Optimization of the Application of Commercial Hydrophobic Coatings for Natural Stone Protection and Preservation
Abstract
1. Introduction
2. Materials and Methods
2.1. Materials
2.1.1. Natural Stone Mock-Ups
2.1.2. Commercial Hydrophobic Coatings
2.2. Methodology
2.2.1. Coating Application
2.2.2. High-Resolution Digital Microscopy
2.2.3. Scanning Electron Microscopy Coupled to Energy-Dispersive X-ray Spectroscopy (SEM–EDS)
2.2.4. Tensiometer
2.2.5. Measurement of Water Vapor Permeability
2.2.6. Artificial Ageing
3. Results and Discussion
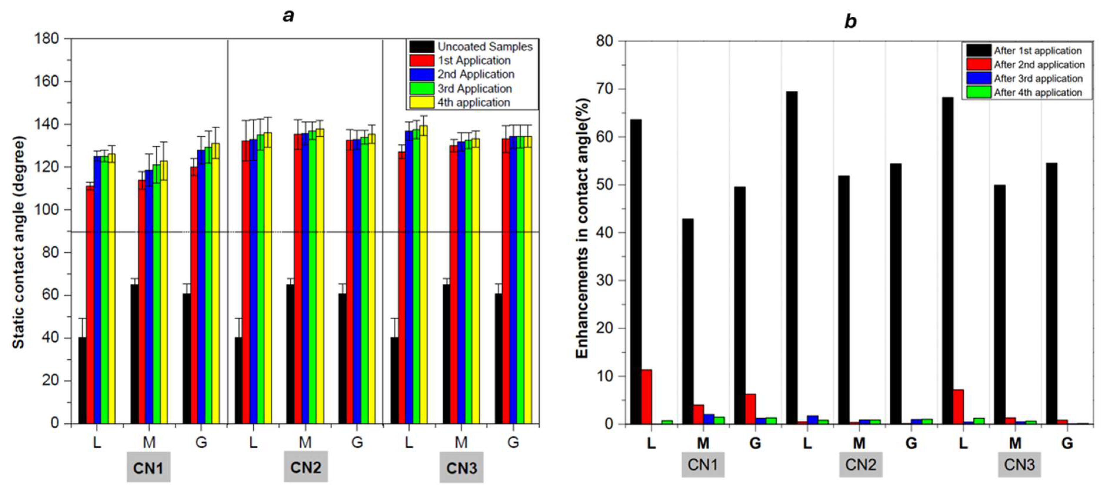
3.1. Optimization of the Number of Coating Applications
3.2. Optimization of the Temperature of Application of Both the Coatings and the Natural Stone Substrates
4. Conclusions
Author Contributions
Funding
Data Availability Statement
Acknowledgments
Conflicts of Interest
References
- Dani, N. A long continuity: The Ohalo II brush huts (19.5ky) and the dwelling structures in the Natufian and PPNA sites in the Jordan Valley. Archaeol. Anthropol. Ethnol. Eurasia 2003, 13, 34–48. [Google Scholar]
- Atakuman, Ç. Architectural Discourse and Social Transformation During the Early Neolithic of Southeast Anatolia. J. World Prehistory 2014, 27, 1–42. [Google Scholar] [CrossRef]
- Dolores, P.; Brian, M. The Value of Original natural stone in the Context of Architectural Heritage. Geosciences 2016, 6, 13. [Google Scholar] [CrossRef]
- Marie, I.; Mujalli, R.O. Quantifying limestone façade performance: An analysis and ranking using logistic model. J. Build. Rehabil. 2024, 9, 36. [Google Scholar] [CrossRef]
- Dias, A.B.; Pacheco, J.N.; Silvestre, J.D.; Martins, I.M.; de Brito, J. Environmental and Economic Life Cycle Assessment of Recycled Coarse Aggregates: A Portuguese Case Study. Materials 2021, 14, 5452. [Google Scholar] [CrossRef]
- Strzałkowski, P. Characteristics of Waste Generated in Dimension Stone Processing. Energies 2021, 14, 7232. [Google Scholar] [CrossRef]
- Ilias, D.C.; Blaga, L.; Ilieş, A.; Pereș, A.C.; Caciora, T.; Hassan, T.H.; Hodor, N.; Turza, A.; Taghiyari, H.R.; Barbu-Tudoran, L.; et al. Green Biocidal Nanotechnology Use for Urban Stone-Built Heritage—Case Study from Oradea, Romania. Minerals 2023, 13, 1170. [Google Scholar] [CrossRef]
- Price, C.A.; Doehne, E. Stone Conservation: An Overview of Current Research, 2nd ed.; Getty Publications—Getty Conservation, and CA Institute: Los Angeles, CA, USA, 2011; ISBN 978-1-60606-046-9. [Google Scholar]
- Katarzyna, D.; Maciej, T. Analysis of the technical condition of the inner façades of the Donjon at the Kłodzko Fortress. Bud. Archit. 2024, 23, 87–100. [Google Scholar] [CrossRef]
