Study on Lateral Vibration of Tail Coach for High-Speed Train under Unsteady Aerodynamic Loads
Abstract
:1. Introduction
2. Computational Model
2.1. Aerodynamic Model of three-Car Formation Train
2.2. Multibody Dynamics Model of Eight-Car Train
3. Simulation Method Validation
4. Results and Discussion
4.1. Research on Steady and Unsteady Aerodynamic Characteristics of HST
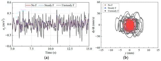
4.2. Research on the Stability of the Trailing Car under Aerodynamics Influences
5. Conclusions
- (1)
- Aerodynamic loads generated during HST operation exhibit strong, unsteady characteristics. The oscillation amplitude and frequency of aerodynamic loads directly impact the vehicle’s dynamic performance. It was discovered that using only steady aerodynamic loads cannot accurately capture the three-dimensional flow field around the train;
- (2)
- The effect of steady aerodynamic loads on the dynamic performance of the train is minimal. Under unsteady conditions, however, the lateral Sperling index and the accelerations in the rear end of the TC considerably rise in value; this causes severe excessive lateral vibrations in the TC, particularly in cases of low wheel-rail equivalent conicity, and may result in a lateral stability index that exceeds the prescribed level;
- (3)
- The oscillation amplitude and frequency of unsteady aerodynamic loads are the direct cause of the deterioration of vehicle lateral stability. The larger the amplitude, the greater the lateral vibration displacement and acceleration of the carbody caused by the coupling resonance; this is also an important factor causing the train “tail swing” phenomenon.
Author Contributions
Funding
Data Availability Statement
Acknowledgments
Conflicts of Interest
References
- Tian, H.; Huang, S.; Yang, M. Flow structure around high-speed train in open air. J. Cent. South Univ. 2015, 22, 747–752. [Google Scholar] [CrossRef]
- Ďungel, J.; Grenčík, J.; Zvolenský, P. Emission of Structural Noise of Tank Wagons Due to Induced Vibrations during Wagon Operation. Vibration 2022, 5, 628–640. [Google Scholar] [CrossRef]
- Ding, S.; Chen, D.; Liu, J. Research, development and prospect of China high-speed train. Chin. J. Theor. Appl. Mech. 2021, 53, 35–50. [Google Scholar]
- Tian, H. Research progress and development thinking of China’s high-speed rail transit aerodynamics. China Eng. Sci. 2015, 17, 30–41. [Google Scholar]
- Hemida, H.; Krajnović, S. Exploring flow structures around a simplified ICE2 train subjected to a 30 side wind using LES. Eng. Appl. Comput. Fluid Mech. 2009, 3, 28–41. [Google Scholar] [CrossRef]
- Diedrichs, B.; Krajnović, S.; Berg, M. On the aerodynamics of car body vibrations of high-speed trains cruising inside tunnels. Eng. Appl. Comput. Fluid Mech. 2008, 2, 51–75. [Google Scholar] [CrossRef]
- Jeon, C.; Kim, Y.; Park, J.; Kim, S.; Park, T. A study on the dynamic behavior of the Korean next-generation high-speed train. Proc. Inst. Mech. Eng. Part F J. Rail Rapid Transit 2016, 230, 1053–1065. [Google Scholar] [CrossRef]
- Gao, Z.; Tian, B.; Wu, D.; Chang, Y. Study on semi-active control of running stability in the high-speed train under unsteady aerodynamic loads and track excitation. Veh. Syst. Dyn. 2021, 59, 101–114. [Google Scholar] [CrossRef]
- Yao, Y.; Xu, Z.; Song, Y.; Shen, L.; Li, C. Mechanism of train tail lateral sway of EMUs in tunnel based on vortex-induced vibration. J. Traffic Transp. Eng. 2021, 21, 114–124. [Google Scholar]
- Liu, D.; Liang, X.; Wang, J.; Zhong, M.; Lu, Z.; Ding, H.; Li, X. Effect of car-body lower-center rolling on aerodynamic performance of a high-speed train. J. Cent. South Univ. 2022, 29, 2820–2836. [Google Scholar] [CrossRef]
- Liu, D.; Li, T.; Meng, S.; Lu, Z.; Zhong, M. Investigating the car-body vibration of high-speed trains under different operating conditions with full-scale tests. Veh. Syst. Dyn. 2022, 60, 633–652. [Google Scholar] [CrossRef]
