Next Article in Journal
Evaluating the Usability and the Personal and Social Acceptance of a Participatory Digital Platform for Cultural Heritage
Next Article in Special Issue
Archaeologists, Treasure Hunters and Collectors: Heritage in the Spotlight
Previous Article in Journal / Special Issue
European Silver Sources from the 15th to the 17th Century: The Influx of “New World” Silver in Portuguese Currency
 
 
Font Type:
Arial Georgia Verdana
Font Size:
Aa Aa Aa
Line Spacing:
Column Width:
Background:
Article

The Case Study of the Medieval Town Walls of Gubbio in Italy: First Results on the Characterization of Mortars and Binders

by
Fernanda Carvalho
1,*,
Andreia Lopes
1,
Antonella Curulli
2,
Teresa Pereira Da Silva
3,
Maria Margarida R. A. Lima
1,
Giampiero Montesperelli
4,
Sara Ronca
5,
Giuseppina Padeletti
2 and
João Pedro Veiga
1
1
CENIMAT/I3N—Centro de Investigação em Materiais, UNINOVA—Instituto de Desenvolvimento de Novas Tecnologias, Departamento de Ciência dos Materiais, Faculdade de Ciências e Tecnologia, Universidade Nova de Lisboa, 2829-516 Caparica, Portugal
2
CNR Consiglio Nazionale delle Ricerche, ISMN—Instituto per lo Studio dei Materiali Nanostrutturati, Via Salaria km 29.5, Monterotondo, 00015 Rome, Italy
3
LNEG—Laboratório Nacional de Energia e Geologia, I.P., Unidade de Recursos Minerais e Geofísica, Apt. 7586, 2610-999 Amadora, Portugal
4
Dipartimento di Ingegneria dell’Impresa, Università di Roma Tor Vergata, INSTM—Consorzio Interuniversitario Nazionale per la Scienza e Tecnologia dei Materiali, via della Ricerca Scientifica, 00133 Rome, Italy
5
Dipartimento di Scienze della Terra, La Sapienza Università di Roma, P.le Aldo Moro 5, 00185 Rome, Italy
*
Author to whom correspondence should be addressed.
Heritage 2018, 1(2), 468-478; https://doi.org/10.3390/heritage1020031
Submission received: 5 November 2018 / Revised: 30 November 2018 / Accepted: 6 December 2018 / Published: 8 December 2018

Abstract

Good conservation and restoration practices of cultural heritage assets rely on the knowledge of original materials. In the framework of the HERACLES Project (HERACLES—HEritage Resilience Against CLimate Events on Site, H2020 Grant Agreement 700395), dealing with the effects of climatic actions and natural hazards on built heritage, a set of important heritage sites are currently under study to improve their resilience against climate events. Among these are the medieval Gubbio Town Walls in Italy. The present work focuses on the mortars and binders of this monument and collected samples related to different parts of the Walls, corresponding to various historical periods of construction and interventions. They were characterized to determine their minerochemical composition, thermal behavior, and morphology. For that purpose, ex-situ laboratory techniques, such as X-ray diffraction (XRD), wavelength dispersive X-ray fluorescence (WDXRF), optical microscopy (OM), polarized light microscopy (PLM), scanning electron microscopy (SEM), and simultaneous differential thermal analysis and thermogravimetry (TG-DTA) were used to discern trends in different sampling areas due to construction/reconstruction periods and building techniques.

1. Introduction

The preservation of cultural heritage is directly related to the interaction of monuments with their surroundings. This includes the environmental conditions they are subjected to and also aspects of a social and economic nature [1,2,3]. Considering the particular interaction of buildings with environmental conditions, the chemical and physical behavior of the materials used represents a key factor for the definition of preservation actions. It is known that climatic factors, such as wind, rainfall, changes in temperature and humidity, and pollutants, can accelerate processes of deterioration of materials in constant exposure to these factors, as is the case of built heritage [4]. In the context of the HERACLES project, the analysis of the materials that constitute the chosen monuments/assets as a study case is part of a set of strategies aimed at promoting the resilience of this heritage facing climatic changes. In the case of the Town Walls in Gubbio, the study emphasis was given to the mortars.
Mortars can be used for different functions in a construction, such as a binding element of stone blocks, for filling the gap zones, or as a coating [5,6]. When used as a binding element between stone blocks, the physical and chemical integrity of this material is fundamental for maintaining the structure. The main objective of this study is to minerochemically and morphologically characterize the samples of mortars collected in different areas of the medieval walls of Gubbio, since understanding their characteristics can help to answer current issues that may contribute to the preservation strategies for this monument.

