You are currently viewing a new version of our website. To view the old version click .
Heritage
  • Article
  • Open Access

18 February 2025

Material Properties of Lime Mortars Used in the Architectural Heritage of the Joseon Dynasty

,
and
1
Department of Heritage Science and Technology Studies, Graduate School of Korea Heritage, Korea National University of Heritage, 367 Baekjemun-ro, Gyuam-myeon, Buyeo-gun 33115, Republic of Korea
2
Department of Conservation Science, Korea National University of Heritage, 367 Baekjemun-ro, Gyuam-myeon, Buyeo-gun 33115, Republic of Korea
*
Authors to whom correspondence should be addressed.

Abstract

This study aimed to identify the raw materials and characteristics of lime mortar samples recovered from three Joseon dynasty architectural heritage sites: the Munsusanseong Fortress in Gimpo, Namhansanseong Fortress, and Godeung-dong lime-barrier tomb in Seongnam. To achieve this, comprehensive analyses were conducted, including physical property assessments (specific gravity, water absorption, apparent porosity, hydrochloric acid aggregate test, and particle size distribution), material characterization using optical microscopy and SEM-EDS, as well as XRD, WD-XRF, and TGA analyses. The results revealed that the lime mortars from all three sites exhibit the characteristics of Sammulhoe, a traditional Joseon dynasty mixture of lime, sand, and clay minerals. While the binders primarily consisted of air-setting lime, minor hydraulic properties were observed in the samples from the Namhansanseong Fortress and the Godeung-dong lime-barrier tomb, possibly due to the inclusion of dolomite. Additionally, the presence of brick and tile particles (Waseol) in some samples corroborate historical records of lime mortar production techniques during the Joseon dynasty. This study provides scientific insights into the raw materials and characteristics of the Joseon dynasty lime mortar, contributing to a deeper understanding of traditional construction materials and techniques.

1. Introduction

Lime has been a fundamental material used globally from ancient times to the modern era for various purposes, imparting structural integrity and durability in construction foundations and plastering. In particular, lime mortar has been widely employed in heritage architecture. However, it is highly susceptible to deterioration due to prolonged exposure to environmental conditions, necessitating continuous efforts for its preservation and restoration. Consequently, extensive research has been conducted worldwide to investigate the material properties and manufacturing techniques of lime mortar used in cultural heritage.
Recent studies have focused on revealing the raw materials and properties of traditional lime mortar through microscopic and compositional analyses [1,2,3,4,5]. These investigations not only deepen our knowledge of historical construction techniques but also provide essential scientific data for selecting and applying optimal materials during restoration processes. Furthermore, research on the mixing techniques of traditional lime mortar and the environmental factors influencing its deterioration has been actively pursued [6,7,8].
In Korea, the traditional lime construction techniques were largely disrupted during the Japanese colonial period and the modernization process. Therefore, restoring and studying traditional lime mortar has become particularly important. Previous studies on traditional lime restoration have included historical documents and archival records [9,10,11,12,13,14,15], as well as analyses of the mineralogical composition, chemical properties, and physical characteristics of lime mortar used in cultural heritage [16]. However, in-depth research on the raw materials and their characteristics is required.
This study aims to identify the raw materials and properties of lime mortar recovered from the Joseon dynasty (1392–1910) in architectural heritage sites including the Munsusanseong Fortress in Gimpo, Namhansanseong Fortress, and Godeung-dong lime-barrier tomb in Seongnam, through scientific analyses. Our findings will contribute to the understanding of historical construction techniques, establishing a scientific foundation for the sustainable preservation of Korea’s architectural heritage.

2. Historical Records of Lime Mortar in the Joseon Dynasty

Although there are no documented records confirming the exact period when lime was first used in Korea, it can be inferred from the mural paintings in Goguryeo tombs [17,18] and the stone chamber tombs of Baekje [19,20,21] that lime was already in use during the Three Kingdoms period (B.C. 1—A.D. 7). Subsequently, the processing and application of lime mortar can be traced to the Joseon dynasty (1392–1910).
During the Joseon dynasty, historical texts such as “Uigwe (儀軌)”, “Joseon wangjo sillok (朝鮮王朝實錄)”, and “Bukageui (北學議)” indicate that lime was used in different ways depending on its purpose. Sammulhoe (三物灰) and Samhwahoe (三和之灰) were primarily employed for construction, while Yuhoe (油灰), Suhoe (水灰), and Yangsangdohoe (樑上塗灰) were mainly used for plastering. Among them, Sammulhoe and Samhwahoe were utilized as mortars in the construction of lime chamber tombs, royal tombs, foundation compaction, and structural masonry. Sammulhoe was a lime mortar composed of lime, sand, and either Hwangtoh (黃土) [Appendix A] or Baektoh (白土) [Appendix B], whereas Samhwahoe consisted of lime, sand, and Waseol (瓦屑), powdered roof tiles and bricks) [7,8].
According to “Yeonggeon-euigwe (營建儀軌)”, Sammulso (三物所), a government-run workshop, preferred filtering raw materials using sieves to achieve a specific particle size. This practice is presumed to have considered the pozzolanic reaction of aggregates and workability, although no detailed records regarding particle size distribution have been identified in historical texts. However, historical documents mention the provenance of Hwangtoh and Baektoh, suggesting that these materials were primarily composed of clay minerals, similar to modern-day kaolinite. Additionally, “Bukageui” contains records regarding the sources and selection criteria for sand, stating that angular particles with minimal impurities were preferred, regardless of the sand origin, whether it was collected from mountains, lakes, or the sea. Furthermore, “Imwon kyungjeji (林園經濟志)” and “Bukageui” describe Waseol as one of the key components of Samhwahoe, specifying that it was derived from crushed, defective roof tiles and bricks; however, the exact production method remains unclear. These records indicate that crushed roof tiles were intentionally added in large quantities to construction lime, possibly due to their pozzolanic properties, which contributed to strength enhancement [9,22].
Moreover, historical texts provide information on the mixing ratios of lime mortar, which are recorded as volumetric ratios based on the “mal (斗)” (a traditional Korean unit of volume). However, further research is required to clarify the specific properties of the lime used, the fineness of the raw materials, and whether the actual mortars used in architectural heritage sites match the compositions described in historical records.

