Co-Application of Bokashi and Biochar Alleviates Water Stress, Improves Soil Fertility and Enhances Wheat Production Under Water-Deficit Conditions
Abstract
1. Introduction
2. Materials and Methods
2.1. Soil Sampling and Properties
2.2. Production and Characterization of Biochar and Bokashi
2.3. Pot Experiment and Treatments
2.4. Data Recording
2.4.1. Plant Growth Parameters
2.4.2. Soil Analysis
2.5. Statistical Analysis
3. Results
3.1. Plant Growth Parameters and Above-Ground Biomass
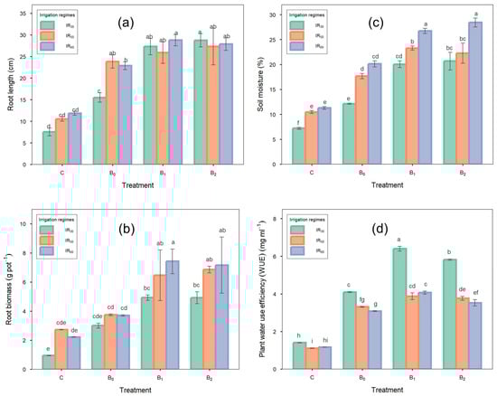
3.2. Root Length (RL) and Root Biomass (RB)
3.3. Soil Moisture and Plant Water Use Efficiency (PWUE)
3.4. Soil Chemical Properties
3.5. Relationship Between Yield Parameters and Soil Properties
4. Discussion
4.1. Plant Growth Parameters
4.2. Soil Moisture and Plant Water Use Efficiency (PWUE)
4.3. Effect on Soil Chemical Properties
5. Conclusions
Author Contributions
Funding
Institutional Review Board Statement
Informed Consent Statement
Data Availability Statement
Acknowledgments
Conflicts of Interest
References
- FAO. World Food and Agriculture Statistical Yearbook 2023; FAO: Rome, Italy, 2023. [Google Scholar]
- Duggan, B.L.; Domitruk, D.R.; Fowler, D.B. Yield component variation in winter wheat grown under drought stress. Can. J. Plant Sci. 2000, 80, 739–745. [Google Scholar] [CrossRef]
- Weightman, R.M.; Millar, S.; Alava, J.; John Foulkes, M.; Fish, L.; Snape, J.W. Effects of drought and the presence of the 1BL/1RS translocation on grain vitreosity, hardness and protein content in winter wheat. J. Cereal Sci. 2008, 47, 457–468. [Google Scholar] [CrossRef]
- Chai, Q.; Gan, Y.; Zhao, C.; Xu, H.-L.; Waskom, R.M.; Niu, Y.; Siddique, K.H. Regulated deficit irrigation for crop production under drought stress. A review. Agron. Sustain. Dev. 2016, 36, 3. [Google Scholar] [CrossRef]
- Singh, M.; Saini, R.K.; Singh, S.; Sharma, S.P. Potential of Integrating Biochar and Deficit Irrigation Strategies for Sustaining Vegetable Production in Water-limited Regions: A review. HortScience 2019, 54, 1872–1878. [Google Scholar] [CrossRef]
- Cook, B.I.; Mankin, J.S.; Anchukaitis, K.J. Climate Change and Drought: From Past to Future. Curr. Clim. Chang. Rep. 2018, 4, 164–179. [Google Scholar] [CrossRef]
- Lehmann, J.; Kuzyakov, Y.; Pan, G.; Ok, Y.S. Biochars and the plant-soil interface. Plant Soil. 2015, 395, 1–5. [Google Scholar] [CrossRef]
- Kapoor, A.; Sharma, R.; Kumar, A.; Sepehya, S. Biochar as a means to improve soil fertility and crop productivity: A review. J. Plant Nutr. 2022, 45, 2380–2388. [Google Scholar] [CrossRef]
- Agegnehu, G.; Bass, A.M.; Nelson, P.N.; Muirhead, B.; Wright, G.; Bird, M.I. Biochar and biochar-compost as soil amendments: Effects on peanut yield, soil properties and greenhouse gas emissions in tropical North Queensland, Australia. Agric. Ecosyst. Environ. 2015, 213, 72–85. [Google Scholar] [CrossRef]
- Ali, S.; Rizwan, M.; Qayyum, M.F.; Ok, Y.S.; Ibrahim, M.; Riaz, M.; Hafeez, F.; Al-Wabel, M.I.; Shahzad, A.N. Biochar soil amendment on alleviation of drought and salt stress in plants: A critical review. Environ. Sci. Pollut. Res. 2017, 24, 12700–12712. [Google Scholar] [CrossRef]
- Gavili, E.; Moosavi, A.A.; Kamgar Haghighi, A.A. Does biochar mitigate the adverse effects of drought on the agronomic traits and yield components of soybean? Ind. Crops Prod. 2019, 128, 445–454. [Google Scholar] [CrossRef]
