Abstract
Maintaining adequate temperatures for preserving food in a domestic refrigerator is a task that is affected by several factors, including the daily use of the appliance. In this sense, this work presents the development of a novel control system based on fuzzy logic that considers usage habits such as the amount of food entering the refrigerator and the frequency of opening doors. Thus, the control comprises input variables corresponding to the internal temperatures of both compartments, the thermal load entered, and the refrigerator door-opening signal. By simulating the usage habits of a refrigerator with a variable-speed compressor, the control performance was evaluated. The results showed that implementing fuzzy control using usage habits was robust enough to maintain adequate thermal conditions within the compartments and a lower thermal fluctuation concerning the reference control of the refrigerator (factory control). In terms of energy, the fuzzy control resulted in an energy saving of 3.20% with the refrigerator empty (without thermal load) compared to the reference control. On the other hand, the individual integration of the thermal load in the fuzzy control resulted in 2.08% energy savings and 5.45% for the integration of the thermal load compared to the reference control. Finally, considering the combination of usage habits, the fuzzy control presented a higher energy consumption than the reference control, around 9.7%. In this case, the fuzzy control maintained more favorable thermal conditions in both compartments, whereas the reference control presented a warmer thermal condition in the freezer.
1. Introduction
Based on vapor compression technology, domestic refrigerators contribute substantially to energy consumption within homes. In recent years, it has been estimated that 4% of the electrical energy demanded worldwide is due to the number of refrigerators in use [1]. In Mexico, approximately 90% of homes have at least one refrigerator, representing more than 31 million refrigerators in use [2] and causing 29% of electricity consumption in the residential sector [3].
The energy consumption of domestic refrigerators is susceptible to several factors, including the design of their components and assembly, ambient temperature and humidity, and actual use conditions, among others. In this context, Faghihi et al. [4] analyzed the flexible design of some of the components of the vapor compression cycle, for which they achieved improvements in the coefficient of performance (COP) from 10% to 25%, thus reducing the refrigerator’s energy consumption. Gardenghi et al. [5] extensively evaluated the effect of ambient temperature on various parameters related to the refrigerator’s performance, highlighting among their results an increase in energy consumption of up to 190% when the refrigerator goes from an ambient temperature of 25 °C to 43 °C. A similar increase was found by Geppert and Stamminger [6], where their results indicated an increase of up to 200% in energy consumption due to the effect of extreme ambient temperature conditions. These included the internal temperature of the compartment and the amount of food, representing the actual conditions of use of the refrigerator. Thus, usage habits also play a vital role in the energy and thermal operation of the refrigerator. Among these habits are the thermal load (amount of food), frequency of opening doors, position of the thermostat, fouling of the condenser, and obstruction of airflow, among others [7]. In this sense, Saidur et al. [8] experimentally evaluated the effect of opening refrigerator doors. The opening was conducted for 12 s, increasing in energy consumption between 9 and 12.4 Wh depending on the refrigerator model evaluated. Hasanuzzaman et al. [9] analyzed the effect of various usage habits on the energy performance of a refrigerator; among these, opening the doors was the most critical case, causing increases in energy consumption of up to 40%. Khan et al. [10] conducted a similar study, experimentally determining that, depending on the thermal load, increases in energy consumption of up to 50% are obtained. The refrigerator under study also consumed 30% more energy due to opening doors. Furthermore, the duration of door opening increased energy consumption from 3% to 20%. Belman-Flores et al. [11] analyzed the influence of ambient temperature and thermal load. For the thermal load from 0 kg to 34 kg, there was an increase in the total energy consumption of 3.2 kWh. In the case of variation in ambient temperature, a rise of 73 Wh/day per °C was observed. Thus, energy consumption is a crucial issue of great interest worldwide, emphasizing the optimization of energy resources and the mitigation of global CO2 emissions.
In domestic refrigeration, various strategies have been proposed to improve the appliance’s performance and, therefore, reduce energy consumption [12,13]. In recent years, techniques related to artificial intelligence have allowed advances in modeling, optimization, and control methods, thereby improving the efficiency of refrigeration systems [14]. Control plays a primary role in the operation of the refrigeration system, both to maintain operating conditions and to reduce energy consumption. Various novel control methods have been implemented in refrigeration systems, allowing the controller to perform more robustly [15,16,17,18]. Among the control strategies, control systems based on fuzzy logic present attractive advantages over conventional controls, thus achieving energy improvements, robustness, and rapid response under dynamic operating conditions [19]. Another essential characteristic of fuzzy controllers is the ability to describe the system’s actual behavior more accurately for the different inputs that can occur in refrigeration systems, such as ambient temperature, thermal load, and airflow. Thus, nonlinear controllers based on fuzzy logic have proven to be an alternative to conventional controllers for better control of variables [20]. Additionally, fuzzy controllers easily integrate with other types of controllers. In general terms, fuzzy control applied to refrigeration systems focuses on the accurate simulation of the system, with temperature and humidity being the most commonly used variables in the controller. Consequently, variables such as duty cycle, compressor frequency, expansion valve opening, and refrigerant flow, among others, are manipulated.
The literature shows various investigations on developing and implementing fuzzy controls in refrigeration, air conditioning, and heat pump systems [21,22,23]. However, the implementation of fuzzy control in domestic refrigerators is still limited; among the pioneering works is that of Bung-Joon et al. [24], who developed a controller based on fuzzy logic and neural networks to reduce variations in the internal temperature of the refrigerator, thereby achieving excellent thermal stability. Mraz [25] designed a control system by varying the compressor duty cycle to maintain the temperature of the fresh food compartment. Implementing fuzzy control decreased energy consumption by 3%, representing a viable alternative to thermostatic control. Rashid and Islam [26] proposed the transition from analog to digital control using a fuzzy control developed for the internal temperature of a refrigerator with a variable-speed compressor. Azam and Mousavi [27] developed and implemented fuzzy control for temperature and humidity in a refrigerator. The authors concluded that the refrigerator exhibited a lower fluctuation in the internal temperature of the compartment, thereby achieving savings in operating costs. Arfaoui et al. [28] proposed an alternative strategy to control the evaporator wall temperature and, consequently, the cavity interior temperature. Using fuzzy control and a combination of genetic algorithms, they compared the operation with a conventional Proportional Integral Derivative (PID) control. The results indicated that the set point temperature was reached quickly, reducing the energy consumption by 0.3957 kWh.
