Next Article in Journal
Fires and Clear-Cuttings as Local Areas of Arthropod Diversity in Polar Regions: Khibiny Mountains
Next Article in Special Issue
Numerical Study on the Influence of the Slope Composition of the Asymmetric V-Shaped Tunnel on Smoke Spread in Tunnel Fire
Previous Article in Journal
Wildfire Susceptibility Prediction Based on a CA-Based CCNN with Active Learning Optimization
Previous Article in Special Issue
CFD Simulation to Assess the Effects of Asphalt Pavement Combustion on User Safety in the Event of a Fire in Road Tunnels
 
 
Due to scheduled maintenance work on our servers, there may be short service disruptions on this website between 11:00 and 12:00 CEST on March 28th.
Font Type:
Arial Georgia Verdana
Font Size:
Aa Aa Aa
Line Spacing:
Column Width:
Background:
Article

Simulation of Fire Evacuation in a Naturally Ventilated Bifurcated Tunnel

School of Resources and Safety Engineering, Central South University, Changsha 410083, China
*
Author to whom correspondence should be addressed.
Fire 2024, 7(6), 202; https://doi.org/10.3390/fire7060202
Submission received: 17 May 2024 / Revised: 13 June 2024 / Accepted: 14 June 2024 / Published: 16 June 2024
(This article belongs to the Special Issue Advance in Tunnel Fire Research)

Abstract

The natural wind velocities in tunnels under different natural conditions are distinct, and the longitudinal ventilation velocity significantly impacts the evacuation environment. This paper examines the evacuation conditions and strategies under varying wind velocities in bifurcated tunnels. Using Fire Dynamics Simulator (FDS) and Pathfinder software, the fire development and evacuation of three distinct longitudinal positions in a bifurcated tunnel are simulated. The simulation results demonstrate that the evacuation conditions for disparate fire sources at varying wind velocities are markedly disparate. In consideration of the construction cost and the maximization of evacuation capacity, the width of the evacuation doors at the three locations should be set to 2 m, 1.5 m, and 1.5 m, respectively. Furthermore, an analysis of the safety of individual personnel through Fractional Effective Dose (FED) revealed that directing evacuees towards the upstream of the fire after the fire is detected can significantly reduce individual personnel injuries while ensuring the overall success of the evacuation.

1. Introduction

In recent years, with urban traffic demand significantly increasing, the complexity of the tunnel network structure has continued to improve. To ensure the convenience of underground transportation can be fully exploited, it is necessary to connect the main tunnel to several ramps and form bifurcated tunnels. Bifurcated tunnels have become an important part of the urban road network. Bifurcated tunnels are characterized by the presence of numerous branch tunnels. The heat and smoke generated by fire in these tunnels are extensive and difficult to control, potentially leading to significant disruption to traffic, damage to the tunnel infrastructure, and the occurrence of unsafe events. Consequently, the study of fire evacuation in bifurcated tunnels is crucial.
The earliest research on tunnel fire can be traced back to Thomas’s [1] experiments in the Ofenegg Tunnel in 1968, after which a large number of scholars began to study the temperature field of tunnel fires [2], ventilation methods [3], critical velocity [4,5,6,7] and the fire characteristics of special tunnel structures [8]. The emergence of bifurcated tunnels has attracted the interest of scholars in recent years. For the special bifurcated structure, which is different from the traditional single-tube tunnels, the thermal characteristics of fire in bifurcated tunnels are more complex due to the influence of tunnel bifurcation angle, location of the fire source, and other factors. Chen [9] compares the smoke characteristics of single-tube tunnels with those of bifurcated tunnels by controlling the tunnel with and without bifurcation through baffles in a special tunnel model. Lei [10] investigated the variation of the maximum gas excess temperature beneath the ceiling and temperature profile under natural ventilation considering different fire locations. Li [11,12] investigated the maximum excess temperature and longitudinal temperature decay of the tunnel around the bifurcation for the consecutive transverse and longitudinal locations of the fire source, respectively, and established a prediction model of longitudinal temperature distribution. Huang [13] studied the temperature field distributions at 5°, 10°, and 15° bifurcation angles under forced and natural ventilation conditions. Li [14] investigated the effects of branch section area and 0–20° bifurcation angle on critical wind velocity and maximum smoke temperature. Several studies have shown that the length of the smoke back-layering length and the temperature decay in the main tunnel are more consistent with previously modeled single-tube tunnels, but the branch tunnels need to be corrected for the proportional coefficient, Yang [15] and Liu [16] verified this conclusion through experiments in a 45° tunnel model and a T-shaped subway tunnel, respectively. Cheng [17] conducted full-scale tests on a large underground project with a cluster of T-shaped and curved tunnels and found that vortices were formed in the curved portion of the tunnel cluster, resulting in a sharp drop in wind velocity.
When a fire occurs in a tunnel, smoke is an important factor affecting the evacuation of people, and studies [18,19] have shown that the evacuation speed of people becomes slow in dark environments. Karl Fridolf [20] systematically reviewed the experimental studies related to walking speed and visibility and proposed three visibility-associated walking speed models based on previously established extinction coefficient speed models. Therefore, effective evacuation guidance is also the focus of scholars’ research, An [21] found that both sound and light guidance can improve evacuation speed. It is worth mentioning that virtual reality (VR) technology is increasingly used in evacuation simulation experiments. Ronchi [22] suggested the design of flashing lights at tunnel evacuation exits through VR experiments, and Kinateder [23] investigated the effects of exit familiarity and neighbor behavior on evacuation behavior through VR experiments.
Tunnel evacuation experiments are scarce, and in 2018, Porzycki [24] published the first experimental study of tunnel evacuation in a journal, finding that attitude and familiarity, in addition to smoke, are important factors in evacuation speed. Chu [25] experimentally obtained a series of personnel evacuation preparation times and evacuation speeds for personnel of different genders and ages, which provide important reference values for subsequent evacuation studies. Numerical simulation of evacuation is mainly realized by models such as FDS + EVAC, STEPS, Pathfinder, etc., and Ronchi [26] compared their differences in 2012. Evacuation safety is analyzed mainly by comparing the Available Safe Egress Time (ASET) and the Required Safe Egress time (RSET), and if ASET ≥ RSET, then it is considered that the evacuees can be safely evacuated, based on which Wang [27] introduced the concept of evacuation reliability. Yamaroto [28] combined real-coded cellular automata to simulate personnel evacuation and analyzed the safety of personnel by visualizing the location of the last evacuee relative to the evacuation hazardous area.
This paper analyzed fire evacuation safety in bifurcated tunnels at both group and individual levels. At the group level, comparing ASET and RSET simulated by FDS and Pathfinder to determine whether a crowd can complete evacuation. At the individual level, FED analysis is added to analyze whether individual personnel were injured during evacuation. Eventually, a new evacuation strategy is proposed that can serve as a reference for bifurcated tunnel evacuation.

