A New Look at b → s Observables in 331 Models
Abstract
1. Introduction
2. The 331 Models
- Five new gauge bosons are introduced.
- Left-handed fermions can transform according to the fundamental or the conjugate representation of , i.e., as triplets or antitriplets. New heavy fermions can also be present. Right-handed fermions are singlets as in SM. This model can answer the conceptual question of why the number of fermion generations is three. Indeed, requiring that gauge anomalies cancel and that asymptotic freedom occurs in QCD constrains the number of generations to be equal to the number of colours. However, this holds provided that quark generations transform differently under . It is usually assumed that the the first two quark generations transform as triplets, while the third generation and the leptons transform as antitriplets. Another possibility is obtained reversing the role of triplets and antitriplets.
- The Higgs sector is extended, and consists of three triplets and one sextet.
- The electric charge operator is defined aswith and the diagonal generators and the generator.
3. Constraining the 331 Parameters Independently of the Variant
- Requiring that the four new gauge bosons that are introduced together with have integer electric charges constrains the values of to be a multiple of or ;
- Equation (13) provides the boundwhich corresponds to when .
4. FCNC Processes: Effective Hamiltonian in SM and 331 Models
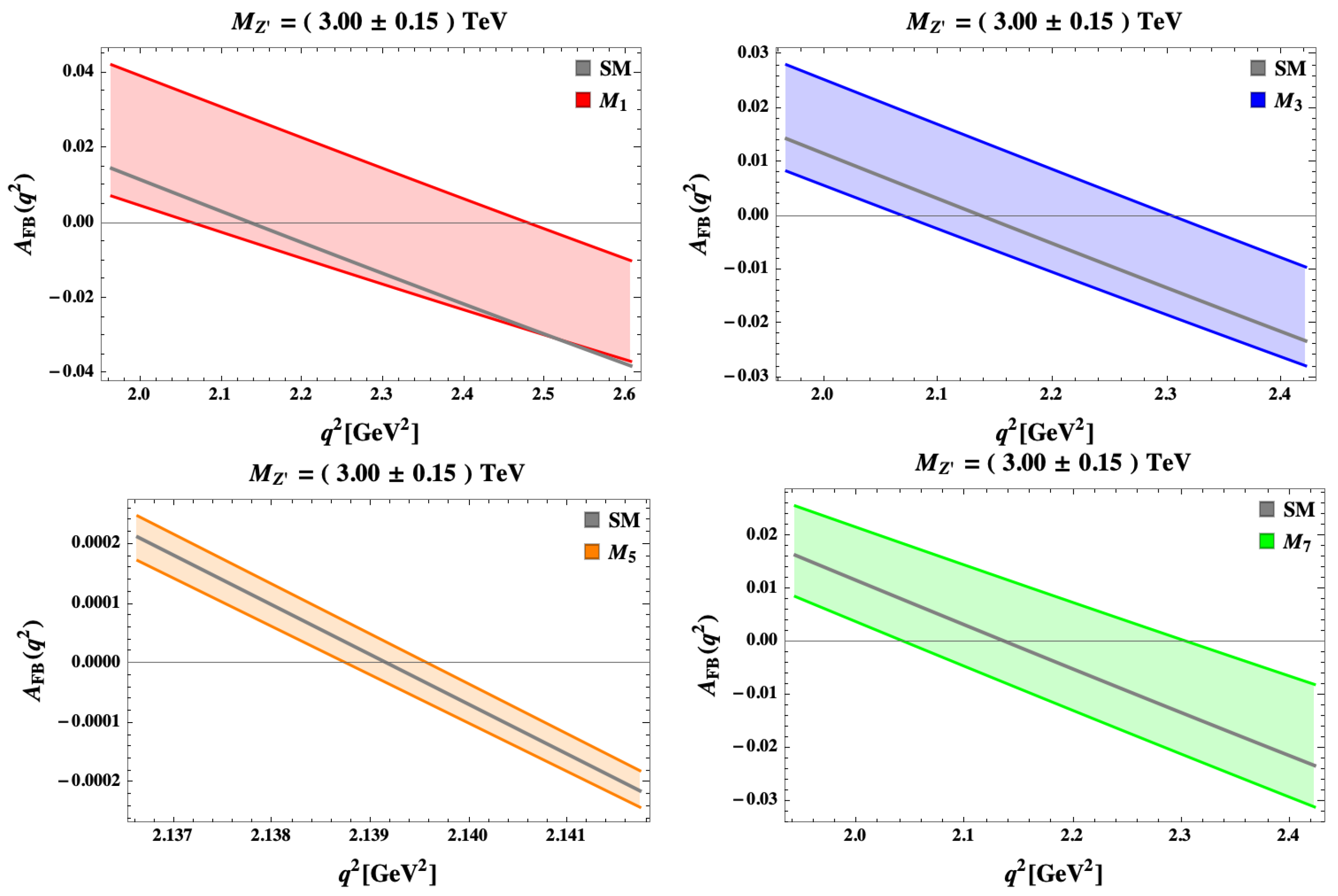
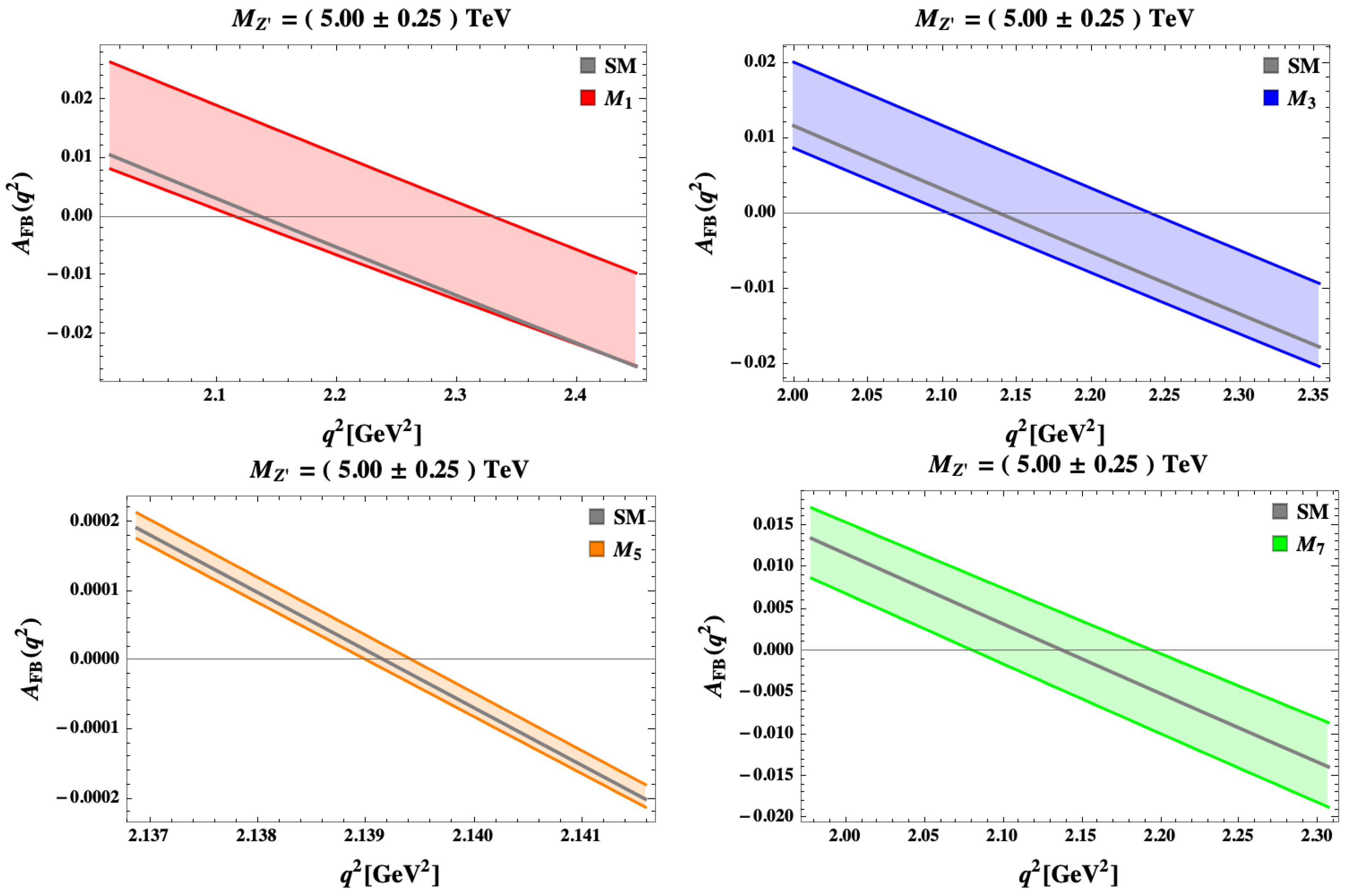
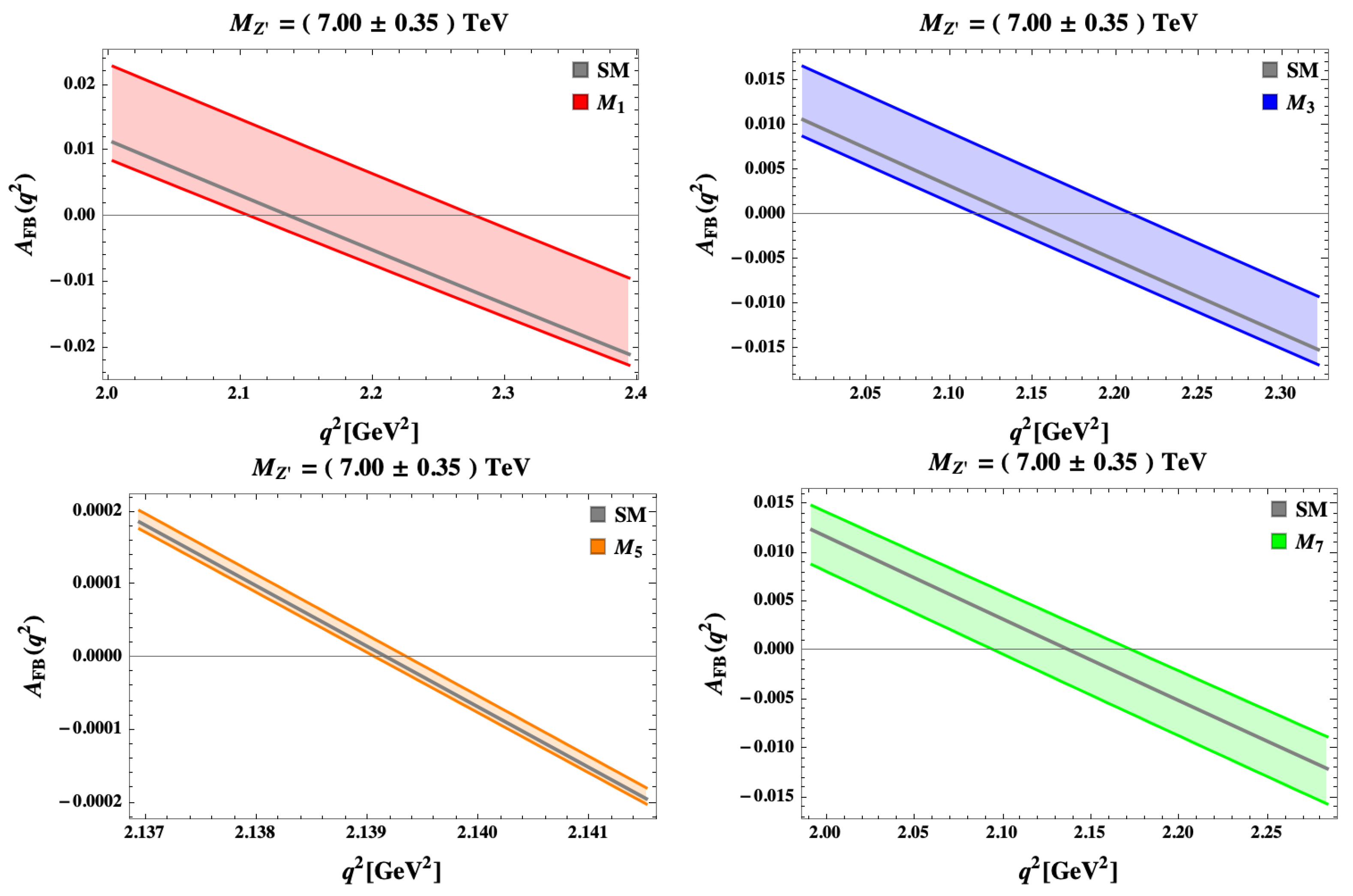
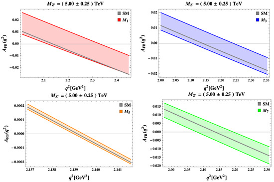
5. The 331 Models Facing New Data on Selected Observables in Processes
5.1.
