The Acoustic Environment of York Minster’s Chapter House
Abstract
1. Introduction
2. The York Minster’s Chapter House
2.1. Overview of its Construction Process and Architectural Description
2.2. A Singular Space for A Variety of Uses
“sometimes the stone seats around the space are used, perhaps one speaker at a time may stand towards the centre, and other times, there is a table placed in the centre of the Chapter House and modern chairs are used”.
3. Methodology of Analysis
3.1. Acoustic Measurements in the Chapter House
3.2. Acoustic Simulation of the Space
3.2.1. Acoustic Model
3.2.2. Acoustic Simulation Details
4. Results and Discussion
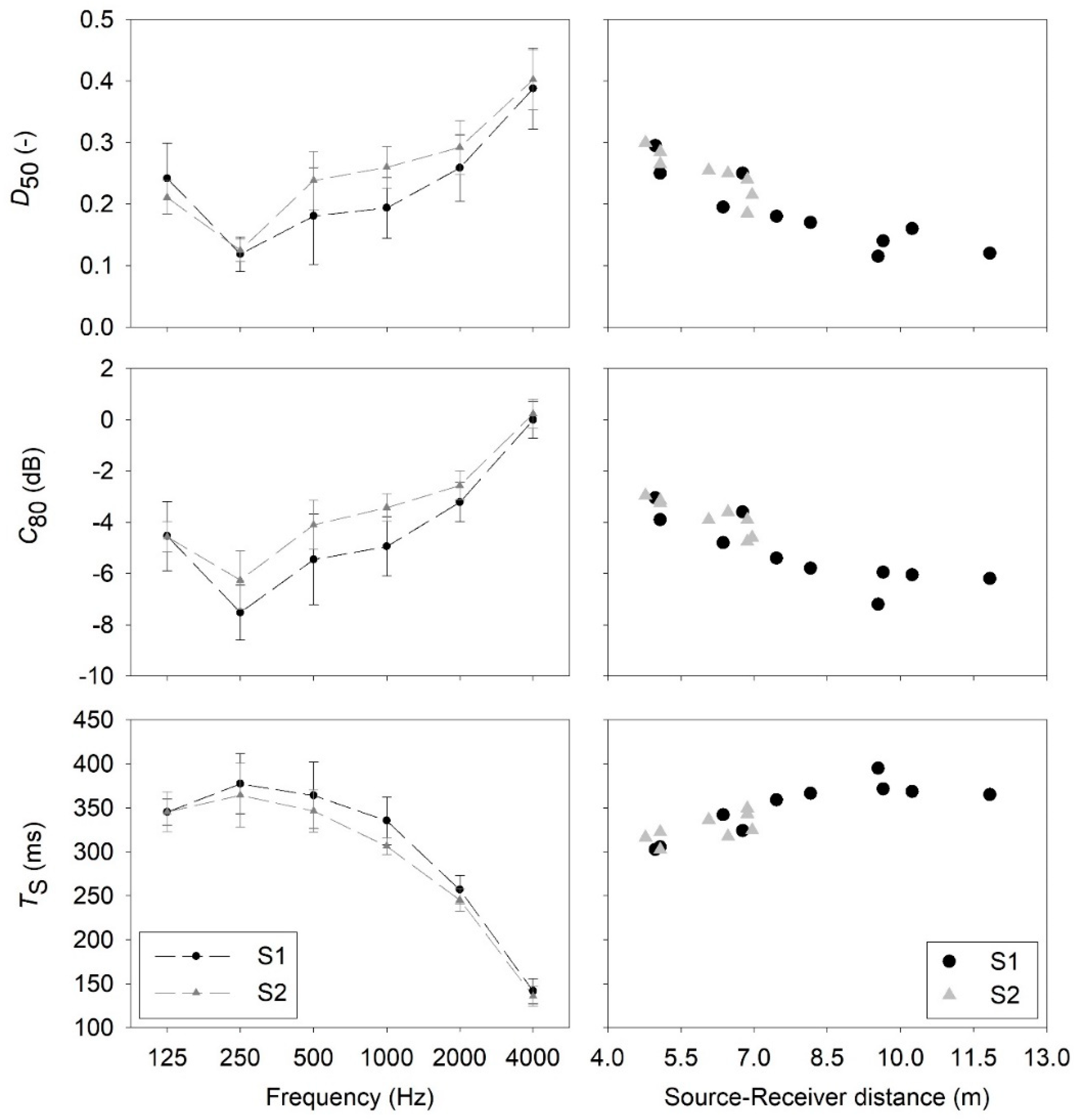
4.1. Acoustics of the York Minster’s Chapter House Today
4.2. Acoustics of the York Minster’s Chapter House before any Restoration Work
5. Conclusions
“It doesn’t take much to any other sound to start competing with you. You don’t need to raise your voice very much to talk in there, but if other people are saying something even quite low, kind of conversation, it can start to build the sound very quickly”.
