Modeling Earthen Treatments for Climate Change Effects
Abstract
1. Introduction
2. Materials and Methods
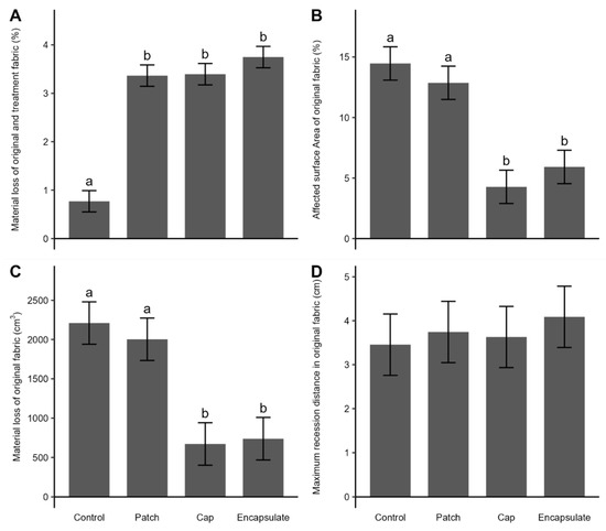
- Control: no unamended earthen material added.
- Patch: earthen material used to fill in voids and cracks, in some cases cobbling/rajuelas were applied.
- Cap: earthen material in a wet-plaster consistency applied over the tops of the walls and vertically down the four faces of the walls to 10 cm; depth/thickness of plaster did not exceed 1.25 cm, excluding locations where patching was performed. Patching was performed prior to capping.
- Encapsulate (encapsulation/shelter coat): earthen material in a plaster consistency applied to the entire wall surface; that is, a cap plus coating the walls to the ground surface. Depth/thickness did not exceed 1.25 cm, excluding locations where patching was performed. Patching was performed prior to encapsulation.

2.1. Rainfall Simulator
2.2. Lidar Application
- Epoch IX: immediately prior to treatment application; 6 September 2022,
- Epoch X: after treatment application and before the rain simulation; 28 September 2022 (Figure 2),
- Epoch XI: after the rain simulation; 3 November 2022.
2.3. Data Analysis
3. Results
4. Discussion
4.1. Return on Investment for Sacrificial Materials
4.2. Armoring of Original Fabric
4.3. Wind-Driven Rain
5. Conclusions
Author Contributions
Funding
Data Availability Statement
Acknowledgments
Conflicts of Interest
References
- Easterling, D.R.; Kunkel, K.E.; Arnold, J.R.; Knutson, T.; LeGrande, A.N.; Leung, L.R.; Vose, R.S.; Waliser, D.E.; Wehner, M.F. Precipitation change in the United States. In Climate Science Special Report: Fourth National Climate Assessment; Wuebbles, D.J., Fahey, D.W., Hibbard, K.A., Dokken, D.J., Stewart, B.C., Maycock, T.K., Eds.; U.S. Global Change Research Program: Washington, DC, USA, 2017; Volume 1. [Google Scholar] [CrossRef]
- Wang, B.; Biasutti, M.; Byrne, M.P.; Castro, C.L.; Chang, C.; Cook, K.H.; Fu, R.; Grimm, A.M.; Ha, K.; Hendon, H.; et al. Monsoons Climate Change Assessment. Bull. Am. Meteorol. Soc. 2020, 102, E1–E19. [Google Scholar] [CrossRef]
- Pascale, S.; Carvalho, L.M.V.; Adams, D.K.; Castro, C.L.; Cavalcanti, I.F.A. Current and future variations of the monsoons of the Americas in a warming climate. Curr. Clim. Chang. Rep. 2019, 5, 125–144. [Google Scholar] [CrossRef]
- Luong, T.M.; Castro, C.L.; Chang, H.; Lahmers, T.; Adams, D.K.; Ochoa-Moya, C.A. The more extreme nature of north American monsoon precipitation in the southwestern United States as revealed by a historical climatology of simulated severe weather events. J. Appl. Meteor. Clim. 2017, 56, 2509–2529. [Google Scholar] [CrossRef]
- Bukovsky, M.S.; Carrillo, C.M.; Gochis, D.J.; Hammerling, D.M.; McCrary, R.R.; Mearns, L.O. Toward assessing NARCCAP regional climate model credibility for the North American monsoon: Future climate simulations. J. Clim. 2015, 28, 6707–6728. [Google Scholar] [CrossRef]
- Kunkel, K.E.; Karl, T.R.; Brooks, H.; Kossin, J.; Lawrimore, J.H.; Arndt, D.; Bosart, L.; Changnon, D.; Cutter, S.L.; Doesken, N.; et al. Monitoring and understanding trends in extreme storms: State of knowledge. Bull. Am. Meteor. Soc. 2013, 94, 499–514. [Google Scholar] [CrossRef]
- Demaria, E.M.C.; Hazenberg, P.; Scott, R.L.; Meles, M.B.; Nichols, M.; Goodrich, D. Intensification of the North American Monsoon rainfall as observed from a long-term high-density gauge network. Geophys. Res. Lett. 2019, 46, 6839–6847. [Google Scholar] [CrossRef]