2. Numerical Modeling

2.1. Simulation of FDS

The tunnel is modeled by Pyrosim software, and the tunnel model is shown in Figure 1. The length of the main tunnel is 800 m, and the tunnel section is rectangular, in which the width is 10 m and the height is 7 m. The main road is divided into a bifurcated tunnel at 400 m, the bifurcation angle is 45°, the branch tunnel is 400 m long, and the section size is the same as the main tunnel. The inner wall of the tunnel is set to concrete with a thickness of 0.1 m, a density of 2280 kg/m3, a specific heat of 1.04   k J / k g · K and a conductivity of 1.8   W / m · K . The tunnel is a one-way, two-lane roadway throughout. The blue arrow in Figure 1 indicates the direction of the wind, and the direction of vehicle travel is the same as the direction of the wind.
To simulate a classic small vehicle fire, the maximum heat release rate of the fire source is set to 10 MW, the size of the fire source is 5 m × 2 m, the height of the fire source is 0.5 m, and the fuel is heptane. The fire source growth rate is t2 ultra-fast fire growth model. For a 10 MW fire source, the time to reach the maximum exothermic power is 400 s. The soot yield and CO yield are set to 0.044 and 0.012, respectively, based on empirical data from previous studies [29].
Natural wind velocity in the tunnel is influenced by meteorology, tunnel length, longitudinal slope, etc. According to Guidelines for Design of Ventilation of Highway Tunnels [30], it is recommended that the calculated value of the natural wind velocity be within the range of 2–3 m/s. To study the impact of different fire locations in the bifurcated tunnel on the fire characteristics and safety evacuation, fire A is situated in the first half of the main tunnel, fire B is situated in the second half of the main tunnel, and fire C is situated in the branch tunnel. Fire A is 300 m downstream of the tunnel entrance, and fire B and C are 300 m upstream of the two tunnel exits, respectively. The fire scenario settings for the tunnel are shown in Table 1.
ASET is the maximum evacuation time allowed for people when a fire develops to the point where it poses a danger to people. The main factors affecting ASET are temperature, visibility, and carbon monoxide concentration. The UPTUN project [31], which was conducted in Europe, has yielded reference values of safety boundary conditions at the characteristic height of 2 m for the evacuation of people in tunnel fires. The safety boundary conditions are presented in Table 2.
To more clearly represent the relative positions of safety influences and fire sources in the tunnel, it is necessary to consider multiple fire locations. Therefore, the upstream and downstream of the three fire points are divided into six zones (I–VI) and indicated by different colors in Figure 1.
When using FDS for fire simulation, the grid size directly affects the accuracy of the simulation results and the simulation time. The smaller the grid, the higher the simulation accuracy, but the longer the simulation time required, the grid size is determined by the characteristic diameter of the fire source; D*, FDS User’s Guide [32] suggests that the grid size of the value of the range of D * / 4 ~ D * / 16 , the formula for D * is as follows:
D * = ( Q ρ c p T g ) 2 5
where Q is the peak heat release rate (kW); ρ is the ambient air density (kg/m3); c p is the ambient air specific heat ( k J / k g · K ); T is the ambient air temperature (K); g is the gravity acceleration (m/s2).
In this paper, a square grid is used for simulation. Through the calculation, the characteristic diameter D* of a 10 MW fire is 2.4 m, i.e., the recommended grid size is 0.6–0.15 m. Figure 2 shows the temperature change in different grid sizes at a height of 6.9 m. Considering the simulation accuracy and efficiency, the whole tunnel is simulated by a 1 m × 1 m × 1 m grid, and the grid is encrypted 100 m upstream and downstream of the fire, with a size of 0.5 m × 0.5 m × 0.5 m.

