Simultaneous Saccharification and Fermentation of Pretreated Corn Cobs by Mucor indicus for Ethanol Production
Abstract
1. Introduction
2. Materials and Methods
2.1. Feedstock and Working Microorganism
2.2. Preparation of Acetate Buffer and Matrix Nutrient Medium
2.3. Enzymatic Hydrolysis of PCCs
Enzymatic Hydrolysis Optimisation Using DesignExpert Software
2.4. Preparation of Nutrient Media for Cultivation of Mucor indicus
2.5. Simultaneous Saccharification and Fermentation of PCCs by M. indicus for Ethanol Production
2.5.1. Simultaneous Saccharification and Fermentation in Flasks
2.5.2. Simultaneous Saccharification and Fermentation in Stirred Tank Bioreactor
2.6. Analytical Methods
2.6.1. Determination of Cellulase and Xylanase Enzyme Activities
2.6.2. UPLC Analysis
2.6.3. Calculation of Bioprocess Efficiency Parameters
2.6.4. Statistical Analysis
3. Results and Discussion
3.1. Enzymatic Hydrolysis of PCCs in Different Experimantal Conditions
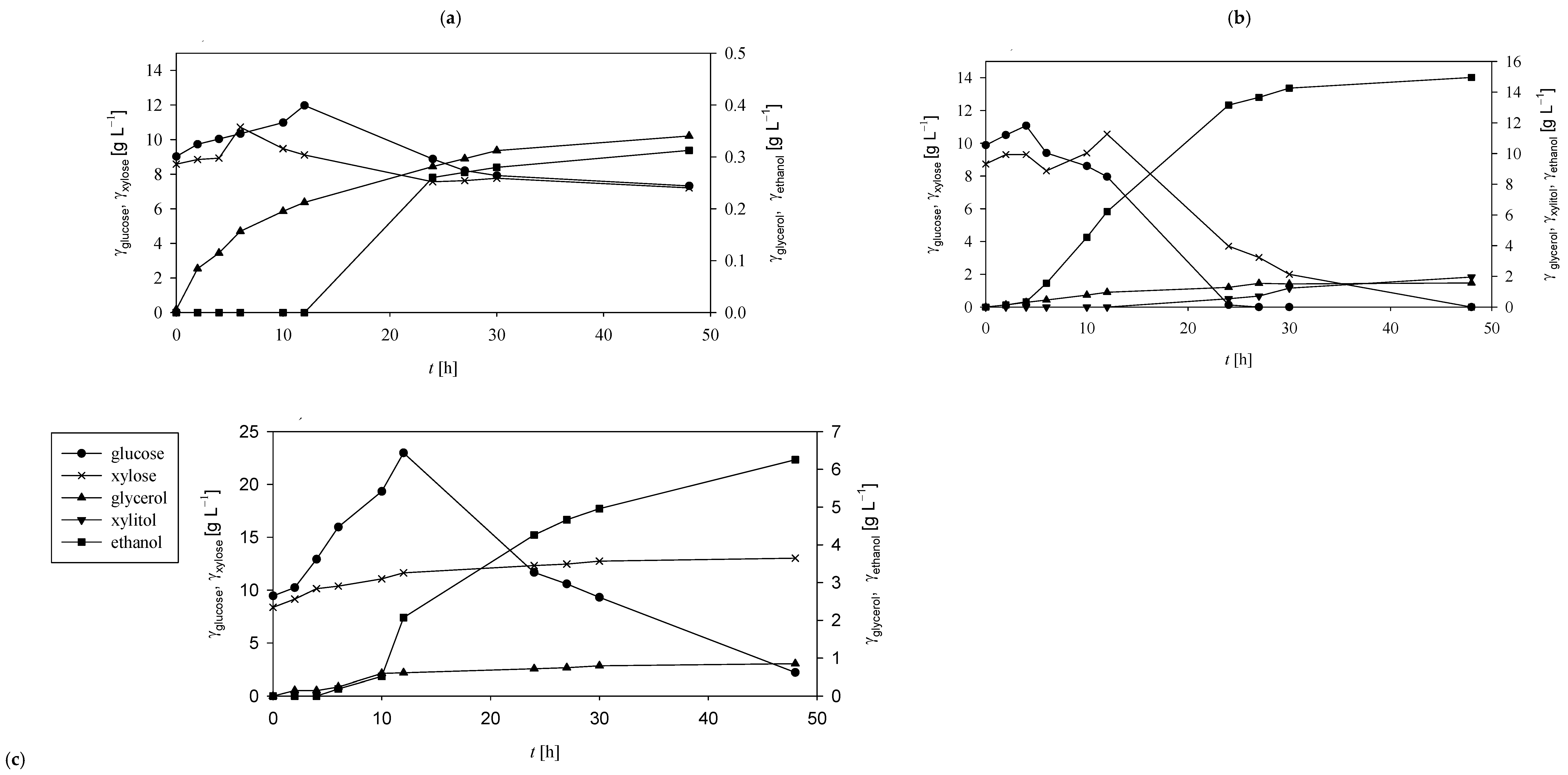
3.2. Simultaneous Saccharification and Fermentation of PCCs for Ethanol Production by M. indicus DSM 2185 in Erlenmeyer Flasks
3.3. Simultaneous Saccharification and Fermentation of PCCs for Ethanol Production by M. indicus DSM 2185 in a Stirred Tank Bioreactor
4. Conclusions
Author Contributions
Funding
Institutional Review Board Statement
Informed Consent Statement
Data Availability Statement
Conflicts of Interest
References
- Levi, P.G.; Cullen, M.C. Mapping Global Flows of Chemicals: From Fossil Fuel Feedstocks to Chemical Products. Environ. Sci. Technol. 2018, 52, 1725–1734. [Google Scholar] [CrossRef]
- Rass-Hansen, J.; Falsig, H.; Jorgensen, B.; Christensen, C.H. Perspective Bioethanol: Fuel or feedstock. J. Chem. Technol. Biotechnol. 2007, 82, 329–333. [Google Scholar] [CrossRef]
- Ingle, A.P.; Kumar Chandel, A.; da Silva, S.S. Biorefinig of lignocellulose into Valuable Products. In Lignocellulosic Biorefinig Technologies; Ingle, A.P., Kumar Chandel, A., da Silva, S.S., Eds.; John Wiley and Sons Ltd.: Hoboken, NJ, USA, 2020. [Google Scholar] [CrossRef]
- Fatma, S.; Amir, H.; Noman, M.; Temoor, A.; Muhammad, S.; Mohsin, T.; Imran, S.; Tabassum, R. Lignocellulosic Biomass: A Sustainable Bioenergy Source for the Future. Protein Pept. Lett. 2018, 25, 148–163. [Google Scholar] [CrossRef]
- Isikgor, F.H.; Becer, C.R. Lignocellulosic Biomass: A Sustainable Platform for the Production of Bio-Based Chemicals and Polymers. Polym. Chem. 2015, 6, 4497–4559. [Google Scholar] [CrossRef]
- Shah, A.A.; Seehar, T.H.; Sharma, K.; Toor, S.S. Chapter 7—Biomass pretreatment technologies. In Hydrocarbon Biorefinery; Maity, S.K., Gayen, K., Bhowmick, T.K., Eds.; Elsevier: Amsterdam, The Netherlands, 2022; pp. 203–228. [Google Scholar] [CrossRef]
