Sensitivity of the Vertical Response of Footbridges to the Frequency Variability of Crossing Pedestrians
Abstract
1. Introduction
1.1. Motivation
1.2. Considerations on Walking Modelling and Structural Response
1.3. State of the Art
1.3.1. Walking Load Modelling
1.3.2. Walking Speed
1.3.3. Sensitivity Analysis
1.4. Aim
2. Previous Study
2.1. Experiments
2.2. Statistical Model
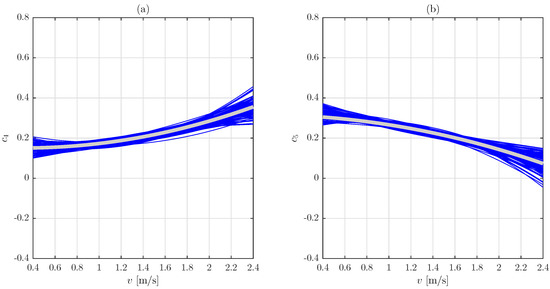
3. Enhanced Model
4. Procedure for Generating Step Interval Sequences
- Input data: mean, , and standard deviation, , of the walking speed and number of steps, N.
- Obtain the walking speed, v, by sampling from the distribution .
- Sample and from a binormal distribution with mean and covariance matrices of the Equation (5).
- Compute the average step interval through equation .
- Obtain the normalized asymmetry parameter, , from the Beta distribution: B(2.67, 149.10).
- Calculate the asymmetry parameter .
- Compute the autoregressive parameters, and , through Equations (18).
- If or or , go to 7; otherwise continue.
- Sample parameter from the distribution B(14.15, 561.19).
- Compute the standard deviation of disturbances, .
- Obtain the disturbances, , by sampling from a normal distribution with zero mean and standard deviation , .
- Calculate the step interval deviations and .
- Generate the step interval sequence .
5. Parametric Analysis
5.1. Footbridge Models
5.2. Walking Loads
5.3. Walking Speed
5.4. Walking Frequency
5.5. Computation and Characterization of Responses
5.6. Campaign of Simulations
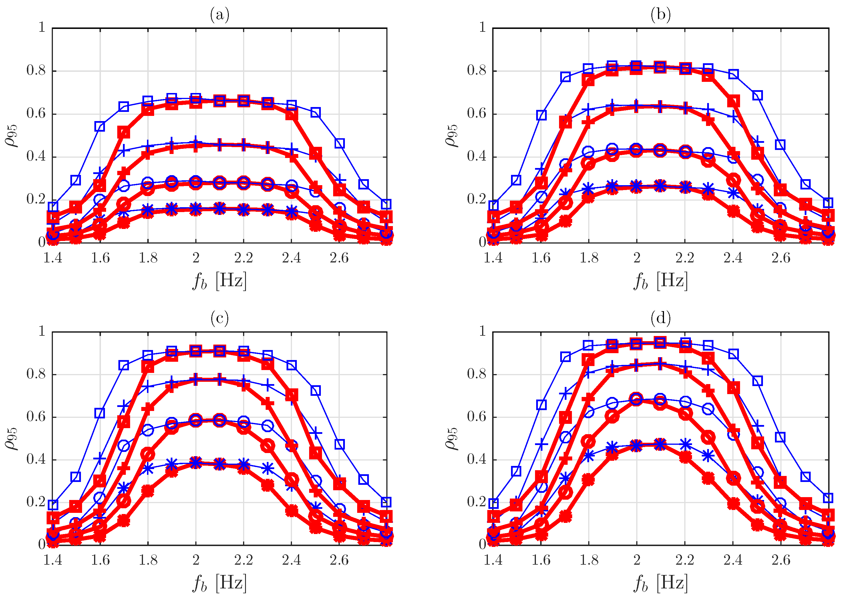
