Estimating the Trade-Offs between Wildfires and Carbon Stocks across Landscape Types to Inform Nature-Based Solutions in Mediterranean Regions
Abstract
:1. Introduction
2. Materials and Methods
2.1. Study Area
2.2. Landscape Spatial Data
- Landscape composition
- Landscape diversity
- Landscape configuration
- Landscape typology
2.3. Fire Regime
2.4. Carbon Stock
2.5. Comparing the Relative Performance of Each Landscape Type for Fire Regimes and Carbon Stock
2.6. Simulation of the Probability of Occurrence of Hazardous Fire Regimes and Carbon Stock Levels Based on the Proportion of Forest Plantations and Its Conversion to Other LULC Classes to Obtain Corresponding Trade-Off Curves between the Probability of Hazardous Fire Regimes and Carbon Stock
3. Results
3.1. Landscape Characteristics
3.2. Fire Regime
3.3. Associations of Fire Regimes with Landscape Types
3.4. Carbon Stock
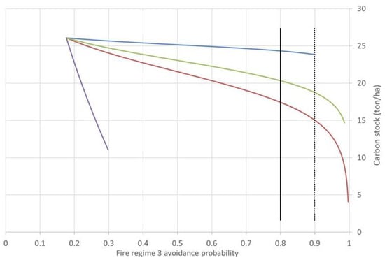
3.5. Associations between Forest Plantations, Hazardous Fire Regimes and Carbon Stock
4. Discussion
4.1. Methodological Prospects
4.2. Fire Regime and Carbon Stock Associations across Landscapes
4.3. Implications of Carbon Stock and Fire Protection Trade-Offs for Nature-Based Solutions
4.4. Limitations and Uncertainties
5. Conclusions
Supplementary Materials
Author Contributions
Funding
Institutional Review Board Statement
Informed Consent Statement
Data Availability Statement
Acknowledgments
Conflicts of Interest
References
- Grünig, M.; Seidl, R.; Senf, C. Increasing aridity causes larger and more severe forest fires across Europe. Glob. Chang. Biol. 2023, 29, 1648–1659. [Google Scholar] [CrossRef] [PubMed]
- Moreira, F.; Ascoli, D.; Safford, H.; Adams, M.A.; Moreno, J.M.; Pereira, J.M.C.; Catry, F.X.; Armesto, J.; Bond, W.; González, M.E.; et al. Wildfire management in Mediterranean-type regions: Paradigm change needed. Environ. Res. Lett. 2020, 15, 011001. [Google Scholar] [CrossRef]
- Fernandes, P.M.; Barros, A.M.G.; Pinto, A.; Santos, J.A. Characteristics and controls of extremely large wildfires in the western Mediterranean Basin. J. Geophys. Res. Biogeosci. 2016, 121, 2141–2157. [Google Scholar] [CrossRef]
- Turco, M.; Jerez, S.; Augusto, S.; Tarín-Carrasco, P.; Ratola, N.; Jiménez-Guerrero, P.; Trigo, R.M. Climate drivers of the 2017 devastating fires in Portugal. Sci. Rep. 2019, 9, 13886. [Google Scholar] [CrossRef] [PubMed]
- Regos, A.; Pais, S.; Campos, J.C.; Lecina-Diaz, J. Nature-based solutions to wildfires in rural landscapes of Southern Europe: Let’s be fire-smart! Int. J. Wildland Fire 2023, 32(6), 942–950. [Google Scholar] [CrossRef]
- Loepfe, L.; Martinez-Vilalta, J.; Oliveres, J.; Piñol, J.; Lloret, F. Feedbacks between fuel reduction and landscape homogenisation determine fire regimes in three Mediterranean areas. For. Ecol. Manag. 2010, 259, 2366–2374. [Google Scholar] [CrossRef]
- Tedim, F.; Leone, V.; Amraoui, M.; Bouillon, C.; Coughlan, M.R.; Delogu, G.M.; Fernandes, P.M.; Ferreira, C.; McCaffrey, S.; McGee, T.K.; et al. Defining extreme wildfire events: Difficulties, challenges, and impacts. Fire 2018, 1, 9. [Google Scholar] [CrossRef]
