The Influence of Heritage on the Revealed Comparative Advantage of Tourism—A Worldwide Analysis from 2011 to 2022
Abstract
1. Introduction
2. Materials and Methods
2.1. Data
2.2. The Computation of the NRCA Index
2.3. Analysis of the Relationship between NRCA and Heritage
- y(i,j): is the observed dependent variable, with two factors, i = 1…n and j: 1…M (e.g., i being the time and j being the subject or vice versa);
- x(i,j,k): is the value of the observed independent variable k (k = 1…K), for i,j;
- a: is the fixed intercept, not depending on i and j;
- b(k): is the fixed slope of the independent variable k;
- c(i): is the random intercept, varying by factor i;
- d(i,k): is the random slope, varying by variable k and factor i;
- e(i,j): is the random error (of normal distribution).
- Fixed intercept and slopes, with random intercepts and slopes: y(i,j) = a + c(i)+ ∑k=1…K [b(k) + d(i,k)] x(i,j,k) + e(i,j), i.e., the full model. The relevant LME4 formula is Y~1 + X1 + X2 +…XK + (1 + Xk| subject) or Y~1 + X1 +…+ XK + (1 + Xk)|time) depending on which factor and which Xk independent variable are used for random effects.
- Fixed intercept and slope with random intercept: y(i,j) = a + c(i)+ ∑k=1…K [b(k)] x(i,j,k) + e(i,j). The LME4 formula: Y~1 + X1 +…+ XK + (1|subject) or Y~1 + X1 +…+ XK + (1|time).
- Fixed intercept with random slopes: y(i,j) = a + ∑k=1…K d(i,k) x(i,j,k) + e(i,j). The LME4 formula: Y~1 + X1 + X2 +…XK + (0 + Xk|subject) or Y~1 + X1 +…+ XK + (0 + Xk|time).
- Fixed slopes and random intercept: y(i,j) = c(i) + ∑k=1…K b(k) x(i,j,k) + e(i,j). The LME4 formula is Y ~ 0 + X1 + X2 +…XK + (1|subject), or Y ~ 0 + X1 +…+ XK + (1|time).
3. Results
- The Year factor did not show any significant effects except for the first year (2011) in Sub-Saharan Africa.
- The tourism service infrastructure (TServInf) had a positive effect in Europe and Eurasia, the Americas, and Sub-Saharan Africa, but no impact was found in the Middle East and North Africa or in the Asia and Pacific region.
- The number of cultural world heritage sites (WHSC_no) had a negative significant effect except in Sub-Saharan Africa, where a positive impact was noted, and in the Middle East and North Africa, where no effect was found.
- Regarding the natural heritage components:
- ○
- The Red List Index had a significant negative impact everywhere except the Middle East and North Africa.
- ○
- The forest area proportion (ForestPct) was positive in Europe and Eurasia and in the Middle East and North Africa and negative in the Americas and in the Asia and Pacific region.
- ○
- The number of ratified environmental treaties (Envreaty) showed significantly positive impacts in the Middle East and North Africa, and negative impacts in Europe and Eurasia and in the Americas.
- ○
- The proportion of protected areas (ProtAreaPct) was significantly positive in the Asia and Pacific region and significantly negative in the Middle East and North Africa region.
- ○