- Armal, F.; Dias, L.; Mirão, J.; Pires, V.; Sitzia, F.; Martins, S.; Costa, M.; Barrulas, P. Chemical Composition of Hydrophobic Coating Solutions and Its Impact on Carbonate Stones Protection and Preservation. Sustainability 2023, 15, 16135. [Google Scholar] [CrossRef]
- Charola, A.E.; Wendler, E. An overview of the water-porous building materials interactions. Restor. Build. Monum. 2015, 21, 55–65. [Google Scholar] [CrossRef]
- Kazancı, N.; Ozlem, A. ; Ozlem, A. Stones of Göbeklitepe, SE Anatolia, Turkey: An Example of the Shaping of Cultural Heritage by Local Geology Since the Early Neolithic. Geoheritage 2022, 14, 57. [Google Scholar] [CrossRef]
- Ševčík, R.; Machotová, J.; Zárybnická, L.; Mácová, P.; Viani, A. Aqueous polyacrylate latex nanodispersions used as consolidation agents to improve mechanical properties of Prague sandstone. J. Cult. Herit. 2023, 62, 412–421. [Google Scholar] [CrossRef]
- Margherita, Z.; Mazzon, G.; Bertolacci, L.; Carzino, R.; Zendri, E.; Athanassiou, A. Stone Sustainable Protection and Preservation Using a Zein-Based Hydrophobic Coating. Prog. Org. Coat. 2021, 159, 106434. [Google Scholar] [CrossRef]
- Horie, C.V. Materials for Conservation, 2nd ed.; Routledge: London, UK, 2010. [Google Scholar] [CrossRef]
- Mehdi, S.-S.; Ershad-Langroudi, A. Polymeric Coatings for Protection of Historic Monuments: Opportunities and Challenges. J. Appl. Polym. Sci. 2009, 112, 2535–2551. [Google Scholar] [CrossRef]
- Ruffolo, S.A.; La Russa, M.F. Nanostructured Coatings for Stone Protection: An Overview. Front. Mater. 2019, 6, 147. [Google Scholar] [CrossRef]
- Sierra-Fernandez, A.; Gomez-Villalba, L.; Rabanal, M.; Fort, R. New Nanomaterials for Applications in Conservation and Restoration of Stony Materials: A Review. Mater. De Construcción 2017, 67, 107. [Google Scholar] [CrossRef]
- Cappelletti, G.; Fermo, P.; Camiloni, M. Smart Hybrid Coatings for natural stones Conservation. Prog. Org. Coat. 2015, 78, 511–516. [Google Scholar] [CrossRef]
- Manoudis, P.N.; Tsakalof, A.; Karapanagiotis, I.; Zuburtikudis, I.; Panayiotou, C. Fabrication of Super-Hydrophobic Surfaces for Enhanced Stone Protection. Surf. Coat. Technol. 2009, 203, 1322–1328. [Google Scholar] [CrossRef]
- Pires, V.; Mirão, J.; Sitzia, F.; Lisci, C.; Duarte, J.; Dias, L.; Alves, T.; Lopes, L.; Martins, R. Advanced Technologies for Natural Stone|Inovstone 4.0-Important Results from a Research Project on Natural Stone Construction Materials Selection and Performance Analysis; Rehabend: Andalucía, Spain, 2022; pp. 1337–1350. ISBN 978-840942252-4. Available online: http://www.rehabend.unican.es (accessed on 23 June 2024).