5.2.
6. Conclusions
Funding
Data Availability Statement
Acknowledgments
Conflicts of Interest
Appendix A. Form Factor Parametrization
References
- Amhis, Y.; Banerjee, S.; Ben-Haim, E.; Bertholet, E.; Bernlochner, F.U.; Bona, M.; Bozek, A.; Bozzi, C.; Brodzicka, J.; Chobanova, V.; et al. Averages of b-hadron, c-hadron, and τ-lepton properties as of 2021. Phys. Rev. D 2023, 107, 052008. [Google Scholar] [CrossRef]
- Pisano, F.; Pleitez, V. An SU(3) ⊗ U(1) model for electroweak interactions. Phys. Rev. D 1992, 46, 410–441. [Google Scholar] [CrossRef] [PubMed]
- Frampton, P.H. Chiral dilepton model and the flavor question. Phys. Rev. Lett. 1992, 69, 2889–2891. [Google Scholar] [CrossRef]
- Buras, A.J.; De Fazio, F.; Girrbach, J.; Carlucci, M.V. The Anatomy of Quark Flavour Observables in 331 Models in the Flavour Precision Era. J. High Energy Phys. 2013, 02, 023. [Google Scholar] [CrossRef]
- Buras, A.J.; De Fazio, F.; Girrbach, J. 331 models facing new b → sμ+μ− data. J. High Energy Phys. 2014, 02, 112. [Google Scholar] [CrossRef]
- Buras, A.J.; De Fazio, F.; Girrbach-Noe, J. Z-Z′ mixing and Z-mediated FCNCs in SU(3)C × SU(3)L × U(1)X models. J. High Energy Phys. 2014, 08, 039. [Google Scholar] [CrossRef]
- Buras, A.J.; De Fazio, F. ε′/ε in 331 Models. J. High Energy Phys. 2016, 03, 010. [Google Scholar] [CrossRef]
- Buras, A.J.; De Fazio, F. 331 Models Facing the Tensions in ΔF = 2 Processes with the Impact on ε′/ε, Bs → μ+μ− and B → K*μ+μ−. J. High Energy Phys. 2016, 08, 115. [Google Scholar] [CrossRef]
- Buras, A.J.; De Fazio, F. 331 model predictions for rare B and K decays, and ΔF = 2 processes: An update. J. High Energy Phys. 2023, 03, 219. [Google Scholar] [CrossRef]
- Colangelo, P.; De Fazio, F.; Loparco, F. c → uν transitions of Bc mesons: 331 model facing Standard Model null tests. Phys. Rev. D 2021, 104, 115024. [Google Scholar] [CrossRef]
- Buras, A.J.; Colangelo, P.; De Fazio, F.; Loparco, F. The charm of 331. J. High Energy Phys. 2021, 10, 021. [Google Scholar] [CrossRef]
- Oliveira, V.; Pires, C.A.d.S. Flavor changing neutral current processes and family discrimination in 3-3-1 models. J. Phys. G 2023, 50, 115002. [Google Scholar] [CrossRef]
- Oliveira, V.; Pires, C.A.d. Bounds on quark mixing, MZ′ and Z-Z′ mixing angle from flavor changing neutral processes in a 3-3-1 model. Phys. Lett. B 2023, 846, 138216. [Google Scholar] [CrossRef]
- Singer, M.; Valle, J.W.F.; Schechter, J. Canonical Neutral Current Predictions From the Weak Electromagnetic Gauge Group SU(3) × U(1). Phys. Rev. D 1980, 22, 738. [Google Scholar] [CrossRef]
- Blanke, M.; Buras, A.J.; Poschenrieder, A.; Tarantino, C.; Uhlig, S.; Weiler, A. Particle-Antiparticle Mixing, ϵK, ΔΓq, , ACP(Bd → ψKS), ACP(Bs → ψϕ) and B → Xs,dγ in the Littlest Higgs Model with T-Parity. J. High Energy Phys. 2006, 12, 003. [Google Scholar]