- The number of known species had significant positive impacts in Europe and Eurasia and in the Asia and Pacific region.
- ○
- The number of natural world heritage sites (WHSN_no) had a positive impact only in the Americas.
4. Discussion
5. Conclusions
Funding
Data Availability Statement
Conflicts of Interest
Appendix A. Country List with Continent and Region
| Continent | Region | Country (Code) |
| Africa | Middle East and North Africa | Egypt (EGY), Morocco (MAR), Tunisia (TUN), Yemen (YEM) |
| Sub-Saharan Africa | Angola (AGO), Benin (BEN), Botswana (BWA), Cameroon (CMR), Cape Verde (CPV), Chad (TCD), Côte d’Ivoire (CIV), Ghana (GHA), Kenya (KEN), Lesotho (LSO), Malawi (MWI), Mali (MLI), Mauritius (MUS), Namibia (NAM), Nigeria (NGA), Rwanda (RWA), Senegal (SEN), Sierra Leone (SLE), South Africa (ZAF), Tanzania (TZA), Zambia (ZMB) | |
| America | The Americas | Argentina (ARG), Bolivia (BOL,) Brazil (BRA), Canada (CAN), Chile (CHL), Colombia (COL), Costa Rica (CRI), Dominican Republic (DOM), Ecuador (ECU), El Salvador (SLV), Guatemala (GTM), Honduras (HND), Mexico (MEX), Nicaragua (NIC), Panama (PAN), Paraguay (PRY), Peru (PER), Trinidad and Tobago (TTO), United States (USA), Uruguay (URY), Venezuela (VEN) |
| Asia | Asia-Pacific | Australia (AUS), Bangladesh (BGD), Cambodia (KHM), China (CHN), Hong Kong SAR (HKG), India (IND), Indonesia (IDN), Japan (JPN),Korea, Rep. (KOR), Lao PDR (LAO), Malaysia (MYS), Mongolia (MNG), Nepal (NPL), New Zealand (NZL), Pakistan (PAK), Philippines (PHL), Singapore (SGP), Sri Lanka (LKA), Thailand (THA), Vietnam (VNM) |
| Europe and Eurasia | Armenia (ARM), Azerbaijan (AZE), Kazakhstan (KAZ), Kyrgyz Republic (KGZ), Tajikistan (TJK), Georgia (GEO) | |
| Europe | Europe and Eurasia | Albania (ALB), Austria (AUT), Belgium (BEL),Bosnia-Herzegovina (BIH), Bulgaria (BGR), Croatia (HRV), Cyprus (CYP), Czech Republic (CZE), Denmark (DNK), Estonia (EST), Finland (FIN), France (FRA), Germany (DEU), Greece (GRC), Hungary (HUN), Iceland (ISL), Ireland (IRL), Italy (ITA), Latvia (LVA), Lithuania (LTU), Luxembourg (LUX), Macedonia FYR (MKD), Malta (MLT), Moldova (MDA), Montenegro (MNE), Netherlands (NLD) Poland (POL), Portugal (PRT), Romania (ROU), Serbia (SRB), Slovak Republic (SVK), Slovenia (SVN), Spain (ESP), Sweden (SWE), Switzerland (CHE), Turkey (TUR), United Kingdom (GBR) |
| Middle East | Middle East and North Africa | Bahrain (BHR), Israel (ISR), Jordan (JOR), Kuwait (KWT), Lebanon (LBN), Qatar (QAT), Saudi Arabia (SAU), United Arab Em (ARE) |
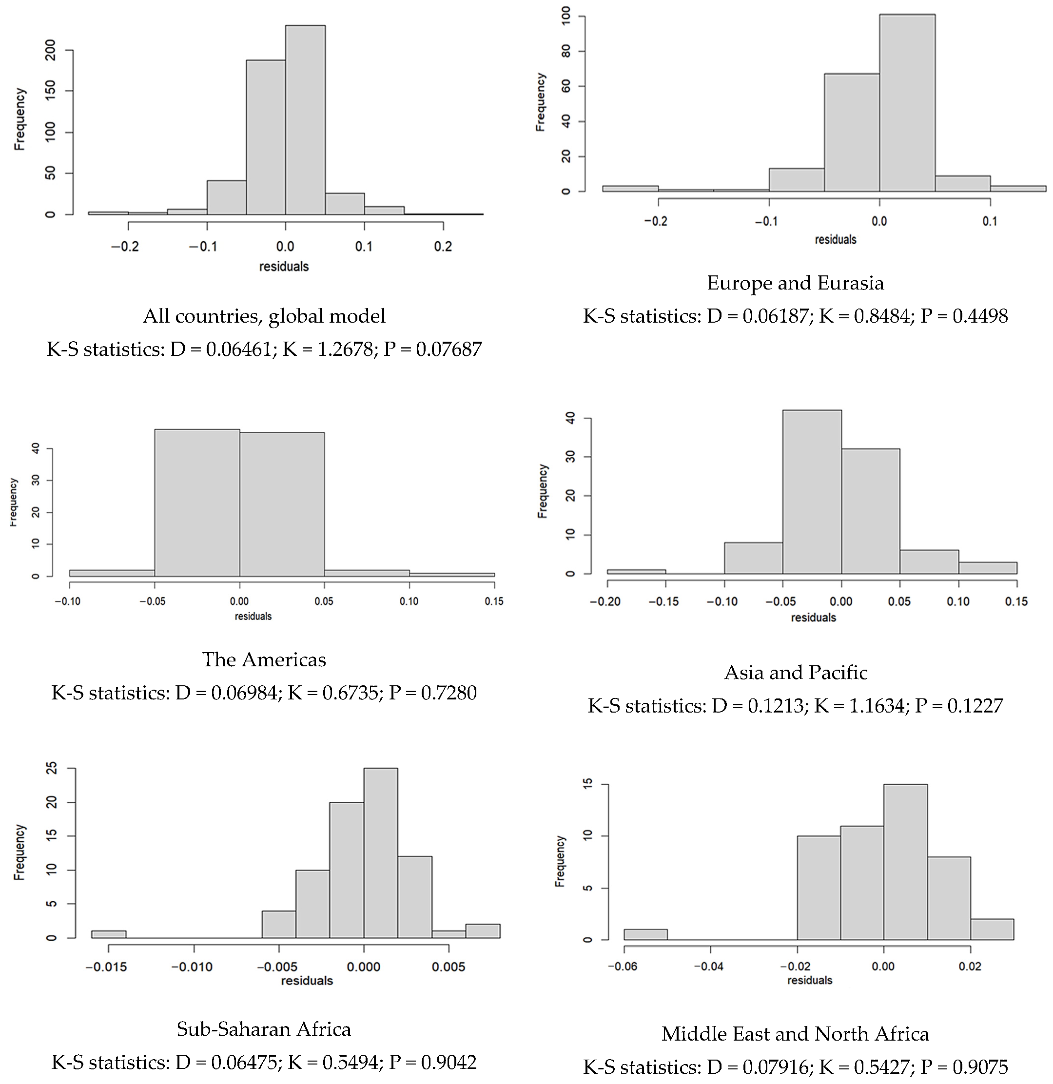
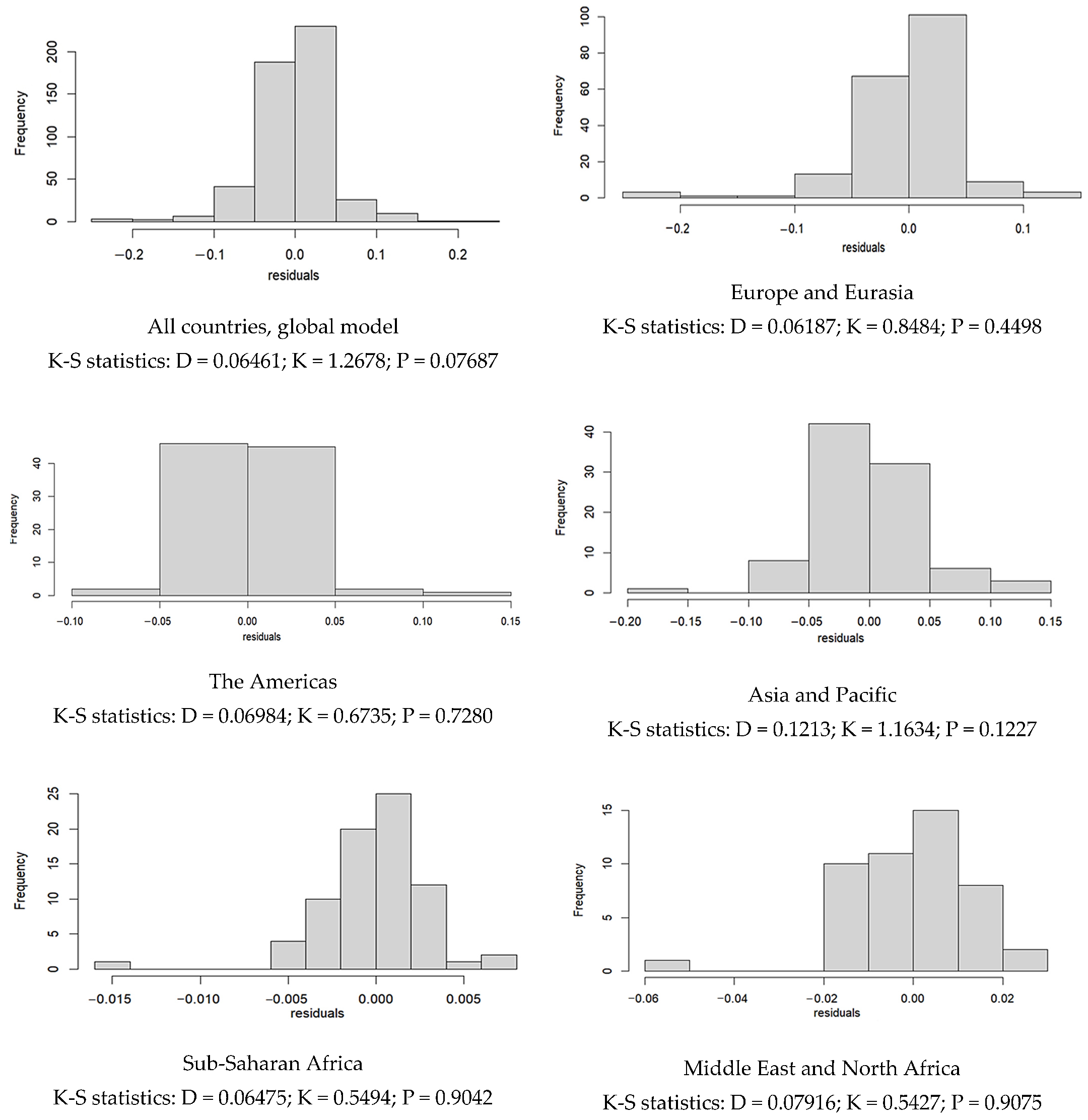
Appendix B. Residual Histograms and Kolmogorov–Smirnov Statistics for Residual Normality, for the Global Model, and for the Regions Separately

References
- Guzmán, P.C.; Roders, A.R.P.; Colenbrander, B.J.F. Measuring links between cultural heritage management and sustainable urban development: An overview of global monitoring tools. Cities 2017, 60, 192–201. [Google Scholar] [CrossRef]