1.1. Lime Mortars

Mortars are complex materials, composed of the mix of a binder and aggregates, both inorganic raw materials, and may contain other additives, including organic materials [7]. Several types of binders have been used historically. However, during the medieval period, the most common binder used was based on calcium carbonate (CaCO3), obtained from stones rich in calcite. The process of preparation of the mortar involves the calcination and decomposition of calcite (CaCO3) to lime (CaO). Portlandite [Ca(OH)2], resulting from the hydration of the lime, was usually mixed with inorganic aggregates, typically sand in defined proportions, and water [7,8]. When applied, the carbonation process of Portlandite begins, through the reaction with atmospheric CO2 conferring hardness and mechanical resistance to the material (aerial lime). If the process of hardening of the mortar occurs through reaction with water, the mortar is considered hydraulic. This type of material can be obtained from natural hydraulic lime or produced by adding grinded ceramics (cocciopesto), ash, and pozzolan in nonhydraulic lime. However, the hydraulic properties of a mortar also depend on the preparation conditions of the material [9]. The aggregates also have a relevant role in the performance of the material, its dimension, shape, and distribution in the binder matrix being important. In addition, in the case of air lime mortars, the environmental conditions of temperature, humidity, and the methods of preparation and application can be decisive for the process of carbonation of the mortar [5,10]. The use of both aerial and hydraulic lime mortars was widely disseminated in the Middle Ages, falling into disuse during the nineteenth century, after the development of Portland cement [5,9].

1.2. The Case Study: Gubbio Town Walls

Inserted in the urban landscape, the Town Walls of Gubbio are a fundamental part of the city. Archaeological remains indicate that the construction of the walls dates from before the medieval period and that at least part of its structure may have initially been built as a protection system of the village against the floods of the river Camignano [11]. The Middle Ages were marked by the strong expansion of several cities in the central and northern regions of Italy, in which the expansion and adaptation of the walls assumed both the functions of defense of the village and urban planning [12,13]. Gubbio was an important city in the medieval period and its walls accompanied its development, mainly from the beginning of the 14th century, when the walls also played a protective role of the village against the attacks of enemies and invaders [13]. The tracing of the medieval walls accompanied the old walls along the slope of Ingino Mount, in the N–NE direction. The extension located in the lower part corresponds to the expanded territory. The construction of this extension of the walls was completed before 1350 [14] (Figure 1).
The medieval town walls of Gubbio extend for 2.8 km. The dimensions are varied and can reach a height of 12.0 m at the highest point and a thickness ranging between 0.5 and 3.0 m. In addition, the walls of Gubbio include gates and a defense tower.
At least three types of stones were used in the construction of the oldest part of the walls, namely, limestone, travertine, and sandstone joined by mortar. The medieval walls also present apparent material differences, resulting from successive construction additions, reinforcement of the structure, and restoration/renovations that occurred over the centuries. For the HERACLES Project, five zones of the walls were chosen as the focus for sample collection and material characterization in the laboratory (ex-situ analysis). However, the materials collected in Zone 1 do not correspond to mortar samples, and therefore are not included in this study. The location of the sampling zones shown in Figure 2 are: Zone 1—“Forte di Parco Ranghiasci”; Zone 2—“Cassero”; area between Zone 3—“Torre”—and Zone 4—“Porta S. Ubaldo”; area between Zone 4—“Porta S. Ubaldo”—and Zone 5—“Bughetto”; Zone 5—“Bughetto”.
It is estimated that the oldest part of the walls corresponds to Zone 1, completed in 1301. Zone 2, also built in the Middle Ages, underwent several changes in the late 14th and early 15th centuries and was largely destroyed in the nineteenth century. Zone 3 does not present signs of recent intervention. Zones 4 and 5 correspond to the same period of construction of Zone 1 but suffered the largest interventions in relation to the removal of accumulated land against the walls and actions of restoration and preventive conservation.
As referred before, the degree of preservation of the medieval walls is directly related to the surroundings and environmental conditions. Rainfall particularly affects the Town Walls of Gubbio due to its location in relation to the topography of the terrain, since it increases the transport of soil and rubble from the hillside, which eventually accumulates near the walls. Zones 3, 4, and 5 are the most affected, where the accumulation of soil along the walls causes an intensification of the pressure sustained by the structure, leading to a higher risk of collapse, especially in the most fragile parts. Furthermore, it also causes alteration in moisture retention and circulation within the materials constituting the walls, which can negatively affect the materials and contribute to the weakening of the structure. Another factor that should be considered is the presence of vegetation in the surrounding area, since it stimulates the growth of primary microorganisms, which develop in inorganic substrates, causing chemical and physical alterations in the materials. In the case of plant development in the wall structure, the roots can cause physical deterioration of mortars and stones.
Considering the abovementioned factors and the way they can affect mortars and compromise the structure of the walls, the materials’ morphological, mineralogical, and chemical characterization is an important step to determine its degree of conservation and also to define the future actions to preserve this heritage.