- Intergovernmental Panel on Climate Change. Technical Summary. In Climate Change and Land; Cambridge University Press: Cambridge, UK, 2022; pp. 37–74. [Google Scholar] [CrossRef]
- Ajani, J.I.; Keith, H.; Blakers, M.; Mackey, B.G.; King, H.P. Comprehensive carbon stock and flow accounting: A national framework to support climate change mitigation policy. Ecol. Econ. 2013, 89, 61–72. [Google Scholar] [CrossRef]
- Moreira, F.; Viedma, O.; Arianoutsou, M.; Curt, T.; Koutsias, N.; Rigolot, E.; Barbati, A.; Corona, P.; Vaz, P.; Xanthopoulos, G.; et al. Landscape—Wildfire interactions in southern Europe: Implications for landscape management. J. Environ. Manag. 2011, 92, 2389–2402. [Google Scholar] [CrossRef]
- Varela, E.; Pulido, F.; Moreno, G.; Zavala, M. Targeted policy proposals for managing spontaneous forest expansion in the Mediterranean. J. Appl. Ecol. 2020, 57, 2373–2380. [Google Scholar] [CrossRef]
- Oliveira, T.M.; Guiomar, N.; Baptista, F.O.; Pereira, J.M.C.; Claro, J. Is Portugal’s forest transition going up in smoke? Land Use Policy 2017, 66, 214–226. [Google Scholar] [CrossRef]
- Acácio, V.; Holmgren, M.; Rego, F.; Moreira, F.; Mohren, G.M.J. Are drought and wildfires turning Mediterranean cork oak forests into persistent shrublands? Agrofor. Syst. 2009, 76, 389–400. [Google Scholar] [CrossRef]
- Acácio, V.; Dias, F.S.; Catry, F.X.; Bugalho, M.N.; Moreira, F. Canopy cover loss of mediterranean oak woodlands: Long-term effects of management and climate. Ecosystems 2021, 24, 1775–1791. [Google Scholar] [CrossRef]
- Portuguese Environmental Agency. Portuguese National Inventory Report on Greenhouse Gases, 1990–2018; Portuguese Environmental Agency: Amadora, Portugal, 2020. [Google Scholar]
- Andrade, C.; Contente, J. Climate change projections for the Worldwide Bioclimatic Classification System in the Iberian Peninsula until 2070. Int. J. Climatol. 2020, 40, 5863–5886. [Google Scholar] [CrossRef]
- Pereira, J.; Silva, P.; Melo, I.; Oom, D.; Baldassarre, G.; Pereira, M. Cartografia de Regimes de Fogo à Escala da Freguesia, (1980–2017); Projetos AGIF 2021 (P32100231 Vila Real); Forestwise: Veghel, The Netherlands, 2022. [Google Scholar]
- Fernandes, P.M.; Pacheco, A.P.; Almeida, R.; Claro, J. The role of fire-suppression force in limiting the spread of extremely large forest fires in Portugal. Eur. J. For. Res. 2016, 135, 253–262. [Google Scholar] [CrossRef]
- Fernandes, P.M.; Rigolot, E. The fire ecology and management of maritime pine (Pinus pinaster Ait.). For. Ecol. Manag. 2007, 241, 1–13. [Google Scholar] [CrossRef]
- Rego, F.C.; Silva, J.S. Wildfires and landscape dynamics in Portugal: A regional assessment and global implications. In Forest Landscapes and Global Change: Challenges for Research and Management; Springer: New York, NY, USA, 2014; pp. 51–73. [Google Scholar] [CrossRef]
