The Senses as Experiences in Wine Tourism—A Comparative Statistical Analysis between Abruzzo and Douro
Abstract
1. Introduction
2. Literature Review
2.1. The Business of Wine Tourism
2.2. Sensory Experiences and Impressions in Wine Tourism
3. Methodology
3.1. Population and Sample
3.2. Data Collection Instrument
3.3. Procedures
4. Results
4.1. Characterization of Wine Tourists by Region
4.2. Comparative Analysis of the Perception of Sensory Experiences between Regions
4.3. Measurement Model of Sensory Experiences
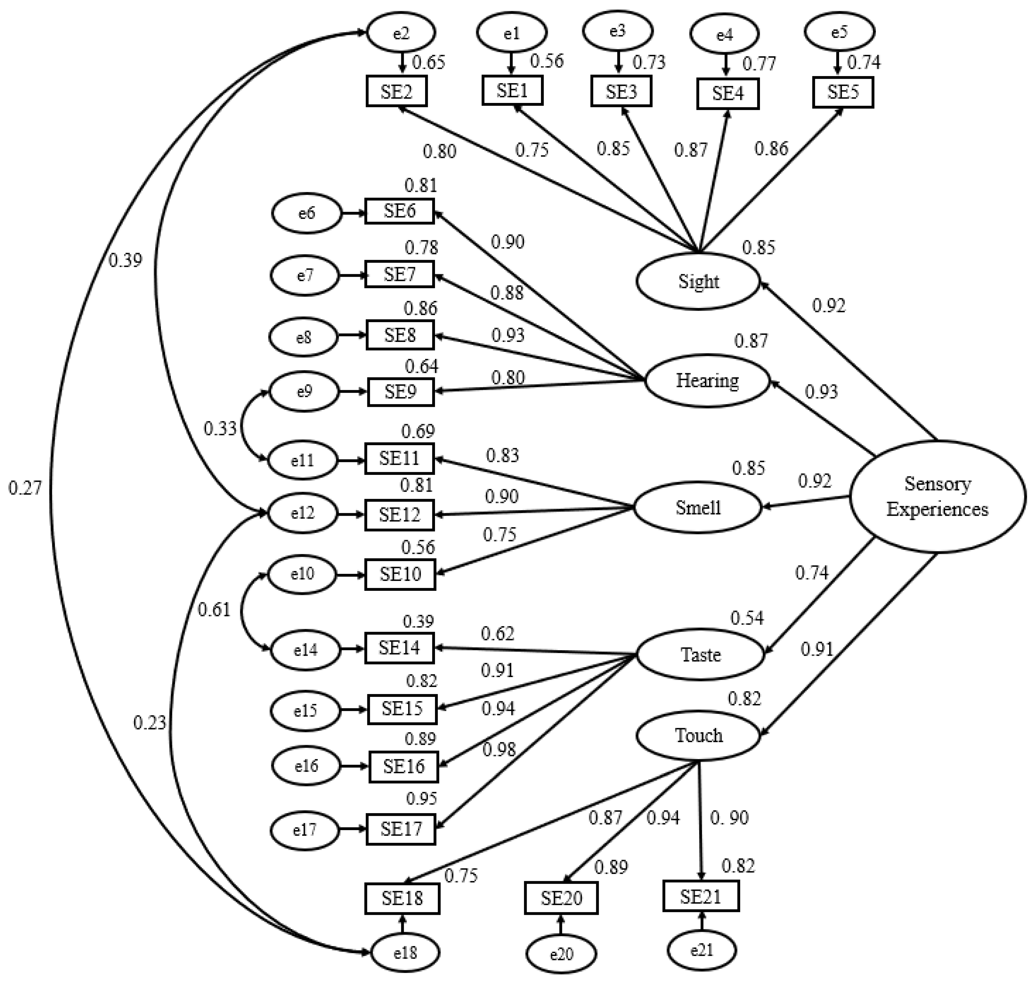
4.4. Structural Model of Sensory Experiences
4.5. Sensory Experiences, Satisfaction, Attachment, and Behavioral Intentions
5. Discussion of Results
6. Conclusions
7. Implications
8. Limitations and Future Work
Author Contributions
Funding
Data Availability Statement
Conflicts of Interest
References
- Ramos, P.; Santos, V.; Almeida, N. Main challenges, trends and opportunities for wine tourism in Portugal. Worldw. Hosp. Tour. Themes 2018, 10, 680–687. [Google Scholar] [CrossRef]
- Madeira, A.; Correia, A.; Filipe, J. Modelling wine tourism experiences. Anatolia 2019, 30, 513–529. [Google Scholar] [CrossRef]
- Inácio, A.; Cavaco, C. Enoturismo em Portugal: Forma de desenvolvimento regional e afirmação cultural local. Rev. Tur. Desenvolv. 2010, 2, 761–769. [Google Scholar] [CrossRef]
- Guzmán, T.; Rodríguez, A.; García, J. Profile and motivations of European tourists on the Sherry wine route of Spain. Tour. Manag. Perspect. 2014, 11, 63–68. [Google Scholar] [CrossRef]
- Bruwer, J.; Alant, K. The hedonic nature of wine tourism consumption: An experiential view. Int. J. Wine Bus. Res. 2009, 21, 235–257. [Google Scholar] [CrossRef]
- Santos, V.; Ramos, P.; Almeida, N.; Pavón, E. Wine and wine tourism experience: A theoretical and conceptual review. Worldw. Hosp. Tour. Themes 2019, 11, 718–730. [Google Scholar] [CrossRef]
- Gimenes, M.; Bizinelli, C.; Manosso, F. Enoturismo e Atividades Complementares: Estratégias para a maximização da experiência turística. In Anais do IX Seminário da Associação Nacional de Pesquisa e Pós-Graduação em Turismo; Universidade Anhembi Morumbi: São Paulo, Brazil, 2012; Available online: https://www.anptur.org.br/anais/anais/files/9/34.pdf (accessed on 15 March 2023).
- Tonini, H.; Lavandoski, J. Enoturismo: Experiências e sensações no Vale dos Vinhedos (RS). Rev. Tur. Em Análise 2011, 22, 25–43. [Google Scholar] [CrossRef]
- Getz, D.; Brown, G. Critical success factors for wine tourism regions: A demand analysis. Tour. Manag. 2006, 27, 146–158. [Google Scholar] [CrossRef]
- IVDP. Região Demarcada do Douro 2022. Available online: https://www.ivdp.pt/pt/vinha/regiao/regiao-caracteristicas/ (accessed on 15 March 2023).
- Vallbona, M.; Miró, O. Wine lovers: Their interests in tourist experiences. Int. J. Cult. Tour. Hosp. Res. 2020, 14, 239–258. [Google Scholar] [CrossRef]
- Torres, J.; Barrera, J.; Kunc, M.; Charters, S. The dynamics of wine tourism adoption in Chile. J. Bus. Res. 2021, 127, 474–485. [Google Scholar] [CrossRef]