- Obia, A.; Cornelissen, G.; Martinsen, V.; Smebye, A.B.; Mulder, J. Conservation tillage and biochar improve soil water content and moderate soil temperature in a tropical Acrisol. Soil. Tillage Res. 2020, 197, 104521. [Google Scholar] [CrossRef]
- Hardy, B.; Sleutel, S.; Dufey, J.E.; Cornelis, J.-T. The Long-Term Effect of Biochar on Soil Microbial Abundance, Activity and Community Structure Is Overwritten by Land Management. Front. Environ. Sci. 2019, 7, 110. [Google Scholar] [CrossRef]
- Lehmann, J.; Rillig, M.C.; Thies, J.; Masiello, C.A.; Hockaday, W.C.; Crowley, D. Biochar effects on soil biota—A review. Soil. Biol. Biochem. 2011, 43, 1812–1836. [Google Scholar] [CrossRef]
- Haider, G.; Steffens, D.; Moser, G.; Müller, C.; Kammann, C.I. Biochar reduced nitrate leaching and improved soil moisture content without yield improvements in a four-year field study. Agric. Ecosyst. Environ. 2017, 237, 80–94. [Google Scholar] [CrossRef]
- Akhtar, S.S.; Andersen, M.N.; Liu, F. Residual effects of biochar on improving growth, physiology and yield of wheat under salt stress. Agric. Water Manag. 2015, 158, 61–68. [Google Scholar] [CrossRef]
- Egamberdieva, D.; Li, L.; Ma, H.; Wirth, S.; Bellingrath-Kimura, S.D. Soil amendment with different maize biochars improves chickpea growth under different moisture levels by improving symbiotic performance with Mesorhizobium ciceri and soil biochemical properties to varying degrees. Front. Microbiol. 2019, 10, 2423. [Google Scholar] [CrossRef]
- Batool, A.; Taj, S.; Rashid, A.; Khalid, A.; Qadeer, S.; Saleem, A.R.; Ghufran, M.A. Potential of soil amendments (Biochar and gypsum) in increasing water use efficiency of Abelmoschus esculentus L. Moench. Front. Plant Sci. 2015, 6, 733. [Google Scholar] [CrossRef]
- Ramzani, P.M.A.; Shan, L.; Anjum, S.; Khan Wud, D.; Ronggui, H.; Iqbal, M.; Virk, Z.A.; Kausar, S. Improved quinoa growth, physiological response, and seed nutritional quality in three soils having different stresses by the application of acidified biochar and compost. Plant Physiol. Biochem. 2017, 116, 127–138. [Google Scholar] [CrossRef]
- Paneque, M.; De la Rosa, J.M.; Franco-Navarro, J.D.; Colmenero-Flores, J.M.; Knicker, H. Effect of biochar amendment on morphology, productivity and water relations of sunflower plants under non-irrigation conditions. Catena 2016, 147, 280–287. [Google Scholar] [CrossRef]
- Zaheer, M.S.; Ali, H.H.; Soufan, W.; Iqbal, R.; Habib-Ur-Rahman, M.; Iqbal, J.; Israr, M.; El Sabagh, A. Potential effects of biochar application for improving wheat (Triticum aestivum L.) growth and soil biochemical properties under drought stress conditions. Land 2021, 10, 1125. [Google Scholar] [CrossRef]
- Haider, G.; Koyro, H.W.; Azam, F.; Steffens, D.; Müller, C.; Kammann, C. Biochar but not humic acid product amendment affected maize yields via improving plant-soil moisture relations. Plant Soil. 2015, 395, 141–157. [Google Scholar] [CrossRef]
- Akhtar, S.S.; Li, G.; Andersen, M.N.; Liu, F. Biochar enhances yield and quality of tomato under reduced irrigation. Agric. Water Manag. 2014, 138, 37–44. [Google Scholar] [CrossRef]
- Bamminger, C.; Poll, C.; Sixt, C.; Högy, P.; Wüst, D.; Kandeler, E.; Marhan, S. Short-term response of soil microorganisms to biochar addition in a temperate agroecosystem under soil warming. Agric. Ecosyst. Environ. 2016, 233, 308–317. [Google Scholar] [CrossRef]
- Abd El-Mageed, T.A.; Abdelkhalik, A.; Abd El-Mageed, S.A.; Semida, W.M. Co-composted Poultry Litter Biochar Enhanced Soil Quality and Eggplant Productivity Under Different Irrigation Regimes. J. Soil. Sci. Plant Nutr. 2021, 21, 1917–1933. [Google Scholar] [CrossRef]