2. Materials and Methods

Mortars are materials composed of raw materials of a very diverse nature and with a composition that can vary considerably. This study was carried out using a set of ex-situ analytical techniques in samples collected in different areas of the medieval walls. The mortar samples were collected according to the period of construction and/or intervention, as shown in Table 1.
For the morphological, mineralogical, and chemical characterization, a small portion of the samples were grinded with an agate mortar and pestle to perform chemical analysis or assembled in epoxy resin and mechanically polished (mainly for surface observation). A set of analytical techniques where preferentially used, such as optical microscopy (OM), X-ray diffraction (XRD), and X-ray fluorescence spectrometry in wavelength dispersive mode (WDXRF). Although these techniques require some sample preparation, such as grinding, after performing the measurements the samples are recovered, remaining available for conducting new tests, if necessary. Other methodologies used that do not allow sample recovery include scanning electron microscopy (SEM) and simultaneous thermogravimetry and differential thermal analysis (TG–DTA).
The direct observation of samples was done using an Olympus BX51 Optical Microscope with reflected light in darkfield observation mode. The polished section observation of samples was done using a reflected light (optical) microscope Leica DMI5000M, also in darkfield observation mode. The sample was also observed at the optical and metallurgical microscope (Nikon Epiphot TME).
SEM observation and EDS analysis for morphology and microstructure evaluation were performed by field emission scanning electron microscopy (FEG–SEM, Zeiss LEO Supra 35), coupled with energy dispersive spectroscopy (EDS) (INCAx-sight, Oxford instruments) on petrographic thin sections of mortars and/or stones. Samples were coated with a 10 nm thick chromium layer before observation.
XRD analyses for the identification of mineralogical phases were performed using a Rigaku Diffractometer, model DMAX III-C 3kW, with copper Kα radiation at 40 kV and 30 mA settings, in the 2θ range 10° to 65°, with a step of 0.08° and an acquisition time of 1 s, in continuous scan mode. The crystalline phase identification was done using the EVA software (DIFFRAC Plus EVA) [16].
WDXRF analyses for samples’ elemental composition determination were performed using a 4.0 kW Panalytical Axios sequential spectrometer. Standardless semiquantitative analysis was performed under an He flow with the SuperQ IQ+ software package [17].
Simultaneous TG–DTA for assessing the thermal behavior of the samples was performed with a Setaram TGDTA 92 apparatus using an Ar flow. The heating rate up to 1100 °C was 10°/min.