2.2. Simulation of Pathfinder

The evacuation time is simulated by Pathfinder software. Pathfinder supports two evacuation movement modes: SFPE and steering. The steering mode allows the personnel to turn and interact with each other, which can better simulate the real evacuation situation of the personnel, so the steering mode is selected in the subsequent simulations.
The evacuation scenario is shown in Figure 3. When a fire occurs in the tunnel, the vehicles from the fire to the exit section of the tunnel will drive out of the tunnel normally, but the vehicles from the entrance to the fire source section of the tunnel will be trapped and blocked. If the fire occurs at B and C, only the vehicles in the first half of the main tunnel to the fire source will be blocked. In contrast, the vehicles on the other side of the road will not be affected. Considering that the spacing between the cars in the traffic jams is often small, the spacing of the vehicles is therefore set to 2 m. Vehicle parameters are shown in Table 3. The people trapped inside the tunnel were evacuated through the entrances, exits, and evacuation doors arranged in the tunnel. A total of three evacuation doors were placed in the first half of the main tunnel, the second half of the main tunnel, and at the midpoints of the branch tunnel, respectively.
Factors affecting evacuation in tunnel fires include personnel density, smoke, environment, lighting, physiological age differences of personnel, and obstacles. According to the evacuation model of Karl Fridolf [20], which takes into account the differences that exist in the mobility of each individual, the mobility speed of personnel is represented by normally distributed random values with a mean of 1.35 m/s and a standard deviation of 0.25 m/s, and the maximum and minimum speeds are 1.85 m/s and 0.85 m/s. The mobility of personnel in his model decreases with the visibility of smoke in the surrounding scene, but the visibility threshold for the decrease in walking speed is 3 m, and the safety criterion of 10 m adopted in this paper is much higher than this threshold, so the effect of smoke visibility on the walking speed of personnel is not considered. The evacuee parameters are shown in Table 4.
According to Specifications for the Design of Highway Underwater Tunnels [33], the width of the evacuation door should not be less than 0.9 m. In this paper, we set the evacuation door with three widths of 1.0 m, 1.5 m, and 2.0 m. Evacuation scenarios with different numbers of evacuees are simulated by varying the full load rate of the vehicle: low density of 50%, medium density of 75%, and high density of 100%. The initial position of the evacuees is randomly generated on the blocked roadway. The evacuation scenarios are shown in Table 5.

3. Result and Discussion

3.1. Analysis of ASET

Taking scenario A0 as an example, as shown in Figure 4, the maximum temperature in the tunnel at 600 s is 55 °C and the maximum carbon monoxide concentration is 0.0015%, which are within the safety boundary and do not pose a threat to evacuees. The black area in Figure 4c is the hazardous area with visibility less than 10 m. At 600 s, the hazardous area covers the first half of the main tunnel and the second half of the main tunnel. For the downstream area of the fire source, the smoke will flow into the second half of the main tunnel and the branch tunnel after passing through the bifurcation, so the hazardous area is much smaller than that of the first half of the main tunnel.
For the assessment of ASET in the tunnel, the criterion is the existence of a continuous, stable, and penetrating hazardous area in the tunnel cross-section at the characteristic height of 2 m, and the hazardous area is defined as the area that does not meet the boundary conditions for evacuee. As shown in Figure 5, the area with visibility less than 10 m upstream of the fire source has not penetrated the tunnel cross-section at 370 s. The area with a penetrating cross-section starts to appear at 140 m upstream of fire A at 375 s. The hazardous area with a penetrating cross-section appears at 140 m and 160 m upstream of fire A at 380 s, and the penetrating area is continuously and stably present at 385 s. From 375 s, the evacuees cannot pass through the area Ⅰ smoothly, and the evacuees who have not completed the evacuation at 375 s will be trapped in the tunnel, so the ASET of scenario A0 is 375 s.
According to the analysis method of scenario A0, the ASET of each scenario is shown in Table 6. From the table, it can be seen that the ASET influencing factor for all scenarios in this paper is visibility, and it is worth mentioning that for the same fire source, as the wind speed increases, it will also form a hazardous area with stable existence and penetration with a temperature exceeding 60 °C. However, due to the small rate of heat release from the fire source, the time of its formation is after the formation of the hazardous area of visibility, and therefore it can be inferred that when the heat release rate becomes larger, the factor that determines the ASET will be shifted to temperature, which was also concluded in the study of Wang [27].
As the wind velocity increases, the wind force prevents the ceiling jet from spreading upstream of the fire, so the hazardous area due to smoke accumulation gradually changes from upstream to downstream. For fire A, when the wind velocity reaches 1 m/s, under the effect of the wind, the soot that should have spread upstream of the fire quickly settles over the vicinity of the fire and quickly forms a hazardous area in zone Ⅱ. When the wind velocity exceeds 2 m/s, the hazardous area shifts downstream of the fire.
According to the study of Lei [34], among the bifurcated tunnels with angles of 0°–90°, the 45° angle tunnel bifurcation has the highest local resistance, and the ability of the smoke to be transported through the bifurcation decreases rapidly after it flows through the bifurcation, resulting in the smoke from the bifurcated tunnels sinking faster, thus forming a hazardous area in zone Ⅴ.
Figure 6 shows the smoke distribution in the center cross-section of the fire source for scenarios B0–B3 at 250 s. It can be seen that the longitudinal air flow destroys the smoke stratification in the center cross-section of the fire source. When the wind velocity is 0 m/s, the smoke stratification is stable. In the case of low air velocity, there is a stratified structure, but the interface is blurred, and when the wind velocity reaches 3 m/s, the smoke stratification is destroyed and the smoke layer is completely unstable.
Fire B is located in the second half of the main tunnel. When the wind velocity is 0 m/s, the smoke transported upstream diverges after passing the bifurcation point, so the hazardous area in zone Ⅳ appears more quickly. When low wind velocity, the smoke accumulates more above the fire source and quickly forms a hazardous area at the characteristic height, which can be verified from Figure 6, and the hazardous areas of B1 and B2 are at about 3 m and 10 m downstream of fire B, respectively. When the wind velocity increases to 3 m/s, it almost reaches the critical velocity of fire B. The smoke concentration at the characteristic height tends to be low in the middle and high on both sides. At about 320 s, an area appears near the walls on both sides with visibility less than 10 m in the 100–300 m downstream fire B section. The width of the area increases with time, and a continuous hazardous area appears around 250 m downstream of fire B at 471 s.
As shown in Figure 7, the temperature in the center of fire C decreases dramatically with increasing wind velocity, but the temperature distribution upstream and downstream is almost the same. When a fire occurs in the tunnel, the thermal buoyancy of the smoke decreases, and the smoke settles after heat exchange with the tunnel wall and the cold air below in the longitudinal spreading stage. The change in longitudinal air velocity has almost no effect on the temperature distribution of the branch tunnel. Thus, the hazardous areas of the C0, C2, and C3 conditions are all formed 90–100 m downstream of the fire. As can be seen from Figure 8, the distribution of ceiling velocities downstream of the fire is similar for all scenarios, and upstream of the fire, especially upstream of the bifurcation, there is a large difference in ceiling wind velocity for each scenario, with the lowest velocity in scenario C1, which has the weakest effect on smoke transport and thus forms a hazardous area 75 m upstream of fire C.