“I do love performing in the Chapter House…I like the challenge of the singing as a group and not being able to rely in what you hear and the overall sound being quite spectacular, but needs to be the right repertoire in the right space”.
Author Contributions
Funding
Acknowledgments
Conflicts of Interest
References and Notes
- ISO 3382-1. Acoustics—Measurement of Room Acoustic Parameters. Part 1: Performance Rooms; International Organization for Standardization: Geneva, Switzerland, 2009. [Google Scholar]
- Martellotta, F.; Cirillo, E.; Carbonari, A.; Ricciardi, P. Guidelines for acoustical measurements in churches. App. Acoust. 2009, 70, 378–88. [Google Scholar] [CrossRef]
- Álvarez-Morales, L.; Zamarreño, T.; Girón, S.; Galindo, M. A methodology for the study of the acoustic environment of Catholic cathedrals: application to the Cathedral of Malaga. Build. Environ. 2014, 72, 102–115. [Google Scholar] [CrossRef]
- Pedrero, A.; Ruiz, R.; Díaz-Chyla, A.; Díaz, C. Acoustical study of Toledo Cathedral according to its liturgical uses. Appl. Acoust. 2014, 85, 23–33. [Google Scholar] [CrossRef]
- Álvarez-Morales, L.; Girón, S.; Galindo, M.; Zamarreño, T. Acoustic environment of Andalusian cathedrals. Build. Environ. 2016, 103, 182–192. [Google Scholar] [CrossRef]
- Postma, B.N.; Katz, B.F. Acoustics of Notre-Dame Cathedral de Paris. In Proceedings of the International Congress on Acoustics (ICA), Buenos Aires, Argentina, 5–9 September 2016; pp. 1–10. [Google Scholar]
- D’Orazio, D.; Garai, M. Acoustic control in octagonal geometry: case study of the Torri dell’acqua auditorium. In Proceedings of the Institute of Acoustics, Dublin, Ireland, 20–22 May 2011. [Google Scholar]
- Anderson, J.S.; Anderson, M.B. Acoustic coupling effects in St Paul’s Cathedral, London. J. Sound Vib. 2000, 236, 209–225. [Google Scholar] [CrossRef]
- Martellotta, F. Identifying acoustical coupling by measurements and prediction-models for St. Peter′s Basilica in Rome. J. Acoust. Soc. Am. 2009, 126, 1175–1186. [Google Scholar] [CrossRef]
- Suárez, R.; Alonso, A.; Sendra, J.J. Archaeoacoustics of intangible cultural heritage: The sound of the Maior Ecclesia of Cluny. J. Cult. Herit. 2016, 19, 567–572. [Google Scholar] [CrossRef]
- Murphy, D.; Shelley, S.; Foteinou, A.; Brereton, J.; Daffern, H. Acoustic Heritage and Audio Creativity: the Creative Application of Sound in the Representation, Understanding and Experience of Past Environments. Internet Archaeol. 2017, 44. [Google Scholar] [CrossRef]
- Alonso, A.; Suárez, R.; Sendra, J.J.; Zamarreño, T. Acoustic evaluation of the cathedral of Seville as a concert hall and proposals for improving the acoustic quality perceived by listeners. J. Build. Perform. Simu. 2014, 7, 360–78. [Google Scholar] [CrossRef]
- Alvarez-Morales, L.; Martellotta, F. A geometrical acoustic simulation of the effect of occupancy and source position in historical churches. Appl. Acoust. 2015, 91, 47–58. [Google Scholar] [CrossRef]
- Vorländer, M. Computer simulations in room acoustics: Concepts and uncertainties. J. Acoust. Soc. Am. 2013, 133, 1203. [Google Scholar] [CrossRef] [PubMed]
- Ditchfield, P.H. The Cathedrals of Great Britain. Their History and Architecture; J.M. Dent & Company: London, UK, 1902. [Google Scholar]
- Brown, S. York Minster: An Architectural History, c. 1220-1500: "Our Magnificent Fabrick"; Royal Commission on Historical Monuments: Swindon, UK, 2003. [Google Scholar]
- The Medieval Minster: History of York. Available online: www.historyofyork.org.uk (accessed on 12 December 2019).