- Silva, J.S.; Vaz, P.; Moreira, F.; Catry, F.; Rego, F.C. Wildfires as a major driver of landscape dynamics in three fire-prone areas of Portugal. Landsc. Urban Plan. 2011, 101, 349–358. [Google Scholar] [CrossRef]
- Moreira, F.; Leal, M.; Bergonse, R.; Canadas, M.J.; Novais, A.; Oliveira, S.; Ribeiro, P.F.; Zêzere, J.L.; Santos, J.L. Recent Trends in Fire Regimes and Associated Territorial Features in a Fire-Prone Mediterranean Region. Fire 2023, 6, 60. [Google Scholar] [CrossRef]
- Rabelo, M.; Debolini, M.; Villani, R.; Sabbatini, T.; Silvestri, N. Expansion and specialization of agricultural systems in western mediterranean areas: A global analysis based on the two last census data. Agronomy 2021, 11, 904. [Google Scholar] [CrossRef]
- ICNF. 6o Inventário Florestal Nacional-Relatório Final; Instituto da Conservação da natureza e Florestas: Lisbon, Portugal, 2019. [Google Scholar]
- Billen, G.; Aguilera, E.; Einarsson, R.; Garnier, J.; Gingrich, S.; Grizzetti, B.; Lassaletta, L.; Le Noë, J.; Sanz-Cobena, A. Reshaping the European agro-food system and closing its nitrogen cycle: The potential of combining dietary change, agroecology, and circularity. One Earth 2021, 4, 839–850. [Google Scholar] [CrossRef]
- Pinto-Correia, T.; Vos, W. Multifunctionality in Mediterranean landscapes-past and future. New Dimens. Eur. Landsc. 2004, 4, 135–164. [Google Scholar]
- Tilman, D.; Cassman, K.; Matsons, P.; Naylor, R.; POlasky, S. Agricultural sustainability and intensive production practices. Nature 2002, 418, 671–677. [Google Scholar] [CrossRef]
- Fernandes, P.M.; Monteiro-Henriques, T.; Guiomar, N.; Loureiro, C.; Barros, A.M.G. Bottom-Up Variables Govern Large-Fire Size in Portugal. Ecosystems 2016, 19, 1362–1375. [Google Scholar] [CrossRef]
- Aquilué, N.; Fortin, M.J.; Messier, C.; Brotons, L. The Potential of Agricultural Conversion to Shape Forest Fire Regimes in Mediterranean Landscapes. Ecosystems 2020, 23, 34–51. [Google Scholar] [CrossRef]
- Bergonse, R.; Oliveira, S.; Zêzere, J.L.; Moreira, F.; Ribeiro, P.F.; Leal, M.; Santos, J.M.L.E. Biophysical controls over fire regime properties in Central Portugal. Sci. Total Environ. 2022, 810, 152314. [Google Scholar] [CrossRef]
- Scherr, S.J.; Shames, S.; Friedman, R. From climate-smart agriculture to climate-smart landscapes. Agric. Food Secur. 2012, 1. [Google Scholar] [CrossRef]
- Iglesias, M.C.; Hermoso, V.; Campos, J.C.; Carvalho-Santos, C.; Fernandes, P.M.; Freitas, T.R.; Honrado, J.P.; Santos, J.A.; Sil, Â.; Regos, A.; et al. Climate- and fire-smart landscape scenarios call for redesigning protection regimes to achieve multiple management goals. J. Environ. Manag. 2022, 322, 116045. [Google Scholar] [CrossRef]
- Duane, A.; Miranda, M.D.; Brotons, L. Forest connectivity percolation thresholds for fire spread under different weather conditions. For. Ecol. Manag. 2021, 498, 119558. [Google Scholar] [CrossRef]
- Fernandes, P.M. Creating Fire-Smart Forests and Landscapes-Forêt Méditerranéenne. 2010. Available online: https://hal.science/hal-03573285 (accessed on 25 January 2023).