3. Materials and Methods

3.1. Research Sites and Sampling

During the Joseon dynasty, lime mortar was utilized in fortresses and burial structures, specifically in mountain fortresses and lime-barrier tombs. Many fortresses have undergone modern restoration efforts over time. This study focused on archaeological sites confirmed to retain their original mortar based on excavation findings and previous research. The number of samples collected from each site was determined based on the archaeological significance and preservation state of the remains.(Table 1, Figure 1)
Table 1. Identification and description of the samples and the sampling sites.
The Munsusanseong Fortress in Gimpo, located in Gyeonggi Province, is a mountain fortress used since the Three Kingdoms period. The extant fortress walls were extensively rebuilt in 1694 during the reign of King Sukjong. The western fortress wall, which serves as the subject of this study, was constructed during the 17th to 18th centuries. Although it was damaged during the French attack in the Byeong-in Yangyo (1866), excavation efforts revealed foundational structures and facilities of the wall [23]. Samples were collected from the southern and northern sections of the western wall, specifically from the left, center, and right areas of each section.
The Namhansanseong Fortress is situated in Gwangju in Gyeonggi Province and was a critical defensive structure protecting the capital, Hanyang, during the Joseon dynasty. Initially constructed as a Jujang Fortress in the 13th year of King Munmu’s reign (673, Silla Dynasty), Namhansanseong evolved into its current form after major reconstruction starting in the 2nd year of King Injo’s reign (1624). Subsequent expansions included the Bongamseong Outer Fortress (1686, 12th year of King Sukjong), Hanbong Fortress (1693, 19th year of King Sukjong), and the Sinnam Fortress (1719, 45th year of King Sukjong), with additional renovations during the reigns of Kings Yeongjo (1724–1776) and Jeongjo (1776–1800). While the Jujang Fortress has undergone multiple restoration efforts since 1970, the Bongamseong and Hanbong Fortress remain unrestored, leaving significant portions of the parapets severely damaged and prone to collapse [9,24]. For this study, one sample was collected from each parapet of the Bongamseong and Hanbong Fortress, considering their archaeological characteristics and preservation state.
The Godeung-dong archaeological site in Seongnam was discovered during a preliminary cultural heritage survey conducted in advance of a public housing development project. Among the nine lime-barrier tombs excavated in Zone 6, six tombs (No. 4, 6, 7, 8, 9, and 10) were selected for analysis based on their well-preserved condition. However, given their intended use for exhibition, a single sample was collected from each tomb for minimal invasive analysis. The tombs’ construction periods and characteristics reveal that Tomb No. 4 features a distinct two-chambered design and is the burial site of Woo Eon-gyeom (1509–1573) and his wife. Tomb No. 6 belongs to Woo Eon-gyeom’s father, Woo Seong-yun (1473–1535), while the remaining tombs are identified as the burial sites of Woo Eon-gyeom’s son, Woo Seong-jeon (1542–1593), a notable militia leader during the Imjin War, and his brothers and descendants [25,26].
Figure 1. The historic sites of the material sampling. The (a) Munsusanseong Fortress in Gimpo [27], (b) Namhansanseong Fortress, and (c) Seongnam Godeung-dong lime–barrier tombs.

3.2. Methods

This study aims to analyze the physical, mineralogical, and chemical properties of 15 lime mortar samples collected from three Joseon dynasty archaeological sites to identify the constituent materials and their characteristics.
To evaluate the physical properties of the samples, their specific gravity, porosity, and water absorption were measured. These measurements were conducted in accordance with ASTM C642-21 [28] Each test was conducted in triplicate per sample, and the average values were calculated.
To determine the binder-to-aggregate ratio in the mortar, the samples were analyzed following ASTM C1324-20 [29]. For this analysis, 1 g of each sample was dissolved in 25% hydrochloric acid for 15 min, followed by filtration, washing, and drying to measure the remaining aggregate weight [30,31]. However, during the acid dissolution process, there is a possibility that soluble silica components, such as smectite and kaolinite within the aggregates, may also dissolve [31,32]. To minimize these effects and improve the accuracy of the analysis, three separate 1 g portions were taken from each sample for repeated experiments, and the average values were calculated. However, due to the limited sample availability from the Godeung-dong lime-barrier tombs, only a single analysis was conducted for certain samples (GD4-A, GD4-B, GD7, GD9, and GD10).
Particle size distribution analysis of the aggregates separated during the hydrochloric acid test was conducted using a laser diffraction particle size analyzer (Sald-2300, Shimadzu, Japan) and the weight ratios of each particle size were calculated. The results were categorized into gravel, sand, silt, and clay, based on the USDA Soil Texture Classification [31].
To examine the morphological characteristics of the cross-section and the chemical properties of the microstructure, the samples were mounted using a blue low-viscosity epoxy resin (Blue Pigment, Buehler, KS, USA) [33,34]. The prepared lime mortar samples were analyzed for their microstructural characteristics, including particles and hydration products, using a stereomicroscope (Nikon SMZ18, Nikon, Japan). Comprehensive analysis of the microstructure and composition was conducted with a scanning electron microscope (SEM; SU-3800, Hitachi, Japan) equipped with an energy dispersive spectrometer (EDS; Ultim Max EDS detectors, Oxford, UK) to investigate the constituent particles and components of the samples. SEM-EDS analysis was conducted at an accelerating voltage of 20 kV, an electron beam spot size of 70–80 µm, and a working distance of 6.1–11.7 mm in the BSE mode, allowing for detailed observation of the cross-section and microstructure of the samples.
To identify the mineral composition of the lime mortar, X-ray diffraction analysis was conducted using an X-ray diffractometer (XRD; Miniflex, Rigaku, Japan). The analytical conditions were set to Cu Kα radiation at a voltage of 40 kV, a current of 15 mA, a scan range of 5° to 80°, a scan step of 0.02°, and a scan speed of 2°/min.
To characterize the properties of the binder within the samples thermogravimetric and differential scanning calorimetry (TG–DSC; SDT650, TA Instruments, New Castle, DE, USA), analysis was performed. The samples were collected from untethered internal sections, powdered, and analyzed under air atmosphere conditions, with a sample weight of approximately 10 mg, a heating rate of 10 °C/min, and a temperature range of 25 to 1000 °C.
Finally, the elemental composition of the samples was analyzed in the Korea Basic Science Institute (KBSI) for the ten principal components of lime (SiO2, Al2O3, Fe2O3, K2O, CaO, MgO, MnO, Na2O, P2O5, and TiO2) using a wavelength dispersive X-ray fluorescence spectrometer (WD–XRF; PW2404, Philips, Amsterdam, The Netherlands).