- Chen, H. Biotechnology of Lignocellulose: Theory and Practice; Springer: London, UK, 2014; pp. 1–185. [Google Scholar]
- Ingle, A.P.; Saxena, S.; Moharil, M.P.; Rivaldi, J.D.; Ramos, L.; Chandel, A.K. Production of biomaterials and biochemicals from lignocellulosic biomass through sustainable approaches: Current scenario and future perspectives. Biotechnol. Sustain. Mater. 2025, 2, 3. [Google Scholar] [CrossRef]
- Mutjaba, M.; Fraceto, L.F.; Fazeli, M.; Mukherjee, S.; Savassa, S.M.; Araujo de Medeiros, G. Lignocellulosic biomass from agricultural waste to the circular economy: A review with focus on biofuels, biocomposites and bioplastics. J. Clean. Prod. 2023, 402, 136815. [Google Scholar] [CrossRef]
- Foreign Agricultural Service—U.S. Department of Agriculture. Available online: https://ipad.fas.usda.gov/cropexplorer/cropview/commodityView.aspx?cropid=0440000 (accessed on 23 July 2025).[Green Version]
- Huo, J.; Wang, Z.; Lauri, P.; Medrano-Garcia, J.D.; Guillen-Gosalbez, G.; Hellweg, S. Region-Specific Sourcing of Lignocellulose Residues as Renewable Feedstocks for a Net-Zero Chemical Industry. Environ. Sci. Technol. 2024, 58, 13748–13759. [Google Scholar] [CrossRef]
- Zhi-Guo, Z.; Hong-Zhang, C. Enhancement of the enzymatic hydrolysis of wheat straw by pretreatment with 1-allyl-3-methylimidazolium chloride ([Amim] Cl). Afr. J. Biotechnol. 2012, 11, 8032–8037. [Google Scholar] [CrossRef]
- Andlar, M.; Rezić, T.; Marđetko, N.; Kracher, D.; Ludwig, R.; Šantek, B. Lignocellulose degradation: An overview of fungi and fungal enzymes involved in lignocellulose degradation. Eng. Life Sci. 2018, 18, 768–778. [Google Scholar] [CrossRef]
- Mankar, A.R.; Pandey, A.; Modak, A.; Pant, K.K. Pretreatment of lignocellulosic biomass: A review on recent advances. Bioresour. Technol. 2021, 334, 125235. [Google Scholar] [CrossRef]
- Kucharska, K.; Rybarczyk, P.; Hołowacz, I.; Łukajtis, R.; Glinka, M.; Kamiński, M. Pretreatment of Lignocellulosic Materials as Substrates for Fermentation Processes. Molecules 2018, 23, 2937. [Google Scholar] [CrossRef]
- Marđetko, N.; Novak, M.; Trontel, A.; Grubišić, M.; Galić, M.; Šantek, B. Bioethanol Production from Dilute-acid Pre-treated Wheat Straw Liquor Hydrolysate by Genetically Engineered Saccharomyces cerevisiae. Chem. Biochem. Eng. Q. 2018, 32, 483–499. [Google Scholar] [CrossRef]
- Zhang, H.; Han, L.; Dong, H. An insight to pretreatment, enzyme adsorption and enzymatic hydrolysis of lignocellulosic biomass: Experimental and modeling studies. Renew. Sustain. Energy Rev. 2021, 140, 110758. [Google Scholar] [CrossRef]