- Fernandes, P.M. Fire-smart management of forest landscapes in the Mediterranean basin under global change. Landsc. Urban Plan. 2013, 110, 175–182. [Google Scholar] [CrossRef]
- Pais, S.; Aquilué, N.; Campos, J.; Sil, Â.; Marcos, B.; Martínez-Freiría, F.; Domínguez, J.; Brotons, L.; Honrado, J.P.; Regos, A. Mountain farmland protection and fire-smart management jointly reduce fire hazard and enhance biodiversity and carbon sequestration. Ecosyst. Serv. 2020, 44, 101143. [Google Scholar] [CrossRef]
- Campos, J.C.; Rodrigues, S.; Sil, Â.; Hermoso, V.; Freitas, T.R.; Santos, J.A.; Fernandes, P.M.; Azevedo, J.C.; Honrado, J.P.; Regos, A. Climate regulation ecosystem services and biodiversity conservation are enhanced differently by climate-and fire-smart landscape management. Environ. Res. Lett. 2022, 17, 054014. [Google Scholar] [CrossRef]
- Keith, H.; Vardon, M.; Obst, C.; Young, V.; Houghton, R.A.; Mackey, B. Evaluating nature-based solutions for climate mitigation and conservation requires comprehensive carbon accounting. Sci. Total Environ. 2021, 769, 144341. [Google Scholar] [CrossRef] [PubMed]
- Sil, Â.; Azevedo, J.C.; Fernandes, P.M.; Alonso, J.; Honrado, J.P. Fine-tuning the BFOLDS Fire Regime Module to support the assessment of fire-related functions and services in a changing Mediterranean mountain landscape. Environ. Model. Softw. 2022, 155, 105464. [Google Scholar] [CrossRef]
- Barros, A.M.G.; Pereira, J.M.C. Wildfire selectivity for land cover type: Does size matter? PLoS ONE 2014, 9, e84760. [Google Scholar] [CrossRef]
- Oliveira, S.; Gonçalves, A.; Zêzere, J.L. Reassessing wildfire susceptibility and hazard for mainland Portugal. Sci. Total. Environ. 2020, 762, 143121. [Google Scholar] [CrossRef]
- Fernández-Guisuraga, J.M.; Martins, S.; Fernandes, P.M. Characterization of biophysical contexts leading to severe wildfires in Portugal and their environmental controls. Sci. Total Environ. 2023, 875, 162575. [Google Scholar] [CrossRef]
- Meneses, B.M.; Reis, E.; Reis, R. Assessment of the recurrence interval of wildfires in mainland portugal and the identification of affected luc patterns. J. Maps 2018, 14, 282–292. [Google Scholar] [CrossRef]
- Fernandes, P.M.; Guiomar, N.; Rossa, C.G. Analysing eucalypt expansion in Portugal as a fire-regime modifier. Sci. Total Environ. 2019, 666, 79–88. [Google Scholar] [CrossRef]
- Cruz, M.G.; Alexander, M.E.; Fernandes, P.M. Evidence for lack of a fuel effect on forest and shrubland fire rates of spread under elevated fire danger conditions: Implications for modelling and management. Int. J. Wildland Fire 2022, 31, 471–479. [Google Scholar] [CrossRef]
- Ribeiro, P.F.; Moreira, F.; Canadas, M.J.; Novais, A.; Leal, M.; Oliveira, S.; Bergonse, R.; Zêzere, J.L.; Santos, J.L. Promoting Low-Risk Fire Regimes: An Agent-Based Model to Explore Wildfire Mitigation Policy Options. Fire 2023, 6, 102. [Google Scholar] [CrossRef]
- INE. Recenseamento agrícola-Análise dos Principais Resultados 2019; INE: Lisbon, Portugal, 2021. [Google Scholar]
- Mechenich, M.F.; Žliobaitė, I. Eco-ISEA3H, a machine learning ready spatial database for ecometric and species distribution modeling. Sci. Data 2023, 10, 1, 77. [Google Scholar] [CrossRef]
- Peters, D.; Goslee, S. Landscape diversity. Encycl. Biodivers. 2001, 3, 645–658. [Google Scholar]
- Nagendra, H. Opposite Trends in Response for the Shannon and Simpson Indices of Landscape Diversity. 2002. Available online: www.elsevier.com/locate/apgeog (accessed on 22 March 2023).
