Tagua Powder as a Bio-Based Filler for Waterborne Acrylic Coatings: Enhancing Performances and Sustainability
Abstract
1. Introduction
2. Materials and Methods
2.1. Samples Preparation
2.2. Characterization Methods
3. Results
3.1. Filler and Coating Characterization
3.2. Wear Resistance
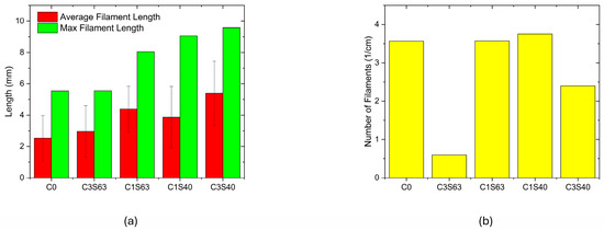
3.3. Aging Tests
3.4. Electrochemical Impedance Spectroscopy
4. Discussion
5. Conclusions
Author Contributions
Funding
Institutional Review Board Statement
Informed Consent Statement
Data Availability Statement
Acknowledgments
Conflicts of Interest
Appendix A


References
- Huttmanová, E.; Chovancová, J.; Petruška, I.; Sallaku, K. Circular Economy in Action: Examining the Decoupling of Economic Growth and Material Use across EU Countries. EJSD 2024, 13, 13. [Google Scholar] [CrossRef]
- Fellner, J.; Lederer, J.; Scharff, C.; Laner, D. Present Potentials and Limitations of a Circular Economy with Respect to Primary Raw Material Demand. J. Ind. Ecol. 2017, 21, 494–496. [Google Scholar] [CrossRef]
- Schüpfer, D.; Wagner-Wenz, R.; Hendrich, K.; Weidenkaff, A. Materials Come around and Go around: Adapting to Nature’s Circularity. MRS Bull. 2023, 48, 1184–1189. [Google Scholar] [CrossRef]
- Proskurina, S. Carbon Neutrality in the Finnish Energy Sector: Prospects for a Fossil-Fuel Phase Out. Biofuels Bioprod. Biorefining 2024, 18, 1065–1076. [Google Scholar] [CrossRef]
- Calovi, M.; Rossi, S. Synergistic Contribution of Bio-Based Additives in Wood Paint: The Combined Effect of Pigment Deriving from Spirulina and Multifunctional Filler Based on Carnauba Wax. Prog. Org. Coat. 2023, 182, 107713. [Google Scholar] [CrossRef]
- Calovi, M.; Rossi, S. Functional Olive Pit Powders: The Role of the Bio-Based Filler in Reducing the Water Uptake Phenomena of the Waterborne Paint. Coatings 2023, 13, 442. [Google Scholar] [CrossRef]
- Gurunathan, T.; Mohanty, S.; Nayak, S.K. A Review of the Recent Developments in Biocomposites Based on Natural Fibres and Their Application Perspectives. Compos. Part A Appl. Sci. Manuf. 2015, 77, 1–25. [Google Scholar] [CrossRef]
- Yew, M.C.; Ramli Sulong, N.H.; Yew, M.K.; Amalina, M.A.; Johan, M.R. The Formulation and Study of the Thermal Stability and Mechanical Properties of an Acrylic Coating Using Chicken Eggshell as a Novel Bio-Filler. Prog. Org. Coat. 2013, 76, 1549–1555. [Google Scholar] [CrossRef]
- Toro, P.; Quijada, R.; Yazdani-Pedram, M.; Arias, J.L. Eggshell, a New Bio-Filler for Polypropylene Composites. Mater. Lett. 2007, 61, 4347–4350. [Google Scholar] [CrossRef]
- Yew, M.C.; Yew, M.K.; Saw, L.H.; Ng, T.C.; Durairaj, R.; Beh, J.H. Influences of Nano Bio-Filler on the Fire-Resistive and Mechanical Properties of Water-Based Intumescent Coatings. Prog. Org. Coat. 2018, 124, 33–40. [Google Scholar] [CrossRef]
- Sienkiewicz, N.; Dominic, M.; Parameswaranpillai, J. Natural Fillers as Potential Modifying Agents for Epoxy Composition: A Review. Polymers 2022, 14, 265. [Google Scholar] [CrossRef] [PubMed]
- Balasundar, P.; Narayanasamy, P.; Senthil, S.; Abdullah Al-Dhabi, N.; Prithivirajan, R.; Shyam Kumar, R.; Ramkumar, T.; Subrahmanya Bhat, K. Physico-Chemical Study of Pistachio (Pistacia Vera) Nutshell Particles as a Bio-Filler for Eco-Friendly Composites. Mater. Res. Express 2019, 6, 105339. [Google Scholar] [CrossRef]
- Prabhakar, M.N.; Shah, A.U.R.; Rao, K.C.; Song, J.-I. Mechanical and Thermal Properties of Epoxy Composites Reinforced with Waste Peanut Shell Powder as a Bio-Filler. Fibers Polym. 2015, 16, 1119–1124. [Google Scholar] [CrossRef]