Recently, the actual conditions of use in the thermal and energy operations of the refrigerator have been integrated into the development of fuzzy control. For example, Belman-Flores et al. [29] modified a refrigerator by installing a variable-speed compressor. They proposed a control based on fuzzy logic in which the status of the fresh food compartment door was incorporated. According to the frequency and duration of the doors, the control maintained the interior temperature by varying the compressor’s speed, thereby reducing the energy consumed by 3%. Kapici et al. [30] developed a robust intelligent control system using machine learning and fuzzy logic. The control also considers the opening condition of the fresh food compartment door. The performance of the control was evaluated at three different ambient temperatures. The control regulated the maximum speed of the compressor according to the set-point temperature inside the fresh food compartment. Their results showed energy gains between 2.5% and 4.5% while maintaining interior temperatures. Rodríguez-Valderrama et al. [31] implemented a fuzzy control in a conventional refrigerator, including the thermal load (food) as an input variable to the controller. The variable to be regulated was the rotation speed of the fan attached to the evaporator and the airflow toward the fresh food compartment. The control maintained the thermal condition inside the refrigerator, achieving energy savings of 1.7% without loading food and 9.53% with packing food.
The thermal condition directly influences food preservation in the compartments of a domestic refrigerator, representing a specific energy consumption. In addition to the above, the consumer plays a crucial role in the operation of the refrigerator. Thus, this work proposes the development of a novel control system for a refrigerator with a variable-speed compressor, implementing fuzzy logic as a decision-making device, allowing adequate thermal conditions to be maintained in both refrigerator compartments. As a contribution, the controller integrates the frequency of door opening and thermal load (food) as usage habits, either individually or in combination. Therefore, this study aims to reduce energy consumption by incorporating usage habits, modifying the airflow between both compartments, fan rotation speed coupled to the evaporator, and compressor frequency. Various comparative tests are conducted to evaluate the performance of the fuzzy control with the reference control (factory control), for which the thermal conditions of both compartments and the refrigerator’s energy consumption are analyzed.
2. Experimental Facility
The experimental test bench for this study is shown in Figure 1, which is formed by a domestic refrigerator that operates with a variable-speed compressor, a data acquisition system for recording and measuring temperature, a system for measuring energy consumption, and the fuzzy control proposed in this study. Additionally, the pneumatic system built to simulate the opening of refrigerator doors is shown.
Figure 1.
Experimental test bench.
The refrigerator is of the bottom-mount type with a volumetric capacity of 0.76 m3; its dimensions are 1.74 m × 0.833 m × 0.748 m (height × width × depth), and its mass is 106 kg. It has an automatic defrost system with a 280 W resistance, uses a three-phase variable frequency compressor operable between 60 and 255 Hz, and a nominal voltage of 240 V. The refrigerator has an internal control display on the back of the fresh food compartment doors, on which the temperature level for both compartments is adjusted and indicated. The adjustable temperature range is 1 to 7 °C for the fresh food compartment and −21 to −15 °C for the freezer compartment.
A habit of use was evaluated in this work to open the refrigerator doors. A mechanism was built consisting of a 3-piston pneumatic system, an air compressor, three pneumatic control valves, and an opening control. The mechanism is designed to open the three refrigerator doors independently. In Figure 1, two pistons are attached to the top of the fresh food compartment doors, while the other is attached to the freezer door. Three solenoid-type valves that operate with an alternating current were coupled to control these pistons. Two of these are monostable and change position while maintaining an activation current. These valves are connected to the pistons on the fresh food compartment doors. A bistable valve that changes position is attached to the freezer using an electrical pulse.
Instrumentation and Measurements
Figure 2 shows a representative diagram of the experimental bench, indicating the data acquisition system, temperature control system, electrical energy measurement system, and location points of the temperature sensors inside the refrigerator.
Figure 2.
A representative diagram of the integrated systems on the experimental test bench.
The temperature acquisition, storage, and temperature control systems allow the implementation of the fuzzy control proposed in this work, with which specific mechanisms or operating conditions are manipulated to ensure that the refrigerator maintains adequate thermal conditions and, in turn, achieves energy savings. The temperature data acquisition system is responsible for measuring and storing the thermal condition of the refrigerator via the average temperature of each compartment. For the above, DS18B20 digital temperature sensors are used in plastic containers with a 50% water-glycol mixture by volume. These sensors are inside the fresh food compartment (T1 to T6). For the freezer, the sensors are located inside wooden blocks (T7 and T8). The measured signals from these sensors are sent to a measurement and storage system based on an Arduino microcontroller. In this way, the average temperature determines the thermal condition of each compartment every 10 s. Thus, the thermal condition of the fresh food compartment is defined by the average of the temperatures from T1 to T6 , and in the freezer by the average of T7 and T8 .
The refrigerator comes with technology installed from the factory that allows the airflow to the compartments to be wholly regulated using a system made up of a direct current fan coupled to the evaporator and a gate that limits the airflow, in addition to frequency regulation (speed) of the compressor with an inverter. It is worth mentioning that frequency regulation using Arduino is not possible; therefore, in this study, a frequency inverter was adapted to control the compressor’s speed through the Arduino microcontroller. The temperature control system module proposed in this work measures in real time the temperature signals of both compartments (TFF and TFZ), the opening signal of the fresh food compartment doors (DFF) and the freezer door (DFZ), and the amount of thermal load entered into each compartment (LFF and LFZ). At the same time, the proposed module determines the compressor operating frequency signal, which is sent to regulate the fan’s speed coupled to the evaporator and the gate opening signal. It is worth mentioning that the control card that comes with the refrigerator from the factory is used to take the signals from the temperature sensors (NTC thermistors) that the refrigerator has built-in, as well as the supply voltage for the damper and the fans.
The energy measurement system measures and stores the electrical energy consumed by the refrigerator every 10 s using the classic equations for measuring electrical power. The microcontroller is based on Arduino, with an ACS712 invasive hall effect current sensor that has a measurement capacity of up to 30 A. A ZMPT101B voltage sensor that transforms the amplitude of the 110 V main voltage to a wave with an amplitude between 0 and 5 V. Electrical power is calculated by measuring voltage and current for 200 ms using the IEC61000-4-7 standard [32], where a measured power factor of 0.83 was used. For practical purposes and a more adequate comparison of the different tests, we decided to turn off the defrost resistance control in this study. Table 1 shows the uncertainties of the sensors used in the refrigerator instrumentation. Regarding power measurement, there is a maximum relative error of 1.2% associated with energy consumption estimation.
Table 1.
Uncertainty of the sensors used.
The implementation of fuzzy control considers the modification of the operating frequency of the compressor through the inverter card with a Pulse Width Modulation (PWM) signal at 50% of the pulse width with a different frequency via Arduino. It has a stepper motor that allows you to regulate the angular position of the damper to control the airflow. A high-frequency pulse generator modifies the fan’s speed and is coupled to the evaporator, which receives a PWM signal through an Arduino microcontroller.