4. Results

4.1. Physical Properties

4.1.1. Specific Gravity, Absorption Rate, and Apparent Porosity

The results for the specific gravity, water absorption, and apparent porosity of each sample are presented in Table 2 and Figure 2. The water absorption of all samples ranged between 16.33 and 43.93%, bulk density ranged between 1.19 and 1.88, and apparent porosity ranged within 29.10–52.24%. Regarding the samples from the Munsusanseong Fortress, excluding MSS-1, the water absorption ranged within 16.33–22.59%, apparent porosity ranged between 29.10 and 36.08%, and bulk density ranged between 1.60 and 1.78, exhibiting a relatively narrow distribution. Similarly, the samples from the Hanbongseong Fortress and Bongamseong Fortress of the Namhansanseong Fortress exhibited comparable values, with the water absorption ranging between 18.67 and 22.92%, apparent porosity ranging within 31.50–36.48%, and bulk density ranging between 1.59 and 1.69. In contrast, the samples from the Godeung-dong lime-barrier tombs in Seongnam exhibited a wider distribution. The water absorption ranged within 17.72–43.93%, apparent porosity ranged between 30.98 and 52.24%, and bulk density ranged between 1.40 and 1.88, depending on the specific burial structure. These results indicate that, despite being collected from the same site, the properties varied according to the burial structure. This variation is presumed to be due to differences in the binder-to-aggregate ratio within the mortar.
Table 2. Basic physical properties and raw material compositions of mortars (B: binder, A: aggregate).
Figure 2. Physical properties of analyzed samples. The sample data are the same as those of Table 2.

4.1.2. HCl Aggregate Test and Particle Size Analysis

The binder-to-aggregate ratios and particle size distributions of the aggregates were determined through HCl aggregate testing and subsequent size analysis (Table 2, Figure 3). The binder-to-aggregate ratio analysis of lime mortar samples from the Gimpo Munsusanseong Fortress, conducted through hydrochloric acid aggregate testing, revealed a ratio of 1:0.31 to 1:5.12 for the upper southern wall, while the northern section exhibited a range of 1:2.20 to 1:6.69. For the samples from the Namhansanseong Fortress, the ratio in Hangeongseong was 1:2.16 to 1:3.96, whereas in Bongamseong, it ranged from 1:2.00 to 1:2.79. For the Godeung-dong tombs, the ratios were estimated as follows: Tomb 4 exhibited a ratio of 1:2.20 to 1:3.02, Tomb 6 showed a ratio of 1:2.47 to 1: 3.89, Tomb 7 had a ratio of 1:0.63, Tomb 8 ranged from 1:1.14 to 1:2.24, Tomb 9 had a ratio of 1:0.79, and Tomb 10 had a ratio of 1:2.48.
Figure 3. (a) Particle size distribution of the aggregates from whole samples, (be) particle size distribution of the aggregates grouped by heritage site, and (f) ternary plot according to Folk’s classification.
Laser diffraction techniques were used to classify the particle size distribution. The analysis revealed that all samples predominantly comprised sand and silt, with minimal gravel and clay contents. Aggregates from the Munsusanseong Fortress displayed variations in distribution based on sampling locations, with the sand content ranging from 76.50% to 94.12% by weight and the minimal silt content ranging from 0.13% to 5.65%. In the Namhansanseong Fortress samples, the sand content in the Hanbongseong Fortress (90.14% by weight) was notably higher than that in the Bongamseong Fortress (45.49% by weight). Aggregates from the lime-barrier tombs exhibited variability, with the sand content ranging from 75.73% to 99.97% by weight, containing only trace amounts of gravel and clay.

4.2. Material Characteristics

4.2.1. Microstructural Features

To investigate the structural characteristics of the mortar, cross-sectional observations were performed using a stereomicroscope, and microstructural analysis was conducted via SEM-EDS.
The samples collected from the Munsusanseong Fortress in Gimpo commonly exhibited the presence of binder along with sub-angular to angular quartz, feldspar, and mica particles (Figure 4 and Figure 5). Additionally, uncalcined lime lumps, possibly resulting from incomplete firing, were observed. These lime lumps were primarily composed of lime lumps with a high calcium (Ca) content (Figure 5 and Figure 6). However, some particles showed a lower Ca content and relatively higher magnesium (Mg) content, indicating the presence of dolomite (Figure 7). Unlike the other samples, MSS-1 contained Waseol, with its size ranging from 1 mm to 2 cm. SEM-EDS analysis of these fragments identified aluminum (Al), silicon (Si), and potassium (K) as the major components, with trace amounts of calcium (Ca) (Figure 8).
Figure 4. Stereoscopic microphotographs of analyzed samples. The sample numbers are the same as those of Table 1.
Figure 5. Stereomicroscopic and SEM-EDS data of the binder and aggregates (MSN-1).
Figure 6. Stereomicroscopic and SEM-EDS data of lime lump (MSS-1).
Figure 7. Stereomicroscopic and SEM-EDS data of dolomite lump (MSS-2).
Figure 8. Stereomicroscopic and SEM-EDS data of the Waseol particles (MSS-1).
A comparative analysis of the cross-sections of samples collected from the Namhansanseong Fortress revealed similar microstructural characteristics across all samples (Figure 4). Commonly observed features include the presence of binder along with clay minerals, as well as sub-angular to angular quartz, feldspar, and mica particles. Additionally, some lime lumps and dolomite lumps were identified.
EDS mapping analysis indicated that certain dolomite particles exhibited a decrease in their magnesium (Mg) content at the outer edges compared to the interior, accompanied by an increase in the silicon (Si) and aluminum (Al) concentrations (Figure 9). This phenomenon is interpreted as de-dolomitization, a process frequently observed in ancient lime mortars, involving a possible precipitation of magnesium-aluminum-silicate-hydrate (M-A-S-H) or magnesium-silicate-hydrate (M-S-H) compounds. This reaction likely occurred in the alkaline environment of the mortar, facilitated by the decomposition of dolomite and its interaction with silica- and aluminum-rich clay minerals present in the mortar [35,36,37,38,39,40,41] Furthermore, black charcoal particles with visible wood cellular structures were observed (Figure 10). EDS analysis revealed a high concentration of calcium (Ca) in these particles, which is interpreted as the result of Ca filling the organic cell structures. These charcoal particles are thought to have been incorporated into the mortar because of the layered firing technique used in the late Joseon dynasty kilns, where lime and charcoal were alternately stacked and fired [42].
Figure 9. Stereomicroscopic and SEM-EDS data of the (1) dolomite particles and (2) reaction rim (NHH).
Figure 10. Stereomicroscopic and SEM-EDS results of the charcoal particles (NHH).
The Godeung-dong lime-barrier tombs in Seongnam exhibited variations in their microstructural characteristics across the individual tombs. However, common features observed in all samples included the presence of binder, incompletely calcined lime lumps, and dolomite particles. In some dolomite particles, minor de-dolomitization phenomena were identified. Notably, the proportion of lime lumps in the samples from the Godeung-dong tombs was relatively higher compared to those from Munsusanseong and Namhansanseong (Figure 4 and Figure 11).
Figure 11. Stereomicroscopic and SEM-EDS results of lime lump (GD9).
Additionally, the samples exhibited sub-angular to highly angular quartz, feldspar and mica particles, along with clay minerals used as aggregate (Figure 12). Analysis of specific samples from each tomb revealed distinct characteristics. In Tomb No. 4, sample GD4-B displayed a lighter color compared to GD4-A, which was attributed to the higher concentration of lime lumps contained in GD4-B (Figure 4). Conversely, sample GD8 exhibited a grayish tone, possibly influenced by the higher proportion of charcoal particles embedded within the sample (Figure 4). Furthermore, samples GD4 and GD10 contained particles with high aluminum (Al), silicon (Si), potassium (K), and iron (Fe) contents, presumed to be Waseol (Figure 13). These findings suggest that the lime-barrier tombs in Godeung-dong were constructed using different materials and mixing ratios. This variation indicates that the construction methods and material combinations differed between individual tombs.
Figure 12. Stereomicroscopic and SEM-EDS results of quartz, feldspar and mica particles (GD8).
Figure 13. Stereomicroscopic and SEM-EDS results of the Waseol particles (GD4-A).