- Aditya, K.; Nanda, D. Chapter 3—Methods and Fabrication Techniques of Superhydrophobic Surfaces. In Superhydrophobic Polymer Coatings; Elsevier: Amsterdam, The Netherlands, 2019; pp. 43–75. [Google Scholar] [CrossRef]
- ASTM E96/E96M-14; Standard Test Methods for Water Vapor Transmission of Materials. ASTM International: Kansas City, MO, USA, 2014.
- ASTM G154C7; Resistance of a Nonmetallic Material to Simulated Sunlight and Moisture Exposure. ASTM International: West Conshohocken, PA, USA, 2006.
- Erbil, H.Y. Evaporation of pure liquid sessile and spherical suspended drops. Adv. Colloid Interface Sci. 2012, 170, 67–86. [Google Scholar] [CrossRef]
- Li, X.-M.; Reinhoudt, D.; Crego-Calama, M. What Do We Need for a Superhydrophobic Surface? A Review on the Recent Progress in the Preparation of Superhydrophobic Surfaces. Chem. Soc. Rev. 2007, 36, 1350–1368. [Google Scholar] [CrossRef]
- Sumit, P.; Dixit, P.; Chattopadhyay, S. uperhydrophobic Surfaces: Insights from Theory and Experiment. J. Phys. Chem. B 2020, 124, 1323–1360. [Google Scholar] [CrossRef]
- McKeen, L.W. Fluorinated Coatings and Finishes Handbook: The Definitive User s Guide, 2nd ed.; Elsevier Science: Amsterdam, The Netherlands, 2015. [Google Scholar]
- Wu, L.; Baghdachi, J. Functional Polymer Coatings: Principles, Methods, and Applications; John Wiley & Sons: Hoboken, NJ, USA, 2015. [Google Scholar]
- Kronlund, D. Chemical Engineering of Surface Coatings for Natural Stones. Master’s Thesis, Åbo Akademi University, Åbo, Finland, 2017. [Google Scholar]
- Mariateresa, L.; Masieri, M.; Morelli, A.; Pipoli, M.; Frigione, M. Oleo/Hydrophobic Coatings Containing Nanoparticles for the Protection of Stone Materials Having Different Porosity. Coatings 2018, 8, 429. [Google Scholar] [CrossRef]
- Andreotti, S.; Franzoni, E.; Fabbri, P. Poly(hydroxyalkanoate)s-Based Hydrophobic Coatings for the Protection of Stone in Cultural Heritage. Materials 2018, 11, 165. [Google Scholar] [CrossRef] [PubMed]
- Li, L.; Li, B.; Dong, J.; Zhang, J. Roles of Silanes and Silicones in Forming Superhydrophobic and Superoleophobic Materials. J. Mater. Chem. 2016, 4, 13677–13725. [Google Scholar] [CrossRef]
- Rivas, T.; Prieto, B.; Silva, B. Permeability to Water Vapour in Granitic Rocks. Application to the Study of Deleterious Effects of Conservation Treatments. Build. Environ. 2001, 36, 239–246. [Google Scholar] [CrossRef]
- Schulz, U. Accelerated Testing: Nature and Artificial Weathering in the Coatings Industry; Vincentz Network: Hannover, Germany, 2009; ISBN 978-3-86630-908-1. [Google Scholar]
- Bellopede, R.; Zichella, L.; Marini, P.; Luodes, N.M. Natural stone decay: Artificial ageing tests versus natural weathering. In Conserving Cultural Heritage, 1st ed.; Mosquera, M., Almoraima Gil, M.L., Eds.; CRC Press: London, UK, 2018; ISBN 9781315158648. [Google Scholar]
- Timoncini, A.; Brattich, E.; Bernardi, E.; Chiavari, C.; Tositti, A. Safeguarding outdoor cultural heritage materials in an ever-changing troposphere: Challenges and new guidelines for artificial ageing test. J. Cult. Herit. 2023, 59, 190–201. [Google Scholar] [CrossRef]