3.2. Analysis of RSET

RSET is the minimum time for personnel to evacuate. RSET includes personnel sensing time, response time, and evacuation time. The personnel sensing time includes fire detection and alarm, and the personnel response time includes personnel carrying out pre-evacuation preparations. The personnel sensing time and personnel response time are uniformly called the personnel pre-evacuation time. In this paper, the pre-evacuation time is set to 90 s, so in the Pathfinder simulation, the personnel start the evacuation movement after the fire starts at 90 s.
Pathfinder software has randomness in the location of the occupants appearing in the selected area. To avoid its influence on RSET, each scenario was simulated 10 times and averaged, and the RSET of each scenario is shown in Figure 9.
As shown in Figure 9, for the three fire locations, under the same personnel density, when the evacuation door width increases from 1 m to 1.5 m, the evacuation time has a significant decrease. Still, the optimization effect is not obvious when it increases from 1.5 m to 2 m. That is, when the width of the evacuation door is only 1 m, the evacuation ability of the evacuation door restricts the evacuation process. In the evacuation process, the evacuee will form a blockage in the vicinity of the evacuation door. In contrast, the evacuation door width reaches 1.5 m, and the evacuation door can satisfy the evacuation of personnel. The limiting factors for evacuation are the distance from the person to the exit and the number of evacuees.
For fire A, with the same evacuation door width, the personnel evacuation time decreases significantly as the personnel density decreases, while for fires B and C, the personnel density has a significant effect on the RSET only when the evacuation door width is 1 m. In Figure 9, we can see that the ASETs of scenarios 13–18 are all between 294.9 s and 313.8 s, and the ASETs of scenarios 22–27 are all between 302.0 and 317.0 s, which means that for fires B and C when the evacuation door reaches 1.5 m, neither the personnel density nor the evacuation door width have a significant effect on the evacuation time. The reason for the above situation is that for fire A, the evacuation process is only through the tunnel entrance and evacuation door 1, while for fires B and C, the evacuation of evacuees will be through doors 2 and 3 in addition to evacuation from the tunnel exit and door 1, respectively, i.e., the evacuation door width and personnel density have a stronger correlation with ASET for fire A than for fires B and C.
The red dashed line in Figure 9 indicates the possible existence of scenarios that do not satisfy RSET ≤ ASET. The figure shows that 1 m/s is the most unfavorable velocity for this bifurcated tunnel, and evacuation may not be completed for all three fire locations. For fire B, under 0 m/s wind velocity, people cannot be evacuated when the tunnel reaches a high density and the evacuation door width is the smallest. The most unfavorable situation for fire B is when wind velocity is 2 m/s. At this time, all scenarios cannot complete the evacuation, and only when the wind velocity reaches 3 m/s can all scenarios complete the evacuation.
Although some scenarios in the RSET simulation results cannot complete the evacuation, considering that the relative position of the evacuee and the hazardous area during the evacuation process changes dynamically, i.e., the evacuees may not necessarily pass through the hazardous area after reaching the ASET, to study whether the above scenario’s hazardous area prevents evacuation, we introduce the concept of the evacuation success rate. Since the personnel cannot judge whether the evacuation path passes through the hazardous area in the fire scenario, and once they enter the hazardous area, the influence of low visibility on the personnel’s physiology causes them to be unable to plan the evacuation path twice, the evacuation success rate refers to the probability that the personnel will evacuate one time. After arriving at the ASET, we place an impassable wall at the location where the hazardous area of each scenario is formed, and if there are no evacuees who change the evacuation path during the simulation, then the simulation is successfully evacuated, and if there is one unsuccessful evacuation in the ten simulations of each scenario, the scenario is considered unsafe.
The evacuation success rate of each scenario is shown in Table 7. We can see that among all the scenarios that cannot complete the evacuation, only scenario 12 is unable to evacuate safely when the wind velocity is 0 m/s. In other scenarios, all evacuees will not pass through the hazardous area after the hazardous area is formed.
In conclusion, for doors 2 and 3, increasing the door width from 1.5 m to 2 m does not improve evacuation capacity. Considering the construction cost, we optimized the evacuation door width arrangement. While ensuring maximum evacuation capacity, the width of evacuation door 1 should be set to 2 m, and the width of evacuation doors 2 and 3 should be set to 1.5 m. The RSET of different fire locations at high density under the optimized scenario is shown in Figure 10, and the results are more consistent with the best evacuation capacity with the previous experiments, so it can be assumed that this scenario can achieve the best effect of the evacuation.