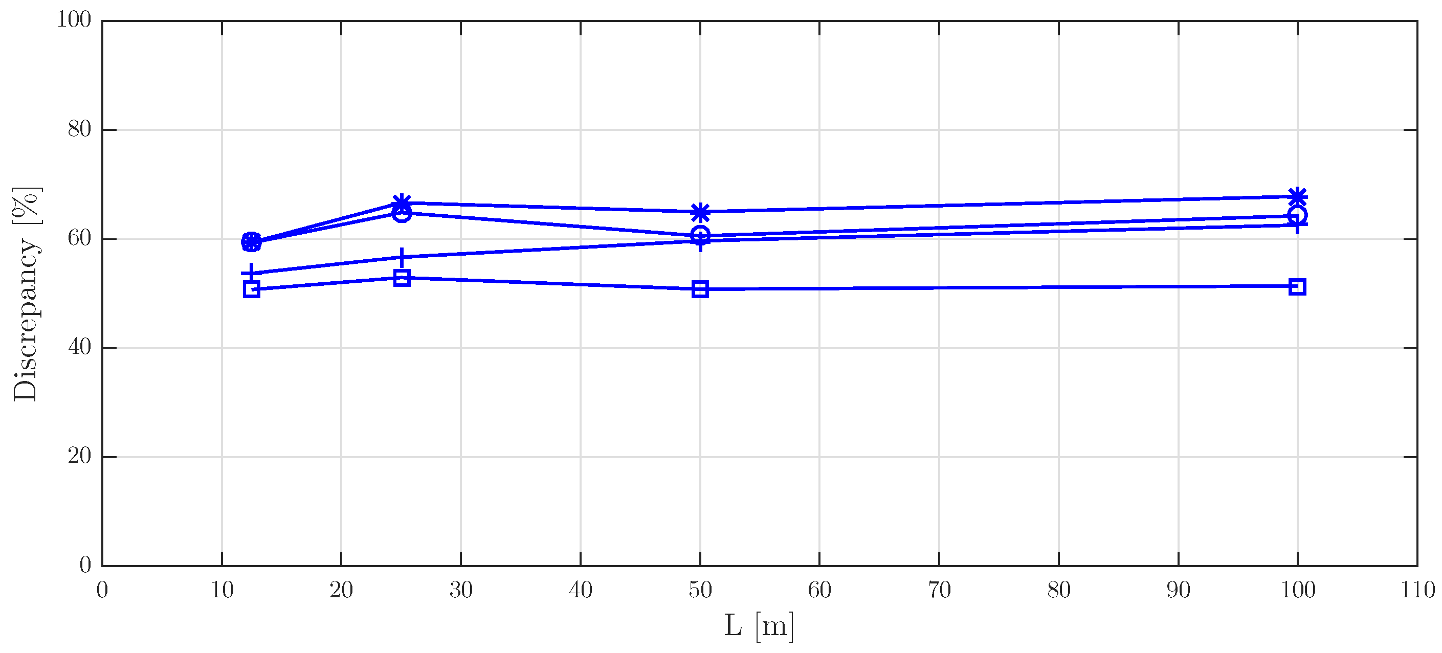
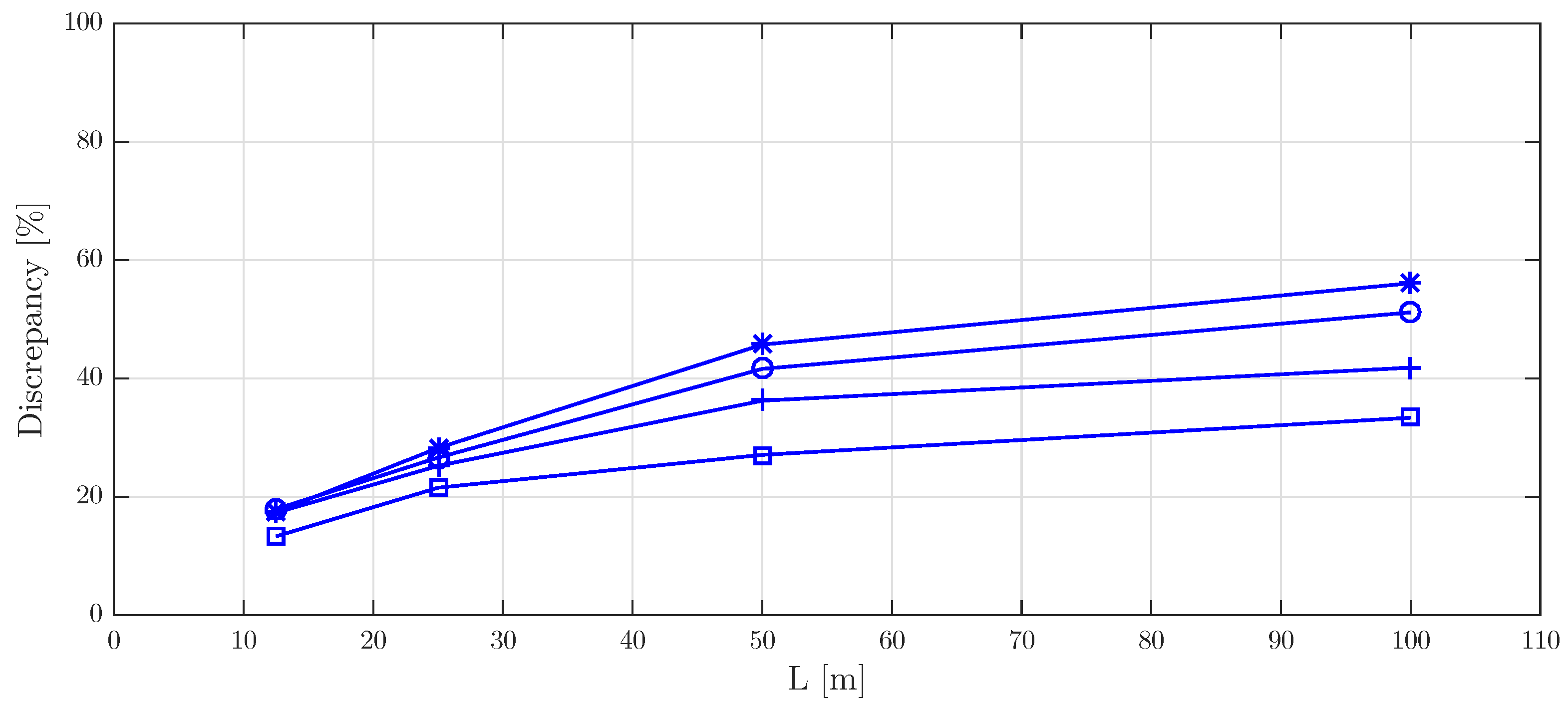
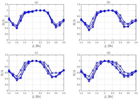
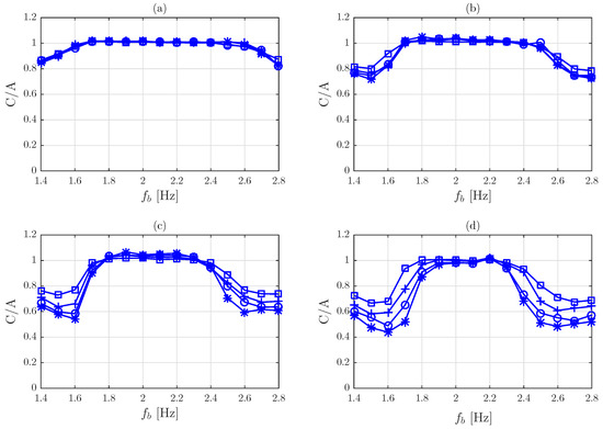
5.7. Results and Discussion
5.7.1. Approach A
5.7.2. Approach B
5.7.3. Approach C
5.8. Practical Procedure for Vibration Serviceability Checking
6. Conclusions
Author Contributions
Funding
Conflicts of Interest
References
- Živanović, S.; Pavic, A.; Ingólfsson, E.T. Modeling Spatially Unrestricted Pedestrian Traffic on Footbridges. J. Struct. Eng. 2010, 136, 1296–1308. [Google Scholar] [CrossRef]
- Živanović, S.; Pavic, A.; Reynolds, P. Vibration serviceability of footbridges under human-induced excitation: A literature review. J. Sound Vib. 2005, 279, 1–74. [Google Scholar] [CrossRef]
- Racic, V.; Brownjohn, J.M.W. Experimental identification and analytical modelling of human walking forces: Literature review. J. Sound Vib. 2009, 326, 1–49. [Google Scholar] [CrossRef]
- Živanović, S.; Pavic, A. Quantification of Dynamic Excitation Potential of Pedestrian Population Crossing Footbridges. Shock Vib. 2011, 18, 563–577. [Google Scholar] [CrossRef]
- Yaffee, R.A.; McGee, M. Introduction to Time Series Analysis and Forecasting: With Applications of SAS and SPSS; Academic Press, Inc.: New York, NY, USA, 2000. [Google Scholar]
- Bocian, M.; Brownjohn, J.M.W.; Racic, V.; Hester, D.; Quattrone, A.; Monnickendam, R. A framework for experimental determination of localised vertical pedestrian forces on full-scale structures using wireless attitude and heading reference systems. J. Sound Vib. 2016, 376, 217–243. [Google Scholar] [CrossRef]