3. Results and Discussion

Considering the morphology of the material, the mortar samples show a great variation of granulometry of aggregates. Through optical microscopy, it was possible to note that two of the samples exhibit relatively homogeneous dimension of grains, approximately 75 µm (GTW 2 and GTW 4), well distributed in the binder matrix. The regular size of the grains can be related with the quality of the mortar and the homogeneous distribution of aggregates suggests a good mixing process during mortar preparation [18]. However, for the remaining samples, the size, shape, and color of the grains are quite varied, as is the dispersion of aggregates in the binder. In general, the binder shows a pink homogeneous coloration but in some samples appears mixed with portions of lighter color. Figure 3 illustrates the main characteristics observed for the mortars of the medieval walls of Gubbio. The OM direct observation was performed on disaggregated parts of the samples, while the polished section observation was performed on fragments of these same samples. This variation of the observed morphology is not, apparently, reflected in the results of the chemical analysis.
In general, the mortar contains coarse aggregate grains of calcareous lithotypes and, in some cases, the aggregates are in the range from 1 to 2 mm, angular to sub-rounded in shape. Fine aggregate grains consist of dominant limestone, polycrystralline sparite and chert and subordinate arenite, calcarenite, andmetamorphic and igneous rocks. Monocrystalline grains include quartz, plagioclase, K-feldspar, biotite, white mica, and sparry calcite. Foraminifera skeletons along with rare vegetable fibers and cocciopesto fragments are also present. The binder is a poorly homogeneous micritic lime matrix with uncarbonated lumps of lime and ca. 5–10%vol porosity due to irregular-shaped voids and fissures (Figure 4b). The internal cracks in the binder can have different causes, which may result from the process of hardening of the mortar, freezing and thawing cycles, mechanical movement processes, crystallization of salts, lack of adhesion between aggregates and binder, tensions caused by expansion and retraction of the components, and low quality of mortar preparation, among other factors [18,19].
From the elemental chemical analysis by wavelength dispersive X-ray fluorescence, samples of mortars from the Gubbio Town Walls show a higher amount of calcium and silica than other elements, which matches the results of other techniques and confirms that the mortar samples from the Gubbio Town Walls were lime mortars (Table 2).
Despite the observations made by polarized light microscopy (PLM) of the assorted nature of the aggregate, X-ray diffraction results did not reflect this variety. The resulting data indicate that calcite and quartz are the main crystalline components for all samples, with very slight differences (Figure 5). Other crystalline phases have been identified based on very low intensity peaks only in a few samples, being attributed to gypsum and possibly some feldspar. Gypsum was identified in samples presenting the highest sulphur content (Table 2). It is important to note that XRD and WDXRF assays were performed in macerated samples, without the separation of the binder and aggregate. WDXRF results showed calcium and silicon as the components with the highest concentration for all samples. As observed by PLM, most of the aggregates, especially the coarser grains, are calcitic in nature, while the finer grains were identified as noncalcitic. Considering that the ligand is also composed of calcite, XRD results reflect the predominance in intensity of the crystalline phases of the main components.
Based on the results obtained, a relationship was established between the two main components identified, calcium and silicon (Table 3) [20,21]. Although this relationship cannot correspond directly to a value of the ligand/aggregate ratio once calcium is included in components other than the ligand, as identified by polarized light microscopy (Figure 4b), it may assist in the perception of a compositional trend between samples (Figure 6). It is possible to perceive that the two samples that present Ca/Si ratio values close to or greater than 5 correspond to the samples collected in areas where the mortars were considered recent.
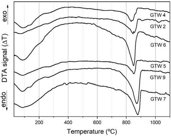
Despite the visible differences in the appearance of specimens observed in OM, the results obtained with TG-DTA showed a similar trend for all samples (Figure 7), with calculated mass loss between 19% and 24%. Mass loss below 110 °C is not considered, because samples were kept in a drying oven for 1 h at that temperature before the start of the measurement for the elimination of the adsorbed water. For this study, the water loss of hydrated compounds was considered from the difference between the total mass loss and loss due to CO2 during decarbonation. The main mass loss was observed in the endothermic peak starting at 600 °C associated with the release of CO2, due to the process of decomposition of carbonates. The maximum processing temperature of the carbonate occurs between 750 °C and 850 °C [6,22]. In the case of the medieval wall samples, the maximum transformation takes place between 800 °C and 850 °C (Figure 7).
Two of the samples present a DTA curve with a double endothermic peak near 130 °C, attributed to the loss of hydrated water from gypsum [6,23], which confirms the presence of this component in samples GTW4 and GTW9, also identified by XRD. This gypsum may be associated with the deterioration of the mortar, arising from the reaction with pollutants, or may have been added in the formulation of the mortar [6]. The calculated values for mass loss and water loss resulting from TG analysis are presented in Table 4. Water loss occurring below 200 °C corresponds to some water adsorbed and the loss of water from hydrated salts. Between 200 °C and 600 °C, that loss corresponds to the structural water of hydraulic compounds present in the samples [6,23,24].
The degree of hydraulicity of a sample can be calculated by the ratio between the CO2 loss above 600 °C and the water loss of the hydraulic compounds, occurring between 200 °C and 600 °C. The higher the value obtained by the CO2/H2O ratio, the lower the hydraulicity of the mortar is, being referenced that ratios greater than 10 are considered as typical lime mortars, values between 4 and 10 are hydraulic mortars, and values below 3 can be considered as pozzolan; sometimes, rations between 3.5 and 6 are considered as moderately hydraulic [6,9,23]. Table 4 shows the CO2/H2O ratio calculated for the samples of the medieval walls. Only the GTW9 sample has a ratio greater than 10, which could be considered an aerial mortar. The other mortar samples can be considered as moderately hydraulic or with some hydraulic characteristic.