- Herrlich, S.; Nierste, U. Enhancement of the KL − KS mass difference by short distance QCD corrections beyond leading logarithms. Nucl. Phys. B 1994, 419, 292–322. [Google Scholar] [CrossRef]
- Herrlich, S.; Nierste, U. Indirect CP violation in the neutral kaon system beyond leading logarithms. Phys. Rev. D 1995, 52, 6505–6518. [Google Scholar] [CrossRef]
- Herrlich, S.; Nierste, U. The Complete |ΔS| = 2—Hamiltonian in the next-to-leading order. Nucl. Phys. B 1996, 476, 27–88. [Google Scholar] [CrossRef]
- Buras, A.J.; Jamin, M.; Weisz, P.H. Leading and Next-to-leading QCD Corrections to ϵ Parameter and B0 − Mixing in the Presence of a Heavy Top Quark. Nucl. Phys. B 1990, 347, 491–536. [Google Scholar] [CrossRef]
- Urban, J.; Krauss, F.; Jentschura, U.; Soff, G. Next-to-leading order QCD corrections for the B0 − B0 mixing with an extended Higgs sector. Nucl. Phys. B 1998, 523, 40–58. [Google Scholar] [CrossRef]
- Brod, J.; Gorbahn, M. Next-to-Next-to-Leading-Order Charm-Quark Contribution to the CP Violation Parameter ϵK and ΔMK. Phys. Rev. Lett. 2012, 108, 121801. [Google Scholar] [CrossRef] [PubMed]
- Buras, A.J.; Girrbach, J. Complete NLO QCD Corrections for Tree Level ΔF = 2 FCNC Processes. J. High Energy Phys. 2012, 03, 052. [Google Scholar] [CrossRef]
- Buras, A.J.; Guadagnoli, D. Correlations among new CP violating effects in ΔF = 2 observables. Phys. Rev. D 2008, 78, 033005. [Google Scholar] [CrossRef]
- Buras, A.J.; Guadagnoli, D.; Isidori, G. On ϵK Beyond Lowest Order in the Operator Product Expansion. Phys. Lett. B 2010, 688, 309–313. [Google Scholar] [CrossRef]
- Baudis, L.; Zyla, P.A.; Barnett, R.M.; Beringer, J.; Dahl, O.; Dwyer, D.A.; Groom, D.E.; Lin, C.J.; Lugovsky, K.S.; Pianori, E.; et al. Review of Particle Physics. Prog. Theor. Exp. Phys. 2020, 2020, 083C01. [Google Scholar]
- Chetyrkin, K.G.; Kuhn, J.H.; Maier, A.; Maierhofer, P.; Marquard, P.; Steinhauser, M.; Sturm, C. Addendum to “Charm and bottom quark masses: An update”. arXiv 2017, arXiv:1710.04249. Addendum in Phys. Rev. D 2017, 96, 116007. [Google Scholar] [CrossRef]
- Chetyrkin, K.G.; Kuhn, J.H.; Maier, A.; Maierhofer, P.; Marquard, P.; Steinhauser, M.; Sturm, C. Charm and Bottom Quark Masses: An Update. Phys. Rev. D 2009, 80, 074010. [Google Scholar] [CrossRef]
- Brod, J.; Gorbahn, M.; Stamou, E. Updated Standard Model Prediction for K → πν and ϵK. arXiv 2021, arXiv:2105.02868. [Google Scholar]
- Aoki, S.; Aoki, Y.; Bečirević, D.; Blum, T.; Colangelo, G.; Collins, S.; Della Morte, M.; Dimopoulos, P.; Dürr, S.; Fukaya, H.; et al. FLAG Review 2019: Flavour Lattice Averaging Group (FLAG). Eur. Phys. J. C 2020, 80, 113. [Google Scholar] [CrossRef]
- Heavy Flavor Averaging Group (HFLAV); Amhis, Y.; Banerjee, S.; Ben-Haim, E.; Bernlochner, F.; Bozek, A.; Bozzi, C.; Chrząszcz, M.; Dingfelder, J.; Duell, S.; et al. Averages of b-hadron, c-hadron, and τ-lepton properties as of summer 2016. Eur. Phys. J. C 2017, 77, 895. [Google Scholar] [CrossRef]