- Pandit, N.R.; Sipkhan, P.; Sharma, S.S.; Dawadi, D.; Vista, S.P.; Raut, P. Cattle-Urine-Enriched Biochar Enhances Soil Fertility, Nutrient Uptake, and Yield of Maize in a Low-Productive Soil. Nitrogen 2024, 5, 16–27. [Google Scholar] [CrossRef]
- Lavagi, V.; Kaplan, J.; Vidalakis, G.; Ortiz, M.; Rodriguez, M.V.; Amador, M.; Hopkins, F.; Ying, S.; Pagliaccia, D. Recycling Agricultural Waste to Enhance Sustainable Greenhouse Agriculture: Analyzing the Cost-Effectiveness and Agronomic Benefits of Bokashi and Biochar Byproducts as Soil Amendments in Citrus Nursery Production. Sustainability 2024, 16, 6070. [Google Scholar] [CrossRef]
- Nadeem, S.M.; Imran, M.; Naveed, M.; Khan, M.Y.; Ahmad, M.; Zahir, Z.A.; Crowley, D.E. Synergistic use of biochar, compost and plant growth-promoting rhizobacteria for enhancing cucumber growth under water deficit conditions. J. Sci. Food Agric. 2017, 97, 5139–5145. [Google Scholar] [CrossRef]
- Liu, J.; Schulz, H.; Brandl, S.; Miehtke, H.; Huwe, B.; Glaser, B. Short-term effect of biochar and compost on soil fertility and water status of a Dystric Cambisol in NE Germany under field conditions. J. Plant Nutr. Soil. Sci. 2012, 175, 698–707. [Google Scholar] [CrossRef]
- Higa, T.; Parr, J.F. Beneficial and Effective Microorganisms for a Sustainable Agriculture and Environment; International Nature Farming Research Center: Atami, Japan, 1994. [Google Scholar]
- Adekiya, A.O.; Agbede, T.M.; Aboyeji, C.M.; Dunsin, O.; Simeon, V.T. Effects of biochar and poultry manure on soil characteristics and the yield of radish. Sci. Hortic. 2019, 243, 457–463. [Google Scholar] [CrossRef]
- Goulart, R.G.T.; Santos, C.D.; Oliveira, C.D.; Costa, E.S.P.; Oliveira, F.D.; Andrade, N.D.; Carmo, M.D. Agronomic performance of lettuce cultivars under organic fertilization in SEROPÉDICA, RJ. Rev. Bras. Agropecuária Sustentável 2018, 8, 66–72. [Google Scholar]
- Osazoduwa Ekebafe, M.; Olu Ekebafe, L.; Ugbesia, S.O. Biochar composts and composites. Sci. Prog. 2015, 98, 169–176. [Google Scholar] [CrossRef] [PubMed]
- Olle, M. Review: Bokashi technology as a promising technology for crop production in Europe. J. Hortic. Sci. Biotechnol. 2021, 96, 145–152. [Google Scholar] [CrossRef]
- Silva, P.N.d.L.; Lanna, N.d.B.L.; Cardoso, A.I.I. Doses De Bokashi Em Cobertura Na Produção De Beterraba. Rev. Agric. Neotrop. 2018, 5, 28–34. [Google Scholar] [CrossRef]
- Xavier, M.C.G.; Dos Santos, C.A.; Costa, E.S.P.; Do Carmo, M.G.F. Produtividade De Repolho Em Função De Doses De Bokashi. J. Neotrop. Agric. 2019, 6, 17–22. [Google Scholar] [CrossRef]
- Mareco, P.d.S.; Peniche, F.N.; Matheus, J.; Deretti, S.; Roveda, L.F.; Gomes-Figueiredo, J.A. Um mapeamento das pesquisas sobre microrganismos eficientes na agricultura. Obs. La. Econ. Latinoam. 2023, 21, 20072–20091. [Google Scholar] [CrossRef]
- Hata, F.T.; Sanches, I.A.; Poças, C.E.P.; Rabelo, M.C.; Gouveia, L.C.P.; Silveira, V.H.C.; Ventura, M.U. Iceberg Lettuce and Radicchio Chicory Organic Management of Amendment and Fertigation. Int. J. Plant Biol. 2022, 13, 419–425. [Google Scholar] [CrossRef]
- Abo-Sido, N.; Goss, J.; Griffith, A.; Klepac, V. Microbial transformation of traditional fermented fertilizer bokashi alters chemical composition and improves plant growth. BioRxiv 2021, 1–38. [Google Scholar] [CrossRef]
- Japan International Cooperation Agency (JICA). Soil Analysis Manual; Japan International Cooperation Agency: Tokyo, Japan, 2014.