- Zuluaga-Parra, J.D.; Ramos-deValle, L.F.; Sánchez-Valdes, S.; Torres-Lubián, J.R.; Rodriguez-Fernadez, O.S.; Hernández-Hernández, E.; da Silva, L.; Rodríguez-Gonzalez, J.A.; Borjas-Ramos, J.J.; Vázquez-Rodríguez, S.; et al. Phosphorylated Avocado Seed: A Renewable Biomaterial for Preparing a Flame Retardant Biofiller. Fire Mater. 2022, 46, 968–980. Available online: https://onlinelibrary-wiley-com.ezp.biblio.unitn.it/doi/10.1002/fam.3044 (accessed on 13 January 2025). [CrossRef]
- Suthan, R.; Jayakumar, V.; Bharathiraja, G. Wear Analysis of Bio-Fillers Reinforced Epoxy Composites. Mater. Today Proc. 2020, 22, 793–798. [Google Scholar] [CrossRef]
- Smith, N. Phytelephas Macrocarpa. In Palms and People in the Amazon; Smith, N., Ed.; Springer International Publishing: Cham, Switzerland, 2015; pp. 429–444. ISBN 978-3-319-05509-1. [Google Scholar]
- Acosta-Solis, M. Tagua or Vegetable Ivory: A Forest Product of Ecuador. Econ. Bot. 1948, 2, 46–57. [Google Scholar] [CrossRef]
- Cooper, D. On the Structure of the Nut Known as Vegetable Ivory. Trans. Microsc. Soc. J. 1842, 1, 97–99. [Google Scholar] [CrossRef]
- Barfod, A.S.; Bergmann, B.; Pedersen, H.B. The Vegetable Ivory Industry: Surviving and Doing Well in Ecuador. Econ. Bot. 1990, 44, 293–300. [Google Scholar] [CrossRef]
- MABO Website. Available online: https://mabo.it/it (accessed on 15 February 2025).
- Chek, Y.W.; Ang, D.T.-C. Progress of Bio-Based Coatings in Waterborne System: Synthesis Routes and Monomers from Renewable Resources. Prog. Org. Coat. 2024, 188, 108190. [Google Scholar] [CrossRef]
- Zhan, W.; Li, L.; Chen, L.; Kong, Q.; Chen, M.; Chen, C.; Zhang, Q.; Jiang, J. Biomaterials in Intumescent Fire-Retardant Coatings: A Review. Prog. Org. Coat. 2024, 192, 108483. [Google Scholar] [CrossRef]
- ASTM F1978-22; Standard Test Method for Measuring Abrasion Resistance of Metallic Thermal Spray Coatings by Using the Taber Abraser. ASTM International: West Conshohocken, PA, USA, 2022.
- D01 Committee ASTM International. Test Method for Scrub Resistance of Paints by Abrasion Weight Loss; ASTM International: West Conshohocken, PA, USA, 2024. [Google Scholar] [CrossRef]
- E12 Committee ASTM International. Test Method for Specular Gloss; ASTM International: West Conshohocken, PA, USA, 2018. [Google Scholar] [CrossRef]
- D01 Committee ASTM International. Practice for Surface Wettability of Coatings, Substrates and Pigments by Advancing Contact Angle Measurement; ASTM International: West Conshohocken, PA, USA, 2022. [Google Scholar] [CrossRef]
- ASTM B117-19; Standard Practice for Operating Salt Spray (Fog) Apparatus. ASTM International: West Conshohocken, PA, USA, 2019. [CrossRef]
- Cristoforetti, A.; Deflorian, F.; Rossi, S.; Fedel, M. On the Occurrence of Filiform Corrosion on Organic Coated Carbon Steel Exposed to Cyclic Aging Test. Corrosion 2023, 79, 1339–1344. [Google Scholar] [CrossRef] [PubMed]
- ASTM D2803-09; Standard Guide for Testing Filiform Corrosion Resistance of Organic Coatings on Metal. ASTM International: West Conshohocken, PA, USA, 2020. [CrossRef]
- D01 Committee ASTM International. Test Method for Evaluating Degree of Blistering of Paints; ASTM International: West Conshohocken, PA, USA, 2025. [Google Scholar] [CrossRef]