- Aoki, Y.; Blum, T.; Colangelo, G.; Collins, S.; Morte, M.D.; Dimopoulos, P.; Dürr, S.; Feng, X.; Fukaya, H.; Golterman, M.; et al. FLAG Review 2021. Eur. Phys. J. C 2022, 82, 869. [Google Scholar] [CrossRef]
- Dowdall, R.J.; Davies, C.T.H.; Horgan, R.R.; Lepage, G.P.; Monahan, C.J.; Shigemitsu, J.; Wingate, M. Neutral B-meson mixing from full lattice QCD at the physical point. Phys. Rev. D 2019, 100, 094508. [Google Scholar] [CrossRef]
- Buras, A. Gauge Theory of Weak Decays; Cambridge University Press: Cambridge, UK, 2020. [Google Scholar]
- Buras, A.J. Weak Hamiltonian, CP violation and rare decays. In Proceedings of the Les Houches Summer School in Theoretical Physics, Session 68: Probing the Standard Model of Particle Interactions, Les Houches, France, 28 July–5 September 1997; Volume 6, pp. 281–539. [Google Scholar]
- Aaij, R.; Abdelmotteleb, A.S.W.; Beteta, C.A.; Abudinén, F.; Ackernley, T.; Adeva, B.; Adinolfi, M.; Adlarson, P.; Agapopoulou, C.; Aidala, C.A.; et al. Determination of short- and long-distance contributions in B0 → K*0μ+μ− decays. arXiv 2023, arXiv:2312.09102. [Google Scholar]
- Altmannshofer, W.; Ball, P.; Bharucha, A.; Buras, A.J.; Straub, D.M.; Wick, M. Symmetries and Asymmetries of B → K*μ+μ− Decays in the Standard Model and Beyond. J. High Energy Phys. 2009, 01, 019. [Google Scholar] [CrossRef]
- Beneke, M.; Feldmann, T. Symmetry breaking corrections to heavy to light B meson form-factors at large recoil. Nucl. Phys. 2001, B592, 3–34. [Google Scholar] [CrossRef]
- Ball, P.; Zwicky, R. Bd,s → ρ, ω, K*, ϕ decay form-factors from light-cone sum rules revisited. Phys. Rev. 2005, D71, 014029. [Google Scholar]
- Bečirević, D.; Piazza, G.; Sumensari, O. Revisiting B → K(*)ν decays in the Standard Model and beyond. Eur. Phys. J. C 2023, 83, 252. [Google Scholar] [CrossRef]
- Colangelo, P.; De Fazio, F.; Santorelli, P.; Scrimieri, E. Rare B → K(*) neutrino anti-neutrino decays at B factories. Phys. Lett. B 1997, 395, 339–344. [Google Scholar] [CrossRef]
- Buras, A.J.; Girrbach-Noe, J.; Niehoff, C.; Straub, D.M. B → K(*)ν decays in the Standard Model and beyond. J. High Energy Phys. 2015, 02, 184. [Google Scholar] [CrossRef]
- Altmannshofer, W.; Buras, A.J.; Straub, D.M.; Wick, M. New strategies for New Physics search in B → K*ν, B → Kν and B → Xsν decays. J. High Energy Phys. 2009, 04, 022. [Google Scholar] [CrossRef]
- Blake, T.; Lanfranchi, G.; Straub, D.M. Rare B Decays as Tests of the Standard Model. Prog. Part. Nucl. Phys. 2017, 92, 50–91. [Google Scholar] [CrossRef]
- Parrott, W.G.; Bouchard, C.; Davies, C.T.H.; Hpqcd Collaboration. Standard Model predictions for B → Kℓ+ℓ−, B → K and B → Kν using form factors from Nf = 2 + 1 + 1 lattice QCD. Phys. Rev. D 2023, 107, 014511. [Google Scholar] [CrossRef]
- Adachi, I.; Adamczyk, K.; Aggarwal, L.; Ahmed, H.; Aihara, H.; Akopov, N.; Aloisio, A.; Ky, N.A.; Asner, D.M.; Atmacan, H.; et al. Evidence for B+ → K+ν Decays. arXiv 2023, arXiv:2311.14647. [Google Scholar]