3.3. Analysis of FED

ASET and RSET describe the safety of evacuees in a fire as a whole, but they do not provide a good description of the safety of individual people who may be harmed by exposure to smoke, temperature, or toxic gases that accumulate over time, especially in bifurcated tunnels, where the distribution of hazardous areas is strongly influenced by the fire location and the wind velocity in the tunnel. Injuries to evacuees during evacuation may not be strongly correlated with evacuation time.
Pathfinder can describe the harm to an individual person by calculating the Fractional Effective Dose, which describes the total exposure dose of an individual person to harmful factors during the entire progress of a fire evacuation, and which Pathfinder calculates using the concentration of the anesthetic gases C O , C O 2 , and O 2 :
F E D t o t = F E D c o × V C O 2 + F E D O 2
F E D C O is influenced by the concentration of carbon monoxide, the person’s breaths per minute, the duration of exposure, and the dose of exposure. Although C O 2 are not toxic at concentration of up to 5%, they can cause absorption of other toxic products into the body. F E D O 2 was calculated when the oxygen concentration was below 20.9%, and it was nonlinearly related to exposure time and oxygen concentration, with short exposures to severe hypoxia resulting in rapid incapacitation and prolonged exposures to moderate hypoxia having little effect. The measurement location for FED quantity sampling is 90% of occupant height [35]. The boundary conditions for smoke, temperature, and toxic gases are shown in Table 8.
Evacuees are categorized into the following three categories depending on the injuries sustained by them:
  • Personnel not exposed to harmful factors;
  • Personnel exposed to harmful factors but the harmful factors do not exceed thresholds;
  • Personnel are exposed to harmful factors with any of those exceeding the threshold.
To investigate the cumulative injuries to evacuees from harmful factors at different wind velocities, the composition of personnel for each fire scenario is shown in Table 9, using the optimized scenario in Section 3.2 as an example.
Detailed personnel parameter records showed that the most significant factor affecting FED values is visibility, followed by temperature, while oxygen, carbon monoxide, and carbon dioxide concentration had a negligible effect on FED growth during evacuation.
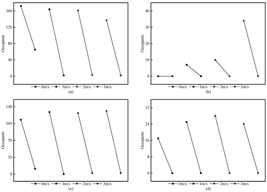
For fire A, 132 evacuees are exposed to harmful factors when the wind velocity is 0 m/s, while almost no evacuees are exposed to the cumulative injury of fire when the wind velocity reaches 1 m/s or more, i.e., for fire A, the most hazardous scenario is when the wind velocity is 0 m/s. It is different from the conclusion derived from the RSET analysis. Fire B has the highest safety margin at a wind velocity of 3 m/s in the previous analysis, while it is the most hazardous in the FED analysis. For fires B and C, approximately 21% and 16% of evacuees were injured, respectively. Vulnerable personnel appeared in all scenarios except fire B, 0 m/s air velocity. By observing the path of personnel, it was found that people evacuating upstream of the fire source, especially when air velocity was not 0 m/s, were almost unaffected, and most of the exposed people passed through the hazardous area before it formed and, therefore, suffered a cumulative injury. The endangered people chose exits that were all downstream of the fire and further away from the exits. By the time they made their way to the exit downstream of the fire source and reached the vicinity of the fire, the fire had already developed further, and the harmful factors around the fire source, especially the temperature, had exceeded the safety boundary.
From the above analysis, it can be concluded that when a fire occurs, the relative location of the fire source and the evacuation door is an important factor in determining the composition of the evacuee, and the personnel who evacuate through the evacuation door downstream of the fire have a great possibility of being exposed to harmful factors. Assuming that when a fire occurs and the location of the fire source is detected, if the fire source is located in locations B and C, the evacuation guidance measures are used to guide the evacuees to avoid evacuating through the evacuation door downstream of the fire, and the composition of personnel changes as shown in Figure 11.
As can be seen from Figure 11, after a fire in a bifurcated tunnel, guiding evacuees to avoid evacuating from the upstream of the fire through evacuation guidance measures can significantly reduce the injuries suffered by evacuees and can completely prevent evacuees from suffering disabling injuries. It is worth mentioning that, although the evacuation times of fires B and C increased by 113.7 s and 109.7 s, respectively, after the change in the evacuation strategy, all scenarios passed the evacuation success rate test, so guiding people to evacuate upstream is a very effective evacuation strategy in bifurcated tunnel fires.

4. Conclusions

This study evaluated the safety of evacuation from fires in three different longitudinal locations in bifurcated tunnels. Further evacuation door width setting schemes and evacuation strategies in bifurcated tunnels were proposed. The main conclusions are as follows:
  • In the case of natural ventilation, for bifurcated tunnel fires, the longitudinal position of the fire and the longitudinal air velocity both have a great influence on the ASET, and when the power of the fire is 10 MW, the most unfavorable air velocity for both fire A and fire C is 1 m/s, and the most unfavorable air velocity for fire source B is 2 m/s.
  • For different scenarios, increasing the width of the evacuation door can reduce the RSET to a certain extent. When the bifurcated tunnel fire occurs, even if it is not possible to meet ASET ≥ RSET, that does not mean that the personnel cannot be safely evacuated. Through the verification analysis, the optimal widths of evacuation doors 1, 2, and 3 in this tunnel are 2 m, 1.5 m, and 1.5 m, respectively.
  • Through the FED analysis, it was found that the degree of injury suffered by personnel after a fire in the bifurcated tunnel had no strong correlation with the evacuation time but had a strong correlation with the evacuation path of the personnel and the relative location of the fire source. Evacuating upstream of the fire would substantially reduce the injury. Therefore, evacuees should be guided to evacuate upstream of the fire through physical guidance after detecting the fire.