- Calovi, M.; Rossi, S.; Deflorian, F.; Dirè, S.; Ceccato, R.; Guo, X.; Frankel, G.S. Effects of Graphene-Based Fillers on Cathodic Delamination and Abrasion Resistance of Cataphoretic Organic Coatings. Coatings 2020, 10, 602. [Google Scholar] [CrossRef]
- Gašparovič, L.; Koreňová, Z.; Jelemenský, Ľ. Kinetic Study of Wood Chips Decomposition by TGA. Chem. Pap. 2010, 64, 174–181. [Google Scholar] [CrossRef]
- Mansour, O.Y. Lignocellulose–Polymer Composite. III. J. Appl. Polym. Sci. 1993, 47, 839–846. [Google Scholar] [CrossRef]
- Najafi, S.K.; Tajvidi, M.; Chaharmahli, M. Long-Term Water Uptake Behavior of Lignocellulosic-High Density Polyethylene Composites. J. Appl. Polym. Sci. 2006, 102, 3907–3911. [Google Scholar] [CrossRef]
- Yang, X.F.; Vang, C.; Tallman, D.E.; Bierwagen, G.P.; Croll, S.G.; Rohlik, S. Weathering Degradation of a Polyurethane Coating. Polym. Degrad. Stab. 2001, 74, 341–351. [Google Scholar] [CrossRef]
- ISO 4628-2:2016; Paints and Varnishes—Evaluation of Degradation of Coatings—Designation of Quantity and Size of Defects, Part 2: Designation of Degree of Blistering. International Organization for Standardization: Geneva, Switzerland, 2016.
- Cambier, S.M.; Posner, R.; Frankel, G.S. Coating and Interface Degradation of Coated Steel, Part 1: Field Exposure. Electrochim. Acta 2014, 133, 30–39. [Google Scholar] [CrossRef]
- Cambier, S.M.; Frankel, G.S. Coating and Interface Degradation of Coated Steel, Part 2: Accelerated Laboratory Tests. Electrochim. Acta 2014, 136, 442–449. [Google Scholar] [CrossRef]
- Cristoforetti, A.; Rossi, S.; Deflorian, F.; Fedel, M. Recent Progress in Understanding Filiform Corrosion on Organic Coated Steel: A Comprehensive Review. Prog. Org. Coat. 2024, 192, 108469. [Google Scholar] [CrossRef]
- Cristoforetti, A.; Rossi, S.; Deflorian, F.; Fedel, M. An Electrochemical Study on the Mechanism of Filiform Corrosion on Acrylic-Coated Carbon Steel. Prog. Org. Coat. 2023, 179, 107525. [Google Scholar] [CrossRef]
- Cristoforetti, A.; Rossi, S.; Deflorian, F.; Fedel, M. Comparative Study between Natural and Artificial Weathering of Acrylic-coated Steel, Aluminum, and Galvanized Steel. Mater. Corros. 2023, 74, 1429–1438. [Google Scholar] [CrossRef]
- Cristoforetti, A.; Deflorian, F.; Rossi, S.; Fedel, M. On the Limits of the EIS Low-Frequency Impedance Modulus as a Tool to Describe the Protection Properties of Organic Coatings Exposed to Accelerated Aging Tests. Coatings 2023, 13, 598. [Google Scholar] [CrossRef]
- Amirudin, A.; Thieny, D. Application of Electrochemical Impedance Spectroscopy to Study the Degradation of Polymer-Coated Metals. Prog. Org. Coat. 1995, 26, 1–28. [Google Scholar] [CrossRef]
- Rossi, S.; Deflorian, F.; Fontanari, L.; Cambruzzi, A.; Bonora, P.L. Electrochemical Measurements to Evaluate the Damage Due to Abrasion on Organic Protective System. Prog. Org. Coat. 2005, 52, 288–297. [Google Scholar] [CrossRef]
- Lendvay-Győrik, G.; Pajkossy, T.; Lengyel, B. Water Uptake of Water-Borne Paint Resin Films as Studied by Impedance Spectroscopy and Gravimetry. Prog. Org. Coat. 2007, 59, 95–99. [Google Scholar] [CrossRef]
- Sun, J.; Mukamal, H.; Liu, Z.; Shen, W. Analysis of the Taber Test in Characterization of Automotive Side Windows. Tribol. Lett. 2002, 13, 49–54. [Google Scholar] [CrossRef]
- Bautista, A. Filiform Corrosion in Polymer-Coated Metals. Prog. Org. Coat. 1996, 28, 49–58. [Google Scholar] [CrossRef]
