Impact of Starter Phosphorus Fertilizer Type and Rate on Maize Growth in Calcareous Soil Irrigated with Treated Wastewater
Abstract
1. Introduction
2. Materials and Methods
2.1. Study Soil and Treated Wastewater (TWW) Collection and Preparation
2.2. Experimental Design and Treatment Applications
- Two phosphorus (P) fertilizer types: Single superphosphate (SSP) and diammonium phosphate (DAP).
- Four rates of starter P application: Equivalent to 0, 20, 30, and 40 kg P ha−1.
- Two irrigation water sources (IWS): Tap water (TW) and treated wastewater (TWW).
2.3. Measurements
- Shoot and root length (cm) were measured using a standard ruler immediately after harvest.
- Dry biomass weight (g) was determined after oven-drying samples at 70 °C for 48 h until constant weight.
- Shoot and root phosphorus (P), nitrogen (N), and potassium (K) contents (%) were determined according to the method described by [17]. Briefly, dried plant tissues were ground, digested using a sulfuric acid–hydrogen peroxide digestion, and analyzed:
- ○
- Total N was measured using the Kjeldahl digestion method.
- ○
- Total P was determined colorimetrically (molybdenum blue method).
- ○
- Total K was measured by flame photometry.
- Post-harvest soil samples were analyzed for the following properties:
- Available phosphorus (P) was determined using the Olsen method [18]
- Available potassium (K) was extracted using ammonium acetate (1 M, pH 7.0) and measured by flame photometry, according to Pratt [24].
- Soil pH and electrical conductivity (EC) were measured in a 1:2.5 soil-to-water suspension using a pH meter and a conductivity meter, respectively.
- Organic matter (OM) content was determined using the Walkley–Black dichromate oxidation method.
2.4. Statistical Analysis
3. Results
3.1. Effects on Maize Growth Parameters
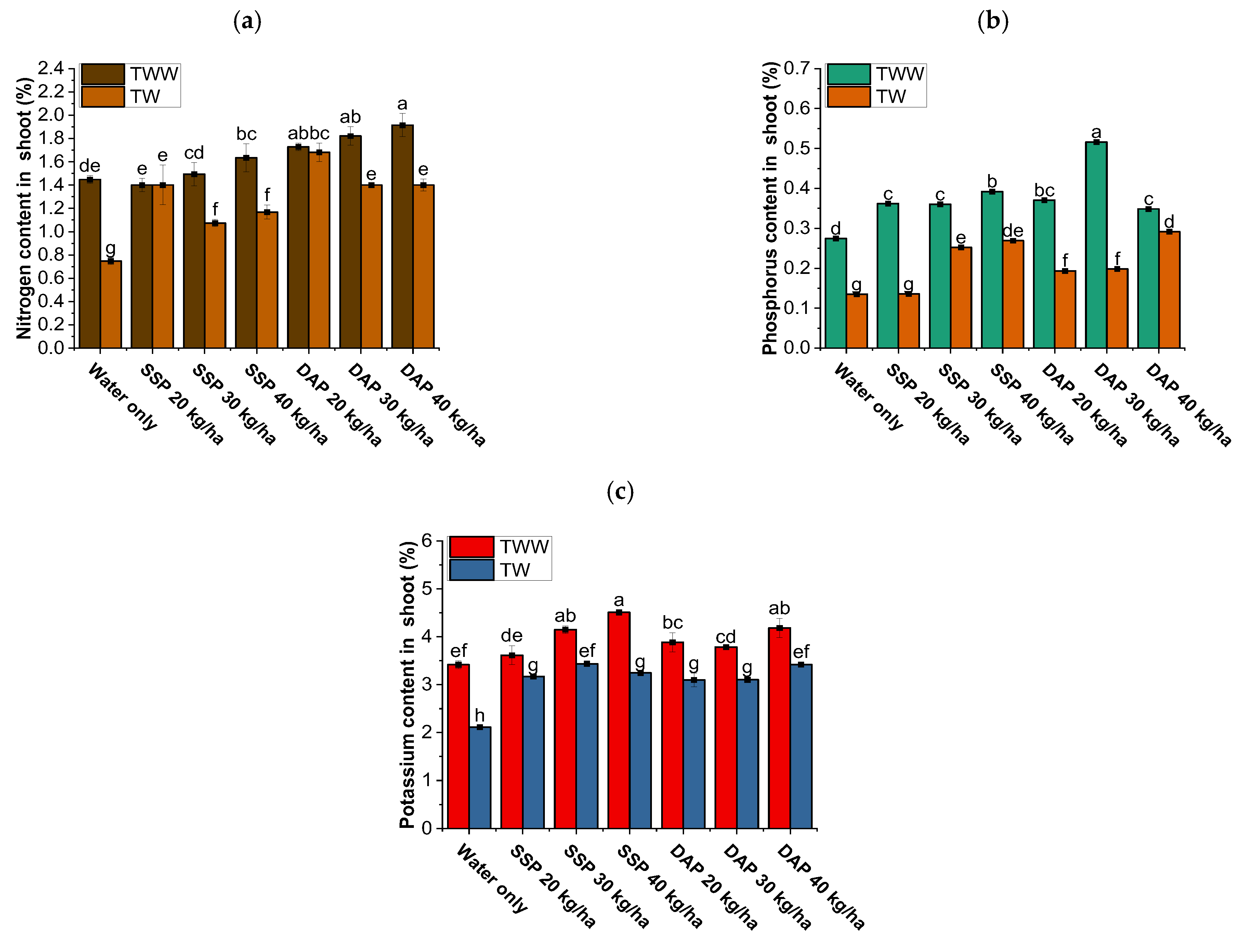
3.2. Effects on Plant Nutrient Content
3.3. Effects on Post-Harvest Soil Properties
4. Discussion
4.1. Interaction Between Irrigation Source, Fertilizer Type, and Application Rate
4.1.1. Effect on Maize Growth
4.1.2. Effect on Nutrient Content Enhancement
4.1.3. Effect on Post-Harvest Soil Properties
5. Conclusions
Author Contributions
Funding
Institutional Review Board Statement
Informed Consent Statement
Data Availability Statement
Acknowledgments
Conflicts of Interest
References
- Malhotra, H.; Vandana; Sharma, S.; Pandey, R. Phosphorus nutrition: Plant growth in response to deficiency and excess. In Plant Nutrients and Abiotic Stress Tolerance; Springer: Singapore, 2018; pp. 171–190. [Google Scholar]