- Brownjohn, J.M.W.; Pavic, A.; Omenzetter, P. A spectral density approach for modelling continuous vertical forces on pedestrian structures due to walking. Can. J. Civ. Eng. 2004, 31, 65–77. [Google Scholar] [CrossRef]
- Živanović, S.; Pavic, A.; Reynolds, P. Probability-based prediction of multi-mode vibration response to walking excitation. Eng. Struct. 2007, 29, 942–954. [Google Scholar] [CrossRef]
- Racic, V.; Brownjohn, J.M.W. Stochastic model of near-periodic vertical loads due to humans walking. Adv. Eng. Inform. 2011, 25, 259–275. [Google Scholar] [CrossRef]
- Venuti, F.; Racic, V.; Corbetta, A. Modelling framework for dynamic interaction between multiple pedestrians and vertical vibrations of footbridges. J. Sound Vib. 2016, 379, 245–263. [Google Scholar] [CrossRef]
- García-Diéguez, M.; Zapico-Valle, J.L. Statistical Modeling of the Relationships between Spatiotemporal Parameters of Human Walking and Their Variability. J. Struct. Eng. 2017, 143, 04017164. [Google Scholar] [CrossRef]
- Venuti, F.; Bruno, L. Crowd-structure interaction in lively footbridges under synchronous lateral excitation: A literature review. Phys. Life Rev. 2009, 6, 176–206. [Google Scholar] [CrossRef] [PubMed]
- Whittle, M. Gait Analysis: An Introduction; Butterworth-Heinemann Elsevier: Oxford, UK, 2007. [Google Scholar]
- Živanović, S. Benchmark Footbridge for Vibration Serviceability Assessment under the Vertical Component of Pedestrian Load. J. Struct. Eng. 2012, 138, 1193–1202. [Google Scholar] [CrossRef]