- Ashworth, G.J. Heritage and local development: A reluctant relationship. In Handbook on the Economics of Cultural Heritage; Rizzo, I., Mignola, A., Eds.; Edward Elgar: Cheltenham, UK, 2013; pp. 824–855. [Google Scholar] [CrossRef]
- VanBlarcom, B.L.; Kayahan, C. Assessing the economic impact of a UNESCO World Heritage designation. J. Herit. Tour. 2011, 6, 143–164. [Google Scholar] [CrossRef]
- Camagni, R.; Capello, R.; Cerisola, S.; Panzera, E. The cultural heritage—Territorial capital nexus: Theory and empirics/Il nesso tra Patrimonio Culturale e Capitale Territoriale: Teoria ed evidenza empirica. Il Capitale Cult. Stud. Value Cult. Herit. 2020, 11, 33–59. [Google Scholar] [CrossRef]
- Muštra, V.; Škrabić Perić, B.; Pivčević, S. Cultural heritage sites, tourism and regional economic resilience. Pap. Reg. Sci. 2023, 102, 465–482. [Google Scholar] [CrossRef]
- Cellini, R.; Cuccia, T. Do behaviours in cultural markets affect economic resilience? An analysis of Italian regions. Eur. Plan. Stud. 2019, 27, 784–801. [Google Scholar] [CrossRef]
- Courtney, P.; Hill, G.; Roberts, D. The role of natural heritage in rural development: An analysis of economic linkages in Scotland. J. Rural Stud. 2006, 22, 469–484. [Google Scholar] [CrossRef]
- Barrientos, F.; Martin, J.; De Luca, C.; Tondelli, S.; Gómez-García-Bermejo, J.; Casanova, E.Z. Computational methods and rural cultural & natural heritage: A review. J. Cult. Herit. 2021, 49, 250–259. [Google Scholar] [CrossRef]
- Labadi, S. Rethinking Heritage for Sustainable Development; UCL Press: London, UK, 2022. [Google Scholar] [CrossRef]
- Gupta, S.D. Comparative Advantage and Competitive Advantage: An Economics Perspective and a Synthesis. Athens J. Bus. Econ. 2015, 1, 9–22. [Google Scholar] [CrossRef]
- Bansal, S.; Sharma, G.D.; Rahman, M.M.; Yadav, A.; Garg, I. Nexus between environmental, social and economic development in South Asia: Evidence from econometric models. Heliyon 2021, 7, e05965. [Google Scholar] [CrossRef]
- Chopra, R.; Magazzino, C.; Shah, M.I.; Sharma, G.D.; Rao, A.; Shahzad, U. The role of renewable energy and natural resources for sustainable agriculture in ASEAN countries: Do carbon emissions and deforestation affect agriculture productivity? Res. Policy 2022, 76, 102578. [Google Scholar] [CrossRef]
- Dupeyras, A.; MacCallum, N. Indicators for Measuring Competitiveness in Tourism: A Guidance Document; OECD Tourism Papers; OECD Publishing: Paris, France, 2013; Volume 2. [Google Scholar]
- World Economic Forum. The Travel & Tourism Competitiveness Report 2017: Paving the Way for a More Sustainable and Inclusive Future; World Economic Forum: Geneva, Switzerland, 2017; Available online: https://www3.weforum.org/docs/WEF_TTCR_2017_web_0401.pdf (accessed on 10 May 2024).
- World Economic Forum. The Travel & Tourism Development Index 2021: Rebuilding for a Sustainable and Resilient Future; World Economic Forum: Geneva, Switzerland, 2022; Available online: https://www3.weforum.org/docs/WEF_Travel_Tourism_Development_2021.pdf. (accessed on 10 May 2024).