3. Fuzzy Controller
Figure 3 shows the block diagram of the fuzzy control proposed in this work. The control is made up of six input variables: the internal temperatures of both compartments (TFF, TFZ), the entered thermal load (LFF, LFZ), and the refrigerator door opening signal (DFF, DFZ). Initially, the set points TFF,SP and TFZ,SP are established, which indicate the values of the desired temperature in both compartments and are the points of comparison with the values measured using the thermistors. The six variables are transformed into 14 fuzzy variables within the fuzzy control block via fuzzification and the proposed membership functions. Then, the evaluation of the operating rules was conducted, for which 144 were presented and explained later. Finally, in defuzzification, signals are obtained for the fan’s speed coupled to the evaporator, the opening of the gate that allows airflow, and the compressor’s frequency. The gate opening signal is sent directly to it, the fan speed signal is sent to the frequency generator module, and the compressor frequency signal is sent to the inverter.
Figure 3.
A block diagram for the fuzzy controller is proposed in this study.
Figure 4 illustrates the proposed fuzzy sets for the membership functions of the six control input variables. For example, for the temperatures of the fresh food compartment, sets of three membership functions were designed to correspond to ColdFF, NormalFF, and HotFF, and for the freezer, ColdFZ, NormalFZ, and HotFZ. Note that the two sets are similar; they differ only in the central value for the Normal function and at the maximum of the Hot function. Both sets were designed so that the control adapts to the desired thermal conditions in both compartments. For this reason, the Cold function of both sets has its maximum value in the set point (SP) value, thus determining that temperatures lower than the set point have a membership of 1 and are defined as cold temperatures in both compartments. From this value (SP), the Cold function decreases its membership until it reaches the midpoint of the Normal function. The Normal function focuses on a value of 2 °C for the fresh food compartment assembly and 3 °C for the freezer assembly, decreasing its membership (μ(x)) as the temperature increases or decreases. The Hot function membership constantly increases by up to 4 °C for the fresh food compartment assembly and 6 °C for the freezer assembly. Trapezoidal functions for door opening represent the time (in seconds) the door is opened. For example, the OpFZ function increases your membership from 0 to 15 s for the freezer and from 0 to 30 s for the fresh food compartment OpFF. This time for both compartments represents the minimum time required for the fan speed, damper opening, and compressor frequency to react appropriately to the door opening. The function ClFF,FZ of both compartments represents the complement function (1 − µOp) of the function OpFF,FZ.
Figure 4.
Membership functions for the input variables.
On the other hand, the structure of the set of membership functions for the thermal load in both refrigerator compartments is formed by two trapezoidal membership functions, FFF,FZ, and EFF,FZ. The functions show the load level contained in each compartment. The LFF function is defined for loads less than 40 kg in the fresh food compartment, while the LFZ function is defined for loads less than 15 kg in the freezer.
3.1. Fuzzification
Figure 5 shows the fuzzification process (according to Figure 3) for the temperature of the compartments, the opening of the doors, and the thermal load. Considering that fuzzification transforms the input variables into fuzzy variables, a temperature value TFF = 2 °C (indicated by arrow) becomes three fuzzy variables, , , and , these values correspond to the cut with each of the membership functions of the set, which can be best exemplified by the temperature of the freezer. For a freezer temperature of TFZ = 2 °C (indicated by arrow) becomes three fuzzy variables, , , and . Similar to what was explained above, the fuzzy variables for door opening and thermal load can be defined.
Figure 5.
Fuzzification of input variables.
3.2. Rules
The main contribution of this study is integrating usage habits as inputs to the control; in this case, the thermal load and the opening of doors are integrated. The set of rules is mainly responsible for the operation of the refrigerator. Thus, the structure was designed based on usage habits so that the fan speed, gate opening, and compressor frequency maintained adequate thermal conditions in both compartments. Furthermore, this combination of operating conditions is responsible for managing the refrigerator’s energy consumption. In this sense, 144 rules were proposed for integrating usage habits into the control. The number of rules depends on the number of inputs to the controller and the number of linguistic terms or membership functions for each input.
Table 2 exemplifies part of the structure of the proposed rules for temperature control, showing the abbreviated linguistic terms of the membership functions, as well as the antecedent and consequent. For compartment temperatures, Hot (Hot), Md (Medium), and Fr (Cold) are defined. To open the doors in the compartments, Op (Open) and Cl (Closed) are used. Regarding the thermal load that is entered into the refrigerator, E (without load) and F (with load). As a consequence, for opening the gate, Op (Open), Md (Middle), and Cl (Closed); for the fan speed, Fa (Fast), Md (Middle), and Sl (slow); and for the compressor frequency, Hg (High), Md (Middle), and Lo (low) are defined. The information in Table 2 reads as follows: for example, rule 139 has as background that IF the temperatures in both compartments TFF and TFZ are Fr, gate DFF is Op and gate DFZ is Cl, and the load LFF is F, and in the freezer LFZ is E, THEN, the damper should be Cl, the fan speed will have to be Sl and the compressor should run at a frequency of Lo.
Table 2.
Set of rules for the proposed fuzzy control.
Regarding the fuzzy sets for the output variables (fan speed, gate opening, and compressor frequency), three triangular functions are proposed, as shown in Figure 6. This type of function is used to ensure that the value of the signal sent to the actuators does not exceed their operating limits. For the fan speed, the Slow, Middle, and Fast membership function sets represent the percentage value of the width of the PWM pulse that is sent from the Arduino to the frequency generator coupled to the fan and that regulates its speed. For example, the Slow function centered at 45% shows that the fan is at a minimum speed. The Middle function, centered at 60%, corresponds to the average speed, while the Fast function, centered at 90%, shows the maximum speed. The set of functions for opening the door is defined as Open, Middle, and Closed; thus, the Open function centered at 90° shows the complete opening of the door, allowing maximum airflow to the fresh food compartment. Otherwise, the Closed function centers at 0°, limiting the airflow between the compartments. In the case of compressor frequency, the High, Medium, and Low functions represent the levels of the compressor operating frequency. The Low function is centered at 60 Hz and shows the minimum value of the inverter’s operating frequency. The Middle function represents the average compressor frequency, while the High function shows the maximum operating frequency of the inverter.
Figure 6.
Membership functions for the output variables.
3.3. Defuzzification
In the last stage of the controller (see Figure 3), scaling of the functions is used to obtain the output variables. Thus, Figure 7 shows the defuzzification process consisting of two parts. In the first part, new sets of membership functions based on fuzzy sets for the output variables are obtained. These sets correspond to the sets of output variables scaled by factors. The scale factor is obtained from the rule evaluation stage. The temperature condition, door opening, and thermal load cause a set of 16 rules to condition the operation of the refrigerator, of which the maximum fuzzy value is selected to scale each set of output variables. For example, for fan speed, the Slow set is scaled by a factor of 0.5, and the Middle and Fast functions by a factor of 0.17.