- Pachi, A.; Ji, T. Frequency and velocity of people walking. Struct. Eng. 2005, 83, 36–40. [Google Scholar]
- Sahnaci, C.; Kasperski, M. Random loads induced by walking. Proc. Eurodyn 2005, 1, 441–446. [Google Scholar]
- Chandra, S.; Bharti, A.K. Speed Distribution Curves for Pedestrians during Walking and Crossing. Procedia Soc. Behav. Sci. 2013, 104, 660–667. [Google Scholar] [CrossRef]
- Wan, K.; Živanović, S.; Pavic, A. Design Spectra for Single Person Loading Scenario on Footbridges. In Proceedings of the IMAC-XXVII, Orlando, FL, USA, 9–12 February 2009. [Google Scholar]
- International Organization for Standardization. ISO 10137: Bases for Design of Structures-Serviceability of Buildings and Pedestrian Structures against Vibration; ISO: Geneva, Switzerland, 2007. [Google Scholar]
- Association Francaise de Génie Civil; Sétra/AFGC. Assesment of Vibrational Behaviour of Footbridges under Pedestrian Loading; SETRA: Paris, France, 2006. [Google Scholar]
- Human Induced Vibration of Steel Structures. Design of Footbridges, Guidelines. 2008. Available online: http://www.stb.rwth-aachen.de/projekte/2007/HIVOSS/download.php (accessed on 29 November 2018).
- BSI. Steel, Concrete and Composite Bridges. Specification for Loads, BS 5400: Part 2; British Standard Institution: London, UK, 1978. [Google Scholar]
- UK National Annex to Eurocode 1: Actions on Structures—Part 2: Traffic Loads on Bridges; NA to BS EN 1991–2:2003; British Standards Institution: London, UK, 2008.
- Eurocode 5: Design of Timber Structures—Part 2: Bridges; EN 1995–2:2004; British Standards Institution: London, UK, 2004.