- World Economic Forum. Travel & Tourism Development Index 2024—Insight Report; World Economic Forum: Geneva, Switzerland, 2024; Available online: https://www3.weforum.org/docs/WEF_Travel_and_Tourism_Development_Index_2024.pdf (accessed on 10 May 2024).
- World Economic Forum. TTCI Dataset 2024. Available online: https://www3.weforum.org/docs/WEF_TTDI_2024_edition_data.xlsx (accessed on 10 May 2024).
- World Economic Forum. TTDI Dataset 2021. Available online: https://www3.weforum.org/docs/WEF_TTDI_2021_data_for_download.xlsx (accessed on 10 May 2024).
- World Economic Forum. TTCI Dataset 2019. Available online: http://www3.weforum.org/docs/WEF_TTCR19_data_for_download.xlsx (accessed on 10 May 2024).
- World Economic Forum. TTCI Dataset 2017. Available online: http://www3.weforum.org/docs/WEF_TTCR17_data_for_download.xlsx (accessed on 10 May 2024).
- World Economic Forum. TTCI Dataset 2015. Available online: http://www3.weforum.org/docs/TT15/WEF_TTCR_Dataset_2015.xlsx (accessed on 10 May 2024).
- World Economic Forum. TTCR 2019 Report. Available online: https://www3.weforum.org/docs/WEF_TTCR_2019.pdf (accessed on 10 May 2024).
- World Economic Forum. TTCR 2015 Report. Available online: https://www3.weforum.org/docs/TT15/WEF_Global_Travel&Tourism_Report_2015.pdf (accessed on 10 May 2024).
- World Economic Forum. TTCR 2013 Report. Available online: https://www3.weforum.org/docs/WEF_TT_Competitiveness_Report_2013.pdf (accessed on 10 May 2024).
- Balassa, B. Trade liberalization and revealed comparative advantage. Manch. Sch. Econ. Soc. Stud. 1965, 33, 92–123. [Google Scholar]
- Yu, R.; Cai, J.; Leung, P. The normalized revealed comparative advantage index. Ann. Reg. Sci. 2009, 43, 267–282. [Google Scholar] [CrossRef]
- Stellian, R.; Danna-Buitrago, J.P. Which revealed comparative advantage index to choose? Theoretical and empirical considerations. CEPAL Rev. 2022, 138, 45–66. [Google Scholar] [CrossRef]
- Stellian, R.; Danna-Buitrago, J.P. Revealed Comparative Advantage and Contribution-to-the-Trade-Balance indexes. Int. Econ. 2022, 170, 129–155. [Google Scholar] [CrossRef]
- Roh, T.S.; Bak, S.; Min, C. Do UNESCO Heritages Attract More Tourists? World J. Manag. 2015, 6, 193–200. [Google Scholar] [CrossRef]
- Din, H.B.; Habibullah, M.S.; Tan, S.H. The Effects of World Heritage Sites and Governance On-Tourist Arrivals: Worldwide Evidence. Int. J. Econ. Manag. 2017, 11, 437–448. [Google Scholar]
- Bacsi, Z.; Tóth, É. Word Heritage Sites as soft tourism destinations—Their impacts on international arrivals and tourism receipts. Bull. Geography. Socio-Econ. Ser. 2019, 45, 25–44. [Google Scholar] [CrossRef]
- González-Rodríguez, M.R.; Díaz-Fernández, M.C.; Pulido-Pavón, N. Tourist destination competitiveness: An international approach through the travel and tourism competitiveness index. Tour. Manag. Perspect. 2023, 47, 101127. [Google Scholar] [CrossRef]
- Bacsi, Z.; Yasin, A.S.; Bánhegyi, G. Tourism Competitiveness in Eastern Africa: RCA and TTCI. Heritage 2023, 6, 5997–6015. [Google Scholar] [CrossRef]
- Bogale, M.; Ayalew, M.; Mengesha, W. The Competitiveness of Travel and Tourism Industry of Sub-Saharan African Countries in the World Market. Afr. J. Hosp. Tour. Leis. 2021, 10, 131–144. [Google Scholar] [CrossRef]
- World Population Review Website. Available online: https://worldpopulationreview.com/country-rankings/protected-land-by-country (accessed on 10 May 2024).
- FAOSTAT SDG Indicators. Available online: https://www.fao.org/faostat/en/#data/SDGB (accessed on 10 May 2024).
- Red List Index Website. Available online: https://ourworldindata.org/grapher/red-list-index?tab=table (accessed on 10 May 2024).
- UNWTO Tourism Statistics Database. World Tourism Organization Madrid. 2023. Available online: https://www.unwto.org/tourism-statistics/tourism-statistics-database (accessed on 10 May 2024).
- UNWTO Tourism Data Dashboard. World Tourism Organization Madrid. 2024. Available online: https://www.unwto.org/tourism-data/global-and-regional-tourism-performance (accessed on 10 May 2024).
- World Development Indicators Database. World Bank. 2024. Available online: https://databank.worldbank.org/source/world-development-indicators# (accessed on 10 May 2024).
- Jackman, M.; Lorde, T.; Lowe, S.; Alleyne, A. Evaluating tourism competitiveness of small island developing states: A revealed comparative advantage approach. Anatolia 2011, 22, 350–360. [Google Scholar] [CrossRef]
- R Core Team. R: A Language and Environment for Statistical Computing; R Foundation for Statistical Computing: Vienna, Austria, 2021; Available online: https://www.R-project.org/ (accessed on 5 January 2023).
- Schielzeth, H.; Dingemanse, N.J.; Nakagawa, S.; Westneat, D.F.; Allegue, H.; Teplitsky, C.; Réale, D.; Dochtermann, N.A.; Garamszegi, L.Z.; Araya-Ajoy, Y.G. Robustness of linear mixed-effects models to violations of distributional assumptions. Methods Ecol. Evol. 2020, 11, 1141–1152. [Google Scholar] [CrossRef]
- Barr, D.J. Learning Statistical Models through Simulation in R: An Interactive Textbook. Version 1.0.0. 2021. Available online: https://psyteachr.github.io/stat-models-v1 (accessed on 5 January 2023).