- Brown, S. Stained Glass at York Minster; Scala publishers: London, UK, 2017. [Google Scholar]
- Association of Leading Visitor Attractions. Available online: https://www.alva.org.uk/details.cfm?p=423 (accessed on 10 December 2019).
- Bond, F. The Cathedrals of England and Wales; Jeremy Mills Publishing: Huddersfield, UK, 2007. [Google Scholar]
- Zukowsky, J. The Polygonal Chapter House: Architecture and Society in Gothic Britain. PhD Thesis, State University of New York, Binghamton, NY, USA, 1977; pp. 40–41. [Google Scholar]
- Available online: http://www.historyfish.net/abbeys/abbeyparts/livingquarters2.html (accessed on 10 December 2019).
- Wickham, W.A. Some notes on chapter-houses part 1 and part 2. Trans. Hist. Soc. Lancs. Ches. 1912, 64, 142–247. [Google Scholar]
- Gajewski, A.; Opacic, Z. The Year 1300 and the Creation of a New European Architecture; Brepols Publishers NV: Turnhout, Belgium, 2008. [Google Scholar]
- Hewitt, C. English Cathedral Carpentry; Wayland Ltd.: London, UK, 1974. [Google Scholar]
- Morgan, C. A Life of St Katherine of Alexandria in the Chapter-House of York Minster. J. Br. Archaeol. Soc. 2009, 162, 146–178. [Google Scholar] [CrossRef]
- Rodwell, W.; Mortimer, R. Westminster Abbey Chapter House: The History, Art and Architecture of ’a Chapter House Beyond Compare’; Society of Antiquaries of London: London, UK, 2010. [Google Scholar]
- Winkles, H.; Garland, R.; Moule, T. Winkles’s Architectural and Picturesque Illustrations of the Cathedral Churches of England and Wales; Royal Exchange, and Charles Tilt, Fleet Street; Effingham Wilson: London, UK, 1836; Volume 2. [Google Scholar]
- Harrison, F. York Minster, 1st ed.; Methuen & Co Ltd.: London, UK, 1927. [Google Scholar]
- Harrison, F. The Painted Glass of York: An Account of the Medieval Glass of the Minster and the Parish Churches; Society for Promoting Christian knowledge, SPKC: London, UK, 1927. [Google Scholar]
- Halfpenny, J. Gothic Ornaments in the Cathedral Church of York; J. Todd & Sons: Harrogate, UK, 1975; (Plate No 102). [Google Scholar]
- Drake, F. Eboracum: The History and Antiquities of the City of York, from Its Origin to This Time; T. Wilson and R. Spence: York, UK, 1788. [Google Scholar]
- Norton, C. Annual Report 1996: The Medieval Paintings in the Chapter House; Friends of York Minster: York, UK, 1996; pp. 34–51. [Google Scholar]
- Clutton-Brock, A. The Cathedral Church of York: A Description of Its Fabric and a Brief History of the Archi-Episcopal; G. Bell & Sons: London, UK, 1899. [Google Scholar]
- ’Collegiate Churches: York (Including York Minster)’, A History of the County of York. Available online: http://www.british-history.ac.uk/vch/yorks/vol3/pp375-386 (accessed on 19 November 2019).
- Medieval York: York in Political History’, in A History of the County of York: the City of York. Available online: http://www.british-history.ac.uk/vch/yorks/city-of-york/pp25-29 (accessed on 18 November 2019).
- Coldstream, N. York Chapter House. J. Br. Archaeol. Soc. 1972, 35, 15–23. [Google Scholar] [CrossRef]
- Jason Archuleta (University of York, York, UK), interviewed 11 October 2019.
- Lisa Power (University of York, York, UK), interviewed 22 October 2019.
- Handbook for Sound Engineers, 4th ed.; Taylor & Francis: New York, NY, USA, 2013.
- Vorländer, M. Auralization; Springer: Berlin, Germany, 2008. [Google Scholar]
- Martellotta, F.; Álvarez-Morales, L. Virtual acoustic reconstruction of the church of Gesù in Rome: A comparison between different design options. Proceedings of Forum Acusticum 2014, Krakow, Poland, 07–12 September 2014. [Google Scholar]
- Cox, T.J.; Dalenback, B.I.; D’Antonio, P.; Embrechts, J.J.; Jeon, J.Y.; Mommertz, E.; Vorländer, M. A tutorial on scattering and diffusion coefficients for room acoustic surfaces. Acta. Acust. united Ac. 2006, 92, 1–5. [Google Scholar]
- Cox, T.J.; D’antonio, P. D’Antonio: Acoustic Absorbers and Diffusers: Theory, Design and Application; Spon Press: London, UK, 2004. [Google Scholar]
- Dalenbäck, B.I.L. CATT-Acoustic v9 Powered by TUCT Users’ Manual; CATT: Gothenburg, Sweeden, 2011. [Google Scholar]
- ODEON Room Acoustics Software User’s Manual Version 15 Published in November 2019. Available online: https://odeon.dk/download/Version15/OdeonManual.pdf (accessed on 10 December 2019).