- Thanh, T.V.; Kirova, V. Wine tourism experience: A netnography study. J. Bus. Res. 2018, 83, 30–37. [Google Scholar] [CrossRef]
- Lee, J.; Kyle, G.; Scott, D. The mediating effect of place attachment on the relationship between festival satisfaction and loyalty to the festival hosting destination. J. Travel Res. 2012, 51, 754–767. [Google Scholar] [CrossRef]
- Barbosa, F.; Viegas, C.; Santos, A.; Sellitto, M. Rutas de turismo en la Región de la Campaña Gaúcha. El caso de la Estancia del Vino Guatambu en Don Pedrito (RS–Brasil). Estud. Perspect. Tur. 2017, 26, 718–730. [Google Scholar]
- Santos, V.; Santos, E.; Caldeira, A.; Oliveira, S.; Miguel, I. The experience in the visits to Tejo Region’s wine tourism units. In Proceedings of the 2nd International Conference on Tourism Research 2019 (ICTR19); University Portucalense: Porto, Portugal, 2019; pp. 274–281. [Google Scholar]
- Santos, V.; Ramos, P.; Sousa, B.; Valeri, M. Towards a framework for the global wine tourism system. J. Organ. Chang. Manag. 2021, 35, 348–360. [Google Scholar] [CrossRef]
- Charters, S.; Ali-Knight, J. Who is the wine tourist? Tour. Manag. 2002, 23, 311–319. [Google Scholar] [CrossRef]
- Carvalho, M.; Kastenholz, E.; Carneiro, M. Co-creative tourism experiences–a conceptual framework and its application to food & wine tourism. Tour. Recreat. Res. 2021, 1–25. [Google Scholar] [CrossRef]
- Pine II, B.J.; Gilmore, J.H. A leader’s guide to innovation in the experience economy. Strategy Leadersh. 2014, 42, 24–29. [Google Scholar] [CrossRef]
- Lee, T.; Chang, Y. The influence of experiential marketing and activity involvement on the loyalty intentions of wine tourists in Taiwan. Leis. Stud. 2012, 31, 103–121. [Google Scholar] [CrossRef]
- Tsaur, S.; Chiu, Y.; Wang, C. The visitors behavioral consequences of experiential marketing: An empirical study on Taipei Zoo. J. Travel Tour. Mark. 2007, 21, 47–64. [Google Scholar] [CrossRef]
- Santos, V.; Caldeira, A.; Santos, E.; Oliveira, S.; Ramos, P. Wine Tourism Experience in the Tejo Region: The influence of sensory impressions on post-visit behaviour intentions. Int. J. Mark. Commun. New Media 2019, 5, 54–75. [Google Scholar]
- Güzel, Ö.; Ehtiyar, R.; Ryan, C. The Success Factors of wine tourism entrepreneurship for rural area: A thematic biographical narrative analysis in Turkey. J. Rural Stud. 2021, 84, 230–239. [Google Scholar] [CrossRef]
- Neto, R.; Vieira, A. Turismo de experiência para a região delimitada pela Indicação de Procedência dos Vales da Uva Goethe, Sul de Santa Catarina-Brasil. TURYDES Rev. Sobre Tur. Desarro. Local Sosten. 2019, 12, 26. [Google Scholar]
- Santos, V.; Ramos, P.; Almeida, N. The relationship between involvement, destination emotions and place attachment in the Porto wine cellars. Int. J. Wine Bus. Res. 2017, 29, 401–415. [Google Scholar] [CrossRef]
- Saayman, M.; Merwe, A. Factors determining visitors’ memorable wine-tasting experience at wineries. Anatolia 2015, 26, 372–383. [Google Scholar] [CrossRef]
