Madrid, by outdoor thermal and acoustic comfort. Urban Clim. 2020, 34, 100724. [Google Scholar] [CrossRef]
- Cohen, P.; Shashua-Bar, L.; Keller, R.; Gil-Ad, R.; Yaakov, Y.; Lukyanov, V.; Bar, P.; Tanny, J.; Cohen, S.; Potchter, O. Urban outdoor thermal perception in hot arid Beer Sheva, Israel: Methodological and gender aspects. Build. Environ. 2019, 160, 106169. [Google Scholar] [CrossRef]
- Abdollahzadeh, S.M.; Heidari, S.; Einifar, A. Evaluating thermal comfort and neutral temperature in residential apartments in hot and dry climate: A case study in Shiraz, Iran. J. Build. Eng. 2023, 76, 107161. [Google Scholar] [CrossRef]
- Middel, A.; Selover, N.; Hagen, B.; Chhetri, N. Impact of shade on outdoor thermal comfort—A seasonal field study in Tempe, Arizona. Int. J. Biometeorol. 2016, 60, 1849–1861. [Google Scholar] [CrossRef]
- Jin, Y.; Jin, H.; Kang, J. Combined effects of the thermal-acoustic environment on subjective evaluations in urban squares. Build. Environ. 2020, 168, 106517. [Google Scholar] [CrossRef]
- SOHU.com. What Are the Roles and Functions of Urban Greening? 2019. Available online: https://www.sohu.com/a/327689078_120035296 (accessed on 25 January 2024).
- Ba, M.; Kang, J. Effect of a fragrant tree on the perception of traffic noise. Build. Environ. 2019, 156, 147–155. [Google Scholar] [CrossRef]

















| Date | Point | Space Characteristics | Species of Tree | Type of Noise | SVF (-) | Albedo (-) | Acoustic Absorption Coefficient (-) |
|---|---|---|---|---|---|---|---|
| 1 July | A1 | Next to the school building | Ligustrum lucidum Ait. (evergreen broad-leaved plant) | Teaching | 0.53 | 0.2 | 0.02 |
| 1 July | A2 | A tree in the lawn | Teaching | 0.1 | 0.18 | 0.63 | |
| 5 July | B1 | Next to the sports field | Paulownia tree (deciduous tree) | Sports | 0.11 | 0.25 | 0.36 |
| 5 July | B2 | A tree in the lawn | Sports | 0.09 | 0.25 | 0.36 | |
| 6 July | C1 | Next to the highway | Broussonetia papyrifera (deciduous tree) | Tran | 0.4 | 0.2 | 0.02 |
| 6 July | C2 | A tree in the lawn | Tran | 0.23 | 0.2 | 0.02 | |
| 7 July | D1 | Next to the dormitory building | Cinnamomum camphora (evergreen broad-leaved plant) | Dormitory | 0.17 | 0.2 | 0.02 |
| 7 July | D2 | A tree in the lawn | Dormitory | 0.02 | 0.18 | 0.63 | |
| 5 September | E1 | Next to the highway | Metasequoia (deciduous tree) | Teaching | 0.57 | 0.1 | 0.65 |
| 5 September | E2 | A tree in the lawn | Teaching | 0.04 | 0.1 | 0.65 | |
| 6 September | F1 | Next to the school building | Bauhinia purpurea L. (evergreen tree) | Tran | 0.61 | 0.2 | 0.02 |
| 6 September | F2 | A tree in the lawn | Tran | 0.16 | 0.18 | 0.36 | |
| 13 September | G1 | Next to the sports field | Gleditsia sinensis Lam (deciduous tree) | Sports | 0.14 | 0.25 | 0.36 |
| 13 September | G2 | A tree in the lawn | Sports | 0.04 | 0.18 | 0.63 | |
| 14 September | H1 | Next to the dormitory building | Cinnamomum camphora (evergreen broad-leaved plant) | Dormitory | 0.42 | 0.1 | 0.65 |
| 14 September | H2 | A tree in the lawn | Dormitory | 0.06 | 0.1 | 0.65 |