- Pask, A.; Pietragalla, J.; Mullan, D. Physiological Breeding II: A Field Guide to Wheat Phenotyping; Cimmyt: Texcoco, México, 2012. [Google Scholar]
- Piper, C.S. Soil and Plant Analysis; Univ Adelaide Press: Adelaide, Australia, 1950. [Google Scholar]
- Wijayanto, T.; Zulfikar Tufaila, M.; Sarman, A.M.; Zamrun, M.F. Agricultural Wastes based-Organic Fertilizers (Bokashi) Improve the Growth and Yield of Soybean (Glycine max (L.) Merrill). Int. J. Agric. Sci. 2016, 1, 27–32. [Google Scholar]
- Pagliaccia, D.; Ortiz, M.; Rodriguez, M.V.; Abbott, S.; De Francesco, A.; Amador, M.; Lavagi, V.; Maki, B.; Hopkins, F.; Kaplan, J.; et al. Enhancing soil health and nutrient availability for Carrizo citrange (X Citroncirus sp.) through bokashi and biochar amendments: An exploration into indoor sustainable soil ecosystem management. Sci. Hortic. 2024, 326, 112661. [Google Scholar] [CrossRef]
- Pandit, N.R.; Schmidt, H.P.; Mulder, J.; Hale, S.E.; Husson, O.; Cornelissen, G. Nutrient effect of various composting methods with and without biochar on soil fertility and maize growth. Arch. Agron. Soil. Sci. 2020, 66, 250–265. [Google Scholar] [CrossRef]
- Agegnehu, G.; Nelson, P.N.; Bird, M.I. The effects of biochar, compost and their mixture and nitrogen fertilizer on yield and nitrogen use efficiency of barley grown on a Nitisol in the highlands of Ethiopia. Sci. Total Environ. 2016, 569–570, 869–879. [Google Scholar] [CrossRef] [PubMed]
- Andayani, S.; Hayat, E.S.; Mursalin, A. Effect of bokashi quail manure and rice husk biochar on soil pH and soybean plants growth. IOP Conf. Ser. Earth Environ. Sci. 2023, 1160, 012023. [Google Scholar] [CrossRef]
- Kammann, C.I.; Schmidt, H.-P.; Messerschmidt, N.; Linsel, S.; Steffens, D.; Müller, C.; Koyro, H.-W.; Conte, P.; Joseph, S. Plant growth improvement mediated by nitrate capture in co-composted biochar. Sci. Rep. 2015, 5, 11080. [Google Scholar] [CrossRef]
- Sales, B.K.; Bryla, D.R.; Trippe, K.M.; Weiland, J.E.; Scagel, C.F.; Strik, B.C.; Sullivan, D.M. Amending sandy soil with biochar promotes plant growth and root colonization by mycorrhizal fungi in highbush blueberry. HortScience 2020, 55, 353–361. [Google Scholar] [CrossRef]
- Schmidt, H.P.; Pandit, B.H.; Cornelissen, G.; Kammann, C.I. Biochar-Based Fertilization with Liquid Nutrient Enrichment: 21 Field Trials Covering 13 Crop Species in Nepal. Land Degrad. Dev. 2017, 28, 2324–2342. [Google Scholar] [CrossRef]
- Hagemann, N.; Joseph, S. Composting-derived organic coating on biochar enhances its affinity to nitrate. Geophys. Res. Abstr. EGU Gen. Assem. Environ. Anal. Austrian Coop. Res. 2017, 1910, 2017–10775. [Google Scholar]
- Obia, A.; Mulder, J.; Martinsen, V.; Cornelissen, G.; Børresen, T. In situ effects of biochar on aggregation, water retention and porosity in light-textured tropical soils. Soil. Tillage Res. 2016, 155, 35–44. [Google Scholar] [CrossRef]
- Cornelissen, G.; Martinsen, V.; Shitumbanuma, V.; Alling, V.; Breedveld, G.D.; Rutherford, D.W.; Sparrevik, M.; Hale, S.E.; Obia, A.; Mulder, J. Biochar effect on maize yield and soil characteristics in five conservation farming sites in Zambia. Agronomy 2013, 3, 256–274. [Google Scholar] [CrossRef]