Figure 7.
Defuzzification.
Similarly, the scaling process is performed using all fuzzy set functions for frequency and gate aperture. As a result, a new set of membership functions was obtained. The second part of defuzzification involves performing the union of the set of membership functions (aggregation) and finding the centroid of this new function. The value indicated in Figure 7 by the vertical arrow is the value sent to the actuators.
4. Simulation of Usage Habits
The implementation of fuzzy control in the domestic refrigerator is divided into four tests: the first allows the evaluation of the initial behavior of the control without including the usage habits (simple fuzzy control); the second considers the habit of opening doors in both compartments; the next evaluates the habit of using thermal load; and the last considers the combination of the two mentioned habits. An initial reference test (refrigerator configuration from the factory) was also performed. The initial test indicates the reference state of the controllers. For this test, 24 h are set up from the start of the refrigerator at room temperature until thermal stability is reached and maintained within both compartments. For all tests, the following conditions were defined:
- The ambient temperature of the space where the tests were conducted was not kept constant to maintain a similar environment in terms of the conditions of actual use of the refrigerator.
- For the fresh food compartment, a set point of 4 °C and a fixed point of −18 °C for the freezer were designated. This follows the configuration established in the NOM-ENER-015-2018 standard [33] for refrigerators, in which the user can modify the internal temperature of the compartments.
- All tests started at the same room temperature.
- The defrost resistance was disabled for practical and comparative purposes in each test.
- For data reliability purposes, each test was repeated three times, so the results shown in Section 5 correspond to the average of the tests.
4.1. Door Opening
Figure 8 shows the three-door opening periods within a 24 h test period. The average temperature behavior is also shown (see Figure 2, T1 to T6) in the fresh food compartment. The first opening time is at 6:30 a.m., the second at 12:00 p.m., and the third at 6:00 p.m. In each period, 12 openings were made, of which nine correspond to the opening of the fresh food compartment and three to the freezer. Three minutes were defined between each door opening, where each opening lasted between 8 and 40 s randomly. The total time the refrigerator doors were kept open was 12.3 min daily. The refrigerator was kept empty during the door-opening test (without a thermal load).
Figure 8.
Door-opening hours.
4.2. Thermal Load
The thermal load simulation test, as a habit of use, lasted 90 h. Each test began with the refrigerator empty and the compartments thermally stable. The load was introduced gradually until a high thermal load condition was reached. The thermal load was only increased in the fresh food compartment, so the thermal load of the freezer remained constant at 9 kg throughout the test. The thermal load for the fresh food compartment was simulated with 0.5, 1, and 1.5 kg water containers at room temperature. In the freezer, the load was simulated with sawdust blocks frozen at −18 °C with dimensions of 12.7 × 10.1 × 3.8 cm and a density of 560 kg/m3.
The proposed configurations for introducing loads into the refrigerator are shown in Figure 9. The time at which the thermal load is introduced into the refrigerator is observed in Figure 9a. This also illustrates the behavior of the average temperature of the fresh food compartment throughout the test, reaching an average stability of 2.5 °C. Figure 9b shows the configuration of the thermal loads as they were accommodated during each entry. The loading process begins with the entry of 12 kg into the fresh food compartment, which represents a low load. Meanwhile, the freezer load is adjusted to 9 kg. 24 h after entering the low load, when the refrigerator reaches thermal stability again, a load of 18 kg is entered to have a total thermal load of 30 kg (average thermal load). 30 h after entering the medium thermal load, when the refrigerator again reaches thermal stability, another 15 kg are entered to have a fresh food compartment with a high thermal load condition of 45 kg.

Figure 9.
Proposal for the entry and configuration of the thermal load into the refrigerator.
4.3. Combination of Usage Habits
The combined habit test consists of opening doors and simultaneously entering and discharging the thermal load. Figure 10 shows the opening times, entry and withdrawal points of the thermal load, and average temperature of the fresh food compartment during the test. The test lasts 70 h, in which a maximum load is entered into the refrigerator (45 kg in the fresh food compartment and 9 kg in the freezer) during the first day, maintaining the opening times with the same methodology described in the previous subsection. During the second and third days, the thermal load is removed from both refrigerator compartments during the opening hours. The load removed at the end of each test day was 6.5 kg for the fresh food compartment and 2 kg for the freezer. The 6.5 kg were released in the following way: 1.5 kg in the first opening hour, 2.5 kg in the second opening hour, and 2.5 kg in the third opening hour. For the freezer, 0.5 kg was removed at the first opening time, 1 kg at the second opening time, and 0.5 kg at the third opening time.
Figure 10.
Thermal loading and discharge schedules in the refrigerator.
5. Results and Discussion
To specify equivalent conditions between the fuzzy controls and the one that comes with the refrigerator from the factory, it is established that the fuzzy control reaches the same thermal conditions in both compartments as the factory control. Therefore, a temperature of 4 °C is assigned for the fresh food compartment and −18 °C for the freezer. Note that this refrigerator can set independent temperatures in both compartments. Thus, Figure 11 shows the average temperature of both compartments; the blue and green lines represent the behavior of the refrigerator using the fuzzy control, while the red and yellow lines correspond to the factory control. These behaviors were observed for 24 h at the beginning of the test, in which the refrigerator was at an ambient temperature of approximately 25 °C until a prolonged period of thermal stability in both compartments. During the temperature drop period (first 10 h), it was observed that the temperature behavior in the fresh food compartment was remarkably similar for both controls. Regarding behavior in the freezer, it was notable that the reference control acts more quickly, achieving a lower temperature during the first 7 h. Although the fuzzy control in these first hours presents slightly higher temperatures, the difference after the next 5 h is practically null. The fuzzy control stabilizes the temperature in the fresh food compartment at approximately 1.30 °C, while the reference control maintains it at 1.37 °C. The above allows us to demonstrate from a thermal point of view that fuzzy control responds adequately to the reference control and is a technically viable option.
Figure 11.
Temperatures in both refrigerator compartments in the initial test between controls.
On the other hand, the energy consumption due to the initial implementation of fuzzy control and reference control is shown in Figure 12; a similar trend is observed between both controllers. After the first start (around two and a half hours), a gradual increase is observed that corresponds to the ON/OFF cycles of the compressor. During the first start of the compressor, there is a notable difference in the total energy consumed. The reference control shows a linear increase and higher energy consumption. Meanwhile, the fuzzy control causes lower energy consumption, leading to a behavior that is not entirely linear, which is caused by the constant regulation of the compressor speed. At the end of the initial test, the refrigerator consumes 1055.52 Wh with the reference controller (factory) and 1021.75 Wh with the fuzzy controller. Therefore, the fuzzy controller reduces energy consumption by 3.20%, thus demonstrating the feasibility of constantly regulating the compressor speed. In this way, a starting point is established between both controllers, with similar thermal and energy conditions.