- Wright, D.B.; Bosma, C.D.; Lopez-Cantu, T.U.S. hydrologic design standards insufficient due to large increases in frequency of rainfall extremes. Geophys. Res. Lett. 2019, 46, 8144–8153. [Google Scholar] [CrossRef]
- Hart, S.; Raymond, K.; Williams, C.J.; Johnson, J.; DeGayner, J.; Guebard, M.C. Precipitation impacts on earthen architecture for better implementation of cultural resource management in the US Southwest. Herit. Sci. 2021, 9, 143. [Google Scholar] [CrossRef]
- National Park Service. How to Apply the National Register Criteria for Evaluation; US Department of Interior: Washington, DC, USA, 1997.
- Oliver, A. Fort Selden Adobe Test. Wall Project: Phase I: Final Report; Getty Adobe Project, Getty Conservation Institute, and Museum of New Mexico: Los Angeles, CA, USA, 2000; Available online: http://hdl.handle.net/10020/gci_pubs/fort_selden_project (accessed on 1 May 2023).
- Scott, K.; Moss, J. Historic Preservation 2017: Pecos National Historical Park; National Park Service: Washington, DC, USA, 2017.
- Woodham, D.; Citto, C.; Porter, D.W.; Bass, A. Investigation, Analysis, and Treatment Testing for the Mission Church, Tumacácori National Historical Park. J. Archit. Eng. 2020, 26, 05020001. [Google Scholar] [CrossRef]
- Bonnin, G.M.; Martin, D.; Lin, B.; Parzybok, T.; Yekta, M.; Riley, D. Precipitation-Frequency Estimates Atlas of the United States NOAA Atlas 14:1; Version 5.0.; National Weather Service: Silver Spring, MD, USA, 2011. Available online: https://www.weather.gov/media/owp/hdsc_documents/Atlas14_Volume1.pdf (accessed on 1 May 2023).
- Cornerstones Community Partnership. Adobe Conservation: A Preservation Handbook; Sunstone Press: Santa Fe, NM, USA, 2006. [Google Scholar]
- Cavicchio, A. An Evaluation of Shelter Coating as a Preventive Conservation Method for Earthen Sites. Master’s Thesis, University of Pennsylvania, Philadelphia, PA, USA, 2022. [Google Scholar]
- Rezende, M.A.P.; Do Vale, J.L.R. Adobe with 1% clay and 2.11 MPa resistance: A case study. In Terra Lyon. 2016; Joffroy, T., Guillaud, H., Sadozaï, C., Eds.; CRAterra: Villefontaine, France, 2018. [Google Scholar]
- Hohn, C.M. Guide G-521 ABCs of Making Adobe Bricks; New Mexico State University: Las Cruces, NM, USA, 2011. [Google Scholar]
- Meyer, L.D.; Harmon, W.C. Multiple-intensity rainfall simulator for erosion research on row sideslopes. Trans. ASAE 1979, 22, 100–103. [Google Scholar] [CrossRef]
- Pierson, F.B.; Moffet, C.A.; Williams, C.J.; Hardegree, S.P.; Clark, P.E. Prescribed-fire effects on rill and interrill runoff and erosion in a mountainous sagebrush landscape. Earth Surf. Process. Landforms. 2009, 34, 193–203. [Google Scholar] [CrossRef]
- Williams, C.J.; Pierson, F.B.; Kormos, P.R.; Al-Hamdan, O.Z.; Hardegree, S.P.; Clark, P.E. Ecohydrologic response and recovery of a semi-arid shrubland over a five year period following burning. Catena 2016, 144, 163–176. [Google Scholar] [CrossRef]
- Wischmeier, W.H.; Smith, D.D. Rainfall energy and its relationship to soil loss. Eos Trans. Am. Geophys. Union 1958, 39, 285–291. [Google Scholar] [CrossRef]
- Carter, C.E.; Greer, J.D.; Braud, H.J.; Floyd, J.M. Raindrop characteristics in south central United States. Trans. ASAE 1974, 17, 1033–1037. [Google Scholar] [CrossRef]
- Surphaser. Surphaser 3D Laser Scanners; Basis Software Inc.: Redmond, WA, USA, 2016. [Google Scholar]
- Yubeta, D. (Retired National Park Service, Tumacacori, AX, USA). Personal communication, 2017.