- Shannon, C.E. The Mathematical Theory of Communication, by CE Shannon, (and Recent Contributions to the Mathematical Theory of Communication); W. Weaver: Champaign, IL, USA, 1949. [Google Scholar]
- McGarigal, K.; Marks, B.J. FRAGSTATS: Spatial Pattern Analysis Program for Quantifying Landscape Structure; United States Department of Agriculture, Forest Service, Pacific Northwest Research Station: Portland, OR, USA, 1995. [Google Scholar]
- Ward, J.H. Hierarchical Grouping to Optimize an Objective Function. J. Am. Stat. Assoc. 1963, 58, 301. [Google Scholar] [CrossRef]
- Krebs, P.; Pezzatti, G.B.; Mazzoleni, S.; Talbot, L.M.; Conedera, M. Fire regime: History and definition of a key concept in disturbance ecology. Theory Biosci. 2010, 129, 53–69. [Google Scholar] [CrossRef] [PubMed]
- Whitlock, C.; Higuera, P.E.; Mcwethy, D.B.; Briles, C.E. Paleoecological Perspectives on Fire Ecology: Revisiting the Fire-Regime Concept. The Open Ecology Journal 2010, 3, 6–23. [Google Scholar] [CrossRef]
- Royé, D.; Tedim, F.; Martin-Vide, J.; Salis, M.; Vendrell, J.; Lovreglio, R.; Bouillon, C.; Leone, V. Wildfire burnt area patterns and trends in Western Mediterranean Europe via the application of a concentration index. Land Degrad. Dev. 2020, 31, 311–324. [Google Scholar] [CrossRef]
- Cotrufo, M.F.; Lavallee, J.M. Soil organic matter formation, persistence, and functioning: A synthesis of current understanding to inform its conservation and regeneration. Adv. Agron. 2022, 172, 1–66. [Google Scholar] [CrossRef]
- Rasel, S.M.M.; Groen, T.A.; Hussin, Y.A.; Diti, I.J. Proxies for soil organic carbon derived from remote sensing. Int. J. Appl. Earth Obs. Geoinf. 2017, 59, 157–166. [Google Scholar] [CrossRef]
- Cohen, J. Eta-Squared and Partial Eta-Squared in Fixed Factor Anova Designs. Educ. Psychol. Meas. 1973, 33, 107–112. [Google Scholar] [CrossRef]
- da Costa, C.A.; Santos, J.L. Estimating the demand curve for sustainable use of pesticides from contingent-valuation data. Ecol. Econ. 2016, 127, 121–128. [Google Scholar] [CrossRef]
- Lerma-Arce, V.; Yagüe-Hurtado, C.; Van den Berg, H.; García-Folgado, M.; Oliver-Villanueva, J.V.; Benhalima, Y.; Marques-Duarte, I.; Acácio, V.; Rego, F.C.; López-Senespleda, E.; et al. Development of a Model to Estimate the Risk of Emission of Greenhouse Gases from Forest Fires. Fire 2023, 6, 8. [Google Scholar] [CrossRef]
- del Barrio, G.; Puigdefabregas, J.; Sanjuan, M.E.; Stellmes, M.; Ruiz, A. Assessment and monitoring of land condition in the Iberian Peninsula, 1989–2000. Remote Sens. Environ. 2010, 114, 1817–1832. [Google Scholar] [CrossRef]
- Cañellas, I.; Sánchez-Gonzáles, M.; Bogino, S.M.; Adame, P.; Moreno-Fernández, D.; Roig, S.; Tomé, M.; Paulo, J.A.; Bravo, F. Carbon sequestration in mediterranean oak forests. In Managing Forest Ecosystems: The Challenge of Climate Change; Springer: Cham, Switzerland, 2017; Volume 34. [Google Scholar] [CrossRef]
- Silva, J.S.; Moreira, F.; Vaz, P.; Catry, F.; Godinho-Ferreira, P. Assessing the relative fire proneness of different forest types in Portugal. Plant Biosyst. 2009, 143, 597–608. [Google Scholar] [CrossRef]