- Ji, Z.; Liu, W.; Guo, D.; Yang, G.; Mao, J. Analysis of the Fluid–Structure Coupling Characteristics of a High-Speed Train Passing through a Tunnel. Int. J. Struct. Stab. Dyn. 2022, 22, 2250185. [Google Scholar] [CrossRef]
- Wang, J.; Ling, L.; Ding, X.; Wang, K.; Zhai, W. The influence of aerodynamic loads on carbody low-frequency hunting of high-speed trains. Int. J. Struct. Stab. Dyn. 2022, 22, 2250145. [Google Scholar] [CrossRef]
- Dumitriu, M.; Apostol, I.; Stănică, D. Influence of the Suspension Model in the Simulation of the Vertical Vibration Behavior of the Railway Vehicle Car Body. Vibration 2023, 6, 512–535. [Google Scholar] [CrossRef]
- Li, T.; Liang, H.; Zhang, J.; Zhang, J. Numerical study on aerodynamic resistance reduction of high-speed train using vortex generator. Eng. Appl. Comput. Fluid Mech. 2023, 17, e2153925. [Google Scholar] [CrossRef]
- Li, Y.; Li, T.; Zhang, J. Effect of aerodynamic braking plates installed in Inter-car gap on aerodynamic characteristics of high-speed train. Alex. Eng. J. 2023, 71, 209–225. [Google Scholar] [CrossRef]
- Wang, J.; Minelli, G.; Dong, T.; He, K.; Krajnović, S. Impact of the bogies and cavities on the aerodynamic behaviour of a high-speed train. An IDDES study. J. Wind. Eng. Ind. Aerodyn. 2020, 207, 104406. [Google Scholar] [CrossRef]
- Li, T.; Qin, D.; Zhang, J. Effect of RANS turbulence model on aerodynamic behavior of trains in crosswind. Chin. J. Mech. Eng. 2019, 32, 85. [Google Scholar] [CrossRef]
- Xia, C.; Wang, H.; Shan, X.; Yang, Z.; Li, Q. Effects of ground configurations on the slipstream and near wake of a high-speed train. J. Wind. Eng. Ind. Aerodyn. 2017, 168, 177–189. [Google Scholar] [CrossRef]
- Shi, H.; Luo, R.; Zeng, J. Review on domestic and foreign dynamics evaluation criteria of high-speed train. J. Traffic Transp. Eng. 2021, 21, 36–58. [Google Scholar]










| Force | Grids | HC | Error | MC | Error | TC | Error | Total | Error |
|---|---|---|---|---|---|---|---|---|---|
| Drag | Coarse | 0.112 | 1.75% | 0.070 | 0.00% | 0.113 | 0.88% | 0.295 | 1.01% |
| Medium | 0.114 | — | 0.070 | — | 0.114 | — | 0.298 | — | |
| Fine | 0.113 | 0.88% | 0.069 | 1.43% | 0.113 | 0.88% | 0.295 | 1.01% | |
| Lift | Coarse | −0.026 | 3.70% | 0.000 | 0.00% | 0.090 | 3.45% | — | — |
| Medium | −0.027 | — | 0.000 | — | 0.087 | — | — | — | |
| Fine | −0.028 | 3.70% | 0.000 | 0.00% | 0.088 | 1.15% | — | — |
| Cd | Cs | Cl | Cmx | Cmy | Cmz | |
|---|---|---|---|---|---|---|
| TC | 0.129 | 0.024 | 0.062 | 0.004 | 0.136 | 0.062 |
Disclaimer/Publisher’s Note: The statements, opinions and data contained in all publications are solely those of the individual author(s) and contributor(s) and not of MDPI and/or the editor(s). MDPI and/or the editor(s) disclaim responsibility for any injury to people or property resulting from any ideas, methods, instructions or products referred to in the content. |
© 2023 by the authors. Licensee MDPI, Basel, Switzerland. This article is an open access article distributed under the terms and conditions of the Creative Commons Attribution (CC BY) license (https://creativecommons.org/licenses/by/4.0/).
Share and Cite
Li, T.; Li, Y.; Wei, L.; Zhang, J. Study on Lateral Vibration of Tail Coach for High-Speed Train under Unsteady Aerodynamic Loads. Vibration 2023, 6, 1048-1059. https://doi.org/10.3390/vibration6040061
Li T, Li Y, Wei L, Zhang J. Study on Lateral Vibration of Tail Coach for High-Speed Train under Unsteady Aerodynamic Loads. Vibration. 2023; 6(4):1048-1059. https://doi.org/10.3390/vibration6040061
Chicago/Turabian StyleLi, Tian, Yifan Li, Lai Wei, and Jiye Zhang. 2023. "Study on Lateral Vibration of Tail Coach for High-Speed Train under Unsteady Aerodynamic Loads" Vibration 6, no. 4: 1048-1059. https://doi.org/10.3390/vibration6040061
APA StyleLi, T., Li, Y., Wei, L., & Zhang, J. (2023). Study on Lateral Vibration of Tail Coach for High-Speed Train under Unsteady Aerodynamic Loads. Vibration, 6(4), 1048-1059. https://doi.org/10.3390/vibration6040061