- Bates, D.; Mächler, M.; Bolker, B.; Walker, S. Fitting Linear Mixed-Effects Models Using lme4. J. Stat. Softw. 2015, 67, 1–48. [Google Scholar] [CrossRef]
- JASP Team. JASP (Version 0.19.0)—Computer Software. 2024. Available online: https://jasp-stats.org/ (accessed on 10 May 2024).
- Majidli, F. International Comparative and Competitive Advantage of Post-Soviet Countries in Tourism. Res. World Econ. 2020, 11, 369–379. [Google Scholar] [CrossRef]
- Le, N.H. International trade in travel of selected ASEAN nations from comparative advantage theory and value-added trade approach. Proc. Next Gener. Glob. Workshop 2020, 13, 1–16. [Google Scholar] [CrossRef]
- Labanauskaité, D.; Gedvilas, E. Lithuanian tourism competitiveness in the context of Baltic States. Reg. Form. Dev. Stud. 2013, 2, 111–122. [Google Scholar]
- Gómez-Vega, M.; Picazo-Tadeo, A.J. Ranking world tourist destinations with a composite indicator of competitiveness: To weigh or not to weigh? Tour. Manag. 2019, 72, 281–291. [Google Scholar] [CrossRef]
- Larm, M.; Elmhagen, B.; Granquist, S.M.; Brundin, E.; Angerbjörn, A. The role of wildlife tourism in conservation of endangered species: Implications of safari tourism for conservation of the Arctic fox in Sweden. Hum. Dimens. Wildl. 2018, 23, 252–272. [Google Scholar] [CrossRef]
- Weaver, D.B. The evolving concept of ecotourism and its potential impacts. Int. J. Sustain. Dev. 2002, 5, 251–264. [Google Scholar] [CrossRef]
- Cousins, J.A. The role of UK-based conservation tourism operators. Tour. Manag. 2007, 28, 1020–1030. [Google Scholar] [CrossRef]
- Orams, M.B. Feeding wildlife as a tourism attraction: A review of issues and impacts. Tour. Manag. 2002, 23, 281–293. [Google Scholar] [CrossRef]
- Woods, B.; Moscardo, G. Enhancing wildlife education through 19 mindfulness. Aust. J. Environ. Educ. 2003, 19, 97–108. [Google Scholar] [CrossRef]
- Reisinger, Y.; Michael, N.; Hayes, J.P. Destination competitiveness from a tourist perspective: A case of the United Arab Emirates. Int. J. Tour. Res. 2019, 21, 259–279. [Google Scholar] [CrossRef]
- Arumugam, A.; Nakkeeran, S.; Subramaniam, R. Exploring the Factors Influencing Heritage Tourism Development: A Model Development. Sustainability 2023, 15, 11986. [Google Scholar] [CrossRef]
- Ladki, S.; Abimanyu, A.; Kesserwan, L. The Rise of a New Tourism Dawn in the Middle East. J. Serv. Sci. Manag. 2020, 13, 637–648. [Google Scholar] [CrossRef]
- Dodds, R.; Butler, R. The phenomena of overtourism: A review. Int. J. Tour. Cities 2019, 5, 519–528. [Google Scholar] [CrossRef]




| Variable Notation | Variable Name | Meaning | Data Source |
|---|---|---|---|
| WHSC_no | Number of world heritage cultural sites | Number of world heritage cultural sites in country | TTCI/TTDI datasets [17,18,19,20,21] and reports [15,16,22,23,24] by WEF |
| WHSN_no | Number of world heritage natural sites | Number of world heritage natural sites in country | |
| KnownSpecies | Total known species | Total known species in the country | |
| EnvTreaty | Environmental treaty ratification | Number of environmental treaties ratified by country | |
| TServInf | Tourist service infrastructure | Scale of 1 (very bad) to 7 (very good) | |
| ProtAreaPct | Protected area percent | Total protected area, as % of country area | [35] |
| ForestPct | Forest area percentage | Total forest area, as % of country area | [36] |
| RedListInd | Red List Index | Aggregate extinction risk (0 to 1); with 0: all species extinct; 1: no species to be extinct in near future | [37] |
| RCA | Revealed Comparative Advantage Index for tourism | Computed by Equation (1) for tourism | International tourism receipts: [38,39]; Total export values: [40] |
| NRCA | Normalised Revealed Comparative Advantage Index for tourism | Computed by Equation (2) for tourism |
| N | Min | Max | Mean | St.Dev. | Region | Year | ||||||||
|---|---|---|---|---|---|---|---|---|---|---|---|---|---|---|
| K-W St | p | K-W St | p | |||||||||||
| RCA | 595 | 0.014 | 12.142 | 1.968 | 1.917 | 13.55820 | 0.00885 | 1.53053 | 0.90952 | |||||
| NRCA | 557 | −0.305 | 0.318 | 0.000 | 0.049 | 11.41499 | 0.02228 | 2.36870 | 0.79613 | |||||
| WHSC_no | 691 | 0.000 | 70 | 6.943 | 9.861 | 105.59840 | 6.315 × 10−22 | 4.88886 | 0.42959 | |||||