- Bergonse, R.; Oliveira, S.; Santos, P.; Zêzere, J.L. Wildfire Risk Levels at the Local Scale: Assessing the Relative Influence of Hazard, Exposure, and Social Vulnerability. Fire 2022, 5, 166. [Google Scholar] [CrossRef]
- CTI; Guerreiro, J.; Fonseca, C.; Salgueiro, A.; Fernandes, P.; Iglesias, E.; Neufville, R.; Mateus, F.; Ribau, M.; Silva, J.; et al. Análise e Apuramento dos Factos Relativos aos Incêndios Que Ocorreram em Pedrogão Grande, Castanheira de Pêra, Figueiró dos Vinhos, Arganil, Góis, Penela, Pampilhosa da Serra, Oleiros e Sertã, Entre 17 e 24 de Junho de 2017; Comissão Técnica Independente: Lisbon, Portugal, 2017. [Google Scholar]
- Nunes, L.J.R.; Meireles, C.I.R.; Gomes, C.J.P.; Ribeiro, N.M.C.A. Forest contribution to climate change mitigation: Management oriented to carbon capture and storage. Climate 2020, 8, 21. [Google Scholar] [CrossRef]
- Carvalho, J.P.F. Silvicultura Próxima da Natureza-Conciliar Economia e Ecologia Para Uma Silvicultura Multifuncional, Rentável e Sustentável, 1st ed.; Quântica Editora: Porto, Portugal, 2018. [Google Scholar]
- Proença, V.M.; Pereira, H.M.; Guilherme, J.; Vicente, L. Plant and bird diversity in natural forests and in native and exotic plantations in NW Portugal. Acta Oecologica 2010, 36, 219–226. [Google Scholar] [CrossRef]
- Carvalho-Santos, C.; Sousa-Silva, R.; Gonçalves, J.; Honrado, J.P. Ecosystem services and biodiversity conservation under forestation scenarios: Options to improve management in the Vez watershed, NW Portugal. Reg. Environ. Chang. 2016, 16, 1557–1570. [Google Scholar] [CrossRef]
- Sousa, J.P.; Da Gama, M.M.; Ferreira, C.; Barrocas, H. Effect of eucalyptus plantations on Collembola communities in Portugal: A review. Belgian Journal of Entomology. 2000, 2, 187. [Google Scholar]
- Oliveira, T.M.; Barros, A.M.G.; Ager, A.A.; Fernandes, P.M. Assessing the effect of a fuel break network to reduce burnt area and wildfire risk transmission. Int. J. Wildland Fire 2016, 25, 619–632. [Google Scholar] [CrossRef]
- Franzluebbers, A.J.; Lemaire, G.; Carvalho, P.C.D.F.; Sulc, R.M.; Dedieu, B. Toward agricultural sustainability through integrated crop-livestock systems. III. Social aspects. Renew. Agric. Food Syst. 2014, 29, 192–194. [Google Scholar] [CrossRef]
- Fernandes, P.M.; Davies, G.M.; Ascoli, D.; Fernández, C.; Moreira, F.; Rigolot, E.; Stoof, C.R.; Vega, J.A.; Molina, D. Prescribed burning in southern Europe: Developing fire management in a dynamic landscape. Front. Ecol. Environ. 2013, 11, 120298. [Google Scholar] [CrossRef]
- Rolo, V.; Roces-Diaz, J.V.; Torralba, M.; Kay, S.; Fagerholm, N.; Aviron, S.; Burgess, P.; Crous-Duran, J.; Ferreiro-Dominguez, N.; Graves, A.; et al. Mixtures of forest and agroforestry alleviate trade-offs between ecosystem services in European rural landscapes. Ecosyst. Serv. 2021, 50, 101318. [Google Scholar] [CrossRef]
- Cantarello, E.; Newton, A.C.; Martin, P.A.; Evans, P.M.; Gosal, A.; Lucash, M.S. Quantifying resilience of multiple ecosystem services and biodiversity in a temperate forest landscape. Ecol. Evol. 2017, 7, 9661–9675. [Google Scholar] [CrossRef] [PubMed]