- Bechtaoui, N.; Rabiu, M.K.; Raklami, A.; Oufdou, K.; Hafidi, M.; Jemo, M. Phosphate-dependent regulation of growth and stresses management in plants. Front. Plant Sci. 2021, 12, 679916. [Google Scholar] [CrossRef] [PubMed]
- Khan, F.; Siddique, A.B.; Shabala, S.; Zhou, M.; Zhao, C. Phosphorus plays key roles in regulating plants’ physiological responses to abiotic stresses. Plants 2023, 12, 2861. [Google Scholar] [CrossRef] [PubMed]
- De-Bashan, L.; Magallon-Servin, P.; Lopez, B.R.; Nannipieri, P. Biological activities affect the dynamic of P in dryland soils. Biol. Fertil. Soils 2022, 58, 105–119. [Google Scholar] [CrossRef]
- Laan, M.; Strawn, D.G.; Kayler, Z.E.; Cade-Menun, B.J.; Möller, G. Phosphorus availability and speciation in soils amended with upcycled dairy-waste nutrients. Front. Chem. Eng. 2024, 5, 1303357. [Google Scholar] [CrossRef]
- El Attar, I.; Hnini, M.; Taha, K.; Aurag, J. Phosphorus availability and its sustainable use. J. Soil Sci. Plant Nutr. 2022, 22, 5036–5048. [Google Scholar] [CrossRef]
- Khondoker, M.; Mandal, S.; Gurav, R.; Hwang, S. Freshwater shortage, salinity increase, and global food production: A need for sustainable irrigation water desalination—A scoping review. Earth 2023, 4, 223–240. [Google Scholar] [CrossRef]
- Zhang, M.; Shi, F.; Peng, S.; Chai, R.; Zhang, L.; Zhang, C.; Luo, L. Trade-Off Strategy for Usage of Phosphorus Fertilizer in Calcareous Soil-Grown Winter Wheat: Yield, Phosphorus Use Efficiency, and Zinc Nutrition Response. Agriculture 2024, 14, 373. [Google Scholar] [CrossRef]
- Mihoub, A.; Boukhalfa-Deraoui, N. Performance of different phosphorus fertilizer types on wheat grown in calcareous sandy soil of El-Menia, southern Algeria. Asian J. Crop Sci. 2014, 6, 383–391. [Google Scholar] [CrossRef]
- Ofori, S.; Puškáčová, A.; Růžičková, I.; Wanner, J. Treated wastewater reuse for irrigation: Pros and cons. Sci. Total. Environ. 2021, 760, 144026. [Google Scholar] [CrossRef]
- Iqbal, M.; Nauman, S.; Ghafari, M.; Gomes, A.; Gomes, C.; Parnianifard, A. Treatment of wastewater for agricultural applications in regions of water scarcity. Biointerface Res. Appl. Chem. 2021, 12, 6336–6360. [Google Scholar]
- Alotaibi, K.D.; Arcand, M.; Ziadi, N. Effect of biochar addition on legacy phosphorus availability in long-term cultivated arid soil. Chem. Biol. Technol. Agric. 2021, 8, 47. [Google Scholar] [CrossRef]
- Abdel-Aziz, R. Impact of treated wastewater irrigation on soil chemical properties and crop productivity. J. Water Resour. Arid. Environ. 2015, 4, 30–36. [Google Scholar]