- Orth, U.; Stöckl, A.; Veale, R.; Brouard, J.; Cavicchi, A.; Faraoni, M.; Wilson, D. Using attribution theory to explain tourists’ attachments to place-based brands. J. Bus. Res. 2012, 65, 1321–1327. [Google Scholar] [CrossRef]
- Prayag, G.; Ryan, C. Antecedents of tourists’ loyalty to Mauritius: The role and influence of destination image, place attachment, personal involvement, and satisfaction. J. Travel Res. 2012, 51, 342–356. [Google Scholar] [CrossRef]
- Orth, U.; Limon, Y.; Rose, G. Store-evoked affect, personalities, and consumer emotional attachments to brands. J. Bus. Res. 2010, 63, 1202–1208. [Google Scholar] [CrossRef]
- Kastenholz, E.; Cunha, D.; Eletxigerra, A.; Carvalho, M.; Silva, I. The Experience Economy in a Wine Destination—Analysing Visitor Reviews. Sustainability 2022, 14, 9308. [Google Scholar] [CrossRef]
- Mastroberardino, P.; Calabrese, G.; Cortese, F.; Petracca, M. Sustainability in the wine sector: An empirical analysis of the level of awareness and perception among the Italian consumers. Br. Food J. 2020, 122, 2497–2511. [Google Scholar] [CrossRef]
- Leri, I.; Theodoridis, P. How do personality traits affect visitor’s experience, emotional stimulation and behaviour? The case of wine tourism. Tour. Rev. 2020, 76, 1013–1049. [Google Scholar] [CrossRef]
- Nella, A.; Christou, E. Linking service quality at the cellar door with brand equity building. J. Hosp. Mark. Manag. 2014, 23, 699–721. [Google Scholar] [CrossRef]
- Silva, M.; Minasse, M. Hospitalidade e enoturismo em Andradas (MG): Case Vinícola Casa Geraldo. Rev. Tur. Anal. 2020, 31, 400–416. [Google Scholar] [CrossRef]
- Kotur, A.S. A bibliometric review of research in wine tourism experiences: Insights and future research directions. Int. J. Wine Bus. Res. 2023, 35, 278–297. [Google Scholar] [CrossRef]
- De Luca, M.; Campo, R.; Lee, R. Mozart or pop music? Effects of background music on wine consumers. Int. J. Wine Bus. Res. 2019, 31, 406–418. [Google Scholar] [CrossRef]
- Heatherly, M.; Dein, M.; Munafo, J.P.; Luckett, C.R. Crossmodal correspondence between color, shapes, and wine odors. Food Qual. Prefer. 2019, 71, 395–405. [Google Scholar] [CrossRef]
- Ross, C.F.; Weller, K.M.; Alldredge, J.R. Impact of serving temperature on sensory properties of red wine as evaluated using projective mapping by a trained panel. J. Sens. Stud. 2012, 27, 463–470. [Google Scholar] [CrossRef]
- Getz, D.; Brown, G. Benchmarking wine tourism development: The case of the Okanagan Valley, British Columbia, Canada. Int. J. Wine Mark. 2006, 18, 78–97. [Google Scholar] [CrossRef]
- Agapito, D.; Valle, P.; Mendes, J. The sensory dimension of tourist experiences: Capturing meaningful sensory-informed themes in Southwest Portugal. Tour. Manag. 2014, 42, 224–237. [Google Scholar] [CrossRef]
- Loureiro, S. The role of the rural tourism experience economy in place attachment and behavioral intentions. Int. J. Hosp. Manag. 2014, 40, 1–9. [Google Scholar] [CrossRef]