4.2.2. Mineral Composition

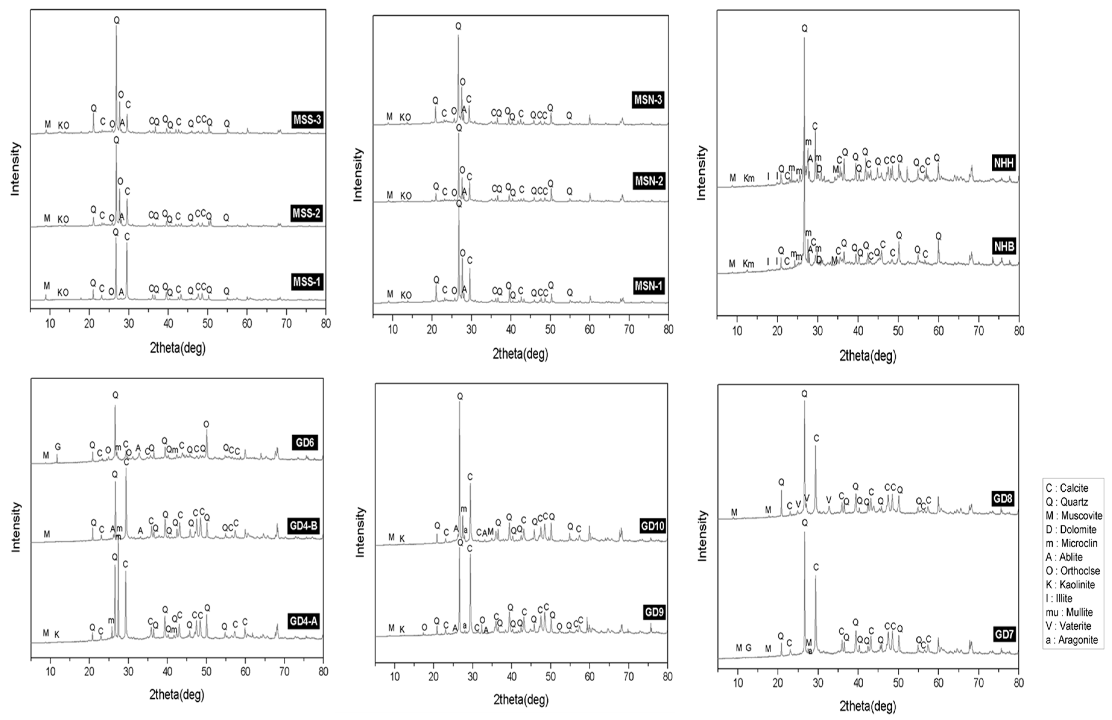
To determine the mineral composition of the Joseon dynasty lime mortar, XRD analysis was conducted. Calcite was commonly identified as the primary mineral component of the binder in all samples (Figure 14), indicating complete carbonation in all tested cases.
Figure 14. XRD diffractograms of the analyzed samples.
Examining the binder composition by site, calcite was the only mineral identified in the samples from the Munsusanseong Fortress. In the samples from the Namhansanseong Fortress, dolomite was observed, possibly originating from the impurities present in limestone. Some samples from the Godeung-dong lime-barrier tombs contained gypsum, as well as the carbonate minerals vaterite and aragonite. These minerals are interpreted as secondary formations caused by salts introduced after burial, rather than being derived from the original mortar materials.
Regarding the aggregates, soil minerals such as quartz, muscovite, orthoclase, and albite, as well as clay minerals like kaolinite and microcline, were identified in the samples from all three sites. This confirms the characteristic composition of Sammulhoe—a traditional Joseon dynasty lime mortar mixture consisting of lime, sand, and clay minerals. Notably, while microcline likely originated from clay minerals, it is also possible that some microcline particles may have originated from Waseol fired at a low temperature. [16].

4.2.3. Thermal Properties

Thermal analysis of the samples revealed weight loss and endothermic reactions across four temperature intervals: below 120 °C, 120–200 °C, 200–600 °C, and above 600 °C (Figure 15, Table 3) [43,44,45,46].
Figure 15. TGA−DSC results of the analyzed samples.
Table 3. Water and CO2 mass loss of mortar samples calculated via thermal analysis (TG curves). The last column corresponds to the hydraulicity ratio.
In the first interval (below 120 °C), the weight loss and endothermic reactions were attributed to the evaporation of physically adsorbed moisture on the sample surfaces, with the weight loss rates ranging from 0.85% to 3.73%. In the second interval (120–200 °C), the bound water in the hydrates was decomposed, with the weight loss rates across all samples falling within a similar range of 0.61% to 2.38%. The third interval (200–600 °C) corresponds to the decomposition of bound water in hydrous products such as C-S-H gel and ettringite, where the weight loss rates varied among the samples, which was approximately 7%. Finally, in the interval above 600 °C, the weight loss and endothermic reactions were attributed to the decarbonization of CaCO3. Notably, a broad range of weight loss rates (4.29% to 29.33%) was observed across the samples, reflecting variations in the lime content within each sample.