- Postma, B.N.; Katz, B.F. Creation and calibration method of acoustical models for historic virtual reality auralizations. Virtual Real. 2015, 19, 161–80. [Google Scholar] [CrossRef]
- Martellotta, F. The just noticeable difference of center time and clarity index in large reverberant spaces. J. Acoust. Soc. Am. 2010, 128, 654–663. [Google Scholar] [CrossRef]
- Bork, I. A comparison of room simulation software-the 2nd round robin on room acoustical computer simulation. Acta. Acust. United Ac. 2000, 86, 943–956. [Google Scholar]
- Álvarez-Morales, L.; Galindo, M.; Girón, S.; Zamarreño, T.; Cibrián, R.M. Acoustic characterisation by using different room acoustics software tools: A comparative study. Acta. Acust. United Ac. 2016, 102, 578–591. [Google Scholar]
- Cirillo, E.; Martellotta, F. Worship, Acoustics, and Architecture; Multi Science Publishing Company Limited: Brentwood, UK, 2006. [Google Scholar]
- Sü Gül, Z. Acoustical Impact of Architectonics and Material Features in the Lifespan of Two Monumental Sacred Structures. Acoustics 2019, 1, 493–516. [Google Scholar] [CrossRef]
- Cirillo, E.; Martellotta, F. Sull’applicabilità della formula di sabine nelle chiese romaniche. In Proceedings of the Associazione Italiana di Acustica, 29° Convegno Nazionale, Ferrara, Italy, 12–14 June 2002. [Google Scholar]
- Girón, S.; Álvarez-Morales, L.; Zamarreño, T. Church acoustics: A state-of-the-art review after several decades of research. J. Sound. Vib. 2014, 411, 378–408. [Google Scholar] [CrossRef]
- Harris, C.M. Handbook of Noise Control; McGraw Hill: New York, NY, USA, 1997. [Google Scholar]
- Barron, M. Subjective study of British concert halls. Acustica 1998, 66, 2–14. [Google Scholar]
- Martellotta, F. Subjective study of preferred listening conditions in Italian Catholic churches. J. Sound. Vib. 2008, 317, 378–99. [Google Scholar] [CrossRef]
- Rossing, T. Springer Handbook of Acoustics; Springer: New York, NY, USA, 2007. [Google Scholar]
- Bradley, J.S. Review of objective room acoustics measures and future needs. Appl. Acoust. 2011, 72, 713–720. [Google Scholar] [CrossRef]
- Barron, M. The subjective effects of first reflections in concert halls-The need for lateral reflections. J. Sound. Vib. 1971, 15, 475–494. [Google Scholar] [CrossRef]
- Barron, M. Spatial impression due to early lateral reflection in concert halls: the derivation of a physical measure. J. Sound Vib. 1981, 77, 211–232. [Google Scholar] [CrossRef]
- Giménez, A.; Cibrián, R.M.; Cerdá, S.; Girón, S.; Zamarreño, T. Mismatches between objective parameters and measured perception assessment in room acoustics: A holistic approach. Build. Environ. 2014, 74, 119–131. [Google Scholar] [CrossRef]
- Iris software, Iris.co.nz. Available online: http://www.iris.co.nz/ (accessed on 10 December 2019).
- Ŝumarac-Pavlović, D.; Mijić, M. An insight into the influence of geometrical features of rooms on their acoustic response based on free path length distribution. Acta. Acust. United Ac. 2007, 93, 1012–1026. [Google Scholar]
- Available online: https://www.independent.co.uk/commercial/visityork/step-into-the-pulpit-at-york-minster-9077425.html (accessed on 12 December 2019).
- Wheaton, N.S. A Journal of a Residence During Several Months in London: Including Excursions Through Various Parts of England; and a Short Tour in France and Scotland; in the Years 1823 and 1824. Available online: https://archive.org/details/journalofresiden00whea/page/n5/mode/2up (accessed on 10 December 2019).
- Available online: https://www.eborsingers.org/ (accessed on 10 December 2019).
- Helena Daffern (University of York, York, UK), interviewed 22 October 2019.