Figure 12.
Energy consumption in the initial test between the controllers.
5.1. Implementation of Opening Doors as a Habit of Use
In this study, two configurations of the fuzzy control were evaluated for comparison. A configuration in which the control actions depend only on the internal temperature of the compartments (fuzzy control) and a configuration in which the control actions depend on the internal temperature of the refrigerator compartments and the evaluated use habit (fuzzy control with habit). Figure 13 illustrates the thermal behavior of the refrigerator with the implementation of the door-opening habit. Here, the average temperature in both refrigerator compartments is represented for the reference control (from the factory), the fuzzy control, and the fuzzy control with habit. The above is for a test time of 24 h, about the hours of the day. The figure shows three conditions in which the temperature increases due to heat transfer between the environment and the thermal condition of the compartment at each opening time. The first opening time is at 6:30 a.m., the second at 12:00 p.m., and the third at 6:00 p.m. After the temperature increases, it decreases until it reaches the thermal stability condition again before the start of the following opening hours.
Figure 13.
Average temperature in the refrigerator for controllers with door opening integration.
From the first opening time and the following, it is observed that the reference control (red and yellow lines) causes a higher temperature in the fresh food compartment. For example, this control’s maximum temperature returns are 4 °C, 6.07 °C, and 6.13 °C after the first, second, and third opening times, respectively. For the fuzzy control (blue and green lines), the maximum temperatures are 3.57 °C, 4.65 °C, and 5 °C, while for the fuzzy control with habit (black and purple lines), the maximum temperatures are 3.26 °C, 3.87 °C, and 4.52 °C. The above shows that the rules proposed for fuzzy control, including the habit of use in which the airflow and the internal fan speed are regulated, allow the fresh food compartment to not present a considerable temperature increase after each door opening. This can improve the food’s quality, avoiding drastic changes in its thermal condition.
For the average thermal condition of the freezer, the fuzzy control with habit keeps the temperature slightly lower by approximately 0.21 °C concerning the fuzzy control at each of the three opening times. Regarding the reference control, it is observed that it manages to stabilize the compartment temperature more quickly after each opening time, presenting an average variation of ± 0.34 °C in the stability periods. Considering the behavior of the fuzzy controllers in the door opening test, it can be established that both controls allow the temperature in the compartments to be better regulated, with less variation and causing lower average temperatures. This indicates that fuzzy control with habit may be a viable option for the thermal control of domestic refrigerators. The energy consumption of the refrigerator for the door-opening tests is shown in Figure 14. The trend of the different controllers is remarkably similar, identifying three stages of linear increase at 6:30 a.m., 12:00 p.m., and 6:00 p.m., which correspond to the three opening times during the test. Segments with stepped increments corresponding to the ON/OFF cycles of the compressor are also observed. During most of the tests, the fuzzy controllers maintained lower consumption compared to the reference control. At the end of the 24 h test, the reference control consumed 1239.14 Wh, the fuzzy control consumed 1222.13 Wh, and the fuzzy control with habit consumed 1213.32 Wh. This indicates that fuzzy control reduces energy consumption by 1.37%, and fuzzy control with habit reduces it by 2.08% with the reference control (from the factory). From an energy point of view, fuzzy control is more efficient by integrating the opening of doors as a habit of use, thus demonstrating its viability and implementation in domestic refrigeration equipment.
Figure 14.
Refrigerator energy consumption for controllers with door opening.
5.2. Implementation of Thermal Load as a Habit of Use
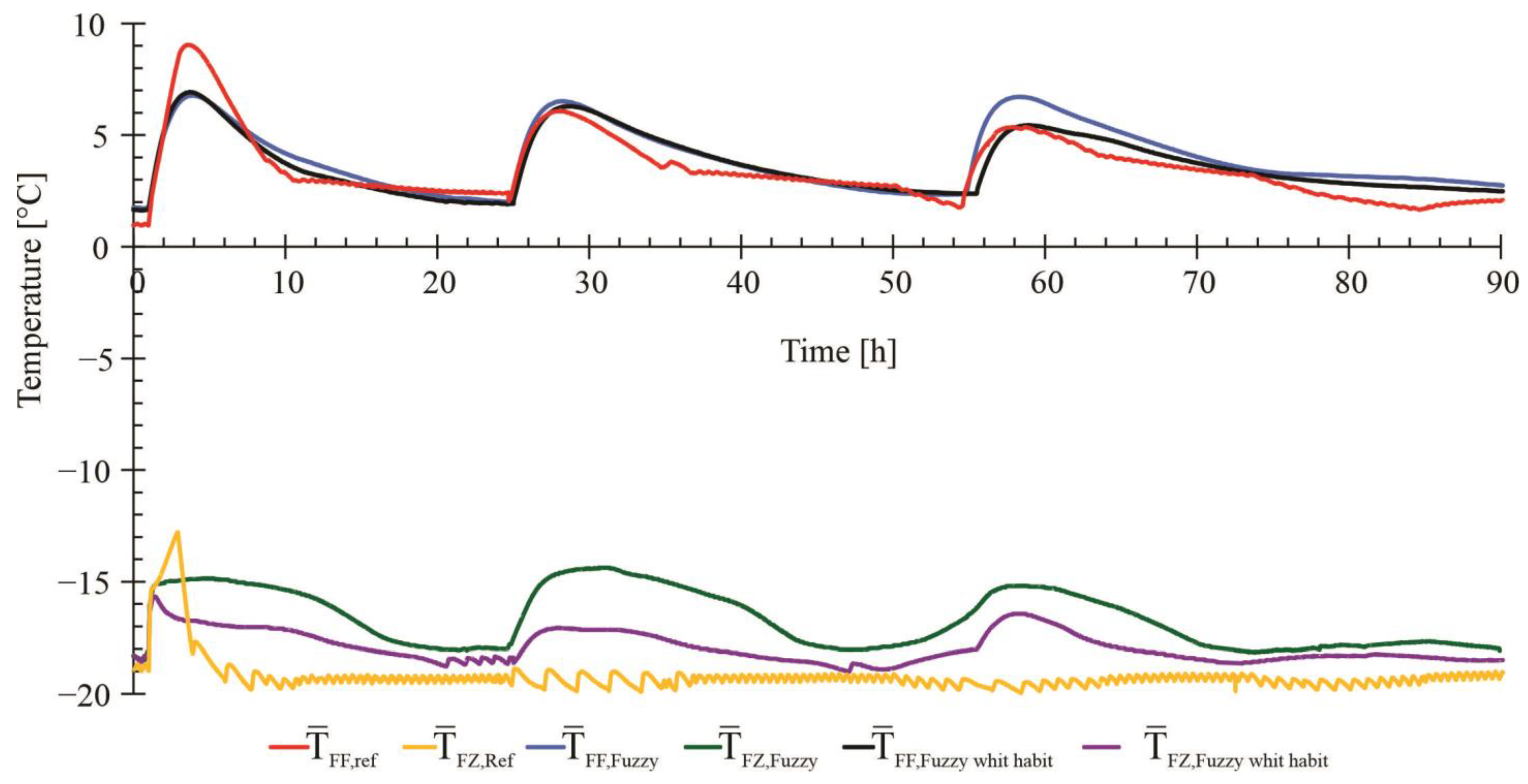
Figure 15 illustrates the evaluation of the controllers for the temperature of the refrigerator compartments over a 90 h test period. Three stages of temperature increase corresponding to each thermal load input were identified, followed by a gradual reduction until thermal stability was reached.