- Saba, M.; Quiñones-Bolaños, E.E.; Barbosa López, A.L. A review of the mathematical models used for simulation of calcareous stone deterioration in historical buildings. Atmos. Environ. 2018, 180, 156–166. [Google Scholar] [CrossRef]










| Property | Limestone (L) | Marble (M) | Granitoid (G) |
|---|---|---|---|
| Bulk density [kg/m3] | 2393 ± 7 | 2714 ± 6 | 2722 ± 5 |
| Open porosity [%] | 7.8 ± 0.2 | 0.4 ± 0.02 | 0.05 ± 0.01 |
| Water absorption at atmospheric pressure [%] | 3.0 ± 0.5 | 0.1 ± 0.02 | 0.1 ± 0.01 |
| Water absorption by capillarity [g/m2·s0.5] (Parallel to bedding plane/perpendicular to bedding plane) | 30/13 | 0.9/0.8 | 0.7/0.6 |
| Compressive uniaxial strength [MPa] | 75 ± 6 | 85 ± 6 | 150 ± 7 |
| Flexural strength under concentrated load [MPa] | 11.1 ± 0.6 | 16.4 ± 3 | 16.9 ± 2 |
| Lithotypes/Coatings | Limestone (L) | Marble (M) | Granitoid (G) | ||||
|---|---|---|---|---|---|---|---|
| Mean | Stdev | Mean | Stdev | Mean | Stdev | ||
| CN1 | 1st Application | 110.9 | 1.8 | 113.9 | 4.1 | 119.8 | 3.9 |
| 2nd Application | 125.1 | 2.4 | 118.6 | 7.5 | 127.8 | 6.4 | |
| 3rd Application | 125.1 | 2.6 | 121.0 | 8.5 | 129.4 | 7.5 | |
| 4th Application | 126.0 | 4.0 | 122.8 | 9.0 | 131.1 | 7.3 | |
| CN2 | 1st Application | 132.2 | 9.5 | 135.2 | 7.0 | 132.6 | 4.8 |
| 2nd Application | 132.8 | 9.4 | 135.6 | 5.4 | 132.7 | 4.5 | |
| 3rd Application | 135.1 | 7.2 | 136.8 | 4.1 | 134.0 | 3.2 | |
| 4th Application | 136.2 | 6.9 | 138.0 | 3.8 | 135.4 | 4.2 | |
| CN3 | 1st Application | 127.0 | 3.3 | 130.0 | 2.8 | 133.0 | 6.2 |
| 2nd Application | 136.8 | 4.3 | 131.7 | 4.2 | 134.1 | 5.5 | |
| 3rd Application | 137.4 | 4.2 | 132.3 | 3.8 | 134.2 | 5.3 | |
| 4th Application | 139.2 | 4.7 | 133.1 | 3.7 | 134.4 | 5.3 | |
| Lithotypes | Static Contact Angles (Mean ± Stdev) | ||||
|---|---|---|---|---|---|
| Uncoated | CN1 Coated | CN2 Coated | CN3 Coated | ||
| Coatings applied at room temperature while substrates were at RT | Limestone (L) | 40.4 ± 8.8 | 110.9 ± 1.8 | 132.16 ± 9.5 | 127.0 ± 3.3 |
| Marble (M) | 65.1 ± 2.8 | 113.8 ± 4.1 | 135.16 ± 7.0 | 129.9 ± 2.8 | |
| Granitoid (G) | 60.5 ± 4.8 | 119.8 ± 3.9 | 132.56 ± 4.8 | 133.0 ± 6.2 | |
| Coatings applied at 4 °C while substrates were at 4 °C | Limestone (L) | 40.4 ± 8.8 | 119.5 ± 4.3 | 138.2 ± 4.3 | 138.3 ± 3.5 |
| Marble (M) | 65.1 ± 2.8 | 122.8 ± 6.3 | 137.2 ± 5.9 | 126.0 ± 4.6 | |
| Granitoid (G) | 60.5 ± 4.8 | 130.7 ± 4.6 | 136.0 ± 6.5 | 143.0 ± 2.2 | |
| Coatings applied at 55 °C while substrates were at 55 °C | Limestone (L) | 40.4 ± 8.8 | 118.2 ± 3.6 | 134.5 ± 2.1 | 130.2 ± 2.6 |
| Marble (M) | 65.1 ± 2.8 | 97.6 ± 3.1 | 131.9 ± 6.5 | 107.1 ± 5.9 | |
| Granitoid (G) | 60.5 ± 4.8 | 113.6 ± 1.3 | 133.0 ± 3.9 | 136.1 ± 4.7 | |
| Coatings applied at 4 °C while substrates were at RT | Limestone (L) | 40.4 ± 8.8 | 126.9 ± 4.3 | 134.2 ± 2.9 | 134.8 ± 2.7 |