- Khan, Z.; Khan, M.N.; Zhang, K.; Luo, T.; Zhu, K.; Hu, L. The application of biochar alleviated the adverse effects of drought on the growth, physiology, yield and quality of rapeseed through regulation of soil status and nutrients availability. Ind. Crops Prod. 2021, 171, 113878. [Google Scholar] [CrossRef]
- Acharya, N.; Vista, S.P.; Shrestha, S.; Neupane, N.; Pandit, N.R. Potential of Biochar-Based Organic Fertilizers on Increasing Soil Fertility, Available Nutrients, and Okra Productivity in Slightly Acidic Sandy Loam Soil. Nitrogen 2023, 4, 1–15. [Google Scholar] [CrossRef]
- Dahal, S.; Vista, S.P.; Khatri, M.; Pandit, N.R. Effect of biochar blended organic fertilizers on soil fertility, radish productivity and farm income in Nepal. Arch. Agric. Environ. Sci. 2021, 6, 416–425. [Google Scholar] [CrossRef]
- Pandit, N.R.; Mulder, J.; Hale, S.E.; Martinsen, V.; Schmidt, H.P.; Cornelissen, G. Biochar improves maize growth by alleviation of nutrient stress in a moderately acidic low-input Nepalese soil. Sci. Total Environ. 2018, 625, 1380–1389. [Google Scholar] [CrossRef] [PubMed]
- Lehmann, J.; Joseph, S. Biochar for Environmental Management: An Introduction; Routledge: London, UK, 2009. [Google Scholar] [CrossRef]
- Pohan, S.; Amrizal, A.; Masni, E.; Puspitasari, W.; Malau, N.; Pasaribu, R.; Siregar, R. The Use of Bokashi Compost as a Soil Fertility Amendment in Increasing Vegetative Growth of Organic Tomato (Lycopersicum esculentum Mill.). In Proceedings of the 5th Annual International Seminar on Trends in Science and Science Education, AISTSSE 2018, Medan, Indonesia, 18–19 October 2018; pp. 1–7. [Google Scholar] [CrossRef][Green Version]
- Zhang, Z.; Dong, X.; Wang, S.; Pu, X. Benefits of organic manure combined with biochar amendments to cotton root growth and yield under continuous cropping systems in Xinjiang, China. Sci. Rep. 2020, 10, 1–10. [Google Scholar] [CrossRef]
- Yan, P.-S.; Xu, H.-L. Influence of EM bokashi on nodulation, physiological characters and yield of peanut in nature farming fields. J. Sustain. Agric. 2002, 19, 105–112. [Google Scholar] [CrossRef]
- Glaser, B.; Lehmann, J.; Zech, W. Ameliorating physical and chemical properties of highly weathered soils in the tropics with charcoal—A review. Biol. Fertil. Soils 2002, 35, 219–230. [Google Scholar] [CrossRef]
- Fischer, B.M.C.; Manzoni, S.; Morillas, L.; Garcia, M.; Johnson, M.S.; Lyon, S.W. Improving agricultural water use efficiency with biochar—A synthesis of biochar effects on water storage and fluxes across scales. Sci. Total Environ. 2019, 657, 853–862. [Google Scholar] [CrossRef]
- van Zwieten, L.; Kimber, S.; Morris, S.; Chan, K.Y.; Downie, A.; Rust, J.; Joseph, S.; Cowie, A. Effects of biochar from slow pyrolysis of papermill waste on agronomic performance and soil fertility. Plant Soil. 2010, 327, 235–246. [Google Scholar] [CrossRef]
- Sharma, P.; Abrol, V.; Sharma, V.; Chaddha, S.; Rao, C.S.; Ganie, A.; Hefft, D.I.; El-Sheikh, M.A.; Mansoor, S. Effectiveness of biochar and compost on improving soil hydro-physical properties, crop yield and monetary returns in inceptisol subtropics. Saudi J. Biol. Sci. 2021, 28, 7539–7549. [Google Scholar] [CrossRef]