Figure 15.
Average temperature in the refrigerator for the controllers with the integration of thermal load.
When the load enters the fresh food compartment, the controllers’ thermal responses show a similar trend; however, the reference control allows the temperature to increase considerably up to a maximum of 9 °C when the low thermal load enters. At the same time, the fuzzy controllers maintain an increase of approximately 6.8 °C. With the increase in the maximum thermal load in the refrigerator (55 h), the fuzzy control presents the most significant temperature increase around 6.72 °C, while the reference control and the fuzzy control with habit maintain a maximum of 6.4 °C. In particular, the response of the fuzzy control with a habit for the maximum load is because, at this point, the rules and mainly the membership function for the thermal load represent the highest value and focus on cooling the load more quickly compared to the conditions of low and medium thermal loads.
Essential variations are observed in the average temperature of the freezer. Note that the thermal load in this space remained constant throughout the test with a medium load (9 kg) and behind closed doors. It is observed that the response of the reference control is different from that presented by the fuzzy controllers; at the beginning, an increase is observed when the thermal load is introduced, and then thermal stabilization is practically maintained during the rest of the test. On the contrary, the fuzzy control presents the most significant temperature increase in the three periods of thermal load variation and, in addition, stabilizes the temperature of the freezer at a higher temperature (around −18 °C). Note that, for both fuzzy controllers, although the thermal load was not modified in this compartment, the thermal response was sensitive to the change in load in the fresh food compartment. This trend in thermal behavior is a consequence of the same control configuration, where the fuzzy control does not consider the amount of thermal load entered into the refrigerator, and its response is slower. In contrast, fuzzy control with habit responds to the increase in thermal load and maintains lower temperatures.
Figure 16 shows the refrigerator energy consumption for the controllers, considering the amount of thermal load. It can be seen that the trend in energy consumption for the three controllers is similar. However, the reference control (orange line) increases consumption throughout the test. Note that the low thermal load causes the power consumption to be identical for the controllers. From the entry of the average thermal load (25 h), the difference in the energy consumption of the fuzzy control (blue line) and the fuzzy control with habit (green line) begins to be notable concerning the reference control. From this moment on, the fuzzy control rules for thermal loads cause more noticeable changes in energy consumption. However, fuzzy control with habit would be expected to drive the lowest energy consumption. The rules approach for thermal loading states that the load must be cooled quickly, which causes the habit fuzzy control to consume slightly more energy than the basic fuzzy control configuration.
Figure 16.
Refrigerator energy consumption for controllers with thermal load integration.
Finally, the energy consumption for the thermal load test was higher for the reference control with a value of 4241.72 Wh, for the fuzzy control with a consumption of 4010.46 Wh, and for the fuzzy control with 3878.20 Wh. This represents a reduction in energy consumption for fuzzy control with a habit of 5.5% and 8.6% for the reference controller. Consequently, the fuzzy control with habit or without habit represents a significant reduction in energy consumption for the refrigerator, demonstrating once again that including the habit of use in the control improves the appliance’s efficiency.
5.3. Implementation of a Combination of Thermal Load and Door Opening
The results in the previous sections show that the two proposed configurations of fuzzy control achieved adequate thermal and energy behaviors in the individual evaluation of the proposed use habits (door opening and thermal load). In this section, the results are presented only for the fuzzy control for combining the usage habits concerning the reference control described in Section 4.3. The behavior of the average temperature for the combination of usage habits is shown in Figure 17, where a time of 70 h is indicated, corresponding to three days of testing. On the first day, the maximum load was introduced into the refrigerator, so the figure shows a peak temperature of approximately 8 h. In the following two days, the thermal load was removed during opening hours, represented by the temperature peaks at 25, 31, and 37 h for the first day and at 49, 55, and 61 h for the second day. The reference control represents the warmest thermal condition of both refrigerator compartments (red and yellow lines). The temperature shows an increasing trend at the end of each opening cycle. This indicates that the reference control does not adequately regulate the temperature.
Figure 17.
Average temperature in the refrigerator for the combination of usage habits.
The energy behavior is shown in Figure 18; the energy consumption for the reference control (orange line) is considerably lower. For this test, the reference control consumes 3035.34 Wh, and the fuzzy control with habits consumes 3331.9 Wh, representing an increase in consumption of 9.7% for the fuzzy control. These results allow us to assume that reference control is more attractive from an energy viewpoint. However, the objective of controller design (ON/OFF, PID, fuzzy, etc.) is to maintain stable variables at a desired value. In this sense, the behavior presented by fuzzy control is adequate by retaining the requirements of the thermal conditions for which the refrigerator was designed. Contrary to the behavior shown by the reference controller, which does not support the same thermal conditions as the fuzzy control, it stabilizes the temperature at higher averages, which causes the compressor to work at lower power and, consequently, lower energy consumption.
Figure 18.
Refrigerator energy consumption for the combination of usage habits.
Table 3 compares the average temperature and energy consumption values from the implementation of fuzzy control to the refrigerator with a variable speed compressor. For the reference test (without thermal load or door opening), the fuzzy control presents adequate thermal behavior for both compartments, including a slightly colder thermal condition than the reference control. Regarding total energy consumption, an energy saving of 3.2% is achieved using fuzzy control. For the individual case of door opening habits and thermal load, the fuzzy control also provides quite acceptable thermal results, thus indicating that the proposed control is viable for maintaining the thermal conditions in both compartments. The above is also reflected in the energy savings achieved with fuzzy control with usage habit compared to factory control, 2.08% for door opening and 5.45% for thermal load.