4.3. Geochemical Properties

WD-XRF was conducted to determine the main components of the mortars, and the results are presented in Table 4. The analysis focused on the contents of CaO, SiO2, Al2O3, Fe2O3, and MgO, which are the primary constituents of lime and lime mortar.
Table 4. Chemical composition and LOI (wt%) via WD-XRF analysis of mortars.
The Gimpo Munsusanseong Fortress samples exhibited similar compositions, except for sample MSS-1, which contained 33.7 wt% CaO. SiO2 ranged from 61.02 to 64.09 wt%, Al2O3 ranged from 12.79 to 13.25 wt%, and CaO ranged from 6.38 to 9.32 wt%. The loss on ignition (LOI) values were recorded between 8.66 and 10.36 wt%, with the other major components quantified at approximately 10 wt% on average.
The analysis of the Namhansanseong Fortress samples focused on five components: SiO2, Al2O3, Fe2O3, MgO, and CaO. The SiO2 content ranged from 59.54 to 68.34 wt%, Al2O3 ranged from 13.97 to 14.55 wt%, and CaO ranged from 12.56 to 15.97 wt%. Additionally, MgO ranged from 3.37 to 6.05 wt%, suggesting the potential incorporation of dolomitic limestone.
The samples from the Godeung-dong tombs in Seongnam exhibited a broader compositional range. Their SiO2 content ranged from 33.57 to 49.22 wt%, Al2O3 ranged from 5 to 10 wt%, and CaO ranged from 6.38 to 9.32 wt%. The LOI values ranged from 15.02 to 23.53 wt%, reflecting compositional differences tied to the specific structural remains. Notably, MgO was detected in a range from 1.79 to 9.31 wt%, suggesting the possible inclusion of dolomitic limestone.

5. Discussion

5.1. Binder

To determine the type of lime used in the binders and assess the hydraulic index, we analyzed the results from TGA-DSC, WD-XRF, and EDS analyses.
In the TGA-DSC analysis (Figure 16), the lime mortars exhibited specific characteristics based on the percentage of H2O and the CO2/ H2O ratio [47,48,49,50]. H2O refers to the weight loss observed between 200 and 600 °C and the classification criteria were as follows:
Figure 16. Analysis of hydraulic Properties via TGA-DSC.
  • Non-hydraulic mortars: if the percentage weight loss due to structural bound water H2O < 4% and CO2/H2O > 10.
  • Intermediate hydraulic mortars: if H2O is in within 4–6% and CO2/H2O 4–9.
  • Hydraulic mortars: if H2O 6–10% and CO2/H2O < 4.
The EDS results of the lime lumps observed in the microstructure along with the WD-XRF results of the lime mortar were plotted on a CaO-MgO-FeO ternary diagram (Figure 17). Additionally, based on the EDS analysis of the lime lumps, the cementation index (C.I., Equation (1)) of the binder in the lime mortar was evaluated using the classification criteria outlined in BS EN 459-1 [51] (Table 5). In this process, the lime lumps were assumed to represent the lime used in the mortar, presuming that these particles retained the same chemical composition as the original raw material.
C e m e n t a t i o n   I n d e x   ( C . I . ) = 2.8   S i O 2 + 1.1   A l 2 O 3 + 0.7 F e 2 O 3 C a O + 1.4   M g O
Figure 17. Plotted Ca-Fe-Mg diagram of lime lumps. (a) SEM-EDS and (b) WD-XRF.
Table 5. Chemical composition of lime lumps and C.I. via SEM-EDS analysis of mortars.
Analysis of the binder characteristics using the TGA results, the CaO-MgO-FeO ternary diagram, and the C.I. index revealed that the samples from the Munsusanseong Fortress exhibited a H2O content of less than 7.5% and a CO2/H2O ratio of approximately 2 to 9%, indicating some hydraulic characteristics. However, the C.I. index was measured below 0.3, and the ternary diagram analysis based on the WD-XRF results confirmed that the CaO content exceeded 90%. These findings suggest that the lime used in the samples was non-hydraulic lime. Despite the use of calcium lime, the hydraulic characteristics observed in the TGA analysis are likely attributed to a para-pozzolanic reaction [16]. This reaction occurred between the active silica (SiO2) and alumina (Al2O3) components derived from clay minerals and Waseol within the aggregates, as well as the partially mixed dolomitic lumps.
The analysis of the samples from the Namhansanseong Fortress revealed a H2O content of approximately 4–6% and a CO2/H2O ratio of approximately 0.8–1.2%, indicating partial hydraulic characteristics. Additionally, the CaO-MgO-FeO ternary diagram based on WD-XRF analysis showed a relatively high MgO content. Microstructural analysis further revealed evidence of de-dolomitization, and particles with a C.I. index of 2.35 were observed. These findings suggest that the binder in the Namhansanseong mortar consists of calcium lime mixed with dolomitic lime, imparting some hydraulic properties.
TGA analysis of the samples from the Godeung-dong lime-barrier tombs revealed a wide range of characteristics, from non-hydraulic to hydraulic lime. Combining the composition of the lime lumps observed in the microstructural analysis with the WD-XRF results, the samples exhibited a composition of 60–80% CaO, 20–40% MgO, and less than 25% SiO2. The C.I. index ranged from 0.02 to 1.1, with an average value of 0.4. Additionally, minor de-dolomitization phenomena were observed in some dolomite particles, indicating the presence of dolomitic components within the binder. Based on these findings, it can be inferred that the binder in the Godeung-dong lime-barrier tomb samples consists of calcium lime mixed with a portion of dolomitic limestone, resulting in partially hydraulic characteristics.
These findings suggest that the binder in the Joseon dynasty lime mortar primarily consists of calcium lime; however, depending on the source of the limestone, lime mixed with dolomite may have been used. According to historical records, dark-colored limestone was used to produce construction lime. Furthermore, previous studies have confirmed that quicklime produced from calcining bluish-green and dark greenish-black limestone exhibited hydraulic properties [52]. These results indicate that, in addition to the influence of limestone sourcing, the selection and combination of such limestone types may have been intentional, to enhance the strength and durability of the mortar.

5.2. Aggregates

Scientific analyses confirmed that sand and clay minerals were used as aggregates in all samples. The quartz and feldspar particles within the aggregates were predominantly sub-angular to angular across all samples. This suggests that the aggregates did not originate from river or marine transport processes and likely derived from weathered granite soils or similar mountain aggregates. Particle size distribution analysis revealed that sand constituted over 80 wt% of the aggregates in all samples, with a uniform size distribution. This indicates that the aggregates may have undergone sieving and selection processes before mixing. Findings such as this provide supporting evidence that the sieving technique described in historical records of the Joseon dynasty [9,22] was indeed employed in mortar production.
Although clay minerals were not distinctly observed in the microstructure or SEM-EDS analysis, XRD analysis revealed the presence of kaolinite and microcline, confirming the inclusion of clay minerals in the samples. Based on historical records [9,22] of Sammulhoe, a traditional Joseon dynasty lime mortar mixture, the clay minerals used are presumed to be Hwangtoh and Baektoh, which are well-known natural pozzolanic substances. Our findings suggest that the Joseon dynasty craftsmen may have intentionally utilized the pozzolanic reaction between lime and clay minerals, which forms various hydration products, thereby enhancing the strength of the mortar [41,53,54].
In samples where Waseol was observed, XRD analysis did not detect high-temperature firing products such as tridymite, mullite, or cristobalite, which are typically formed in fired bricks or tiles. However, low-fired bricks and tiles may exhibit XRD patterns similar to those of clay minerals [16]. This highlights the need for further research on the properties of Waseol in the Joseon dynasty mortars.