- Bause, R.; Gisbert, H.; Hiller, G. Implications of an enhanced B → Kν branching ratio. arXiv 2023, arXiv:2309.00075. [Google Scholar] [CrossRef]
- Allwicher, L.; Becirevic, D.; Piazza, G.; Rosauro-Alcaraz, S.; Sumensari, O. Understanding the first measurement of B(B → Kν). Phys. Lett. B 2024, 848, 138411. [Google Scholar] [CrossRef]
- He, X.-G.; Ma, X.-D.; Valencia, G. Revisiting models that enhance B+ → K+ν in light of the new Belle II measurement. arXiv 2023, arXiv:2309.12741. [Google Scholar]
- Berezhnoy, A.; Melikhov, D. B → K*MX vs B → KMX as a probe of a scalar-mediator dark matter scenario. arXiv 2023, arXiv:2309.17191. [Google Scholar]
- Datta, A.; Marfatia, D.; Mukherjee, L. B → Kν, MiniBooNE and muon g-2 anomalies from a dark sector. arXiv 2023, arXiv:2310.15136. [Google Scholar] [CrossRef]
- McKeen, D.; Ng, J.N.; Tuckler, D. Higgs Portal Interpretation of the Belle II B+ → K+νν Measurement. arXiv 2023, arXiv:2312.00982. [Google Scholar]
- Fridell, K.; Ghosh, M.; Okui, T.; Tobioka, K. Decoding the B → Kνν excess at Belle II: Kinematics, operators, and masses. arXiv 2023, arXiv:2312.12507. [Google Scholar]








| SM Parameters | |||
|---|---|---|---|
| [25] | [26] | ||
| [25] | [25,27] | ||
| [25] | [28] | ||
| [25] | |||
| [25] | |||
| Meson | |||
| [25] | [25] | ||
| [25] | [25] | ||
| [25] | [29] | ||
| [25] | [29] | ||
| [25] | |||
| Meson | |||
| [25] | [25] | ||
| [30] | [25] | ||
| [31] | |||
| [32] | |||
| [32] | |||
| Meson | |||
| [25] | [25] | ||
| [30] | [29] | ||
| [31] | |||
| [32] | |||
| [32] | |||
| CKM Parameters | |||
| [25] | |||
| [25] | |||
| [25] | |||
| [25] | |||
| (TeV) | |||
|---|---|---|---|
Disclaimer/Publisher’s Note: The statements, opinions and data contained in all publications are solely those of the individual author(s) and contributor(s) and not of MDPI and/or the editor(s). MDPI and/or the editor(s) disclaim responsibility for any injury to people or property resulting from any ideas, methods, instructions or products referred to in the content. |
© 2024 by the author. Licensee MDPI, Basel, Switzerland. This article is an open access article distributed under the terms and conditions of the Creative Commons Attribution (CC BY) license (https://creativecommons.org/licenses/by/4.0/).
Share and Cite
Loparco, F. A New Look at b → s Observables in 331 Models. Particles 2024, 7, 161-178. https://doi.org/10.3390/particles7010009
Loparco F. A New Look at b → s Observables in 331 Models. Particles. 2024; 7(1):161-178. https://doi.org/10.3390/particles7010009
Chicago/Turabian StyleLoparco, Francesco. 2024. "A New Look at b → s Observables in 331 Models" Particles 7, no. 1: 161-178. https://doi.org/10.3390/particles7010009
APA StyleLoparco, F. (2024). A New Look at b → s Observables in 331 Models. Particles, 7(1), 161-178. https://doi.org/10.3390/particles7010009