Author Contributions

Conceptualization, Z.H.; methodology, J.C.; software, Z.H.; validation, Z.H.; formal analysis, Z.H.; investigation, Z.H.; resources, J.C. and S.Y.; data curation, Z.H.; writing—original draft preparation, Z.H.; writing—review and editing, S.Y.; visualization, Z.H.; supervision, Y.S.; project administration, J.C.; funding acquisition, J.C. All authors have read and agreed to the published version of the manuscript.

Funding

This research was funded by the National Natural Science Foundation Project of China under Grant No. 52274163.

Institutional Review Board Statement

Not applicable.

Informed Consent Statement

Not applicable.

Data Availability Statement

Data are contained within the article.

Conflicts of Interest

The authors declare no conflicts of interest.

References

  1. Thomas, P.H. The movement of smoke in horizontal passages against an air flow. Fire Saf. Sci. 1968, 723, 1-1. [Google Scholar]
  2. Liu, S.; Ye, C.H.; Zhang, P.H. Effect of width and slope of large cross-section tunnel on ceiling smoke temperature under natural ventilation. Energy Sources Part A 2024, 46, 3061–3081. [Google Scholar] [CrossRef]
  3. Tang, F.; Zhu, Y.; Chen, L. Experimental study on the effect of lateral concentrated smoke extraction on smoke stratification in the longitudinal ventilated tunnel. Fire Mater. 2020, 44, 1004–1012. [Google Scholar] [CrossRef]
  4. Oka, Y.; Atkinson, G.T. Control of smoke flow in tunnel fires. Fire Saf. Sci. 1995, 25, 305–322. [Google Scholar] [CrossRef]
  5. Gannouni, S.; Maad, R.B. Numerical study of the effect of blockage on critical velocity and backlayering length in longitudinally ventilated tunnel fires. Tunn. Undergr. Space Technol. 2015, 48, 147–155. [Google Scholar] [CrossRef]
  6. Atkinson, G.T.; Wu, Y. Smoke control in sloping tunnels. Fire Saf. Sci. 1996, 27, 335–341. [Google Scholar] [CrossRef]
  7. Li, Y.Z.; Lei, B.; Ingason, H. Study of critical velocity and backlayering length in longitudinally ventilated tunnel fires. Fire Saf. Sci. 2010, 45, 361–370. [Google Scholar] [CrossRef]
  8. Zhao, S.Z.; Liu, F.; Wang, F.; Weng, M.C.; Zeng, Z. A numerical study on smoke movement in a metro tunnel with a non-axisymmetric cross-section. Tunn. Undergr. Space Technol. 2018, 73, 187–202. [Google Scholar] [CrossRef]
  9. Chen, L.F.; Mao, P.F.; Zhang, Y.C.; Xing, S.S.; Li, T. Experimental study on smoke characteristics of bifurcated tunnel fire. Tunn. Undergr. Space Technol. 2020, 98, 103295. [Google Scholar] [CrossRef]
  10. Lei, P.; Chen, C.K.; Zhang, Y.L.; Xu, T.; Sun, H.K. Experimental study on temperature profile in a branched tunnel fire under natural ventilation considering different fire locations. Int. J. Therm. Sci. 2018, 159, 106631. [Google Scholar] [CrossRef]
  11. Li, Z.S.; Zhang, Y.C.; Gao, Y.J.; Chen, L.F.; Li, T. Study the maximum temperature of diffusion smoke downstream in a longitudinal ventilated branched tunnel with different transverse fire locations. Tunn. Undergr. Space Technol. 2024, 146, 105663. [Google Scholar] [CrossRef]
  12. Li, Z.S.; Luo, Y.Y.; Gao, Y.J.; Yang, X.L.; Guo, H.W.; Zhang, Y.C. Experimental and theoretical studies of the effects of fire location on the smoke temperature distribution in a branched tunnel. Fire Technol. 2022, 58, 1265–1284. [Google Scholar] [CrossRef]
  13. Huang, Y.B.; Li, Y.F.; Li, J.M.; Li, J.X.; Wu, K.; Zhu, K.; Li, H.H. Experimental investigation on maximum gas temperature beneath the ceiling in a branched tunnel fire. Int. J. Therm. Sci. 2019, 145, 105997. [Google Scholar] [CrossRef]
  14. Li, H.H.; Tang, F. Numerical and experimental study on the critical velocity and smoke maximum temperature in the connected area of branch tunnel. Build. Simul. 2022, 5, 525–536. [Google Scholar] [CrossRef]
  15. Yang, X.L.; Luo, Y.Y.; Li, Z.S.; Guo, H.W.; Zhang, Y.C. Experimental investigation on the smoke back-layering length in a branched tunnel fire considering different longitudinal ventilations and fire locations. Case Stud. Therm. Eng. 2021, 28, 101497. [Google Scholar] [CrossRef]
  16. Liu, F.; Han, J.Q.; Wang, F.; Wang, Z.H.; Weng, M.C. Experimental study on the temperature profiles in a naturally ventilated metro tunnel with a transverse cross-passage. Tunn. Undergr. Space Technol. 2021, 116, 104094. [Google Scholar] [CrossRef]
  17. Cheng, H.H.; Liu, C.; Chen, J.F.; Zhao, Y.T.; Zhong, M.H. Full-scale experimental study on fire under natural ventilation in the T-shaped and curved tunnel groups. Tunn. Undergr. Space Technol. 2022, 123, 104442. [Google Scholar] [CrossRef]