| ProtAreaPct | 653 | 0.000 | 56.5 | 16.492 | 11.527 | 53.76257 | 5.901 × 10−11 | 12.12895 | 0.03306 | |||||
| KnownSpecies | 692 | 0.000 | 15,878.0 | 2167.63 | 2663.90 | 108.31665 | 1.663 × 10−22 | 354.57962 | 1.807 × 10−74 | |||||
| WHSN_no | 688 | 0.000 | 16 | 1.773 | 2.669 | 61.31917 | 1.532 × 10−12 | 4.31315 | 0.50527 | |||||
| ForestPct | 696 | 0.000 | 73.74 | 29.746 | 19.688 | 206.34547 | 1.623 × 10−43 | 0.01236 | 1.00000 | |||||
| Red list index | 695 | 0.000 | 0.992 | 0.856 | 0.115 | 284.35238 | 2.568 × 10−60 | 2.30220 | 0.80594 | |||||
| TServInf | 692 | 0.000 | 7.00 | 3.820 | 1.410 | 160.33738 | 1.238 × 10−33 | 70.42547 | 8.358 × 10−14 | |||||
| EnvTreaty | 686 | 0.000 | 30.00 | 21.613 | 3.900 | 64.62533 | 3.086 × 10−13 | 99.37025 | 7.174 × 10−20 | |||||
| RCA | 595 | 0.014 | 12.142 | 1.968 | 1.917 | 13.55820 | 0.00885 | 1.53053 | 0.90952 | |||||
| NRCA | 557 | −0.305 | 0.318 | 0.000 | 0.049 | 11.41499 | 0.02228 | 2.36870 | 0.79613 | |||||
| Means by region | Sub-Saharan Africa | Europe and Eurasia | Middle East and North Africa | The Americas | Asia and Pacific | |||||||||
| WHSC_no | 2.65 | 10.02 | 5.09 | 5.52 | 7.38 | |||||||||
| ProtAreaPct | 15.15 | 19.22 | 9.10 | 18.09 | 13.87 | |||||||||
| KnownSpecies | 2253.98 | 1077.09 | 1145.73 | 3833.75 | 3266.27 | |||||||||
| WHSN_no | 1.18 | 1.43 | 0.42 | 2.66 | 3.01 | |||||||||
| ForestPct | 25.15 | 30.32 | 3.85 | 41.53 | 36.87 | |||||||||
| Red list index | 0.85 | 0.93 | 0.87 | 0.80 | 0.76 | |||||||||
| TServInf | 2.7554 | 4.5878 | 3.7276 | 3.8123 | 3.3432 | |||||||||
| EnvTreaty | 20.675 | 23.098 | 19.786 | 21.032 | 21.061 | |||||||||
| RCA | 2.14 | 2.12 | 2.52 | 1.65 | 1.53 | |||||||||
| NRCA | 0.00137 | −0.00390 | 0.00664 | 0.01098 | −0.00978 | |||||||||
| WHSC _no | Prot AreaPct | Known Species | WHSN _no | Forest Pct | RedList Ind | TServ Inf | Env Treaty | RCA | ||
|---|---|---|---|---|---|---|---|---|---|---|
| WHSC_no | P | — | ||||||||
| S | — | |||||||||
| Prot Area Pct | P | 0.148 *** | — | |||||||
| S | 0.156 *** | — | ||||||||
| Known Species | P | 0.135 *** | −0.016 | — | ||||||
| S | 0.139 *** | −0.02 | — | |||||||
| WHSN_no | P | 0.494 *** | 0.087 * | 0.454 *** | — | |||||
| S | 0.471 *** | 0.199 *** | 0.390 *** | — | ||||||
| ForestPct | P | 0.061 | 0.294 *** | 0.240 *** | 0.095 * | — | ||||
| S | 0.069 | 0.311*** | 0.229 *** | 0.206 *** | — | |||||
| RedListInd | P | 0.017 | 0.181 *** | −0.284 *** | −0.111 ** | −0.119 ** | — | |||
| S | 0.035 | 0.129 ** | −0.336 *** | −0.168 *** | −0.165 *** | — | ||||
| TServInf | P | 0.293 *** | 0.160 *** | −0.237 *** | 0.164 *** | 0.080 * | 0.178 *** | — | ||
| S | 0.329 *** | 0.167 *** | −0.361 *** | 0.106 ** | 0.076 * | 0.135 *** | — | |||
| EnvTreaty | P | 0.363 *** | 0.260 *** | 0.184 *** | 0.168 *** | 0.188 *** | 0.231 *** | 0.314 *** | — | |
| S | 0.423 *** | 0.258 *** | 0.228 *** | 0.308 *** | 0.177 *** | 0.103 ** | 0.281 *** | — | ||
| RCA | P | −0.124 ** | −0.170 *** | −0.087 * | −0.113 ** | −0.065 | −0.130 ** | 0.075 | −0.104 * | — |
| S | −0.065 | −0.119 ** | −0.034 | −0.04 | −0.037 | −0.122 ** | 0.122 ** | −0.104 * | — | |
| NRCA | P | −0.091 * | −0.091 * | 0.138 ** | 0.236 *** | −0.058 | −0.060 | 0.114 ** | −0.184 *** | 0.280 *** |
| S | 0.044 | −0.046 | 0.099 * | 0.059 | 0.009 | −0.186 *** | 0.174 *** | −0.096 * | 0.816 *** |
| Tolerance (TOL) | Variance Inflation Factor (VIF) | |
|---|---|---|
| WHSC_no | 0.706 | 1.416 |
| ProtAreaPct | 0.784 | 1.276 |
| KnownSpecies | 0.428 | 2.338 |
| WHSN_no | 0.584 | 1.712 |
| ForestPct | 0.804 | 1.244 |
| Red list index | 0.793 | 1.261 |
| TServInf | 0.649 | 1.54 |
| EnvTreaty | 0.591 | 1.692 |
| Year | 0.512 | 1.955 |
| Variable | Fixed-Effects Estimate | Std. Err | t Value | Pr(>|t|) | Random Intercept for Years | |
|---|---|---|---|---|---|---|
| WHSC_no | −0.001205 | 0.0003 | −4.413 | 1.25 × 10−5 | *** | 2011: −0.0013872238 |
| ProtAreaPct | −0.000217 | 0.0002 | −1.064 | 0.28775 | 2013: −0.0064993186 | |
| KnownSpecies | 0.000003 | 0.0000 | 2.447 | 0.01538 | * | 2015: 0.0006474683 |
| WHSN_no | 0.005909 | 0.0011 | 5.462 | 7.46 × 10−8 | *** | 2017: −0.0010744230 |
| ForestPct | −0.000065 | 0.0001 | −0.487 | 0.62641 | 2019: 0.0003912855 | |