6. Conclusions

In this study, we conducted scientific analyses on lime mortar samples collected from the Munsusanseong Fortress in Gimpo, Namhansanseong Fortress, and Godeung-dong lime-barrier tombs in Seongnam. The objective was to identify the characteristics of the binders and aggregates used in the Joseon dynasty lime mortars.
The lime mortar from the Munsusanseong Fortress contained non-hydraulic lime as the binder, while the aggregates consisted of mountain-derived aggregates and sieved clay minerals. Notably, the MSS-1 sample was the only one among the Munsusanseong samples to contain Waseol, exhibiting the highest lime content. This resulted in high water absorption, high apparent porosity, and low density.
The lime mortar from the Namhansanseong Fortress contained non-hydraulic lime mixed with dolomite as the binder, exhibiting partial hydraulic properties, such as evidence of de-dolomitization. The aggregates were identified as mountain-derived aggregates and clay minerals. The charcoal particles observed in the samples indicate that the lime was fired in a layered kiln.
The lime mortar from the Godeung-dong lime-barrier tombs exhibited non-hydraulic lime as the binder, with some samples showing the inclusion of dolomite. The aggregates, similar to those from the other sites, were mountain derived. However, in some samples (GD4-B, GD6, GD7, and GD8), clay minerals were not detected through XRD analysis. Additionally, Waseol was observed, and the proportion of lime lumps was higher compared to the other samples. This suggests that aged quicklime or incompletely calcined lime may have been used.
In conclusion, while the analyzed samples cannot be considered representative of all the Joseon dynasty lime mortars, the findings indicate that the fundamental properties of Samulhoe and Samhwahoe, commonly used in constructions such as fortresses and burial structures like lime chamber tombs, are well reflected in most of the samples. Furthermore, the presence of Waseol in some samples supports historical records describing the use of diverse raw materials and techniques in mortar production. Comprehensive scientific analyses, including an assessment of hydraulic properties, suggest that the binders primarily consisted of calcium lime with possible admixtures of dolomitic lime. Additionally, the aggregate materials appear to include pozzolanic substances such as clay minerals and Waseol. These findings indicate that attempts were likely made to enhance the strength of lime mortars during the Joseon dynasty through the use of pozzolanic and para-pozzolanic reactions.
However, due to limitations in sample collection caused by preservation issues at the study sites, further research involving additional samples is necessary to further reveal the composition, strength, pozzolanic reactivity, and environmental characteristics of the Joseon dynasty lime mortars. Such studies would not only systematically clarify the features and production techniques of traditional lime mortar but also contribute to the restoration of traditional lime mortar technologies that were disrupted during the Japanese colonial period.

Author Contributions

Conceptualization, H.U.I., S.O.L. and G.Y.C.; data curation, H.U.I. and S.O.L.; formal analysis, H.U.I.; investigation, H.U.I. and S.O.L.; methodology, H.U.I. and S.O.L.; project administration, S.O.L. and G.Y.C.; software, H.U.I.; supervision, S.O.L. and G.Y.C.; validation, H.U.I. and S.O.L.; writing—original draft, H.U.I.; writing—review and editing, H.U.I., S.O.L. and G.Y.C. All authors have read and agreed to the published version of the manuscript.

Funding

This research received no external funding.

Data Availability Statement

Data are contained within the Master Thesis “Im, H., 2024. Microstructural Characteristics of Historic Lime According to Raw Materials. Department of Heritage Science and Technology Studies, Degree Program in Conservation·Restoration, Graduate School of Korea Heritage, Korea”.

Acknowledgments

This work was supported by 2018 Academic Research Support Program of Korea National University of Heritage.

Conflicts of Interest

The authors declare no conflicts of interest.

Appendix A

In South Korea, the term “Hwangtoh” refers to yellowish to reddish-brown weathered residual soil, also known as weathered soil, which is formed by the chemical weathering of rocks rather than being derived from fluvial-origin sediments (such as losses). In this context, the term “Hwangtoh” is commonly used.
From a mineralogical perspective, Hwangtoh belongs to the kaolin group of clay minerals (silicate minerals). Minerals in this group include nacrite, dickite, kaolinite, and halloysite, all of which are classified as clays and categorized as pozzolanic materials [53].

Appendix B

In South Korea’s Mining Law, “Baektoh” (white clay) is classified as a kaolin-based mineral, including kaolin, pyrophyllite, acidic white clay, and bentonite. It consists of clay minerals such as kaolinite and halloysite. Similarly to Hwangtoh, it belongs to the category of natural pozzolanic materials. During the Joseon dynasty, it was recorded under names such as Baektoh and Baekjeomto in historical documents like the Annals of the Joseon dynasty, the Seungjeongwon Ilgi (Diaries of the Royal Secretariat), and the Bibyeonsa Deungnok (Records of the Border Defense Council) [54].