- Pinaki, D.; Lhakpa, W.; Joginder, S. Simultaneous Saccharification and Fermentation (SSF), An Efficient Process for Bio-Ethanol Production: An overview. Biosci. Biotech. Res. Asia 2015, 12, 87–100. [Google Scholar] [CrossRef]
- Rosales-Calderon, O.; Trajano, H.L.; Duff, S.J. Stability of commercial glucanase and β-glucosidase preparations under hydrolysis conditions. PeerJ 2014, 10, 402. [Google Scholar] [CrossRef] [PubMed]
- Kululo, W.W.; Habtu, N.G.; Abera, M.K.; Sendekie, Z.B.; Fanta, S.W.; Yemata, T.A. Advances in various pretreatment strategies of lignocellulosic substrates for the production of bioethanol: A comprehensive review. Discov. Appl. Sci. 2025, 7, 476. [Google Scholar] [CrossRef]
- Bušić, A.; Marđetko, N.; Kundas, S.; Morzak, G.; Belskaya, H.; Šantek, M.I.; Komes, D.; Novak, S.; Šantek, B. Bioethanol Production from Renewable Raw Materials and Its Separation and Purification: A Review. Food Technol. Biotechol. 2018, 56, 289–311. [Google Scholar] [CrossRef]
- Olofsson, K.; Bertilsson, M.; Lidén, G. A short review on SSF—An interesting process option for ethanol production from lignocellulosic feedstocks. Biotechnol. Biofuels 2008, 1, 7. [Google Scholar] [CrossRef]
- Asemoloye, M.D.; Bello, T.S.; Oladoye, P.O.; Remilekun Gbadamosi, M.; Babarinde, S.O.; Ebenezer Adebami, G.; Olowe, O.M.; Temporiti, M.E.E.; Wanek, W.; Marchisio, M.A. Engineered yeasts and lignocellulosic biomaterials: Shaping a new dimension for biorefinery and global bioeconomy. Bioengineered 2023, 14, 2269328. [Google Scholar] [CrossRef]
- Banner, A.; Toogood, H.S.; Scrutton, N.S. Consolidated Bioprocessing: Synthetic Biology Routes to Fuels and Fine Chemicals. Microorganisms 2021, 9, 1079. [Google Scholar] [CrossRef]
- Lyu, Q.; Dar, R.A.; Baganz, F.; Smoliński, A.; Rasmey, A.-H.M.; Liu, R.; Zhang, L. Effects of Lignocellulosic Biomass-Derived Hydrolysate Inhibitors on Cell Growth and Lipid Production During Microbial Fermentation of Oleaginous Microorganisms—A Review. Fermentation 2025, 11, 121. [Google Scholar] [CrossRef]
- Aditiya, H.B.; Mahlia, T.M.I.; Chong, W.T.; Nur, H.; Sebayang, A.H. Second generation bioethanol production: A critical review. Renew. Sustain. Energy Rev. 2016, 66, 631–653. [Google Scholar] [CrossRef]
- Karimi, K.; Zamani, A. Mucor indicus: Biology and industrial application perspectives: A review. Biotechnol. Adv. 2013, 31, 466–481. [Google Scholar] [CrossRef]
- Sharifyazd, S.; Karimi, K. Effects of fermentation conditions on valuable products of ethanolic fungus Mucor indicus. Electron. J. Biotechnol. 2017, 30, 77–82. [Google Scholar] [CrossRef]