| RedListInd | −0.022490 | 0.0216 | −1.044 | 0.2971 | 2022: 0.0079222115 | |
| TServInf | 0.009548 | 0.0020 | 4.879 | 1.62 × 10−6 | *** | |
| EnvTreaty | −0.003565 | 0.0007 | −5.379 | 1.31 × 10−7 | *** | |
| Region Sub-Sah Afr | 0.061850 | 0.0211 | 2.928 | 0.00358 | ** | |
| Region Europe & Eurasia | 0.062270 | 0.0235 | 2.653 | 0.00825 | ** | |
| Region Middle East & NAfr EEastEsast&NENA | 0.064940 | 0.0224 | 2.901 | 0.0039 | ** | |
| Region The Amers | 0.054300 | 0.0213 | 2.545 | 0.01127 | * | |
| Region Asia & Pacific | 0.040820 | 0.0206 | 1.981 | 0.04823 | * | |
| R2 = 0.223408, N = 508 | ||||||
| Fixed Effects: | Sub-Saharan Africa | Random Intercept | ||||
|---|---|---|---|---|---|---|
| N = 75, R2 = 0.61468 | Estimate | Std. Error | t Value | Pr(>|t|) | (Year) | |
| WHSC_no | 0.000672 | 0.000316 | 2.125000 | 0.037660 | * | 2011: 8.590075 × 10−19 |
| ProtAreaPct | −0.000034 | 0.000045 | −0.749000 | 0.456930 | 2013: 1.040383 × 10−17 | |
| KnownSpecies | 0.000000 | 0.000000 | 0.973000 | 0.334540 | 2015: 3.467942 × 10−18 | |
| WHSN_no | 0.000761 | 0.000477 | 1.595000 | 0.115950 | 2017: 8.538866 × 10−18 | |
| ForestPct | 0.000010 | 0.000030 | 0.327000 | 0.745070 | 2019: −9.517754 × 10−18 | |
| RedListInd | −0.007073 | 0.002521 | −2.805000 | 0.006730 | ** | 2022: −3.155572 × 10−18 |
| TServInf | 0.001364 | 0.000508 | 2.685000 | 0.009320 | ** | |
| EnvTreaty | −0.000138 | 0.000125 | −1.102000 | 0.274850 | ||
| factor(Year)2011 | 0.022120 | 0.004432 | 4.990000 | 0.000005 | *** | |
| factor(Year)2013 | 0.003733 | 0.003357 | 1.112000 | 0.270550 | ||
| factor(Year)2015 | 0.004210 | 0.003350 | 1.257000 | 0.213700 | ||
| factor(Year)2017 | 0.003442 | 0.003174 | 1.085000 | 0.282370 | ||
| factor(Year)2019 | 0.003335 | 0.003197 | 1.043000 | 0.300990 | ||
| factor(Year)2022 | 0.002173 | 0.002870 | 0.757000 | 0.451830 | ||
| Fixed effects: | Europe and Eurasia | Random intercept | ||||
| N = 198 R2 = 0.36054 | Estimate | Std. Error | t value | Pr(>|t|) | (Year) | |
| WHSC_no | −0.001283 | 0.000401 | −3.196 | 0.001638 | ** | 2011: 2.783644 × 10−17 |
| ProtAreaPct | −0.000247 | 0.000317 | −0.78 | 0.436233 | 2013: −4.839659 × 10−17 | |
| KnownSpecies | 0.000031 | 0.000007 | 4.326 | 2.49 × 10−5 | *** | 2015: 1.156400 × 10−16 |
| WHSN_no | −0.000544 | 0.002359 | −0.231 | 0.817764 | 2017: −1.007347 × 10−18 | |
| ForestPct | 0.000500 | 0.000223 | 2.241 | 0.026229 | * | 2019: −3.525714 × 10−17 |
| RedListInd | −0.277600 | 0.071520 | −3.882 | 0.000144 | *** | 2022: −3.449263 × 10−17 |
| TServInf | 0.006441 | 0.003723 | 1.73 | 0.085327 | + | |
| EnvTreaty | −0.004024 | 0.001256 | −3.204 | 0.001596 | ** | |
| factor(Year)2011 | 0.297100 | 0.071990 | 4.127 | 0.999989 | ||
| factor(Year)2013 | 0.291200 | 0.071390 | 4.079 | 0.999989 | ||
| factor(Year)2015 | 0.303000 | 0.071080 | 4.263 | 0.99999 | ||
| factor(Year)2017 | 0.262500 | 0.074210 | 3.537 | 0.999988 | ||
| factor(Year)2019 | 0.263500 | 0.073840 | 3.569 | 0.999988 | ||
| factor(Year)2022 | 0.292200 | 0.073770 | 3.962 | 0.999988 | ||
| Fixed effects: | Middle East and North Africa | Random intercept | ||||
| N = 47, R2 = 56136 | Estimate | Std. Error | t value | Pr(>|t|) | (Year) | |
| WHSC_no | −0.00169 | 0.00119 | −1.41700 | 0.16580 | 2011: 4.250664 × 10−19 | |
| ProtAreaPct | −0.00058 | 0.00033 | −1.76800 | 0.08630 | + | 2013: −8.032700 × 10−19 |
| KnownSpecies | 0.00001 | 0.00001 | 1.61100 | 0.11660 | 2015: 9.908962 × 10−19 | |
| WHSN_no | 0.01544 | 0.00984 | 1.56800 | 0.12630 | 2017: 1.213061 × 10−18 | |
| ForestPct | 0.00187 | 0.00083 | 2.24200 | 0.03180 | * | 2019: 8.087071 × 10−19 |
| RedListInd | −0.08722 | 0.05476 | −1.59300 | 0.12070 | 2022: 1.455326 × 10−18 | |
| TServInf | 0.00274 | 0.00349 | 0.78600 | 0.43760 | ||
| EnvTreaty | 0.00390 | 0.00172 | 2.26500 | 0.03020 | * | |
| factor(Year)2011 | −0.01478 | 0.03980 | −0.37100 | 0.99950 | ||
| factor(Year)2013 | −0.01176 | 0.03729 | −0.31500 | 0.99960 | ||
| factor(Year)2015 | −0.00489 | 0.03742 | −0.13100 | 0.99970 | ||
| factor(Year)2017 | −0.01893 | 0.03707 | −0.51100 | 0.99960 | ||
| factor(Year)2019 | −0.01691 | 0.03714 | −0.45500 | 0.99960 | ||
| factor(Year)2022 | −0.01592 | 0.03737 | −0.42600 | 0.99960 | ||
| Fixed effects: | The Americas | Random intercept | ||||