- Ofori, S.; Abebrese, D.K.; Růžičková, I.; Wanner, J. Reuse of treated wastewater for crop irrigation: Water suitability, fertilization potential, and impact on selected soil physicochemical properties. Water 2024, 16, 484. [Google Scholar] [CrossRef]
- Ahmadifard, S. Impact of wastewater irrigation on concentration and absorption of nutrients and heavy metals in barley in calcareous soils. J. Biodivers. Environ. Sci. 2014, 5, 453–460. [Google Scholar]
- Al-Nakshabandi, G.; Saqqar, M.; Shatanawi, M.; Fayyad, M.; Al-Horani, H. Some environmental problems associated with the use of treated wastewater for irrigation in Jordan. Agric. Water Manag. 1997, 34, 81–94. [Google Scholar] [CrossRef]
- Belaid, N.; Neel, C.; Kallel, M.; Ayoub, T.; Ayadi, A.; Baudu, M. Long term effects of treated wastewater irrigation on calcisol fertility: A case study of Sfax-Tunisia. Agric. Sci. 2012, 3, 702. [Google Scholar] [CrossRef][Green Version]
- Ammeri, R.W.; Hidri, Y.; Ouesleti, M.; Eturki, S.; Sadfi-Zouaoui, N.; Hassen, A. Impact of Phosphorus Biofertilization on Arid Tunisian Soils Irrigated with Treated Wastewater. J. Soil Sci. Plant Nutr. 2025, 1–16. [Google Scholar] [CrossRef]
- Muscarella, S.M.; Alduina, R.; Badalucco, L.; Capri, F.C.; Di Leto, Y.; Gallo, G.; Laudicina, V.A.; Paliaga, S.; Mannina, G. Water reuse of treated domestic wastewater in agriculture: Effects on tomato plants, soil nutrient availability and microbial community structure. Sci. Total. Environ. 2024, 928, 172259. [Google Scholar] [CrossRef]
- Rosemarin, A.; Macura, B.; Carolus, J.; Barquet, K.; Ek, F.; Järnberg, L.; Lorick, D.; Johannesdottir, S.; Pedersen, S.M.; Koskiaho, J.; et al. Circular nutrient solutions for agriculture and wastewater–a review of technologies and practices. Curr. Opin. Environ. Sustain. 2020, 45, 78–91. [Google Scholar] [CrossRef]
- Carey, R.O.; Migliaccio, K.W. Contribution of wastewater treatment plant effluents to nutrient dynamics in aquatic systems: A review. Environ. Manag. 2009, 44, 205–217. [Google Scholar] [CrossRef]
- Bremner, J. Organic nitrogen in soils. Soil Nitrogen 1965, 10, 93–149. [Google Scholar]
- Keeney, D.R.; Nelson, D.W. Nitrogen—Inorganic forms. Methods Soil Anal. Part 2 Chem. Microbiol. Prop. 1982, 9, 643–698. [Google Scholar]
- Pratt, P.F. Digestion with hydrofluoric and perchloric acids for total potassium and sodium. Methods Soil Anal. Part 2 Chem. Microbiol. Prop. 1965, 9, 1019–1021. [Google Scholar]
- Mussarat, M.; Ali, H.; Muhammad, D.; Mian, I.A.; Khan, S.; Adnan, M.; Fahad, S.; Wahid, F.; Dawar, K.; Ali, S. Comparing the phosphorus use efficiency of pre-treated (organically) rock phosphate with soluble P fertilizers in maize under calcareous soils. PeerJ 2021, 9, e11452. [Google Scholar] [CrossRef]