- Piccardo, G.; Tubino, F. Simplified procedures for vibration serviceability analysis of footbridges subjected to realistic walking loads. Comput. Struct. 2009, 87, 890–903. [Google Scholar] [CrossRef]
- Pedersen, L.; Frier, C. Sensitivity of footbridge vibrations to stochastic walking parameters. J. Sound Vib. 2010, 329, 2683–2701. [Google Scholar] [CrossRef]
- Caprani, C.C. Application of the pseudo-excitation method to assessment of walking variability on footbridge vibration. Comput. Struct. 2014, 132, 43–54. [Google Scholar] [CrossRef]
- McDonald, M.G.; Živanović, S. Measuring Ground Reaction Force and Quantifying Variability in Jumping and Bobbing Actions. J. Struct. Eng. 2017, 143, 04016161. [Google Scholar] [CrossRef]
- Rohatgi, V.K.; Ehsanes Saleh, A.K.M. An Introduction to Probability and Statistics; John Wiley & Sons: Hoboken, NJ, USA, 2011. [Google Scholar]
- Clough, R.W.; Penzien, J. Dynamics of Structures, 2nd ed.; McGraw-Hill: New York, NY, USA, 1993. [Google Scholar]
















| Reference | Mean (m/s) | Standard Deviation (m/s) | Country | No Samples |
|---|---|---|---|---|
| Whittle [13] | 1.40 | - | - | - |
| Zivanovic [14] | 1.39 | 0.20 | Montenegro | 2019 |
| Pachi and Ji [15] | 1.23–1.43 | 0.09–0.14 | UK | 200 |
| Kasperski and Sahnaci [16] | 1.38–1.51 | - | Germany | 6000 |
| Chandra and Bharti [17] | 0.97–1.36 | 0.19–0.22 | India | 1523 |
| García-Diéguez and Zapico-Valle [11] | 1.41 | 0.14 | Spain | 150 |
| Unit | Mean | Standard Deviation | Minimum | Maximum | |
|---|---|---|---|---|---|
| Age | year | 41.2 | 11.8 | 22.0 | 71.0 |
| Mass | kg | 74.4 | 15.3 | 41.5 | 125.6 |
| Height | m | 1.72 | 0.09 | 1.54 | 1.93 |
| (Hz) | (Hz) | (m/s) | (m/s) |
|---|---|---|---|
| 1.94 | 0.19 | 1.26 | 0.14 |
| 2.05 | 0.19 | 1.40 | 0.14 |
| 2.16 | 0.19 | 1.54 | 0.14 |
| Approach | Load Model | Distributions of Walking Speed |
|---|---|---|
| A | Quasiperiodic | Multiple mean (1.26, 1.40 and 1.54 m/s) |
| B | Quasiperiodic | Single mean (1.40 m/s) |
| C | Periodic | Multiple mean (1.26, 1.40 and 1.54 m/s) |
© 2018 by the authors. Licensee MDPI, Basel, Switzerland. This article is an open access article distributed under the terms and conditions of the Creative Commons Attribution (CC BY) license (http://creativecommons.org/licenses/by/4.0/).
Share and Cite
García-Diéguez, M.; Zapico-Valle, J.L. Sensitivity of the Vertical Response of Footbridges to the Frequency Variability of Crossing Pedestrians. Vibration 2018, 1, 290-311. https://doi.org/10.3390/vibration1020020
García-Diéguez M, Zapico-Valle JL. Sensitivity of the Vertical Response of Footbridges to the Frequency Variability of Crossing Pedestrians. Vibration. 2018; 1(2):290-311. https://doi.org/10.3390/vibration1020020
Chicago/Turabian StyleGarcía-Diéguez, Marta, and Jose Luis Zapico-Valle. 2018. "Sensitivity of the Vertical Response of Footbridges to the Frequency Variability of Crossing Pedestrians" Vibration 1, no. 2: 290-311. https://doi.org/10.3390/vibration1020020
APA StyleGarcía-Diéguez, M., & Zapico-Valle, J. L. (2018). Sensitivity of the Vertical Response of Footbridges to the Frequency Variability of Crossing Pedestrians. Vibration, 1(2), 290-311. https://doi.org/10.3390/vibration1020020