- Elicio, L.; Martellotta, F. Acoustics as a cultural heritage: The case of Orthodox churches and of the “Russian church” in Bari. J. Cult. Herit. 2015, 16, 912–917. [Google Scholar] [CrossRef]
- Available online: ttps://vpcp.chass.ncsu.edu/ (accessed on 10 December 2019).













| Approximate Interior Volume | Max Interior Height | Max Interior Length | Octagon Side’s Length | Approximate Interior Floor Surface |
|---|---|---|---|---|
| 5280 m3 | 20.3 m | 19.2 m a | 6.95 m | 240 m2 |
| Source position ID | S1 | S2 |
| Num. Rec. points | 10 | 8 |
| Receiver points ID | R01 – R10 | R01, R04 – R06, R08 – R11 |
| Absorption Coefficients | Scatt. Coef | Area (m2) | ||||||
|---|---|---|---|---|---|---|---|---|
| Frequency (Hz) | 125 | 250 | 500 | 1 k | 2 k | 4 k | 707 | - |
| Limestone walls and seats | 0.02 | 0.02 | 0.03 | 0.04 | 0.05 | 0.05 | 0.05 | 686.8 |
| Stained glasses | 0.25 | 0.20 | 0.14 | 0.10 | 0.05 | 0.05 | 0.15 | 384.0 |
| Lath and plaster vault1 | 0.16 | 0.16 | 0.16 | 0.17 | 0.24 | 0.24 | 0.35 | 321.0 |
| Tiled Floor | 0.01 | 0.01 | 0.01 | 0.02 | 0.02 | 0.02 | 0.05 | 240.0 |
| Limestone nerves2 | 0.03 | 0.04 | 0.05 | 0.05 | 0.065 | 0.065 | 0.15 | 131.0 |
| Limestone canopies2 | 0.03 | 0.04 | 0.05 | 0.05 | 0.065 | 0.065 | 0.45 | 139.4 |
| Marble columns | 0.01 | 0.01 | 0.01 | 0.02 | 0.02 | 0.02 | 0.35 | 113.6 |
| Wooden doors | 0.14 | 0.10 | 0.06 | 0.08 | 0.10 | 0.10 | 0.20 | 8.8 |
| Frequency Band (Hz) | 125 | 250 | 500 | 1 k | 2k | 4 k |
|---|---|---|---|---|---|---|
| T30 (s) | 5.00 | 5.17 | 5.56 | 5.24 | 4.19 | 2.82 |
| SDT30 | 0.13 | 0.13 | 0.06 | 0.05 | 0.03 | 0.02 |
| EDT (s) | 4.97 | 4.94 | 5.45 | 5.04 | 3.92 | 2.36 |
| SDEDT | 0.53 | 0.49 | 0.30 | 0.17 | 0.10 | 0.06 |
| Frequency Band (Hz) | 125 | 250 | 500 | 1k | 2k | 4k |
|---|---|---|---|---|---|---|
| T30-M (s) | 3.90 | 4.16 | 4.34 | 4.31 | 3.75 | 2.65 |
| T30-M vs. T30-CS (s) | –1.10 | –1.01 | –1.22 | –0.93 | –0.44 | –0.17 |
| T30-M vs. T30-CS (JND) | –4.40 | –3.91 | –4.39 | –3.55 | –2.10 | –1.21 |
© 2020 by the authors. Licensee MDPI, Basel, Switzerland. This article is an open access article distributed under the terms and conditions of the Creative Commons Attribution (CC BY) license (http://creativecommons.org/licenses/by/4.0/).
Share and Cite
Álvarez-Morales, L.; Lopez, M.; Álvarez-Corbacho, Á. The Acoustic Environment of York Minster’s Chapter House. Acoustics 2020, 2, 13-36. https://doi.org/10.3390/acoustics2010003
Álvarez-Morales L, Lopez M, Álvarez-Corbacho Á. The Acoustic Environment of York Minster’s Chapter House. Acoustics. 2020; 2(1):13-36. https://doi.org/10.3390/acoustics2010003
Chicago/Turabian StyleÁlvarez-Morales, Lidia, Mariana Lopez, and Ángel Álvarez-Corbacho. 2020. "The Acoustic Environment of York Minster’s Chapter House" Acoustics 2, no. 1: 13-36. https://doi.org/10.3390/acoustics2010003
APA StyleÁlvarez-Morales, L., Lopez, M., & Álvarez-Corbacho, Á. (2020). The Acoustic Environment of York Minster’s Chapter House. Acoustics, 2(1), 13-36. https://doi.org/10.3390/acoustics2010003