- Umai, D.; Kayalvizhi, R.; Kumar, V.; Jacob, S. Xylitol: Bioproduction and Applications-A Review. Front. Sustain. 2022, 3, 826190. [Google Scholar] [CrossRef]
- Dasgupta, D.; Bandhu, S.; Adhikari, D.K.; Ghosh, D. Challenges and prospects of xylitol production with whole cell bio-catalysis: A review. Microbiol. Res. 2017, 197, 9–21. [Google Scholar] [CrossRef] [PubMed]
- Sluiter, A.; Hames, B.; Ruiz, R.; Scarlata, C.; Sluiter, J.; Templeton, D.; Crocker, D. Determination of Structural Carbohydrates and Lignin in Biomass; NREL Technical Report; Laboratory Analytical Procedure (LAP): Singapore, 2012. [Google Scholar]
- Adney, B.; Baker, J. Measurement of Cellulase Activities; NREL Technical Report; Laboratory Analytical Procedure (LAP): Singapore, 1996. [Google Scholar]
- Marđetko, N.; Kolakušić, A.; Trontel, A.; Novak, M.; Pavlečić, M.; Dobrinčić, A.; Petravić Tominac, V.; Šantek, B. Usage of the Fungus Mucor indicus and the Bacterium Rhodovulum adriaticum in a Biorefinery System for Biochemical Production on Grass Hydrolysates. Polymers 2025, 17, 369. [Google Scholar] [CrossRef]
- Pavlečić, M.; Novak, M.; Trontel, A.; Marđetko, N.; Grubišić, M.; Ljubas, B.D.; Tominac, V.P.; Rakovac, R.C.; Šantek, B. Mathematical Modelling of Bioethanol Production from Raw Sugar Beet Cossettes in a Horizontal Rotating Tubular Bioreactor. Fermentation 2022, 8, 13. [Google Scholar] [CrossRef]
- Doran, P. Presentation and Analysis of Data. In Bioprocess Engineering Principles; Doran, P., Ed.; Academic Press Limited: London, UK, 1998; pp. 27–48. [Google Scholar]
- Liu, Y.; Angelov, A.; Übelacker, M.; Baudrexl, M.; Ludwig, B.; Rühmann, B.; Sieber, V.; Liebl, W. Proteomic analysis of Viscozyme L and its major enzyme components for pectic substrate degradation. Int. J. Biol. Macromol. 2024, 266, 131309. [Google Scholar] [CrossRef]
- Yang, B.; Dai, Z.; Ding, S.-Y.; Wyman, C.E. Enzymatic hydrolysis of cellulosic biomass. Biofuels 2011, 2, 421–449. [Google Scholar] [CrossRef]
- Rodrigues, A.C.; Haven, M.O.; Lindedam, J.; Felby, C.; Gama, M. Celluclast and Cellic CTec2: Saccharification/fermentation of wheat straw, solid-liquid partition and potential of enzyme recycling by alkaline washing. Enzym. Microb. Tech. 2015, 79, 70–77. [Google Scholar] [CrossRef]
- Abedinifar, S.; Karimi, K.; Khanahmadic, M.; Taherzadeh, M.J. Ethanol production by Mucor indicus and Rhizopus oryzae from rice straw by separate hydrolysis and fermentation. Biomass Bioenergy 2009, 33, 828–833. [Google Scholar] [CrossRef]
- Synthetic Biology Project: Cellic CTec. Available online: https://www.synbioproject.tech/cpi/applications/cellic-ctec/ (accessed on 28 July 2025).