- Randis, R.; Darmadi, D.B.; Gapsari, F.; Sonief, A.A.; Akpan, E.D.; Ebenso, E.E. The Potential of Nanocomposite-Based Coatings for Corrosion Protection of Metals: A Review. J. Mol. Liq. 2023, 390, 123067. [Google Scholar] [CrossRef]
- Przystupa, K. Research on the Durability and Reliability of Industrial Layered Coatings on Metal Substrate Due to Abrasive Wear. Materials 2023, 16, 1779. [Google Scholar] [CrossRef]
- Mustapa, S.A.S.; Ramli Sulong, N.H. Performance of Palm Oil Clinker as a Bio-Filler with Hybrid Fillers in Intumescent Fire Protective Coatings for Steel. JSM 2017, 46, 2489–2496. [Google Scholar] [CrossRef]
- Pei, X.-Q.; Bennewitz, R.; Kasper, C.; Tlatlik, H.; Bentz, D.; Becker-Willinger, C. Tribological Synergy of Filler Components in Multifunctional Polyimide Coatings. Adv. Eng. Mater. 2017, 19, 1600363. [Google Scholar] [CrossRef]









| Sample | Particle Content [wt%] | Particle Size [μm] |
|---|---|---|
| C0 | 0 | - |
| C1S63 | 1 | 40 < d ≤ 63 |
| C3S63 | 3 | 40 < d ≤ 63 |
| C1S40 | 1 | d ≤ 40 |
| C3S40 | 3 | d ≤ 40 |
| Sample | Normalize Mass [%] |
|---|---|
| C | 51.04 |
| O | 42.28 |
| F | 0.04 |
| Al | 0.98 |
| P | 0.15 |
| Cl | 0.32 |
| K | 0.57 |
| Ca | 0.21 |
| Cu | 0.25 |
| S | 0.07 |
| Mg | 0.07 |
| Si | 0.03 |
| Title 1 | Thickness [μm] | Gloss 60° [GU] | Roughness Ra [μm] | Roughness Rz [μm] | Contact Angle [°] |
|---|---|---|---|---|---|
| C0 | 70 ± 7 | 41 ± 2 | 0.26 ± 0.02 | 1.62 ± 0.16 | 50 ± 5 |
| C3S63 | 64 ± 11 | 28 ± 1 | 1.00 ± 0.12 | 5.61 ± 0.72 | 62 ± 2 |
| C1S63 | 55 ± 2 | 35 ± 1 | 0.52 ± 0.10 | 3.40 ± 0.76 | 55 ± 4 |
| C1S40 | 56 ± 5 | 34 ± 1 | 0.37 ± 0.03 | 2.56 ± 0.26 | 55 ± 5 |
| C3S40 | 67 ± 8 | 33 ± 1 | 0.64 ± 0.10 | 3.95 ± 0.72 | 60 ± 1 |
| Title 1 | Area Covered by Blisters [%] | Number of Blisters | ISO 4628-2 Blister Density | ISO 4628-2 Blister Size |
|---|---|---|---|---|
| C0 | / | / | / | / |
| C3S63 | 6.3 | 58 | 3 | 4 |
| C1S63 | 1.4 | 28 | 3 | 3 |
| C1S40 | 1.1 | 36 | 2 | 3 |
| C3S40 | 3.1 | 103 | 4 | 3 |
Disclaimer/Publisher’s Note: The statements, opinions and data contained in all publications are solely those of the individual author(s) and contributor(s) and not of MDPI and/or the editor(s). MDPI and/or the editor(s) disclaim responsibility for any injury to people or property resulting from any ideas, methods, instructions or products referred to in the content. |
© 2025 by the authors. Licensee MDPI, Basel, Switzerland. This article is an open access article distributed under the terms and conditions of the Creative Commons Attribution (CC BY) license (https://creativecommons.org/licenses/by/4.0/).
Share and Cite
Cristoforetti, A.; Donati, L.; Rossi, S. Tagua Powder as a Bio-Based Filler for Waterborne Acrylic Coatings: Enhancing Performances and Sustainability. Surfaces 2025, 8, 20. https://doi.org/10.3390/surfaces8010020
Cristoforetti A, Donati L, Rossi S. Tagua Powder as a Bio-Based Filler for Waterborne Acrylic Coatings: Enhancing Performances and Sustainability. Surfaces. 2025; 8(1):20. https://doi.org/10.3390/surfaces8010020
Chicago/Turabian StyleCristoforetti, Andrea, Luca Donati, and Stefano Rossi. 2025. "Tagua Powder as a Bio-Based Filler for Waterborne Acrylic Coatings: Enhancing Performances and Sustainability" Surfaces 8, no. 1: 20. https://doi.org/10.3390/surfaces8010020
APA StyleCristoforetti, A., Donati, L., & Rossi, S. (2025). Tagua Powder as a Bio-Based Filler for Waterborne Acrylic Coatings: Enhancing Performances and Sustainability. Surfaces, 8(1), 20. https://doi.org/10.3390/surfaces8010020