- Dardonville, M.; Manondardonville, M.; Bockstaller, C.; Therond, O. Title: Resilience of agricultural systems: Biodiversity-based systems are stable, while intensified ones are 1 resistant and high-yielding. Agric. Syst. 2022, 2, 103365. [Google Scholar] [CrossRef]
- Costa, R.; Fraga, H.; Fernandes, P.M.; Santos, J.A. Implications of future bioclimatic shifts on Portuguese forests. Reg. Environ. Chang. 2017, 17, 117–127. [Google Scholar] [CrossRef]
- CTI; Guerreiro, J.; Fonseca, C.; Salgueiro, A.; Fernandes, P.; Iglesias, E.L.; de Neufville, R.; Mateus, F.; Ribau, M.C.; Silva, J.S.; et al. Avaliação dos Incêndios Ocorridos Entre 14 e 16 de Outubro de 2017 em Portugal Continental; Comissão Técnica Independente: Lisbon, Portugal, 2018. [Google Scholar]
- OTI; Rego, F.C.; Fernandes, P.; Silva, J.S.; Azevedo, J.; Moura, J.M.; Oliveira, E.; Cortes, R.; Viegas, D.X.; Caldeira, D.; et al. Avaliação do Incêndio de Monchique; Observatório Técnico Independente Publisher: Lisbon, Portugal, 2019. [Google Scholar]
- República Portuguesa. Portuguese Carbon Neutrality Roadmap; Lisbon, 2019. Available online: https://www.portugal.gov.pt/download-ficheiros/ficheiro.aspx?v=%3D%3DBAAAAB%2BLCAAAAAAABACzMDexBAC4h9DRBAAAAA%3D%3D (accessed on 25 January 2023).










| Species | Ton C ha−1 | Source |
|---|---|---|
| Chestnut tree | 86.76 | IFN 1 |
| Acacia | 54.54 | |
| Oaks (deciduous) | 45.8 | |
| Other conifers | 41.06 | |
| Other broadleaves | 33.5 | |
| Umbrella pine | 32.39 | |
| Maritime pine | 31.32 | |
| Eucalypt | 25.76 | |
| Cork oak | 25.53 | |
| Holm oak | 22.97 | |
| Carob tree | 16.99 | |
| Shrubs | 13.72 | NIR, 2020 [15] |
| Olive orchards | 10.72 | |
| Other permanent cultures | 9.94 | |
| Vineyards | 3.67 | |
| Grasslands | 1.47 | |
| Annual agriculture crops | 0.62 |
| Variable | PC1 | PC2 |
|---|---|---|
| Cohesion | −0.880 | 0 |
| Mean contiguity | 0.121 | 0.990 |
| Largest Patch Index | −0.905 | 0 |
| Edge density | 0.958 | −0.106 |
| Number of patches | 0.856 | 0 |
| Explained variance (%) | 64.843 | 20.436 |
| Landscape Types | N | Composition | Diversity | Configuration | |||||||
|---|---|---|---|---|---|---|---|---|---|---|---|
| Farmland | Agroforestry | Plantations | Native Forests | Shrubland | Shannon | Shannon Evenness | Richness | Edge Density | Mean Contiguity | ||
| 1-Specialized agricultural landscapes | 524 | 0.718 | 0.095 | 0.052 | 0.085 | 0.050 | 0.776 | 0.522 | 4.416 | 1.231 | 0.267 |
| 2-Mixed agroforestry landscapes | 153 | 0.322 | 0.552 | 0.008 | 0.114 | 0.004 | 0.924 | 0.650 | 4.235 | −0.445 | −0.094 |
| 3-Mixed landscape with shrubland, farmland and native forests | 609 | 0.290 | 0.009 | 0.162 | 0.183 | 0.356 | 1.183 | 0.817 | 4.291 | −0.266 | −0.283 |
| 4- Mixed native forest landscapes | 598 | 0.250 | 0.155 | 0.123 | 0.416 | 0.056 | 1.164 | 0.733 | 4.906 | −0.564 | 0.286 |
| 5-Mixed landscapes with plantations and farmland | 459 | 0.287 | 0.003 | 0.494 | 0.108 | 0.109 | 1.065 | 0.738 | 4.283 | −0.177 | 0.039 |