| Instrument | Parameters | Range | Precision |
|---|---|---|---|
| Testo 480 | Air temperature | 0–50 °C | ±0.5 °C |
| Relative humidity | 0–100% | ±(1.8% RH + 0.7%) | |
| Globe temperature | 0–120 °C | ±(0.3 + 0.1%) | |
| Air velocity | 0–20 m/s | ±(0.03 + 0.5%) | |
| AWA5688 | A-weighted sound pressure level | 28–133 dBA | / |
| Dependent Variable | ΔPET | ΔPET |
|---|---|---|
| Importance | Normalised Importance | |
| TCD | 0.465 | 100% |
| ΔSVF | 0.109 | 23.5% |
| ΔAlbedo | 0.426 | 91.7% |
| Validation test | y = 0.70247x + 0.95426 R² = 0.72015, Sig. = 0.000 | |
| Dependent Variable | ΔLAeq | ΔLAeq |
|---|---|---|
| Importance | Normalised Importance | |
| TCD | 0.546 | 100% |
| ΔSVF | 0.225 | 41.4% |
| ΔAcoustic absorption coefficient | 0.229 | 41.7% |
| Validation test | y = 0.51044x + 2.08533 R² = 0.52982, Sig. = 0.000 | |
| City | Local Climate Classification | Summer NPET (°C) | Summer NLAeq (dBA) | |
|---|---|---|---|---|
| Xi’an | Cwa | \ | 68.6 (seniors) | Bai and Jin [81] |
| Leuven | Cfb | \ | 50–55 dBA (pleasant); 60–66 dBA were just acceptable | Rychtáriková, et al. [82] |
| Madrid | BSk | \ | >55 | Baquero Larriva and Higueras [83] |
| Beer Sheva | BSh | 22.8 | \ | Cohen, et al. [84] |
| Shiraz | BSk | 27.1 | \ | Abdollahzadeh, et al. [85] |
| Tempe, Arizona | BWh | 26.3 | \ | Middel, et al. [86] |
| Mianyang | Cfa | 23.8 | 52.2 | This study |
Disclaimer/Publisher’s Note: The statements, opinions and data contained in all publications are solely those of the individual author(s) and contributor(s) and not of MDPI and/or the editor(s). MDPI and/or the editor(s) disclaim responsibility for any injury to people or property resulting from any ideas, methods, instructions or products referred to in the content. |
© 2024 by the authors. Licensee MDPI, Basel, Switzerland. This article is an open access article distributed under the terms and conditions of the Creative Commons Attribution (CC BY) license (https://creativecommons.org/licenses/by/4.0/).
Share and Cite
Lu, W.; Chen, Y.; Zhou, T.; Zhang, J.; Xiao, A.; Zhu, F.; Yin, H.; Liu, T. The Adjusting Effects of Trees on Cfa-Climate Campus Acoustic Environments and Thermal Comforts in the Summer. Acoustics 2024, 6, 887-910. https://doi.org/10.3390/acoustics6040050
Lu W, Chen Y, Zhou T, Zhang J, Xiao A, Zhu F, Yin H, Liu T. The Adjusting Effects of Trees on Cfa-Climate Campus Acoustic Environments and Thermal Comforts in the Summer. Acoustics. 2024; 6(4):887-910. https://doi.org/10.3390/acoustics6040050
Chicago/Turabian StyleLu, Wen, Yanyi Chen, Tianru Zhou, Jian Zhang, Aoyan Xiao, Feng Zhu, Hui Yin, and Ting Liu. 2024. "The Adjusting Effects of Trees on Cfa-Climate Campus Acoustic Environments and Thermal Comforts in the Summer" Acoustics 6, no. 4: 887-910. https://doi.org/10.3390/acoustics6040050
APA StyleLu, W., Chen, Y., Zhou, T., Zhang, J., Xiao, A., Zhu, F., Yin, H., & Liu, T. (2024). The Adjusting Effects of Trees on Cfa-Climate Campus Acoustic Environments and Thermal Comforts in the Summer. Acoustics, 6(4), 887-910. https://doi.org/10.3390/acoustics6040050