- Kesari, K.K.; Soni, R.; Jamal, Q.M.S.; Tripathi, P.; Lal, J.A.; Jha, N.K.; Siddiqui, M.H.; Kumar, P.; Tripathi, V.; Ruokolainen, J. Wastewater treatment and reuse: A review of its applications and health implications. Water Air Soil Pollut. 2021, 232, 208. [Google Scholar] [CrossRef]
- Rivoira, L.; Bruzzoniti, M.C. Treated Wastewater for Reuse in Irrigation Practices in Agriculture. In Water Reuse and Unconventional Water Resources: A Multidisciplinary Perspective; Springer: Berlin/Heidelberg, Germany, 2024; pp. 511–534. [Google Scholar]
- Khan, K.S.; Naveed, M.; Qadir, M.F.; Yaseen, M.; Siddiqui, M.H. Bio-organically acidified product-mediated improvements in phosphorus fertilizer utilization, uptake and yielding of Zea mays in calcareous soil. Plants 2023, 12, 3072. [Google Scholar] [CrossRef]
- Jayara, A.; Kumar, R.; Pandey, P.; Singh, S.; Shukla, A.; Singh, A.; Pandey, S.; Meena, R.; Reddy, K. Boosting Nutrient Use Efficiency Through Fertilizer Use Management. Appl. Ecol. Environ. Res. 2023, 21, 2931–2952. [Google Scholar] [CrossRef]
- Liu, Y.; Wang, N.; Jiang, C.; Wang, Y. Effects of irrigation type and fertilizer application rate on growth, yield, and water and fertilizer use efficiency of silage corn in the North China Plain. PeerJ 2024, 12, e18315. [Google Scholar] [CrossRef]
- Xing, Y.; Mi, F.; Wang, X. Effects of different nitrogen fertilizer types and application rates on maize yield and nitrogen use efficiency in Loess Plateau of China. J. Soils Sediments 2022, 22, 1938–1958. [Google Scholar] [CrossRef]
- Lu, Z.; Liu, J.; Zhu, Y.; Wang, Y.; Huang, C. The Effects of Ammonium Phosphate with Different Sulfur Additions on Crop Yield and Nutrient Uptake in Calcareous Soil. Agronomy 2024, 14, 1145. [Google Scholar] [CrossRef]
- Cui, J.; Mak-Mensah, E.; Wang, J.; Li, Q.; Huang, L.; Song, S.; Zhi, K.; Zhang, J. Interactive effects of drip irrigation and nitrogen fertilization on wheat and maize yield: A meta-analysis. J. Soil Sci. Plant Nutr. 2024, 24, 1547–1559. [Google Scholar] [CrossRef]
- Chatterjee, R.; Sajjadi, B.; Chen, W.-Y.; Mattern, D.L.; Hammer, N.; Raman, V.; Dorris, A. Effect of pyrolysis temperature on physicochemical properties and acoustic-based amination of biochar for efficient CO2 adsorption. Front. Energy Res. 2020, 8, 85. [Google Scholar] [CrossRef]
- Noor, S.; Yaseen, M.; Naveed, M.; Ahmad, R. Effectiveness of diammonium phosphate impregnated with Pseudomonas putida for improving maize growth and phosphorus use efficiency. J. Anim. Plant Sci. 2017, 27, 1588–1595. [Google Scholar]