- Phillips, J.J.; Phillips, P.P. Return on Investment (ROI) Basics; ASTD Press: Alexandria, VA, USA, 2005. [Google Scholar]
- Porter, D. Summary Report: Condition Assessment of First and Second Fort, Fort Bowie National Historic Site; National Park Service: Washington, DC, USA, 2017; unpublished work.
- Soil Health: Principle 1 of 4—Soil Armor. Available online: https://www.nrcs.usda.gov/conservation-basics/conservation-by-state/north-dakota/soil-health-principle-1-of-4-soil-armor (accessed on 5 April 2023).
- Lightfoot, D.R.; Eddy, F.W. The agricultural utility of lithic-mulch gardens: Past and present. GeoJournal 1994, 34, 425–437. [Google Scholar] [CrossRef]
- Dorn, R.I. Impact of consecutive extreme rainstorm events on particle transport: Case study in a Sonoran Desert range, western USA. Geomorphology 2015, 250, 53–62. [Google Scholar] [CrossRef]
- Larson, P.H. Desert Fluvial Terraces and Their Relationship with Basin Development in the Sonoran Desert, Basin and Range: Case Studies from South-Central Arizona. Ph.D. Thesis, Arizona State University, Phoenix, AZ, USA, 2013. [Google Scholar]
- Erpul, G.; Norton, L.D.; Gabriels, D. Raindrop-induced and wind-driven soil particle transport. CATENA 2002, 47, 227–243. [Google Scholar] [CrossRef]
- Erpul, G.; Norton, L.D.; Gabriels, D. The effect of wind on raindrop impact and rainsplash detachment. Trans. ASAE 2003, 46, 51–62. [Google Scholar] [CrossRef]
- Erpul, G.; Gabriels, D.; Norton, L.D.; Flanagan, D.C.; Huang, C.H.; Visser, S.M. Mechanics of interrill erosion with wind-driven rain. Earth Surf. Process. Landf. 2013, 38, 160–168. [Google Scholar] [CrossRef]
- Erkal, A.; D’Ayala, D.; Sequeira, L. Assessment of wind-driven rain impact, related surface erosion and surface strength reduction of historic building materials. Build. Environ. 2012, 57, 336–348. [Google Scholar] [CrossRef]
- Blocken, B.; Carmeliet, J. A review of wind-driven rain research in building science. J. Wind. Eng. Ind. Aerodyn. 2004, 92, 1079–1130. [Google Scholar] [CrossRef]





| Treatment | Mean Added Material (cm3) | Mean Added Material Relative to the Pre-Treatment Volume (%) | ||
|---|---|---|---|---|
| Control | −577 | (SD 228) | −0.253 | (SD 0.107) |
| Patch | 8043 | (SD 4265) | 4.06 | (SD 2.08) |
| Cap | 14,015 | (SD 1760) | 6.61 | (SD 0.515) |
| Encapsulate | 27,157 | (SD 17,287) | 14.3 | (SD 4.59) |
| Wall | Treatment | Material Loss of Original and Treatment Fabric (%) (cm3) | Affected Surface Area of Original Material (%) (cm2) | Material Loss of Original Fabric (cm3) | Maximum Recession Distance from Original Material (cm) |
|---|---|---|---|---|---|
| C | Control | 1.03 (2432) | 15.85 (3718) | 2880 | 4.11 |
| M | Control | 0.70 (1681) | 13.76 (3250) | 2109 | 3.26 |
| O | Control | 0.61 (1059) | 12.93 (2427) | 1653 | 2.70 |
| P | Control | 0.73 (1726) | 13.93 (3177) | 2114 | 3.92 |
| R | Control | 0.79 (1753) | 15.84 (3539) | 2298 | 3.27 |
| A | Patch | 2.56 (5240) | 18.32 (3801) | 3555 | 4.43 |