Table 3.
Summary of the main results of thermal and energy behavior.
Finally, the fuzzy control for the combination of habits represents a higher energy consumption than the reference control, around 9.7%. However, the fuzzy control maintained the most favorable thermal conditions in both compartments, with the reference control having a warmer thermal condition in the freezer. Thus, the development of a fuzzy control integrating usage habits for a refrigerator with a variable-speed compressor responds appropriately to the thermal behavior for which the refrigerator can be designed. It individually allows for significant energy savings regarding factory control.
6. Conclusions
Constant technological development allows more efficient appliance design. This has provided an opportunity to research and propose more efficient and sustainable refrigeration systems. In this sense, this study proposed the design and implementation of fuzzy control in a domestic refrigerator to incorporate usage habits as a novel aspect that helps maintain the thermal conditions in the compartments and achieve energy savings. In a refrigerator with a variable-speed compressor, the thermal load and the frequency of opening the doors were evaluated as usage habits. An Arduino microcontroller was used to implement the control system, temperature measurement, and energy consumption. The main conclusions of this study are highlighted below:
A fuzzy control was designed to integrate usage habits as inputs to the controller, defining six input variables (internal compartment temperatures, thermal load in both compartments and door opening) and three output variables (speed of the coupled fan). To the evaporator, the opening of the damper for the airflow and frequency of the compressor), for which a set of membership functions with 144 operating rules was designed.
Three tests were conducted to evaluate usage habits, door opening, amount of thermal load, and the combination of both usage habits. From the thermal point of view, all fuzzy control configurations allowed for maintaining thermal conditions similar to those of the reference control (factory control).
In the energy sense, individual implementation of usage habits for fuzzy control saved 2.08% in the door opening test and 5.45% in the thermal load tests. In the case of fuzzy control integrating the combination of usage habits, increased energy consumption by 9.7%.
Finally, fuzzy control with the individual incorporation of usage habits as a strategy to maintain the thermal conditions of both compartments and achieve energy savings is presented as a viable and robust option for integration into domestic refrigerators. In this way, a preamble is proposed to design a smart refrigerator that integrates usage habits.
Author Contributions
Conceptualization, J.M.B.-F. and D.A.R.-V.; investigation, J.M.B.-F., D.A.R.-V. and D.H.-F.; Validation, J.J.G.-P.; writing—original draft preparation, J.M.B.-F.; writing—review and editing, J.M.B.-F. All authors have read and agreed to the published version of the manuscript.
Funding
This research received no external funding.
Institutional Review Board Statement
Not applicable.
Informed Consent Statement
Not applicable.
Data Availability Statement
No new data were created or analyzed in this study. Data sharing is not applicable to this article.
Acknowledgments
We acknowledge the University of Guanajuato (CIIC 2023) for their support in the realization of this work.
Conflicts of Interest
The authors declare no conflicts of interest.
Nomenclature
| COP | Coefficient of Performance |
| D | Door opening |
| L | Thermal load [kg] |
| NTC | Negative Temperature Coefficient |
| T | Temperature [°C] |
| Average temperature [°C] | |
| PID | Proportional Integral Derivative |
| PWM | Pulse Width Modulation |
| Ref | Reference control |
| 1, … 8 | Thermocouple location |
| Subscripts | |
| FF | Fresh food compartment |
| FZ | Freezer |
| SP | Set-point temperature |
| Greek symbol | |
| Membership value | |
References
- UNEP. Refrigeration, Air Conditioning and Heat Pumps Technical Options Committee; 2018 Assessment Report; UNEP: Nairobi, Kenya, 2019. [Google Scholar]
- ENIGH. “Encuesta Nacional de Ingresos y Gastos de los Hogares ENIGH,” Nueva Serie. 2020. Available online: https://www.inegi.org.mx/programas/enigh/nc/2020/#Tabulados (accessed on 9 August 2021).
- CFE. Comisión Federal de Electricidad. Available online: https://www.cfe.mx/cdn/2019/Archivos/Boletines/125ahorrosvf.pdf (accessed on 7 July 2022).
- Faghihi, P.; Salehi, A.; Jalali, A.; Sajadi, B.; Ashjaee, M.; Houshfar, E. Refrigeration components sizing tool for design of domestic refrigerators (ReSiCo): Demonstration in full scale. Case Stud. Therm. Eng. 2023, 49, 103301. [Google Scholar] [CrossRef]
- Gardenghi, A.R.; Lacerda, J.F.; Tibiriça, C.B.; Cabezas-Gomez, L. Numerical and experimental study of the transient behavior of a domestic vapor compression refrigeration system—Influence of refrigerant charge and ambient temperatura. Appl. Therm. Eng. 2021, 190, 116728. [Google Scholar] [CrossRef]
- Geppert, J.; Stamminger, R. Analysis of effecting factors on domestic refrigerators’ energy consumption in use. Energy Convers. Manag. 2013, 76, 794–800. [Google Scholar] [CrossRef]
- Pardo-Cely, D.; Belman-Flores, J.M.; Heredia-Aricapa, Y.; Rodríguez-Valderrama, D.A.; Morales-Fuentes, A.; Gallegos-Muñoz, A. Fault analysis in a domestic refrigerator: Fan fault, condenser fouling, and area restriction. Int. J. Refrigeration. 2023, 154, 290–299. [Google Scholar] [CrossRef]
- Saidur, R.; Masjuki, H.H.; Choudhury, I.A. Role of ambient temperature, door opening, thermostat setting position and their combined effect on refrigerator-freezer energy consumption. Energy Convers. Manag. 2002, 43, 845–854. [Google Scholar] [CrossRef]
- Hasanuzzaman, M.; Saidur, R.; Masjuki, H.H. Investigation of energy consumption and energy savings of refrigerator-freezer during open and closed door condition. J. Appl. Sci. 2008, 8, 1822–1831. [Google Scholar] [CrossRef]
- Khan, M.I.H.; Afroz, H.M.; Rohoman, M.A.; Faruk, M.; Salim, M. Effect of different operating variables on energy consumption of household refrigerator. Int. J. Energy Eng. 2013, 3, 144–150. [Google Scholar]