- Noureen, S.; Khalid, M.; Zahir, Z.A.; Shahid, M. Phosphorus solubilization through acidified organic extract improved growth, yield and phosphorus uptake of maize grown in calcareous soil. Int. J. Agric. Biol. 2019, 22, 65–72. [Google Scholar]
- Hopkins, B.; Ellsworth, J. Phosphorus availability with alkaline/calcareous soil. In Proceedings of the Western Nutrient Management Conference, Salt Lake City, UT, USA, 3–4 March 2005; pp. 83–93. [Google Scholar]
- Djaman, K.; Irmak, S.; Martin, D.; Ferguson, R.; Bernards, M. Plant nutrient uptake and soil nutrient dynamics under full and limited irrigation and rainfed maize production. Agron. J. 2013, 105, 527–538. [Google Scholar] [CrossRef]
- Kadasiddappa, M.; Rao, V.P. Irrigation scheduling through drip and surface methods-A critical review on growth, yield, nutrient uptake and water use studies of rabi maize. Agric. Rev. 2018, 39, 300–306. [Google Scholar] [CrossRef]
- Sarwar, M.; Jilani, G.; Rafique, E.; Akhtar, M.E.; Chaudhry, A.N. Impact of integrated nutrient management on yield and nutrient uptake by maize under rain-fed conditions. Pak. J. Nutr. 2012, 11, 27–33. [Google Scholar] [CrossRef]
- Assouline, S.; Narkis, K.; Gherabli, R.; Sposito, G. Combined effect of sodicity and organic matter on soil properties under long-term irrigation with treated wastewater. Vadose Zone J. 2016, 15, vzj2015-12. [Google Scholar] [CrossRef]



| Parameter | Value |
|---|---|
| pH | 8 |
| EC (dS m–1) | 0.18 |
| CEC (meq/100 g soil) | 10.4 |
| OM (%) | 0.44 |
| CaCO3 (%) | 33 |
| Clay (%) | 16.2 |
| Silt (%) | 15.3 |
| Sand (%) | 68.5 |
| Olsen-P (mg kg−1) | 1.95 |
| N (mg kg−1) | 8.2 |
| K (mg kg−1) | 163.7 |
| Property | (TW) | TWW |
|---|---|---|
| pH | 7.30 | 7.67 |
| EC (dS m−1) | 0.64 | 2.20 |
| NO3− (mg L−1) | 2.42 | 9.24 |
| NH4− (mg L−1) | 0.11 | 3.59 |
| K+ (mg L−1) | 9.0 | 19.35 |
| Na+ (mg L−1) | 5.81 | 205.36 |
| Mg2+ (mg L−1) | 10.86 | 52.52 |
| Ca2+ (mg L−1) | 15.3 | 145.51 |
| PO43− (mg L−1) | 0.37 | 41.88 |
| SO42− (mg L−1) | 12.0 | 520.93 |
| Cl− (mg L−1) | 10.34 | 315.20 |
| HCO3− (mg L−1) | 7.89 | 177.86 |
| IWS | MF Type | MF Rate | Ec | pH | Available N | Available P | Available K | Organic Matter |
|---|---|---|---|---|---|---|---|---|
| dS m−1 | (mg kg−1) | % | ||||||
| TWW | SSP | 0 | 0.43 b | 7.67 gh | 182.1 b | 33.3 c | 315.3 c | 1.12 ab |
| 20 | 0.5 ab | 7.7 fg | 140.1 e | 34.2 bc | 368.3 ab | 0.73 cd | ||
| 30 | 0.42 b | 7.77 cd | 266.2 a | 35.91 b | 301 cd | 0.98 ab | ||
| 40 | 0.54 a | 7.6 h | 147.1 de | 37.91 a | 378.3 a | 1.05 ab | ||
| DAP | 0 | 0.43 b | 7.67 gh | 182.1 b | 33.3 c | 315.3 c | 1.12 ab | |