- Ebrahimi, M.; Souri, M.K.; Mousavi, A.; Sahebani, N. Biochar and vermicompost improve growth and physiological traits of eggplant (Solanum melongena L.) under deficit irrigation. Chem. Biol. Technol. Agric. 2021, 8, 1–14. [Google Scholar] [CrossRef]
- Dhakal, G.; Fujino, T.; Magar, S.T. Optimizing Nitrogen and Water Use Efficiency in Wheat Cropping Systems Through Integrated Application of Biochar and Bokashi Under Different Irrigation Regimes. Nitrogen 2025, 6, 21. [Google Scholar] [CrossRef]
- Basso, A.S.; Miguez, F.E.; Laird, D.A.; Horton, R.; Westgate, M. Assessing potential of biochar for increasing water-holding capacity of sandy soils. GCB Bioenergy 2013, 5, 132–143. [Google Scholar] [CrossRef]
- Mensah, A.K.; Frimpong, K.A. Biochar and/or Compost Applications Improve Soil Properties, Growth, and Yield of Maize Grown in Acidic Rainforest and Coastal Savannah Soils in Ghana. Int. J. Agron. 2018, 2018, 6837404. [Google Scholar] [CrossRef]
- Six, J.; Conant, R.T.; Paul, E.A.; Paustian, K. Stabilization mechanisms of soil organic matter: Implications for C-saturation of soils. Plant Soil. 2002, 241, 155–176. [Google Scholar] [CrossRef]
- Li, M.; Chen, C.; Zhang, H.; Wang, Z.; Song, N.; Li, J.; Liang, X.; Yi, K.; Gu, Y.; Guo, X. Effects of biochar amendment and organic fertilizer on microbial communities in the rhizosphere soil of wheat in Yellow River Delta saline-alkaline soil. Front. Microbiol. 2023, 14, 1250453. [Google Scholar] [CrossRef]
- Dodor, D.E.; Amanor, Y.J.; Attor, F.T.; Adjadeh, T.A.; Neina, D.; Miyittah, M. Co-application of biochar and cattle manure counteract positive priming of carbon mineralization in a sandy soil. Environ. Syst. Res. 2018, 7, 5. [Google Scholar] [CrossRef]
- Lasmini, S.A.; Nasir, B.; Hayati, N.; Edy, N. Improvement of soil quality using bokashi composting and NPK fertilizer to increase shallot yield on dry land. Aust. J. Crop Sci. 2018, 12, 1743–1749. [Google Scholar] [CrossRef]
- Yang, W.; Zhang, L.; Wang, Z.; Zhang, J.; Li, P.; Su, L. Effects of biochar and nitrogen fertilizer on microbial communities, CO2 emissions, and organic carbon content in soil. Sci. Rep. 2025, 15, 1–11. [Google Scholar]
- Yamada, K.; Xu, H.L. Properties and applications of an organic fertilizer inoculated with effective microorganisms. J. Crop Prod. 2000, 3, 255–268. [Google Scholar] [CrossRef]
- Ali, I.; Ullah, S.; He, L.; Zhao, Q.; Iqbal, A.; Wei, S.; Shah, T.; Ali, N.; Bo, Y.; Adnan, M.; et al. Combined application of biochar and nitrogen fertilizer improves rice yield, microbial activity and N-metabolism in a pot experiment. PeerJ 2020, 8, e10311. [Google Scholar] [CrossRef]
- Madhubala, S.; Yugenthar, M.; Bhat, M.A.; Singh, P.; Hassan, S.; Hussain, N. Utilizing Biochar for Nitrogen Management from Manures in Agriculture. Agric. Nutr. Pollut. Clim. Chang. 2025. [Google Scholar] [CrossRef]
- Wan, W.; Zhao, Y.; Li, X.; Xu, J.; Liu, K.; Guan, S.; Chai, Y.; Xu, H.; Cui, H.; Chen, X.; et al. A moderate reduction in irrigation and nitrogen improves water-nitrogen use efficiency, productivity, and profit under new type of drip irrigated spring wheat system. Front. Plant Sci. 2022, 13, 1005945. [Google Scholar] [CrossRef] [PubMed]