- Jeong, Y.; Yu, A.; Kim, S.K. The antecedents of tourists’ behavioral intentions at sporting events: The case of South Korea. Sustainability 2019, 12, 333. [Google Scholar] [CrossRef]
- Bufquin, D.; Back, R.; Park, J.; Nutta, M. The effects of architectural congruence perceptions on winery visitors’ emotions and behavioral intentions: The case of Marqués de Riscal. J. Destin. Mark. Manag. 2018, 9, 56–63. [Google Scholar] [CrossRef]
- Gross, M.; Brown, G. Tourism experiences in a lifestyle destination setting: The roles of involvement and place attachment. J. Bus. Res. 2006, 59, 696–700. [Google Scholar] [CrossRef]
- Chen, X.; Goodman, S.; Bruwer, J.; Cohen, J. Beyond Better Wine: The Impact of Experiential and Monetary Value on Wine Tourists’ Loyalty Intentions. Asia Pac. J. Tour. Res. 2015, 21, 172–192. [Google Scholar] [CrossRef]
- Kline, R. Principles and Practice of Structural Equation Modeling; Guilford Press: New York, NY, USA, 2015. [Google Scholar]
- Marôco, J. Análise de Equações Estruturais: Fundamentos Teóricos; Software & Aplicações, ReportNumber: Lisboa, Portugal, 2014. [Google Scholar]
- Arbuckle, J.L. IBM® Amos TM 23 User’s Guide; Amos Development Corporation: Chicago, IL, USA, 2014. [Google Scholar]
- Hair, J.F.; Black, W.C.; Babin, B.J.; Anderson, R.E. Multivariate Data Analysis, 7th ed.; Pearson: Edinburgh, UK, 2014. [Google Scholar]
- Pallant, J. SPSS Survival Manual: A Step by Step Guide to Data Analysis Using IBM SPSS, 6th ed.; Open University Press: Maidenhead, UK, 2016. [Google Scholar]
- Alonso, A.; Kok, S. How could future professionals excel in wine tourism delivery? Evidence from wine regions in emerging economies. Int. J. Contemp. Hosp. Manag. 2020, 32, 3157–3176. [Google Scholar] [CrossRef]
- Cohen, E.; Ben-Nun, L. The important dimensions of wine tourism experience from potential visitors’ perception. Tour. Hosp. Res. 2009, 9, 20–31. [Google Scholar] [CrossRef]



| Region | |||||
|---|---|---|---|---|---|
| Abruzzo (IT) | Douro (PT) | ||||
| n | % | n | % | ||
| How many times have you visited wine tourism units in the region? | Never | 26 | 28.0 | 43 | 40.6 |
| 1 time | 19 | 20.4 | 33 | 31.1 | |
| 2 times | 14 | 15.1 | 13 | 12.3 | |
| 3 or more times | 34 | 36.6 | 17 | 16.1 | |
| With whom are you participating in the visit? | Alone | 3 | 3.2 | 11 | 10.4 |
| With family | 32 | 34.4 | 31 | 29.2 | |
| With friends | 40 | 43.0 | 27 | 25.5 | |
| With co-workers | 5 | 5.4 | 15 | 14.2 | |
| Organized group (tour) | 13 | 14.0 | 22 | 20.8 | |
| Activities in the wine tourism unit | Tour | 30 | 32.3 | 69 | 65.1 |
| Wine event | 15 | 16.1 | 6 | 5.7 | |
| Wine tastings | 33 | 35.5 | 70 | 66.0 | |
| Lunch/wine dinner | 18 | 19.4 | 8 | 7.5 | |
| Other | 2 | 2.2 | 18 | 17.0 | |
| Region | Test | ||||
|---|---|---|---|---|---|
| Abruzzo (IT) | Douro (PT) | ||||
| Items | M | SD | M | SD | t |
| SE1. Landscape observation | 5.88 | 1.20 | 5.73 | 1.49 | 0.81 |
| SE2. Observation of wine kites/barrels | 5.58 | 1.42 | 5.23 | 1.52 | 1.69 |