| 20 | 0.44 b | 7.75 de | 168.1 c | 34.2 bc | 283.7 ef | 1.05 ab | ||
| 30 | 0.28 c | 7.8 bc | 147.1 de | 34 bc | 385.3 a | 1.67 ab | ||
| 40 | 0.48 ab | 7.72 ef | 140.1 e | 37.98 a | 344.7 b | 1.7 a | ||
| TW | SSP | 0 | 0.2 cd | 7.8 b | 56 i | 4 i | 181.3 i | 0.34 d |
| 20 | 0.19 d | 7.8 b | 63 i | 15.7 h | 211.7 h | 0.62 cd | ||
| 30 | 0.22 cd | 7.8 b | 84 h | 18.3 ef | 270.7 fg | 0.87 cd | ||
| 40 | 0.24 cd | 7.8 b | 98.07 g | 17.4 fg | 244 g | 0.57 cd | ||
| DAP | 0 | 0.2 cd | 7.8 b | 56 i | 4 i | 181.3 i | 0.34 d | |
| 20 | 0.18 d | 7.9 a | 112.08 f | 16.6 gh | 314.7 cd | 0.73 cd | ||
| 30 | 0.22 cd | 7.8 b | 154.1 d | 18.9 de | 288 de | 0.59 cd | ||
| 40 | 0.21 cd | 7.8 b | 84 h | 19.9 d | 294 cd | 0.96 bc | ||
| IWS * MFT * MFR | n.s | n.s | *** | n.s | *** | n.s | ||
| LSD | 0.08 | 0.06 | 12.8 | 1.16 | 27.5 | 0.71 | ||
Disclaimer/Publisher’s Note: The statements, opinions and data contained in all publications are solely those of the individual author(s) and contributor(s) and not of MDPI and/or the editor(s). MDPI and/or the editor(s) disclaim responsibility for any injury to people or property resulting from any ideas, methods, instructions or products referred to in the content. |
© 2025 by the authors. Licensee MDPI, Basel, Switzerland. This article is an open access article distributed under the terms and conditions of the Creative Commons Attribution (CC BY) license (https://creativecommons.org/licenses/by/4.0/).
Share and Cite
Almutairi, M.B.; Ahmed, I.; Alotaibi, K.D.; Aloud, S.S.; Abdalla, M. Impact of Starter Phosphorus Fertilizer Type and Rate on Maize Growth in Calcareous Soil Irrigated with Treated Wastewater. Soil Syst. 2025, 9, 41. https://doi.org/10.3390/soilsystems9020041
Almutairi MB, Ahmed I, Alotaibi KD, Aloud SS, Abdalla M. Impact of Starter Phosphorus Fertilizer Type and Rate on Maize Growth in Calcareous Soil Irrigated with Treated Wastewater. Soil Systems. 2025; 9(2):41. https://doi.org/10.3390/soilsystems9020041
Chicago/Turabian StyleAlmutairi, Majed B., Ibrahim Ahmed, Khaled D. Alotaibi, Saud S. Aloud, and Mohamed Abdalla. 2025. "Impact of Starter Phosphorus Fertilizer Type and Rate on Maize Growth in Calcareous Soil Irrigated with Treated Wastewater" Soil Systems 9, no. 2: 41. https://doi.org/10.3390/soilsystems9020041
APA StyleAlmutairi, M. B., Ahmed, I., Alotaibi, K. D., Aloud, S. S., & Abdalla, M. (2025). Impact of Starter Phosphorus Fertilizer Type and Rate on Maize Growth in Calcareous Soil Irrigated with Treated Wastewater. Soil Systems, 9(2), 41. https://doi.org/10.3390/soilsystems9020041