- Saha, B.C.; Iten, L.B.; Cotta, M.A.; Wu, Y.V. Dilute acid pretreatment, enzymatic saccharification and fermentation of wheat straw to ethanol. Process. Biochem. 2005, 40, 3693–3700. [Google Scholar] [CrossRef]
- Althuri, A.; Banerjee, R. Separate and simultaneous saccharification and fermentation of a pretreated mixture of lignocellulosic biomass for ethanol production. Biofuels 2017, 10, 61–72. [Google Scholar] [CrossRef]
- Limayem, A.; Ricke, S.C. Lignocellulosic biomass for bioethanol production: Current perspectives, potential issues and future prospects. Prog. Energ. Combust. Sci. 2012, 38, 449–469. [Google Scholar] [CrossRef]
- Kleingesinds, E.K.; José, A.H.M.; Brumano, L.P.; Silva-Fernandes, T.; Rodrigues, D.; Rodrigues, R.L.B. Intensification of bioethanol production by using Tween 80 to enhance dilute acid pretreatment and enzymatic saccharification of corncob. Ind. Crops Prod. 2018, 124, 166–176. [Google Scholar] [CrossRef]
- Sahare, P.; Singh, R.; Laxman, R.S.; Rao, M. Effect of Alkali Pretreatment on the Structural Properties and Enzymatic Hydrolysis of Corn Cob. Appl. Biochem. Biotechnol. 2012, 168, 1806–1819. [Google Scholar] [CrossRef] [PubMed]
- Chen, M.; Xia, L.; Xue, P. Enzymatic hydrolysis of corncob and ethanol production from cellulosic hydrolysate. Int. Biodeterior. Biodegrad. 2007, 59, 85–89. [Google Scholar] [CrossRef]
- Šantek, M.I.; Zvonar, I.; Beluhan, S.; Šantek, B. Proizvodnja bioetanola iz kukuruznih oklasaka. Kem. Ind. 2018, 67, 297–308. [Google Scholar] [CrossRef]
- Molaverdi, M.; Karimi, K.; Mirmohamadsadeghi, S.; Galbe, M. High titer ethanol production from rice straw via solid-state simultaneous saccharification and fermentation by Mucor indicus at low enzyme loading. Energy Convers. Manag. 2019, 182, 520–529. [Google Scholar] [CrossRef]
- Karimi, K.; Emtiazi, G.; Taherzadeh, M.J. Production of ethanol and mycelial biomass from rice straw hemicellulose hydrolyzate by Mucor indicus. Process. Biochem. 2006, 41, 653–658. [Google Scholar] [CrossRef]
- Satari, B.; Karimi, K.; Zamani, A. Oil, chitosan, and ethanol production by dimorphic fungus Mucor indicus from different lignocelluloses. J. Chem. Technol. Biotechnol. 2016, 91, 1835–1843. [Google Scholar] [CrossRef]
- Itelima, J.; Ogbonna, A.; Pandukur, S.; Egbere, J.; Salami, A. Simultaneous Saccharification and Fermentation of Corn Cobs to Bio-Ethanol by Co-Culture of Aspergillus niger and Saccharomyces cerevisiae. Int. J. Environ. Sci. Dev. 2013, 4, 239–242. [Google Scholar] [CrossRef]
- Hilpmann, G.; Kurzhals, P.; Reuter, T.; Ayubi, M.M. Reaction Kinetics of One-Pot Xylan Conversion to Xylitol via Precious Metal Catalyst. Front. Chem. Eng. 2020, 2, 600936. [Google Scholar] [CrossRef]
- de Oliveira, R.A.; Gottschalk, L.M.F.; Freitas, S.P.; da Silva Bon, E.P. One-vessel saccharification and fermentation of pretreated sugarcane bagasse using a helical impeller bioreactor. Biomass Conv. Bioref. 2018, 8, 1–10. [Google Scholar] [CrossRef]