4. Conclusions

Determining the exact composition of a mortar can be a difficult task, since the material is complex and suffers chemical changes both in its hardening phase and over time. In addition, the same component can take on both functions as aggregate and binder. The variety of raw materials used is a factor that also hinders this assessment [6,25]. Despite this, based on a set of analytical techniques, it is possible to determine some characteristics of the mortars. In the case of the samples from the medieval town walls of Gubbio, it is possible to establish that all samples are mainly lime mortars with quartz and calcite aggregates. The morphology, the size of the grains, and the distribution of the aggregates in the ligand matrix is quite varied. The coarse grains correspond mainly to minerals rich in calcium carbonate and the finer grains correspond to the great variety observed in relation to other types of minerals. Considering the chemical compositions determined by WDXRF, the samples present similar results, maintaining the same major and minor elements for all compositions. The results of XRD reflect the chemical composition and have a lot of similarity in all the results. Calcite and quartz were the main crystalline phases identified. By thermal analysis, it was possible to confirm the main endothermic peak as the transformation of calcite in all samples. Moreover, in two cases, it was possible to confirm the presence of gypsum, previously identified by a very low intensity X-ray diffraction peak. Considering only the material characterization, it is not possible to affirm the origin of gypsum in the specific case of these samples; however, the most probable reason is the addition of this component to the formulation of the mortar, since the concentration of pollutants in the region of Gubbio is not high. Through thermal analysis, it was possible to calculate the degree of hydraulicity for the mortar samples, one with the characteristic index of an aerial lime mortar and all others presenting some hydraulicity. Nevertheless, it is to be noted that the two samples considered recent have a higher hydraulicity index. These samples were collected in the intervention zones of the walls and may indicate the preferential use of aerial lime in this type of conservation actions.

Author Contributions

Writing—original draft preparation, F.C.; conceptualization, F.C., J.P.V.; investigation, F.C., A.L., T.P.S., A.C., M.M.R.A.L., G.M., S.R., G.P., J.P.V.; resources, A.C., G.P.; writing—review and editing, J.P.V., A.C.; supervision, J.P.V.

Funding

This work was supported by the European Union’s Framework Programme for Research and Innovation HORIZON 2020 under Grant Agreement 700395 project HERACLES and by the Portuguese Foundation for Science and Technology (FCT) UID/EAT/00729/2013 and EAT/00729-3 by FEDER funds through the COMPETE 2020 Programme and National Funds through FCT—Portuguese Foundation for Science and Technology under the project number POCI-01-0145-FEDER-007688, Reference UID/CTM/50025/2013 NOVA.ID.FCT.

Acknowledgments

The authors would like to acknowledge the Comuni di Gubbio for the availability and support for the collection of the samples.

Conflicts of Interest

The authors declare no conflict of interest. The funders had no role in the design of the study; in the collection, analyses, or interpretation of data; in the writing of the manuscript, or in the decision to publish the results.