| SE3. Observation of glasses and tableware | 4.86 | 1.73 | 4.97 | 1.62 | −0.47 |
| SE4. Wine-tasting space decor observation | 5.51 | 1.32 | 5.07 | 1.56 | 2.13 * |
| SE5. Observation of architectural aspects | 5.30 | 1.46 | 5.08 | 1.55 | 1.05 |
| SE6. Sound of opening the bottle | 4.96 | 1.65 | 4.78 | 1.62 | 0.75 |
| SE7. Sound associated with pouring wine into a glass | 4.85 | 1.71 | 4.73 | 1.70 | 0.51 |
| SE8. Toast sound (cups, voices, and tinkling) | 4.66 | 1.88 | 4.59 | 1.68 | 0.24 |
| SE9. Sounds of the outside/nature | 5.25 | 1.61 | 5.16 | 1.62 | 0.38 |
| SE10. Wine aromas | 5.91 | 1.17 | 4.92 | 1.71 | 4.81 *** |
| SE11. Smell of the countryside | 5.63 | 1.44 | 5.09 | 1.64 | 2.48 * |
| SE12. Smell of the cellar (kites/barrels) | 5.65 | 1.36 | 4.97 | 1.62 | 3.15 ** |
| SE13. Smell of food (cheeses/bread/cold cuts) | 5.29 | 1.61 | 4.59 | 1.83 | 2.83 ** |
| SE14. Wine flavor | 6.14 | 1.00 | 4.98 | 1.85 | 5.60 *** |
| SE15. Cheese flavor | 5.01 | 1.83 | 4.42 | 1.99 | 2.19 * |
| SE16. Bread flavor | 4.88 | 1.84 | 4.73 | 1.93 | 0.58 |
| SE17. Taste of cold cuts | 5.05 | 1.84 | 4.61 | 1.97 | 1.62 |
| SE18. Touching the wine kites/barrels | 5.00 | 1.79 | 4.86 | 1.61 | 0.59 |
| SE19. Touching the food (bread, cold cuts, cheeses, etc.) | 4.66 | 1.87 | 4.82 | 1.94 | −0.61 |
| SE20. Touching the wine glass (feeling the hot/cold temperature) | 4.72 | 1.78 | 4.90 | 1.69 | −0.71 |
| SE21. Touching the ground/nature | 4.59 | 1.87 | 4.74 | 1.64 | −0.58 |
| Indices | Original Model (21 Items) | Adjusted Model (19 Items) | Cut-Off Criteria |
|---|---|---|---|
| χ2/df | 899.390/179 = 5.025 | 391.366/137 = 2.857 | Less than 3 [47] |
| GFI | 0.689 | 0.839 | Good fit—values greater or equal to 0.90 [48] |
| CFI | 0.851 | 0.938 | |
| RMSEA | 0.143 | 0.097 | Acceptable for values less than 0.10 Ref. [48] and good for values in [0.05, 0.08] Ref. [49] |
| MECVI | 5.133 | 2.572 | The lower the better [48] |
| Sight | Hearing | Smell | Taste | Cronbach’s Alpha | CR | AVE | |
|---|---|---|---|---|---|---|---|
| Sight | 0.917 | 0.916 | 0.687 | ||||
| Hearing | 0.89 | 0.929 | 0.931 | 0.773 | |||
| Smell | 0.83 | 0.86 | 0.891 | 0.866 | 0.684 | ||
| Taste | 0.69 | 0.63 | 0.73 | 0.925 | 0.927 | 0.765 | |
| Touch | 0.82 | 0.85 | 0.85 | 0.70 | 0.928 | 0.932 | 0.820 |
| M (SD) | Loadings | |
|---|---|---|
| Satisfaction with experience (α = 0.909, CR = 0.816, AVE = 0.598) | ||
| Overall satisfaction with the experience of visiting the wine tourism unit | 5.55 (1.05) | 0.799 |
| Evaluation of the experience of visiting the wine tourism unit taking into account expectations | 5.39 (1.10) | 0.855 |
| Imagining an ideal or perfect experience, assess to what extent the experience of visiting the wine tourism unit approaches this ideal | 5.25 (1.11) | 0.874 |
| Place identity (α = 0.923, CR = 0.841, AVE = 0.570) | ||
| I strongly identify myself with this region’s wine tourism units | 4.80 (1.74) | 0.730 |