  18. Seike, M.; Kawabata, N.; Hasegawa, M. Evacuation speed in full-scale darkened tunnel filled with smoke. Fire Saf. J. 2017, 91, 901–907. [Google Scholar] [CrossRef]
  19. Fridolf, K.; Andrée, K.; Nilsson, D.; Frantzich, H. The impact of smoke on walking speed. Fire Mater. 2014, 38, 744–759. [Google Scholar] [CrossRef]
  20. Fridolf, K.; Ronchi, E.; Nilsson, D.; Frantzich, H. The representation of evacuation movement in smoke-filled underground transportation systems. Tunn. Undergr. Space Technol. 2019, 90, 28–41. [Google Scholar] [CrossRef]
  21. An, W.J.; Hu, M.T.; Gao, J.P.; Xie, Y.H.; Yu, S.C. Experiment on Evacuation Behavior in Full-Scale Tunnel with Different Guiding Pattern. Int. J. Intell. Transp. Syst. Res. 2022, 20, 793–804. [Google Scholar] [CrossRef]
  22. Ronchi, E.; Nilsson, D.; Kojić, S.; Eriksson, J.; Lovreglio, R.; Modig, H.; Walter, A.L. A virtual reality experiment on flashing lights at emergency exit portals for road tunnel evacuation. Fire Technol. 2016, 52, 623–647. [Google Scholar] [CrossRef]
  23. Kinateder, M.; Comunale, B.; Warren, W.H. Exit choice in an emergency evacuation scenario is influenced by exit familiarity and neighbor behavior. Saf. Sci. 2018, 106, 170–175. [Google Scholar] [CrossRef]
  24. Porzycki, J.; Schmidt-Polończyk, N.; Wąs, J. Pedestrian behavior during evacuation from road tunnel in smoke condition—Empirical results. PLoS ONE 2018, 13, e0201732. [Google Scholar] [CrossRef] [PubMed]
  25. Chu, K.K.; Xie, B.C.; Xu, Z.S.; Zhou, D.; He, L.; Zhao, J.M.; Ying, H.L. Full-scale experimental study on evacuation behavior characteristics of underwater road tunnel with evacuation stairs under blocked conditions. Tunn. Undergr. Space Technol. 2023, 138, 105173. [Google Scholar] [CrossRef]
  26. Ronchi, E.; Colonna, P.; Capote, J.; Alvear, D.; Berloco, N.; Cuesta, A. The evaluation of different evacuation models for assessing road tunnel safety analysis. Tunn. Undergr. Space Technol. 2012, 30, 74–84. [Google Scholar] [CrossRef]
  27. Wang, K.; Hu, J.W.; Chen, R.D.; Wang, J.H. A Study on the Evacuation of an Extra-Long Highway Tunnel Fire—A Case Study of Chengkai Tunnel. Sustainability 2023, 15, 4865. [Google Scholar] [CrossRef]
  28. Yamamoto, K.; Sawaguchi, Y.; Nishiki, S. Simulation of tunnel fire for evacuation safety assessment. Safety 2018, 4, 12. [Google Scholar] [CrossRef]
  29. Köylü, Ü.Ö.; Faeth, G.M. Carbon monoxide and soot emissions from liquid-fueled buoyant turbulent diffusion flames. Combust. Flame 1991, 87, 61–76. [Google Scholar] [CrossRef]
  30. JTG/T D70/2-20-2014; Guidelines for Design of Ventilation of Road Tunnel. Ministry of Communications of the People’s Republic of China: Beijing, China, 2014.
  31. Ingason, H.; Li, Y.Z.; Lönnermark, A. Tenability. In Tunnel Fire Dynamics, 15th ed.; Springer: Cham, Switzerland, 2024; pp. 425–443. [Google Scholar]
  32. McGrattan, K.; Hostikka, S.; Floyd, J.; McDermott, R.; Vanella, M. Chapter 1 Introduction. In Fire Dynamics Simulator User’s Guide, 6th ed.; National Institute of Standards and Technology (NIST): Gaithersburg, MD, USA, 2020; pp. 3–9. [Google Scholar]
  33. JTG/T 3371-2022; Specifications for Design of Highway Underwater Tunnel. Ministry of Communications of the People’s Republic of China: Beijing, China, 2022.
  34. Lei, P.; Chen, C.K.; Zhao, D.Y.; Zhang, Y.L.; Xu, T.; Jiao, W.B. Study on heat allocation and temperature profile in a T-shaped branched tunnel fire with different branch slopes under natural ventilation. Tunn. Undergr. Space Technol. 2022, 126, 104508. [Google Scholar] [CrossRef]
  35. PATHFINDER Technical Reference; Thunderhead Engineering: Manhattan, KS, USA, 2017.
Figure 1. Bifurcated tunnel fire scenario model.
Figure 1. Bifurcated tunnel fire scenario model.
Fire 07 00202 g001
Figure 2. Temperature at 6.9 m height in the center of fire for different grid sizes.
Figure 2. Temperature at 6.9 m height in the center of fire for different grid sizes.
Fire 07 00202 g002
Figure 3. Evacuation scenario. (a) Fire A. (b) Fire B. (c) Fire C.
Figure 3. Evacuation scenario. (a) Fire A. (b) Fire B. (c) Fire C.
Fire 07 00202 g003
Figure 4. Distribution of safety boundaries of bifurcated tunnels in scenario A0 at 600 s. (a) Temperature distribution; (b) Carbon monoxide concentration distribution; (c) Visibility distribution.
Figure 4. Distribution of safety boundaries of bifurcated tunnels in scenario A0 at 600 s. (a) Temperature distribution; (b) Carbon monoxide concentration distribution; (c) Visibility distribution.
Fire 07 00202 g004
Figure 5. Scenario A0 visibility distribution.