References

  1. Markham, A.; Osipova, E.; Lafrenz Samuels, K.; Caldas, A. World Heritage and Tourism in a Changing Climate; UNESCO; UNEP: Paris, France, 2016; p. 104. ISBN 978-92-3-100152-9, 978-92-807-3573-4. [Google Scholar]
  2. Wijesuriya, G.; Thompson, J.; Young, C. Managing Cultural World Heritage; UNESCO; ICCROM; ICOMOS; IUCN: Paris, France, 2013; p. 152. ISBN 978-92-3-001223-6. [Google Scholar]
  3. UNESCO. Policy Document on the Impacts of Climate Change on World Heritage Properties; UNESCO World Heritage Centre Publications on Climate Change: Paris, France, 2008; p. 32. [Google Scholar] [CrossRef]
  4. Brimblecombe, P. Air Pollution and Architecture: Past, Present and Future. J. Archit. Conserv. 2000, 6, 30–46. [Google Scholar] [CrossRef]
  5. Veiga, R. Air lime mortars: What else do we need to know to apply them in conservation and rehabilitation interventions? A review. Constr. Build. Mater. 2017, 157, 132–140. [Google Scholar] [CrossRef]
  6. Corti, C.; Rampazzi, L.; Bugini, R.; Sansonetti, A.; Biraghi, M.; Castelletti, L.; Nobile, L.; Orsenigo, C. Thermal analysis and archaeological chronology: The ancient mortars of the site of Baradello (Como, Italy). Thermochim. Acta 2013, 572, 71–84. [Google Scholar] [CrossRef]
  7. Palomo, A.; Blanco-Varela, M.T.; Martinez-Ramirez, S.; Puertas, F.; Fortes, C. Historic Mortars: Characterization and Durability, New Tendencies for Research; Eduardo Torroja Institute (CSIC): Madrid, Spain, 2002. [Google Scholar]
  8. Elert, K.; Rodriguez-Navarro, C.; Pardo, E.S.; Hansen, E.; Cazalla, O. Lime Mortars for the Conservation of Historic. Stud. Conserv. 2002, 47, 62–75. [Google Scholar]
  9. Elsen, J.; Van Balen, K.; Mertens, G. Hydraulicity in Historic Lime Mortars: A review. In Historic Mortars-Characterisation, Assessment, Conservation and Repair; Válek, J., Hughes, J., Groot, C., Eds.; Springer: Praha, Czech, 2012; pp. 121–136. [Google Scholar] [CrossRef]
  10. Van Hees, R.P.J.; Binda, L.; Papayianni, I.; Toumbakari, E. Characterisation and damage analysis of old mortars. Mater. Struct. 2004, 37, 644–648. [Google Scholar] [CrossRef]
  11. Sisani, S. Gubbio: Nuove riflessioni sulla forma urbana. Archeol. Class. 2010, 61, 75–134. [Google Scholar]
  12. Hubert, É. La construction de la ville: Sur l’urbanisation dans l’Italie médiévale. In Annales. Histoire, Sciences Sociales; Cambridge University Press: Cambridge, UK, 2004; Volume 59, pp. 109–139. [Google Scholar]
  13. Fiore, F.P. Interventi urbani in una signoria territoriale del Quattrocento a Urbino e Gubbio. Publications de l’École Fr. de Rome 1989, 122, 407–437. [Google Scholar]
  14. Luongo, A. Gubbio nel Trecento: Il Comune Popolare e la Mutazione Signorile (1300–1404); Viella: Rome, Italy, 2016. [Google Scholar]
  15. Heracles Project. Heracles Newsletters n4 2017. pp. 1–11. Available online: http://www.heracles-project.eu/sites/default/files/pages/documents/heracles_newsletter_4.pdf (accessed on 15 October 2018).
  16. Perdigão, J.; Pinto, A.M.; Monteiro, R.C.; Fernandes, F.M.B.; Laranjeira, P.; Veiga, J.P. Degradation of dental ZrO2-based materials after hydrothermal fatigue. Part I: XRD, XRF, and FESEM analyses. Dent. Mater. J. 2012, 31, 256–265. [Google Scholar] [CrossRef] [PubMed]
  17. Figueiredo, E.; Fonte, J.; Lima, A.; Veiga, J.P.; Silva, R.J.; Mirão, J. Ancient tin production: Slags from the Iron Age Carvalhelhos hillfort (NW Iberian Peninsula). J. Archaeol. Sci. 2018, 93, 1–16. [Google Scholar] [CrossRef]
  18. Conte, A.M.; Corda, L.; Esposito, D.; Giorgi, E. Characterization of mortars from the medieval Abbey of Cerrate (southern Italy). J. Archaeol. Sci. Rep. 2017, 12, 463–479. [Google Scholar] [CrossRef]
  19. Elsen, J. Microscopy of historic mortars-a review. Cem. Concr. Res. 2006, 36, 1416–1424. [Google Scholar] [CrossRef]
  20. Figueiredo, M.O.; Veiga, J.P.; Silva, T.P. Materials and reconstruction techniques at the Aqueduct of Carthage since the Roman period. Hist. Constr. Guimarães 2001, 1, 391–400. [Google Scholar]
  21. Figueiredo, M.O.; Silva, T.P.; Veiga, J.P. Analysis of degradation phenomena in ancient, traditional and improved building materials of historical monuments. Appl. Phys. A 2008, 92, 151–154. [Google Scholar] [CrossRef]
  22. Bakolas, A.; Biscontin, G.; Contardi, V.; Franceschi, E.; Moropoulou, A.; Palazzi, D.; Zendri, E. Thermoanalytical research on traditional mortars in venice. Thermochim. Acta 1995, 269–270, 817–828. [Google Scholar] [CrossRef]