| The visits to this region’s wine tourism units mean a lot to me | 4.61 (1.74) | 0.762 |
| I am connected to this region’s wine tourism units for their history, culture, and heritage | 4.54 (1.89) | 0.717 |
| This region’s wine tourism units are very special to me | 4.58 (1.75) | 0.807 |
| Place dependence (α = 0.947, CR = 0.891, AVE = 0.673) | ||
| Visits to this region’s wine tourism units are more important to me than other visits | 4.07 (1.77) | 0.827 |
| I like to visit this region’s wine tourism units more than any other places | 3.98 (1.80) | 0.894 |
| I am more satisfied visiting this region’s wine tourism units than when visiting other places | 3.88 (1.86) | 0.823 |
| For what I like to do, I could not imagine anything better than the conditions offered by this region’s wine tourism units | 4.04 (1.77) | 0.730 |
| Recommendation (α = 0.835, CR = 0.750, AVE = 0.509) | ||
| I will recommend this unit of wine tourism to my friends or family | 5.32 (1.60) | 0.743 |
| I will share photos/comments on social networks about my experience here | 4.48 (1.89) | 0.521 |
| I will continue to buy wines produced by this wine tourism unit | 4.76 (1.67) | 0.839 |
| Loyalty (α = 0.887, CR = 0.735, AVE = 0.583) | ||
| I will visit this farm the next time I travel to this region | 4.59 (1.63) | 0.696 |
| I will start/continue to be a loyal customer of this wine tourism unit | 4.38 (1.65) | 0.826 |
Disclaimer/Publisher’s Note: The statements, opinions and data contained in all publications are solely those of the individual author(s) and contributor(s) and not of MDPI and/or the editor(s). MDPI and/or the editor(s) disclaim responsibility for any injury to people or property resulting from any ideas, methods, instructions or products referred to in the content. |
© 2023 by the authors. Licensee MDPI, Basel, Switzerland. This article is an open access article distributed under the terms and conditions of the Creative Commons Attribution (CC BY) license (https://creativecommons.org/licenses/by/4.0/).
Share and Cite
Santos, E.; Barattucci, M.; Tavares, F.O.; Tavares, V.C. The Senses as Experiences in Wine Tourism—A Comparative Statistical Analysis between Abruzzo and Douro. Heritage 2023, 6, 5672-5688. https://doi.org/10.3390/heritage6080298
Santos E, Barattucci M, Tavares FO, Tavares VC. The Senses as Experiences in Wine Tourism—A Comparative Statistical Analysis between Abruzzo and Douro. Heritage. 2023; 6(8):5672-5688. https://doi.org/10.3390/heritage6080298
Chicago/Turabian StyleSantos, Eulália, Massimiliano Barattucci, Fernando Oliveira Tavares, and Vasco Capela Tavares. 2023. "The Senses as Experiences in Wine Tourism—A Comparative Statistical Analysis between Abruzzo and Douro" Heritage 6, no. 8: 5672-5688. https://doi.org/10.3390/heritage6080298
APA StyleSantos, E., Barattucci, M., Tavares, F. O., & Tavares, V. C. (2023). The Senses as Experiences in Wine Tourism—A Comparative Statistical Analysis between Abruzzo and Douro. Heritage, 6(8), 5672-5688. https://doi.org/10.3390/heritage6080298