Figure 5. Scenario A0 visibility distribution.
Fire 07 00202 g005
Figure 6. Smoke distribution in the center section of fire B at 250 s.
Figure 6. Smoke distribution in the center section of fire B at 250 s.
Fire 07 00202 g006
Figure 7. Branch tunnel ceiling temperature distribution of fire C.
Figure 7. Branch tunnel ceiling temperature distribution of fire C.
Fire 07 00202 g007
Figure 8. Ceiling wind velocity distribution of fire C.
Figure 8. Ceiling wind velocity distribution of fire C.
Fire 07 00202 g008
Figure 9. RSET of each scenario. (a) RSET of fire A; (b) RSET of fire B; (c) RSET of fire C.
Figure 9. RSET of each scenario. (a) RSET of fire A; (b) RSET of fire B; (c) RSET of fire C.
Fire 07 00202 g009
Figure 10. RSET of the optimized scenario.
Figure 10. RSET of the optimized scenario.
Fire 07 00202 g010
Figure 11. Composition of personnel without and with evacuation guide. (a) Exposed personnel of fire B; (b) Endangered personnel in fire B; (c) Exposed personnel of fire C; (d) Endangered personnel of fire C.
Figure 11. Composition of personnel without and with evacuation guide. (a) Exposed personnel of fire B; (b) Endangered personnel in fire B; (c) Exposed personnel of fire C; (d) Endangered personnel of fire C.
Fire 07 00202 g011
Table 1. Tunnel fire scenarios.
Table 1. Tunnel fire scenarios.
ScenarioFire LocationWind Velocity (m/s)
A0–A3A0, 1, 2, 3
B0–B3B0, 1, 2, 3
C0–C3C0, 1, 2, 3
Table 2. Safety boundary conditions for personnel evacuation.
Table 2. Safety boundary conditions for personnel evacuation.
TemperatureVisibilityCO Volume Fraction
≤60 °C≥10 m≤0.2%
Table 3. Vehicle parameters.
Table 3. Vehicle parameters.
ParameterLarge BusMedium BusMini BusLarge TruckMedium TruckMinivan
Distribution ratio/%1.6%6.3%76.2%1.6%4.8%9.5%
Vehicle length/m11.5751495.5
Vehicle width/m2.52.21.82.82.52.2
Full load capacity55205222
Table 4. Evacuee parameters.
Table 4. Evacuee parameters.
ParameterMeanStandard DeviationMaximumMinimum
Speed (m/s)1.350.251.850.85
Shoulder width (m)0.4820.046690.560.38
Table 5. Evacuation scenarios parameters.
Table 5. Evacuation scenarios parameters.
ScenarioFire LocationFull Load Rate (%)Number of EvacueeDoor Width (m)
1–9A50, 75, 100240, 359, 4791.0, 1.5, 2.0
10–18B50, 75, 100405, 608, 8101.0, 1.5, 2.0
19–27C50, 75, 100405, 608, 8101.0, 1.5, 2.0
Table 6. ASET of each scenario.
Table 6. ASET of each scenario.
ScenarioASET (s)FactorHazardous Area
A0375VIS
A1230VIS
A2455VIS
A3385VIS
B0370VIS
B1312VIS
B2243VIS
B3471VIS
C0457VIS
C1345VIS
C2398VIS
C3524VIS
Table 7. Evacuation success rate.
Table 7. Evacuation success rate.
ScenarioFire LocationVelocity (m/s)Success RateSafe or Not
4A1100%yes
7A1100%yes
8A1100%yes
9A1100%yes
10B2100%yes
11B2100%yes
12B00%no
12B2100%yes
13B1100%yes
13B2100%yes
14B2100%yes
15B2100%yes
16B1100%yes
16B2100%yes
17B1100%yes
17B2100%yes
18B2100%yes
22C1100%yes
25C1100%yes
Table 8. The critical tenability conditions.
Table 8. The critical tenability conditions.
ParameterCondition
Temperature≤68 °C
Visibility≥10 m
Oxygen concentration≥15%
Carbon dioxide concentration≤5%
Carbon monoxide concentration≤2800 ppm
Table 9. Composition of evacuees for each fire scenario.
Table 9. Composition of evacuees for each fire scenario.
ABC
0 m/sTotal479810810
Exposed132172113
Endangered0017
1 m/sTotal479810810
Exposed2164129
Endangered0725
2 m/sTotal479810810
Exposed2161127
Endangered01028
3 m/sTotal479810810
Exposed0137 131
Endangered03424
Disclaimer/Publisher’s Note: The statements, opinions and data contained in all publications are solely those of the individual author(s) and contributor(s) and not of MDPI and/or the editor(s). MDPI and/or the editor(s) disclaim responsibility for any injury to people or property resulting from any ideas, methods, instructions or products referred to in the content.

Share and Cite

MDPI and ACS Style

Chen, J.; Hu, Z.; Yang, S. Simulation of Fire Evacuation in a Naturally Ventilated Bifurcated Tunnel. Fire 2024, 7, 202. https://doi.org/10.3390/fire7060202

AMA Style

Chen J, Hu Z, Yang S. Simulation of Fire Evacuation in a Naturally Ventilated Bifurcated Tunnel. Fire. 2024; 7(6):202. https://doi.org/10.3390/fire7060202

Chicago/Turabian Style

Chen, Jianhong, Zekun Hu, and Shan Yang. 2024. "Simulation of Fire Evacuation in a Naturally Ventilated Bifurcated Tunnel" Fire 7, no. 6: 202. https://doi.org/10.3390/fire7060202

APA Style

Chen, J., Hu, Z., & Yang, S. (2024). Simulation of Fire Evacuation in a Naturally Ventilated Bifurcated Tunnel. Fire, 7(6), 202. https://doi.org/10.3390/fire7060202

Article Metrics

Back to TopTop