  23. Moropoulou, A.; Bakolas, A.; Bisbikou, K. Investigation of the technology of historic mortars. J. Cult. Herit. 2000, 1, 45–58. [Google Scholar] [CrossRef]
  24. Leone, G.; De Vita, A.; Magnani, A.; Rossi, C. Characterization of archaeological mortars from Herculaneum. Thermochim. Acta 2016, 624, 86–94. [Google Scholar] [CrossRef]
  25. Biscontin, G.; Pellizon Birelli, M.; Zendri, E. Characterization of binders employed in the manufacture of Venetian historical mortars. J. Cult. Herit. 2002, 3, 31–37. [Google Scholar] [CrossRef]
Figure 1. Ancient Umbrian walls (XV BC. to IV AC.) (in orange) and medieval walls (in blue). Adapted from HERACLES Project [15].
Figure 1. Ancient Umbrian walls (XV BC. to IV AC.) (in orange) and medieval walls (in blue). Adapted from HERACLES Project [15].
Heritage 01 00031 g001
Figure 2. Old town wall—sample collection sites: Fort of the “Ranghiasci” park (1); “Cassero” (2); Tower (3); Gate of St. Ubaldo (4); “Bughetto” (5); Gate of St Marziale (6); St. Marziale Church (7).
Figure 2. Old town wall—sample collection sites: Fort of the “Ranghiasci” park (1); “Cassero” (2); Tower (3); Gate of St. Ubaldo (4); “Bughetto” (5); Gate of St Marziale (6); St. Marziale Church (7).
Heritage 01 00031 g002
Figure 3. OM observation of mortar samples 2, 5, and 9, (a) direct mode and (b) polished sections. All observation was done in darkfield observation mode and 5× magnification.
Figure 3. OM observation of mortar samples 2, 5, and 9, (a) direct mode and (b) polished sections. All observation was done in darkfield observation mode and 5× magnification.
Heritage 01 00031 g003
Figure 4. (a) SEM micrograph of sample GTW7 (1.0 kX), where porosity of sample can be observed. (b) Sample GTW7 observed in crossed–polarized light, where it is possible to observe the aggregates of the mortar sample.
Figure 4. (a) SEM micrograph of sample GTW7 (1.0 kX), where porosity of sample can be observed. (b) Sample GTW7 observed in crossed–polarized light, where it is possible to observe the aggregates of the mortar sample.
Heritage 01 00031 g004
Figure 5. XRD results for Gubbio Town Walls samples. C—Calcite (CaCO3) (5-0586), Q—quartz (SiO2) (46-1045).
Figure 5. XRD results for Gubbio Town Walls samples. C—Calcite (CaCO3) (5-0586), Q—quartz (SiO2) (46-1045).
Heritage 01 00031 g005
Figure 6. Ca/Si ratio compositional trend for Gubbio Town Walls samples.
Figure 6. Ca/Si ratio compositional trend for Gubbio Town Walls samples.
Heritage 01 00031 g006
Figure 7. Comparison between differential thermal analysis (DTA) curves of mortar samples from the Gubbio Town Walls.
Figure 7. Comparison between differential thermal analysis (DTA) curves of mortar samples from the Gubbio Town Walls.
Heritage 01 00031 g007
Table 1. Sampling of mortars on the medieval town walls of Gubbio.
Table 1. Sampling of mortars on the medieval town walls of Gubbio.
SampleZoneNameObservation
GTW 22CasseroMortar Years 80 (?) (inner)
GTW 44–5Between Gate S. Ubaldo and BughettoAncient mortar (?)
GTW 5Ancient mortar (?) (outer)
GTW 6Ancient mortar (?) (inner)
GTW 73–4Between Tower and Gate S. UbaldoAncient mortar (?)
GTW 95BughettoRecent mortar (?)
Table 2. Chemical composition of mortar samples from the medieval Town Walls of Gubbio, wavelength dispersive X-ray fluorescence (WDXRF).
Table 2. Chemical composition of mortar samples from the medieval Town Walls of Gubbio, wavelength dispersive X-ray fluorescence (WDXRF).
SampleCaOSiO2Al2O3Fe2O3K2ONa2OMgOTiO2MnOSO3ClSrO
GTW 274.5015.103.662.141.381.360.830.320.140.470.060.04
GTW 467.8018.103.852.631.960.800.670.310.163.120.550.05
GTW 572.2017.603.763.061.52-0.830.320.170.210.270.06
GTW 666.3021.304.753.291.90-0.950.410.210.310.530.05
GTW 770.5020.603.892.510.69-0.980.330.140.180.110.07
GTW 978.8014.301.440.990.71-0.370.120.092.640.480.06
Table 3. Ca/Si ratio determined by WDXRF.
Table 3. Ca/Si ratio determined by WDXRF.
SampleCaOSiO2Ca/Si
GTW 274.5015.104.93
GTW 467.8018.103.75
GTW 572.2017.604.10
GTW 666.3021.303.11
GTW 770.5020.603.42
GTW 978.8014.305.51
Table 4. Water and CO2 mass loss of mortar samples calculated from thermal analysis (TG curves), the last column corresponding to the hydraulicity ratio.
Table 4. Water and CO2 mass loss of mortar samples calculated from thermal analysis (TG curves), the last column corresponding to the hydraulicity ratio.
SampleH2O Loss (%)CO2 Loss (%)Total CO2 Loss (%)Start Temp. °CCO2/H2O
<200 °C200–600 °C>600 °C
GTW20.952.2018.8321.986398.56
GTW41.643.6613.7519.056333.76
GTW52.322.1916.6621.176447.61
GTW61.052.8914.9818.926195.18
GTW71.762.4719.2323.466457.78
GTW91.971.7119.1222.8068711.18