- Belman-Flores, J.M.; Pardo-Cely, D.; Gómez-Martínez, M.A.; Hernández-Pérez, I.; Rodríguez-Valderrama, D.A.; Heredia-Aricapa, Y. Thermal and Energy Evaluation of a Domestic Refrigerator under the Influence of the Thermal Load. Energies 2019, 12, 400. [Google Scholar] [CrossRef]
- Omara, A.M.A.; Mohammedali, A.M.A. Thermal management and performance enhancement of domestic refrigerators and freezers via phase change materials: A review. Innov. Food Sci. Emerg. Technol. 2020, 66, 102522. [Google Scholar] [CrossRef]
- Nicoletti, F.; Azzarito, G.; Sylaj, D. Improving cooling efficiency in domestic refrigerators: A passive cooling system exploiting external air circulation. Int. J. Refrig. 2024, 159, 99–111. [Google Scholar] [CrossRef]
- Pérez-Gomariz, M.; López-Gómez, A.; Cerdán-Cartagena, F. Artificial neural networks as artificial intelligence technique for energy saving in refrigeration systems—A review. Clean Technol. 2023, 5, 116–136. [Google Scholar] [CrossRef]
- Behrooz, F.; Yusof, R.; Mariun, N.; Khairuddin, U.; Ismail, Z.H. Designing Intelligent MIMO Nonlinear Controller Based on Fuzzy Cognitive Map Method for Energy Reduction of the Buildings. Energies 2019, 12, 2713. [Google Scholar] [CrossRef]
- Lee, J.; Jeong, S. Robust temperature control of a variable-speed refrigeration system based on sliding mode control with optimal parameters derived using the genetic algorithm. Energies 2021, 14, 6321. [Google Scholar] [CrossRef]
- Kim, N.; Park, Y.; Son, J.E.; Shin, S.; Min, B.; Park, H.; Kang, S.; Ha, H.H.M.Y.; Lee, M.C. Robust sliding mode control of a vapor compression cycle. Int. J. Control Automation Syst. 2018, 16, 1–17. [Google Scholar] [CrossRef]
- Maiorino, A.; Del Duca, M.G.; Aprea, C. ART.I.CO. (Artificial Intelligence for Cooling): An innovative method for optimizing the control of refrigeration systems based on Artificial Neural Networks. Appl. Energy 2022, 306, 118072. [Google Scholar] [CrossRef]
- Yang, Z.; Duan, P.; Li, Z.; Yang, X. Self-adjusting fuzzy logic controller for refrigeration systems. In Proceedings of the 2015 IEEE International Conference on Information and Automation, Lijiang, China, 8–10 August 2015; pp. 2823–2827. [Google Scholar]
- Mirinejad, H.; Welch, K.C.; Spicer, L. A review of intelligent control techniques in HVAC systems. In Proceedings of the 2012 IEEE Energytech, Cleveland, OH, USA, 29–31 May 2012; pp. 1–5. [Google Scholar]
- Jeong, S.K.; Han, C.H.; Hua, L.; Wibowo, W.K. Systematic design of membership functions for fuzzy logic control of variable speed refrigeration system. Appl. Therm. Eng. 2018, 142, 303–310. [Google Scholar] [CrossRef]
- Menzhausen, R.; Merino, M.; Dorneanu, B.; Silupú, J.J.M.; Alama, W.I.; Arellano-Garcia, H. A fuzzy control approach for an industrial refrigeration system. Comput. Aided Chem. Eng. 2020, 48, 1255–1260. [Google Scholar]
- Sánta, R.; Simon, J.; Garbai, L. The advantages of fuzzy control for heat pumps systems. Period. Polytech. Mech. Eng. 2023, 67, 214–226. [Google Scholar] [CrossRef]
- Choi, B.J.; Han, S.W.; Hong, S.K. Refrigerator temperature control using fu logic and neural network. In Proceedings of the IEEE International Symposium on Industrial Electronics. Proceedings. ISIE’98 (Cat. No.98TH8357), Pretoria, South Africa, 7–10 July 1998; pp. 186–191. [Google Scholar]
- Mraz, M. The design of intelligent control of a kitchen refrigerator. Math. Comput. Simul. 2001, 56, 259–267. [Google Scholar] [CrossRef]
- Rashid, M.M.; Islam, A. Design and implementation of a fuzzy logic based controller for refrigerating systems. In Proceedings of the International Conference on Computer and Communication Engineering (ICCCE’10), Kuala Lumpur, Malaysia, 11–12 May 2010; pp. 1–5. [Google Scholar] [CrossRef]
- Azam Balegh, N.; Mousavi Mashhadi, S.K. Design and implementation fuzzy controller in the frost-free refrigerator by using multivariate regression. In Proceedings of the 20th Iranian Conference on Electrical Engineering (ICEE2012), Tehran, Iran, 15–17 May 2012; pp. 840–844. [Google Scholar] [CrossRef]
- Arfaoui, J.; Feki, E.; Mami, A. PID and fuzzy logic optimi ed controller for temperature control in a cavity of refrigeration. In Proceedings of the IREC2015 The Sixth International Renewable Energy Congress, Sousse, Tunisia, 24–26 March 2015; pp. 1–6. [Google Scholar] [CrossRef]
- Belman-Flores, J.M.; Ledesma, S.; Rodrígiuez-Valderrama, D.A.; Hernández-Fusilier, D. Energy optimization of a domestic refrigerator controlled by a fuzzy logic system using the status of the door. Int. J. Refrig. 2019, 104, 1–8. [Google Scholar] [CrossRef]
- Kapici, E.; Kutluay, E.; Izadi-zamanabadi, R. A novel intelligent control method for domestic refrigerators based on user behavior. Int. J. Refrig. 2022, 136, 209–218. [Google Scholar] [CrossRef]
- Rodríguez-Valderrama, D.A.; Belman-Flores, J.M.; Hernández-Fusilier, D.; Pardo-Cely, D.M.; Gómez-Martínez, M.A.; Méndez-Diaz, S. Implementation of fuzzy control in a domestic refrigerator considering the influence of the thermal load. Int. J. Refrig. 2023, 149, 23–34. [Google Scholar] [CrossRef]
- International Standard IEC 61000-4-7, Second Edition 2002-08. Available online: https://webstore.iec.ch/preview/info_iec61000-4-7%7Bed2.0%7Den_d.pdf (accessed on 7 July 2022).
- Norma Oficial Mexicana NOM-015-ENER-2018. Eficiencia energética de refrigeradores y congeladores electrodomésticos. Límtes, métodos de prueba y etiquetado. (In Spanish)
Disclaimer/Publisher’s Note: The statements, opinions and data contained in all publications are solely those of the individual author(s) and contributor(s) and not of MDPI and/or the editor(s). MDPI and/or the editor(s) disclaim responsibility for any injury to people or property resulting from any ideas, methods, instructions or products referred to in the content. |
© 2024 by the authors. Licensee MDPI, Basel, Switzerland. This article is an open access article distributed under the terms and conditions of the Creative Commons Attribution (CC BY) license (https://creativecommons.org/licenses/by/4.0/).


