- Chen, R.; Senbayram, M.; Blagodatsky, S.; Myachina, O.; Dittert, K.; Lin, X.; Blagodatskaya, E.; Kuzyakov, Y. Soil C and N availability determine the priming effect: Microbial N mining and stoichiometric decomposition theories. Glob. Chang. Biol. 2014, 20, 2356–2367. [Google Scholar] [CrossRef] [PubMed]
- Agegnehu, G.; Bass, A.M.; Nelson, P.N.; Bird, M.I. Benefits of biochar, compost and biochar-compost for soil quality, maize yield and greenhouse gas emissions in a tropical agricultural soil. Sci. Total Environ. 2016, 543, 295–306. [Google Scholar] [CrossRef] [PubMed]



| Treatments | Irrigation Regime (%) | Bokashi Rate (t ha−1) | Biochar Rate (t ha−1) | Irrigation (% Field Capacity) |
|---|---|---|---|---|
| Control (C) | IR60 | 0 | 0 | 60 |
| IR50 | 0 | 0 | 50 | |
| IR30 | 0 | 0 | 30 | |
| Bokashi only (B0) | IR60 | 20 | 0 | 60 |
| IR50 | 20 | 0 | 50 | |
| IR30 | 20 | 0 | 30 | |
| Bokashi + 1% biochar (B1) | IR60 | 20 | 20 | 60 |
| IR50 | 20 | 20 | 50 | |
| IR30 | 20 | 20 | 30 | |
| Bokashi + 2% biochar (B2) | IR60 | 20 | 40 | 60 |
| IR50 | 20 | 40 | 50 | |
| IR30 | 20 | 40 | 30 |
| Treatment | Irrigation Regime (%) | HP (cm) | NFT (Nos.) | NS (Nos.) | LS (cm) | 1000 GW (g) | BY (g pot−1) | GY (g pot−1) |
|---|---|---|---|---|---|---|---|---|
| Control | IR60 | 33.8 ± 0.2 f | 5 ± 0 e | 5 ± 0 f | 4 ± 0 f | 22.1 ± 0.1 g | 29.62 ± 0.1 f | 6.8 ± 0 g |
| IR50 | 32.8 ± 0.1 f | 5 ± 0 e | 5 ± 0 f | 3.8 ± 0 fg | 21.4 ± 0.1 g | 25.7 ± 0.2 fg | 5 ± 0 gh | |
| IR30 | 24.3 ± 0.1 g | 5 ± 0 e | 5 ± 0 f | 3 ± 0 g | 19.4 ± 0.1 g | 20.84 ± 0.1 g | 3.5 ± 0 h | |
| Bokashi only | IR60 | 48.2 ± 0.2 d | 18 ± 0.6 cd | 12 ± 1.5 d | 6.1 ± 0.1 e | 32.1 ± 0.1 ef | 59.14 ± 0.1 cd | 17.1 ± 0.1 bc |
| IR50 | 43 ± 0.2 e | 15 ± 1 cd | 11 ± 0.6 de | 5.7 ± 0.4 e | 35.3 ± 0.2 e | 55.04 ± 0.1 d | 14.6 ± 0.1 de | |
| IR30 | 37 ± 0.2 f | 13 ± 1.2 d | 9 ± 0 e | 5.2 ± 0 e | 31.7 ± 0.1 f | 44.23 ± 0.1 e | 9.4 ± 0.1 f | |
| Bokashi + 1% biochar | IR60 | 69.6 ± 4 a | 28 ± 1.5 a | 23 ± 2 a | 12 ± 0.4 a | 53.1 ± 3.3 ab | 78.72 ± 1.9 a | 22.3 ± 0.5 a |
| IR50 | 67.8 ± 2.4 a | 19 ± 1.2 bc | 20 ± 0.6 b | 11.7 ± 0.6 a | 54.6 ± 1.1 a | 66.93 ± 6.4 bc | 18.4 ± 0.9 b | |
| IR30 | 54 ± 2.5 c | 18 ± 3.6 bc | 18 ± 0.6 bc | 9.1 ± 0.4 c | 43.5 ± 1.3 d | 68.59 ± 1 b | 15 ± 0.8 de | |
| Bokashi + 2% biochar | IR60 | 60.4 ± 0.3 b | 22.3 ± 1.5 b | 18 ± 1.7 bc | 10.7 ± 0.2 b | 48 ± 1.4 c | 70.4 ± 6.1 b | 18.6 ± 0.5 b |
| IR50 | 58.7 ± 1.1 bc | 19 ± 1.7 bc | 18 ± 0.6 bc | 10.5 ± 0.3 b | 49.9 ± 1.2 bc | 64.2 ± 1.4 bc | 15.7 ± 1.9 cd | |
| IR30 | 54.7 ± 1.2 c | 18 ± 1.2 cd | 15 ± 1.2 c | 7.5 ± 0.3 d | 43 ± 0.5 d | 59.87 ± 0.7 cd | 13.6 ± 0.2 e | |
| Treatment (T) | *** | *** | *** | *** | *** | *** | *** | |
| Irrigation regime (IR) | *** | *** | *** | *** | *** | *** | *** | |
| T × IR | *** | *** | ** | *** | *** | * | *** | |
| CV | 3.33 | 9.58 | 7.55 | 4.17 | 3.22 | 4.96 | 5.05 | |
| Root MSE | 1.62 | 1.47 | 1.00 | 0.31 | 1.22 | 2.66 | 0.67 | |
| Treatment | Irrigation Regime (%) | SOC (g kg−1) | pH | EC (dS m−1) | Total N (g kg−1) | Available N (mg kg−1) | Available P (mg kg−1) | Exchangable K (mg kg−1) |
|---|---|---|---|---|---|---|---|---|