| 6-Specialized plantations landscapes | 252 | 0.125 | 0.001 | 0.778 | 0.048 | 0.048 | 0.671 | 0.481 | 4.032 | −0.830 | −0.541 |
| Total | 2595 | ||||||||||
| Landscape Types | Fire Regime (FR) | Ton C ha−1 | |||
|---|---|---|---|---|---|
| 1 | 2 | 3 | |||
| 1-Specialized agricultural landscape | Proportion of FRs | 97.1% | 1.5% | 1.3% | 8.3 |
| Adjusted Residuals | + | − | − | ||
| 2-Mixed agroforestry landscape | Proportion of FRs | 100% | 0% | 0% | 13.4 |
| Adjusted Residuals | + | − | − | ||
| 3-Mixed landscape with shrubland, farmland and native forest | Proportion of FRs | 31.4% | 46.5% | 22.2% | 14.6 |
| Adjusted Residuals | − | + | + | ||
| 4- Mixed native forest landscapes | Proportion of FRs | 90.0% | 1.7% | 8.4% | 16.2 |
| Adjusted Residuals | + | − | − | ||
| 5-Mixed landscapes with plantations and farmland | Proportion of FRs | 46.2% | 24.0% | 29.8% | 17.8 |
| Adjusted Residuals | − | + | + | ||
| 6-Specialized plantation landscapes | Proportion of FRs | 28.2% | 8.3% | 63.5% | 22.8 |
| Adjusted Residuals | − | − | + | ||
| TOTAL | Proportion of FRs | 64.5% | 16.6% | 18.8% | |
| Variable | Beta | SE | 95% CI | EXP (B) | p | |
|---|---|---|---|---|---|---|
| LL | UL | |||||
| (Intercept) | −2.88 | 0.098 | 0.056 | 0.000 | ||
| PLA % | 0.042 | 0.002 | 1.038 | 1.047 | 1.043 | 0.000 |
| N | 2766 | |||||
| Nagelkerke’s R2 | 0.268 | |||||
| Prediction accuracy | 0.846 | |||||
| Chi-square sign | 0.000 | |||||
Disclaimer/Publisher’s Note: The statements, opinions and data contained in all publications are solely those of the individual author(s) and contributor(s) and not of MDPI and/or the editor(s). MDPI and/or the editor(s) disclaim responsibility for any injury to people or property resulting from any ideas, methods, instructions or products referred to in the content. |
© 2023 by the authors. Licensee MDPI, Basel, Switzerland. This article is an open access article distributed under the terms and conditions of the Creative Commons Attribution (CC BY) license (https://creativecommons.org/licenses/by/4.0/).
Share and Cite
Simões, R.S.; Ribeiro, P.F.; Santos, J.L. Estimating the Trade-Offs between Wildfires and Carbon Stocks across Landscape Types to Inform Nature-Based Solutions in Mediterranean Regions. Fire 2023, 6, 397. https://doi.org/10.3390/fire6100397
Simões RS, Ribeiro PF, Santos JL. Estimating the Trade-Offs between Wildfires and Carbon Stocks across Landscape Types to Inform Nature-Based Solutions in Mediterranean Regions. Fire. 2023; 6(10):397. https://doi.org/10.3390/fire6100397
Chicago/Turabian StyleSimões, Rui Serôdio, Paulo Flores Ribeiro, and José Lima Santos. 2023. "Estimating the Trade-Offs between Wildfires and Carbon Stocks across Landscape Types to Inform Nature-Based Solutions in Mediterranean Regions" Fire 6, no. 10: 397. https://doi.org/10.3390/fire6100397
APA StyleSimões, R. S., Ribeiro, P. F., & Santos, J. L. (2023). Estimating the Trade-Offs between Wildfires and Carbon Stocks across Landscape Types to Inform Nature-Based Solutions in Mediterranean Regions. Fire, 6(10), 397. https://doi.org/10.3390/fire6100397