| Marble (M) | 65.1 ± 2.8 | 115.3 ± 4.2 | 136.0 ± 0.8 | 136.1 ± 3.4 | |
| Granitoid (G) | 60.5 ± 4.8 | 110.8 ± 4.9 | 136.0 ± 3.8 | 139.9 ± 3.1 | |
| Coatings applied at room temperature while substrates were at 4 °C | Limestone (L) | 40.4 ± 8.8 | 118.3 ± 6.9 | 119.4 ± 4.6 | 132.2 ± 1.8 |
| Marble (M) | 65.1 ± 2.8 | 87.4 ± 8.9 | 115.7 ± 2.9 | 122.4 ± 4.1 | |
| Granitoid (G) | 60.5 ± 4.8 | 109.7 ± 3.7 | 130.8 ± 3.9 | 134.4 ± 2.2 | |
| Lithotypes | Static Contact Angles (Mean ± Stdev), Before and After Ageing | |||||||
|---|---|---|---|---|---|---|---|---|
| Uncoated | CN1 Coated | CN2 Coated | CN3 Coated | |||||
| Before | After | Before | After | Before | After | Before | After | |
| L | 40.4 ± 8.8 | 19.3 ± 3.1 | 126.8 ± 4.3 | 126.4 ± 4.7 | 134.2 ± 2.9 | 64.9 ± 15.4 | 134.8 ± 2.7 | 133.2 ± 6.8 |
| M | 65.1 ± 2.8 | 23.8 ± 6.0 | 115.2 ± 4.2 | 118.2 ± 21.8 | 136.0 ± 0.8 | 127 ± 17.8 | 136.1 ± 3.4 | 120.5 ± 10.5 |
| G | 60.5 ± 4.8 | 21.7 ± 9.1 | 110.7 ± 4.9 | 123.8 ± 9.7 | 136.0 ± 3.8 | 136 ± 3.5 | 139.9 ± 3.1 | 137.1 ± 3.5 |
| Lithotypes | Before Coating Application | After Coating Application | After Accelerated Ageing |
|---|---|---|---|
| L | 6.4 × 10−12 | 4.0 × 10−12 | 8.1 × 10−12 |
| M | 5.1 × 10−12 | 5.1 × 10−12 | 5.1 × 10−12 |
| G | 5.5 × 10−12 | 5.5 × 10−12 | 5.5 × 10−12 |
Disclaimer/Publisher’s Note: The statements, opinions and data contained in all publications are solely those of the individual author(s) and contributor(s) and not of MDPI and/or the editor(s). MDPI and/or the editor(s) disclaim responsibility for any injury to people or property resulting from any ideas, methods, instructions or products referred to in the content. |
© 2024 by the authors. Licensee MDPI, Basel, Switzerland. This article is an open access article distributed under the terms and conditions of the Creative Commons Attribution (CC BY) license (https://creativecommons.org/licenses/by/4.0/).
Share and Cite
Hashim, H.; Dias, L.; Martins, S.; Pires, V.; Costa, M.; Barrulas, P. Optimization of the Application of Commercial Hydrophobic Coatings for Natural Stone Protection and Preservation. Heritage 2024, 7, 3495-3510. https://doi.org/10.3390/heritage7070165
Hashim H, Dias L, Martins S, Pires V, Costa M, Barrulas P. Optimization of the Application of Commercial Hydrophobic Coatings for Natural Stone Protection and Preservation. Heritage. 2024; 7(7):3495-3510. https://doi.org/10.3390/heritage7070165
Chicago/Turabian StyleHashim, Hurraira, Luís Dias, Sérgio Martins, Vera Pires, Mafalda Costa, and Pedro Barrulas. 2024. "Optimization of the Application of Commercial Hydrophobic Coatings for Natural Stone Protection and Preservation" Heritage 7, no. 7: 3495-3510. https://doi.org/10.3390/heritage7070165
APA StyleHashim, H., Dias, L., Martins, S., Pires, V., Costa, M., & Barrulas, P. (2024). Optimization of the Application of Commercial Hydrophobic Coatings for Natural Stone Protection and Preservation. Heritage, 7(7), 3495-3510. https://doi.org/10.3390/heritage7070165