| Control (C) | IR60 | 6.1 h | 5.82 d | 0.9 i | 1.30 i | 13.8 ± 0.3 ab | 18.1 ± 0.3 e | 40.6 ± 0.4 e |
| IR50 | 6 h | 5.82 d | 0.9 j | 1.33 h | 13.9 ± 0.6 ab | 19.6 ± 1 e | 40.6 ± 0.3 e | |
| IR30 | 5.7 i | 5.78 d | 0.8 k | 1.35 h | 15 ± 1.5 a | 19.8 ± 0.8 e | 43.1 ± 0.1 de | |
| Bokashi only (B0) | IR60 | 8.3 f | 6.02 abc | 1.3 g | 2.53 ef | 11.8 ± 0.5 b | 19.8 ± 2.1 e | 108.2 ± 0 bcde |
| IR50 | 8.5 e | 6.01 bc | 1.4 f | 2.55 e | 11.8 ± 0.7 b | 22 ± 2 de | 89.7 ± 0.2 cde | |
| IR30 | 7.4 g | 5.98 c | 1.2 h | 2.48 g | 13.7 ± 1 ab | 23.9 ± 0.8 d | 117.2 ± 1.1 bcd | |
| Bokashi + 1% biochar (B1) | IR60 | 9.7 bc | 6.11 ab | 1.9 c | 2.58 cd | 8.6 ± 0.9 cd | 29.3 ± 0.1 c | 135.4 ± 35.8 bc |
| IR50 | 10.8 a | 6.09 abc | 1.8 d | 2.60 bc | 8.6 ± 0.2 cd | 32.1 ± 1.5 bc | 138.2 ± 28.9 bc | |
| IR30 | 8.1 f | 6.04 abc | 1.7 e | 2.52 f | 9 ± 0.9 c | 25.3 ± 2.7 d | 170.4 ± 45 ab | |
| Bokashi + 2% biochar (B2) | IR60 | 9.8 b | 6.13 a | 2.2 a | 2.62 b | 5.9 ± 0.4 e | 35.2 ± 0.4 ab | 154 ± 6.1 abc |
| IR50 | 9.6 cd | 6.11 ab | 1.9 c | 2.68 a | 6 ± 0.7 e | 38 ± 0.2 a | 160.4 ± 18.6 abc | |
| IR30 | 9.4 d | 6.05 abc | 2 b | 2.56 de | 6.5 ± 0.2 de | 30.6 ± 1 c | 216.1 ± 56 a | |
| Treatment (T) | *** | *** | *** | *** | *** | *** | *** | |
| Irrigation regime (IR) | *** | ** | *** | *** | ** | *** | * | |
| T × IR | *** | ns | *** | *** | ns | *** | ns | |
| CV | 0.77 | 0.48 | 0.19 | 0.43 | 7.20 | 5.14 | 21.44 | |
| Root MSE | 0.06 | 0.04 | 0.00 | 0.01 | 0.75 | 1.34 | 25.26 | |
Disclaimer/Publisher’s Note: The statements, opinions and data contained in all publications are solely those of the individual author(s) and contributor(s) and not of MDPI and/or the editor(s). MDPI and/or the editor(s) disclaim responsibility for any injury to people or property resulting from any ideas, methods, instructions or products referred to in the content. |
© 2025 by the authors. Licensee MDPI, Basel, Switzerland. This article is an open access article distributed under the terms and conditions of the Creative Commons Attribution (CC BY) license (https://creativecommons.org/licenses/by/4.0/).
Share and Cite
Dhakal, G.; Fujino, T.; Magar, S.T.; Araki, Y. Co-Application of Bokashi and Biochar Alleviates Water Stress, Improves Soil Fertility and Enhances Wheat Production Under Water-Deficit Conditions. Soil Syst. 2025, 9, 33. https://doi.org/10.3390/soilsystems9020033
Dhakal G, Fujino T, Magar ST, Araki Y. Co-Application of Bokashi and Biochar Alleviates Water Stress, Improves Soil Fertility and Enhances Wheat Production Under Water-Deficit Conditions. Soil Systems. 2025; 9(2):33. https://doi.org/10.3390/soilsystems9020033
Chicago/Turabian StyleDhakal, Gyanendra, Takeshi Fujino, Srijana Thapa Magar, and Yuji Araki. 2025. "Co-Application of Bokashi and Biochar Alleviates Water Stress, Improves Soil Fertility and Enhances Wheat Production Under Water-Deficit Conditions" Soil Systems 9, no. 2: 33. https://doi.org/10.3390/soilsystems9020033
APA StyleDhakal, G., Fujino, T., Magar, S. T., & Araki, Y. (2025). Co-Application of Bokashi and Biochar Alleviates Water Stress, Improves Soil Fertility and Enhances Wheat Production Under Water-Deficit Conditions. Soil Systems, 9(2), 33. https://doi.org/10.3390/soilsystems9020033