References

  1. Sitzia, F.; Beltrame, M.; Lisci, C.; Mirão, J. Micro Destructive Analysis for the Characterization of Ancient Mortars: A Case Study from the Little Roman Bath of Nora (Sardinia, Italy). Heritage 2021, 4, 2544–2562. [Google Scholar] [CrossRef]
  2. Calandra, S.; Salvatici, T.; Pecchioni, E.; Centauro, I.; Garzonio, C.A. Mortar Characterization of Historical Masonry Damaged by Riverbank Failure: The Case of Lungarno Torrigiani (Florence). Heritage 2023, 6, 3820–3834. [Google Scholar] [CrossRef]
  3. Sardella, A.; Canevarolo, S.; Marrocchino, E.; Tittarelli, F.; Bonazza, A. Investigation of Building Materials Belonging to the Ruins of the Tsogt Palace in Mongolia. Heritage 2021, 4, 2494–2514. [Google Scholar] [CrossRef]
  4. Dilaria, S.; Secco, M.; Ghiotto, A.R.; Furlan, G.; Giovanardi, T.; Zorzi, F.; Bonetto, J. Early exploitation of Neapolitan pozzolan (Pulvis puteolana) in the Roman theatre of Aquileia, Northern Italy. Sci. Rep. 2023, 13, 4110. [Google Scholar] [CrossRef]
  5. Lara Calderón, M.L.; Sanz-Arauz, D.; López-Andrés, S.; Pino, I.D. Characterization and Analysis of the Mortars of the Church of Santo Domingo in Quito (Ecuador). Heritage 2022, 5, 4024–4036. [Google Scholar] [CrossRef]
  6. Ciantelli, C.; Sardella, A.; Arroyo Duarte, S.; Pecchioni, E.; Bonazza, A. The Monumental UNESCO Site of Panamá Viejo: Investigation of the Masonry Mortars. Heritage 2022, 5, 646–663. [Google Scholar] [CrossRef]
  7. Maravelaki, P.-N.; Theologitis, A.; Budak Unaler, M.; Kapridaki, C.; Kapetanaki, K.; Wright, J. Characterization of Ancient Mortars from Minoan City of Kommos in Crete. Heritage 2021, 4, 3908–3918. [Google Scholar] [CrossRef]
  8. Fort, R.; Varas-Muriel, M.; Zoghlami, K.; Ergenç, D.; Zaddem, A. Analytical characterisation of 1st- and 2nd-century Roman mortars at the Utica archaeological site (Tunisia): Construction phases and provenance of the raw materials. J. Archaeol. Sci. 2024, 54, 104404. [Google Scholar] [CrossRef]
  9. National Research Institute of Cultural Heritage. A Study on the Ancient Literature of Traditional Lime Materials; National Research Institute of Cultural Heritage: Daejeon, Republic of Korea, 2021. [Google Scholar]
  10. National Research Institute of Cultural Heritage. Lime from the Joseon Dynasty Recorded in Oegyujanggak Uigwe; National Research Institute of Cultural Heritage: Daejeon, Republic of Korea, 2020. [Google Scholar]
  11. Lee, K.Y. A Study on the Materials and Technique of Lime Plaster Work in Government Constructions in the Late of Joseon Dynasty(17~19c)—Focused on the Lime Plaster Materials in ’Yeonggeon-Uigwe’(Construction Reports). J. Archit. Hist. 2009, 18, 63–79. [Google Scholar]
  12. Lee, K.Y. A Study on the Lime of Government Constructions Based on the Analysis of Construction Reports in the Late of Joseon Dynasty(17~19c)—Emphasized on the production, provision, and application of lime. J. Archit. Hist. 2009, 18, 23–46. [Google Scholar]
  13. Lee, S.O. Manufacturing Techniques of Traditional Lime Mortars in Joseon Dynasty. Master’s Thesis, Korea National University of Heritage, Daejeon, Republic of Korea, 2016. [Google Scholar]
  14. Lee, S.O. A Study on Building Lime in Joseon Dynasty—Focusing on the Low Grade Limestone and Pozzolanic Materials. Ph.D. Thesis, Korea National University of Heritage, Daejeon, Republic of Korea, 2019. [Google Scholar]
  15. National Research Institute of Cultural Heritage. Traditional Lime Mortar and Plaster: Restoration of Historic Buildings; National Research Institute of Cultural Heritage: Daejeon, Republic of Korea, 2021. [Google Scholar]
  16. Lee, D.H. The Use of Traditional Brick Powder to Improve Performance of Lime Mortar. Master’s Thesis, Korea National University of Heritage, Daejeon, Republic of Korea, 2023. [Google Scholar]
  17. Sim, G.Z. A study of fortress construction method called “Jeungto Chukseong” used in Hanseong Baekje. Seoul Hist. 2010, 76, 41–92. [Google Scholar] [CrossRef]
  18. Lee, H.S.; Lee, H.H.; Lee, K.M.; Han, K.S. Study on the Manufacturing Technology of Mural Tomb in Goa-dong of Daegaya Period. J. Korean Conserv. Sci. Cult. Prop. 2014, 30, 457–466. [Google Scholar] [CrossRef]
  19. Kim, M.J.; An, S.M. A Study on the Characteristics of Lime in the Construction of Ancient Tombs in Baekje. Baekje Study 2024, 79, 1–20. [Google Scholar]
  20. Chae, M.Y. A Study on the Background Materials of Goguryeo Mural Tomb: Focusing on Lime Mortar. Assoc. Koguryo Balhae 2000, 9, 45–107. [Google Scholar]
  21. Han, K.S. Making Technique Studies of Mural Paintings in the No. 6 Tomb of Songsanri, Gongju. J. Conserv. Sci. 2011, 27, 451–458. [Google Scholar]
  22. Kwon, Y.H.; Hong, S.G. Material Properties of Traditional Bricks and Lime Mortars Used in Masonry Tombs of Baekje Dynasty. Korean Concr. Soc. 2012 Autumn Conf. Pap. 2012, 11, 151–152. [Google Scholar]
  23. Gukto Institute of Cultural Heritage. West Side Wall of Munsu Fortress in Gimpo II; Gukto Institute of Cultural Heritage and Gimpo-si: Gimpo-si, Republic of Korea, 2023. [Google Scholar]
  24. Korea Heritage Service. Available online: https://www.heritage.go.kr/heri/cul/culSelectDetail.do;jsessionid=rD53mvHqU9EVjoNQqZowr429jGxzEYW94jy1Kdmb25ASkf6bvRmGG2rHVpmXUaJa.cpawas2_servlet_engine1?VdkVgwKey=13,00570000,31&pageNo=1_1_1_0 (accessed on 15 December 2024).
  25. Kim, W.S.; Jeon, J.Y.; Kim, B.J.; Han, M.S.; Lee, M.H. Scientific Conservation Treatment of Artifacts Collected from the Lime-soil Mixture Barrier Tombs Excavated from the Site of a Public Residential Area in Godeung-dong, Seongnam. Conserv. Sci. Mus. 2019, 22, 53–68. [Google Scholar]
  26. Woori Research Institute for Cultural Properties. Report on the Excavation of Godeung-Dong Site; Woori Research Institute for Cultural Properties and Changwon-si: Changwon-si, Republic of Korea, 2017. [Google Scholar]
  27. Gimpo City Hall. Available online: https://www.gimpo.go.kr/news/selectBbsNttView.do?key=9377&bbsNo=466&nttNo=725144 (accessed on 15 December 2024).