| B | Patch | 3.24 (6330) | 13.16 (2517) | 1416 | 3.73 |
| H | Patch | 4.08 (8106) | 13.32 (2814) | 2055 | 4.33 |
| I | Patch | 3.34 (6154) | 13.52 (2590) | 2193 | 3.25 |
| T | Patch | 3.60 (7779) | 6.00 (1256) | 796 | 2.97 |
| D | Cap | 4.35 (9171) | 2.88 (564) | 829 | 6.11 |
| K | Cap | 3.35 (6970) | 5.00 (1055) | 852 | 2.70 |
| L | Cap | 2.61 (6198) | 3.04 (677) | 328 | 2.68 |
| Q | Cap | 3.53 (6946) | 4.24 (833) | 482 | 3.04 |
| S | Cap | 3.15 (7514) | 6.20 (1412) | 865 | 3.61 |
| E | Encapsulate | 3.16 (6666) | 2.56 (487) | 286 | 2.95 |
| F | Encapsulate | 3.95 (7594) | 11.97 (2210) | 1264 | 2.95 |
| G | Encapsulate | 4.27 (9191) | 4.19 (842) | 546 | 3.11 |
| J | Encapsulate | 3.30 (7317) | 3.45 (682) | 658 | 8.79 |
| N | Encapsulate | 4.07 (8316) | 7.41 (1524) | 936 | 2.65 |
| Parameter | Material Loss of Original and Treatment Fabric (%) (cm3) | Affected Surface Area of Original Material (%) (cm2) | Material Loss of Original Fabric (cm3) | Maximum Recession Distance from Original Material (cm) |
|---|---|---|---|---|
| F-test | 39.0 (41.4) | 14.9 (13.4) | 9.07 | 0.147 |
| p-value | <0.001 (<0.001) | <0.001 (<0.001) | <0.001 | 0.93 |
| Material Loss | Affected Surface Area | |||
|---|---|---|---|---|
| Wall Age | cm3 | % | cm2 | % |
| New walls (2018 study) | 14,400 (SD 2560) | 5.64 (SD 1.00) | 6440 (SD 432) | 28.9 (SD 3.29) |
| Weathered walls (present study) | 1730 (SD 435) | 0.764 (SD 0.139) | 3220 (SD 443) | 14.5 (SD 1.18) |
Disclaimer/Publisher’s Note: The statements, opinions and data contained in all publications are solely those of the individual author(s) and contributor(s) and not of MDPI and/or the editor(s). MDPI and/or the editor(s) disclaim responsibility for any injury to people or property resulting from any ideas, methods, instructions or products referred to in the content. |
© 2023 by the authors. Licensee MDPI, Basel, Switzerland. This article is an open access article distributed under the terms and conditions of the Creative Commons Attribution (CC BY) license (https://creativecommons.org/licenses/by/4.0/).
Share and Cite
Hart, S.; Raymond, K.; Williams, C.J.; Rutherford, W.A.; DeGayner, J. Modeling Earthen Treatments for Climate Change Effects. Heritage 2023, 6, 4214-4226. https://doi.org/10.3390/heritage6050222
Hart S, Raymond K, Williams CJ, Rutherford WA, DeGayner J. Modeling Earthen Treatments for Climate Change Effects. Heritage. 2023; 6(5):4214-4226. https://doi.org/10.3390/heritage6050222
Chicago/Turabian StyleHart, Sharlot, Kara Raymond, C. Jason Williams, William A. Rutherford, and Jacob DeGayner. 2023. "Modeling Earthen Treatments for Climate Change Effects" Heritage 6, no. 5: 4214-4226. https://doi.org/10.3390/heritage6050222
APA StyleHart, S., Raymond, K., Williams, C. J., Rutherford, W. A., & DeGayner, J. (2023). Modeling Earthen Treatments for Climate Change Effects. Heritage, 6(5), 4214-4226. https://doi.org/10.3390/heritage6050222