Share and Cite

MDPI and ACS Style

Carvalho, F.; Lopes, A.; Curulli, A.; Da Silva, T.P.; Lima, M.M.R.A.; Montesperelli, G.; Ronca, S.; Padeletti, G.; Veiga, J.P. The Case Study of the Medieval Town Walls of Gubbio in Italy: First Results on the Characterization of Mortars and Binders. Heritage 2018, 1, 468-478. https://doi.org/10.3390/heritage1020031

AMA Style

Carvalho F, Lopes A, Curulli A, Da Silva TP, Lima MMRA, Montesperelli G, Ronca S, Padeletti G, Veiga JP. The Case Study of the Medieval Town Walls of Gubbio in Italy: First Results on the Characterization of Mortars and Binders. Heritage. 2018; 1(2):468-478. https://doi.org/10.3390/heritage1020031

Chicago/Turabian Style

Carvalho, Fernanda, Andreia Lopes, Antonella Curulli, Teresa Pereira Da Silva, Maria Margarida R. A. Lima, Giampiero Montesperelli, Sara Ronca, Giuseppina Padeletti, and João Pedro Veiga. 2018. "The Case Study of the Medieval Town Walls of Gubbio in Italy: First Results on the Characterization of Mortars and Binders" Heritage 1, no. 2: 468-478. https://doi.org/10.3390/heritage1020031

APA Style

Carvalho, F., Lopes, A., Curulli, A., Da Silva, T. P., Lima, M. M. R. A., Montesperelli, G., Ronca, S., Padeletti, G., & Veiga, J. P. (2018). The Case Study of the Medieval Town Walls of Gubbio in Italy: First Results on the Characterization of Mortars and Binders. Heritage, 1(2), 468-478. https://doi.org/10.3390/heritage1020031

Article Metrics

Back to TopTop