  28. ASTM C642-21; Standard Test Method for Density, Absorption, and Voids in Hardened Concrete. ASTM: West Conshohocken, PA, USA, 2022.
  29. ASTM C1324-20; Standard Test Method for Examination and Analysis of Hardened Masonry Mortar. ASTM: West Conshohocken, PA, USA, 2024.
  30. Rampazzi, L.; Pozzi, A.; Sansonetti, A.; Toniolo, L.; Giussani, B. A chemometric approach to the characterisation of historical mortars. Cem. Concr. Res. 2006, 36, 1108–1114. [Google Scholar] [CrossRef]
  31. Elsen, J.; Van Balen, K.; Mertens, G. Hydraulicity in Historic Lime Mortars: A Review. In Historic Mortars: Characterisation, Assessment and Repair; Springer: Cham, Switzerland, 2012; Volume 7. [Google Scholar] [CrossRef]
  32. Álvarez, J.I.; Martín, A.; Casado, P.G.; Navarro, I.; Zornoza, A. Methodology and validation of a hot hydrochloric acid attack for the characterization of ancient mortars. Cem. Concr. Res. 1999, 29, 1061–1065. [Google Scholar] [CrossRef]
  33. Fonseca, B.S.D.; Pinto, A.P.F.; Silva, D. Compositional and textural characterization of historical bedding mortars from rubble stone masonries: Contribution for the design of compatible repair mortars. Constr. Build. Mater. 2020, 247, 118627. [Google Scholar] [CrossRef]
  34. Pintér, F.; Vidovszky, I.; Weber, J.; Bayer, K. Mineralogical and microstructural characteristics of historic Roman cement renders from Budapest, Hungary. J. Cult. Herit. 2014, 15, 219–226. [Google Scholar] [CrossRef]
  35. Secco, M.; Asscher, Y.; Ricci, G.; Tamburini, S.; Preto, N.; Sharvit, J.; Artioli, G. Cementation processes of Roman pozzolanic binders from Caesarea Maritima (Israel). Constr. Build. Mater. 2022, 355, 129128. [Google Scholar] [CrossRef]
  36. Ponce-Antón, G.; Zuluaga, M.C.; Ortega, L.A.; Agirre Mauleon, J. Petrographic and Chemical–Mineralogical Characterization of Mortars from the Cistern at Amaiur Castle (Navarre, Spain). Minerals 2020, 10, 311. [Google Scholar] [CrossRef]
  37. Baragona, A.; Zanier, K.; Franková, D.; Anghelone, M.; Weber, J. Archaeometric Analysis of Mortars from the Roman Villa Rustica at Školarice (Slovenia). Ann. Ser. Hist. Sociol. 2022, 32, 449–552. [Google Scholar] [CrossRef]
  38. Bernard, E.; Lothenbach, B.; Rentsch, D.; Dauzères, A. Formation of magnesium silicate hydrates (M-S-H). Phisics Chem. Earth 2017, 99, 142–157. [Google Scholar] [CrossRef]
  39. Harisankar, S.; Ellina, B.; Hellen, S.S.; Hoang, N.; Samira, M.; Adeolu, A.; John, L.P.; Paivo, K. A critical review of magnesium silicate hydrate (M-S-H) phases for binder applications. Cem. Concr. Res. 2024, 178, 107462. [Google Scholar] [CrossRef]
  40. Dilaria, S.; Secco, M.; Bonetto, J.; Ricci, G.; Artioli, G. Making Ancient Mortars Hydraulic: How to Parametrize Type and Crystallinity of Reaction Products in Different Recipes. In Conservation and Restoration of Historic Mortars and Masonry Structures, HMC; Bokan Bosiljkov, V., Padovnik, A., Turk, T., Eds.; RILEM Bookseries 42; Springer: Cham, Switzerland, 2022; pp. 36–52. [Google Scholar] [CrossRef]
  41. Arizzi, A.; Cultrone, G. Mortars and plasters—How to characterise hydraulic mortars. Archaeol. Anthropol. Sci. 2021, 13, 144. [Google Scholar] [CrossRef]
  42. Seo, Y. Imwon Gyeongjeji; Ahn, D., Translator; Dolbegae: Paju-si, Republic of Korea, 2005; p. 300. [Google Scholar]
  43. Lanas, J.; Bernal, J.L.; Bello, M.A.; Galindo, J.I. Mechanical properties of natural hydraulic lime-based mortars. Cem. Concr. Res. 2004, 34, 2191–2201. [Google Scholar] [CrossRef]
  44. Newton, R.G.; Sharp, J.H. The chemical composition of lime plasters. Cem. Concr. Res. 1987, 17, 77–80. [Google Scholar] [CrossRef]
  45. Paama, L.; Pitkänen, I.; Rönkkömäki, H.; Perämäki, P. Thermal and infrared spectroscopic characterization of historical mortars. Thermochimica Acta 1998, 320, 127–133. [Google Scholar] [CrossRef]
  46. Biscontin, G.; Birelli, M.P.; Zendri, E. Characterization of binders employed in the manufacture of Venetian historical mortars. J. Cult. Herit. 2002, 3, 31–37. [Google Scholar] [CrossRef]
  47. Moropoulou, A.; Bakolas, A.; Anagnostopoulou, S. Composite materials in ancient structures. Cem. Concr. Compos. 2005, 27, 295–300. [Google Scholar] [CrossRef]
  48. Gleize, P.J.P.; Motta, E.V.; Silva, D.A.; Roman, H.R. Characterization of historical mortarsfrom Santa Catarina (Brazil). Cem. Concr. Compos. 2009, 31, 342–346. [Google Scholar] [CrossRef]
  49. Bakolas, A.; Biscontin, G.; Contardi, V.; Franceschi, E.; Moropoulou, A.; Palazzi, D.; Zendri, E. Thermoanalytical research on traditional mortars in Venice. Thermochim. Acta 1995, 269–270, 817–828. [Google Scholar] [CrossRef]
  50. Sağın, E.U.; Duran, H.E.; Böke, H. Lime mortar technology in ancient eastern Roman provinces. J. Archaeol. Sci. Rep. 2021, 39, 103–132. [Google Scholar] [CrossRef]
  51. BS EN 459-1; Building Lime—Definitions, Specifications and Conformity Criteria. BSI: London, UK, 2015.
  52. Kang, S.-H.; Lee, S.-O.; Hong, S.-G.; Kwon, Y.-H. Historical and Scientific Investigations into the Use of Hydraulic Lime in Korea and Preventive Conservation of Historic Masonry Structures. Sustainability 2019, 11, 5169. [Google Scholar] [CrossRef]
  53. Kim, J.H.; Cho, J.H.; So, S.Y. A study on the Comparative evaluation of Physical Properties of Regional Loess. Korean Archit. Assoc. 2017 Autumn Acad. Present. Conf. Pap. Collect. 2017, 37, 821. [Google Scholar]
  54. Lee, S.H. A Study on the Traditional Plaster Technique in the Period of Joseon Dynasty Using Baekto. Master’s Thesis, Korea National University of Heritage: Daejon, Republic of Korea, 2019. [Google Scholar]
Disclaimer/Publisher’s Note: The statements, opinions and data contained in all publications are solely those of the individual author(s) and contributor(s) and not of MDPI and/or the editor(s). MDPI and/or the editor(s) disclaim responsibility for any injury to people or property resulting from any ideas, methods, instructions or products referred to in the content.

Article Metrics

Citations

Article Access Statistics

Multiple requests from the same IP address are counted as one view.