| N = 96, R2 = 0.74999 | Estimate | Std. Error | t value | Pr(>|t|) | (Year) | |
| WHSC_no | −0.00390 | 0.00073 | −5.375 | 7.04 × 10−7 | *** | 2011: −9.632035 × 10−18 |
| ProtAreaPct | 0.00059 | 0.00042 | 1.41 | 0.16245 | 2013: −6.476665 × 10−18 | |
| KnownSpecies | 0.00000 | 0.00000 | 0.164 | 0.87038 | 2015: −1.050447 × 10−17 | |
| WHSN_no | 0.01059 | 0.00185 | 5.731 | 1.60 × 10−7 | *** | 2017: −8.136377 × 10−18 |
| ForestPct | −0.00049 | 0.00027 | −1.821 | 0.07228 | + | 2019: −9.595060 × 10−18 |
| RedListInd | −0.14170 | 0.04569 | −3.101 | 0.00264 | ** | 2022: −5.729711 × 10−18 |
| TServInf | 0.00309 | 0.00448 | 0.69100 | 0.49187 | ||
| EnvTreaty | −0.00944 | 0.00143 | −6.605 | 3.70 × 10−9 | *** | |
| factor(Year)2011 | 0.26150 | 0.05065 | 5.163 | 0.99892 | ||
| factor(Year)2013 | 0.25250 | 0.05056 | 4.994 | 0.99893 | ||
| factor(Year)2015 | 0.27020 | 0.05099 | 5.298 | 0.99889 | ||
| factor(Year)2017 | 0.28570 | 0.05286 | 5.405 | 0.99872 | ||
| factor(Year)2019 | 0.28340 | 0.05304 | 5.344 | 0.99871 | ||
| factor(Year)2022 | 0.29800 | 0.05159 | 5.776 | 0.99882 | ||
| Fixed effects: | Asia and Pacific | Random intercept | ||||
| N = 92, R2 = 0.43755 | Estimate | Std. Error | t value | Pr(>|t|) | (Year) | |
| WHSC_no | −0.00213 | 0.00096 | −2.21300 | 0.02986 | * | 2011: 2.915842 × 10−19 |
| ProtAreaPct | 0.00187 | 0.00067 | 2.76600 | 0.00708 | ** | 2013: −6.460514 × 10−19 |
| KnownSpecies | 0.00001 | 0.00000 | 2.60000 | 0.01114 | * | 2015: −1.761062 × 10−19 |
| WHSN_no | 0.00189 | 0.00241 | 0.78300 | 0.43619 | 2017: −4.110190 × 10−19 | |
| ForestPct | −0.00124 | 0.00030 | −4.11700 | 0.00009 | *** | 2019: −1.370761 × 10−19 |
| RedListInd | −0.12640 | 0.06485 | −1.94900 | 0.05491 | + | 2022: −3.720638 × 10−19 |
| TServInf | 0.00309 | 0.00448 | 0.69100 | 0.49187 | ||
| EnvTreaty | −0.00169 | 0.00274 | −0.61600 | 0.53948 | ||
| factor(Year)2011 | 0.15490 | 0.08204 | 1.88800 | 0.95579 | ||
| factor(Year)2013 | 0.13190 | 0.08173 | 1.61400 | 0.95824 | ||
| factor(Year)2015 | 0.13110 | 0.08326 | 1.57500 | 0.95592 | ||
| factor(Year)2017 | 0.11630 | 0.08667 | 1.34200 | 0.95212 | ||
| factor(Year)2019 | 0.12580 | 0.08719 | 1.44200 | 0.95006 | ||
| factor(Year)2022 | 0.09867 | 0.08714 | 1.13200 | 0.95392 | ||
| Europe and Eurasia | The Americas | Asia and Pacific | Sub-Saharan Africa | Middle East and North Africa | |
|---|---|---|---|---|---|
| TServInf | 0.00644 | 0.01357 | 0.00136 | ||
| WHSC_no | −0.00128 | −0.00390 | −0.00213 | 0.00067 | |
| ProtAreaPct | 0.00187 | −0.00058 | |||
| KnownSpecies | 0.00003 | 0.00001 | |||
| WHSN_no | 0.01059 | ||||
| ForestPct | 0.00050 | −0.00049 | −0.00124 | 0.00187 | |
| RedListInd | −0.27760 | −0.14170 | −0.12640 | −0.00707 | |
| EnvTreaty | −0.00402 | −0.00944 | 0.00390 | ||
| factor(Year)2011 | 0.02212 |
Disclaimer/Publisher’s Note: The statements, opinions and data contained in all publications are solely those of the individual author(s) and contributor(s) and not of MDPI and/or the editor(s). MDPI and/or the editor(s) disclaim responsibility for any injury to people or property resulting from any ideas, methods, instructions or products referred to in the content. |
© 2024 by the author. Licensee MDPI, Basel, Switzerland. This article is an open access article distributed under the terms and conditions of the Creative Commons Attribution (CC BY) license (https://creativecommons.org/licenses/by/4.0/).
Share and Cite
Bacsi, Z. The Influence of Heritage on the Revealed Comparative Advantage of Tourism—A Worldwide Analysis from 2011 to 2022. Heritage 2024, 7, 5232-5250. https://doi.org/10.3390/heritage7090246
Bacsi Z. The Influence of Heritage on the Revealed Comparative Advantage of Tourism—A Worldwide Analysis from 2011 to 2022. Heritage. 2024; 7(9):5232-5250. https://doi.org/10.3390/heritage7090246
Chicago/Turabian StyleBacsi, Zsuzsanna. 2024. "The Influence of Heritage on the Revealed Comparative Advantage of Tourism—A Worldwide Analysis from 2011 to 2022" Heritage 7, no. 9: 5232-5250. https://doi.org/10.3390/heritage7090246
APA StyleBacsi, Z. (2024). The Influence of Heritage on the Revealed Comparative Advantage of Tourism—A Worldwide Analysis from 2011 to 2022. Heritage, 7(9), 5232-5250. https://doi.org/10.3390/heritage7090246