| PCCs [g L−1] | Enzyme Concentration (Cellulase/Viscozyme) [%; vol vol−1] | Cellulase Load [FPU gPCCs−1] | Xylanase Load [U gPCCs−1] |
|---|---|---|---|
| 10 | 1/1 | 84.7 | 140.06 |
| 10 | 2/5 | 194 | 664.18 |
| 10 | 5/10 | 464.5 | 1340.4 |
| 20 | 1/1 | 42.35 | 70.03 |
| 20 | 2/5 | 97 | 332.09 |
| 20 | 5/10 | 232.25 | 670.2 |
| 40 | 1/1 | 21.175 | 35.015 |
| 40 | 2/5 | 48.5 | 166.045 |
| 40 | 5/10 | 116.125 | 335.1 |
| Medium/ Temperature | YEtOH/s max (g g−1) | YGly/s max (g g−1) | YXOH/s max (g g−1) | PrEtOH (g L−1 h−1) | PrGly (g L−1 h−1) | PrXOH (g L−1 h−1) | EEtOH (%) |
|---|---|---|---|---|---|---|---|
| Buffer 20 °C | 0.032 | 0.020 | 0.000 | 0.014 | 0.009 | 0.000 | 6.27 |
| Buffer 30 °C | 0.376 | 0.050 | 0.101 | 0.304 | 0.041 | 0.019 | 73.73 |
| Buffer 40 °C | 0.206 | 0.069 | 0.000 | 0.093 | 0.033 | 0.000 | 40.39 |
| MNM 20 °C | 0.012 | 0.013 | 0.000 | 0.007 | 0.007 | 0.000 | 2.35 |
| MNM 30 °C | 0.373 | 0.039 | 0.221 | 0.312 | 0.033 | 0.041 | 73.14 |
| MNM 40 °C | 0.252 | 0.034 | 0.000 | 0.130 | 0.018 | 0.000 | 49.41 |
Disclaimer/Publisher’s Note: The statements, opinions and data contained in all publications are solely those of the individual author(s) and contributor(s) and not of MDPI and/or the editor(s). MDPI and/or the editor(s) disclaim responsibility for any injury to people or property resulting from any ideas, methods, instructions or products referred to in the content. |
© 2025 by the authors. Licensee MDPI, Basel, Switzerland. This article is an open access article distributed under the terms and conditions of the Creative Commons Attribution (CC BY) license (https://creativecommons.org/licenses/by/4.0/).
Share and Cite
Marđetko, N.; Trontel, A.; Novak, M.; Pavlečić, M.; Dobrinčić, A.; Petravić Tominac, V.; Šantek, B. Simultaneous Saccharification and Fermentation of Pretreated Corn Cobs by Mucor indicus for Ethanol Production. Clean Technol. 2025, 7, 71. https://doi.org/10.3390/cleantechnol7030071
Marđetko N, Trontel A, Novak M, Pavlečić M, Dobrinčić A, Petravić Tominac V, Šantek B. Simultaneous Saccharification and Fermentation of Pretreated Corn Cobs by Mucor indicus for Ethanol Production. Clean Technologies. 2025; 7(3):71. https://doi.org/10.3390/cleantechnol7030071
Chicago/Turabian StyleMarđetko, Nenad, Antonija Trontel, Mario Novak, Mladen Pavlečić, Ana Dobrinčić, Vlatka Petravić Tominac, and Božidar Šantek. 2025. "Simultaneous Saccharification and Fermentation of Pretreated Corn Cobs by Mucor indicus for Ethanol Production" Clean Technologies 7, no. 3: 71. https://doi.org/10.3390/cleantechnol7030071
APA StyleMarđetko, N., Trontel, A., Novak, M., Pavlečić, M., Dobrinčić, A., Petravić Tominac, V., & Šantek, B. (2025). Simultaneous Saccharification and Fermentation of Pretreated Corn Cobs by Mucor indicus for Ethanol Production. Clean Technologies, 7(3), 71. https://doi.org/10.3390/cleantechnol7030071

