Phenology Patterns and Postfire Vegetation Regeneration in the Chiquitania Region of Bolivia Using Sentinel-2
Abstract
:1. Introduction
2. Materials and Methods
2.1. Study Area
2.2. Data Sources and Methods
2.3. Forest Fire Scars
2.4. Phenological Patterns of Burned and Unburned Areas
2.5. Fire Severity Levels Based on dNBR
2.6. Fire Severity Based on Composite Burn Index (CBI)
2.7. Statistical Analysis
3. Results
3.1. Phenological Patterns of Burned and Unburned Areas
3.2. Fire Severity Levels Based on dNBR
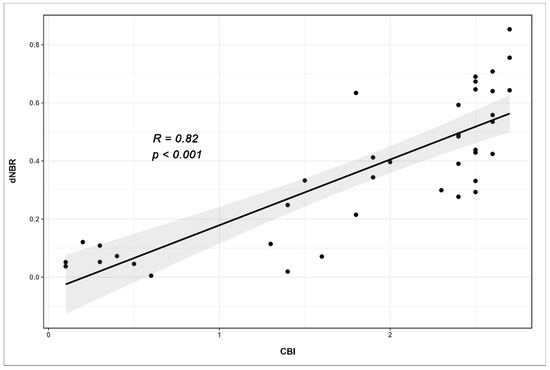
3.3. Fire Severity Based on CBI
4. Discussion
5. Conclusions
Supplementary Materials
Author Contributions
Funding
Institutional Review Board Statement
Informed Consent Statement
Data Availability Statement
Acknowledgments
Conflicts of Interest
References
- Lizundia-Loiola, J.; Pettinari, M.L.; Chuvieco, E. Temporal Anomalies in Burned Area Trends: Satellite Estimations of the Amazonian 2019 Fire Crisis. Remote Sens. 2020, 12, 151. [Google Scholar] [CrossRef] [Green Version]
- Bilbao, B.; Steil, L.; Urbieta, I.R.; Anderson, L.; Pinto, C.; González, M.E.; Millán, A.; Falleiro, R.M.; Morici, E.; Ibarnegaray, V.; et al. Adaptation to Climate Change Risks in Ibero-American Countries; Moreno, J.M., Laguna-Defior, C., Barros, V., Buendía, E.C., Ma-rengo, J.A., Spring, U.O., Eds.; RIOCCADAPT Report; McGraw Hill: Madrid, Spain, 2020; pp. 435–496. [Google Scholar]
- Maillard, O.; Herzog, S.K.; Soria-Auza, R.W.; Vides-Almonacid, R. Impact of Fires on Key Biodiversity Areas (KBAs) and Priority Bird Species for Conservation in Bolivia. Fire 2022, 5, 4. [Google Scholar] [CrossRef]
- Devisscher, T.; Malhi, Y.; Boyd, E. Deliberation for wildfire risk management: Addressing conflicting views in the Chiquitania, Bolivia. Geogr. J. 2019, 185, 38–54. [Google Scholar] [CrossRef]
- Maillard, O.; Vides-Almonacid, R.; Flores-Valencia, M.; Coronado, R.; Vogt, P.; Vicente-Serrano, S.; Azurduy, H.; Anívarro, R.; Cuellar, R. Relationship of Forest Cover Fragmentation and Drought with the Occurrence of Forest Fires in the Department of Santa Cruz, Bolivia. Forests 2020, 11, 910. [Google Scholar] [CrossRef]
- GADSC (Gobierno Autónomo Departamental de Santa Cruz). Plan Estratégico Para la Implementación del Plan de Recuperación de las Áreas Afectadas por los Incendios en el Departamento de Santa Cruz; Gobierno Departamental de Santa Cruz-Secretaría de Desarrollo Sostenible y Medio Ambiente-FCBC-PNUD: Santa Cruz de la Sierra, Bolivia, 2020; 172p. [Google Scholar]
- Flores-Valencia, M.; Maillard, O. Detección y Cuantificación de los Incendios Forestales 2020: Un Análisis de la Afectación en Municipios, Tierras de Producción Forestal Permanente (TPFP) y Áreas Protegidas del Departamento de Santa Cruz, Bolivia. Informe técnico del Observatorio Bosque Seco Chiquitano; Fundación para la Conservación del Bosque Chiquitano: Santa Cruz, Bolivia, 2021; 68p. [Google Scholar]
- Crowley, M.A.; Cardille, J.A. Remote Sensing’s Recent and Future Contributions to Landscape Ecology. Curr. Landsc. Ecol. Rep. 2020, 5, 45–57. [Google Scholar] [CrossRef]
- Hansen, M.C.; Potapov, P.V.; Moore, R.; Hancher, M.; Turubanova, S.A.; Tyukavina, A.; Thau, D.; Stehman, S.V.; Goetz, S.J.; Loveland, T.R.; et al. High-resolution global maps of 21st–century forest cover change. Science 2013, 342, 850–853. [Google Scholar] [CrossRef] [Green Version]
- Pettinari, M.L.; Chuvieco, E. Fire Danger Observed from Space. Surv. Geophys. 2020, 41, 6, 1437–1459. [Google Scholar] [CrossRef]
- Song, X.-P.; Hansen, M.C.; Stehman, S.V.; Potapov, P.V.; Tyukavina, A.; Vermote, E.F.; Townshend, J.R. Global land change from 1982 to 2016. Nature 2018, 560, 639–643. [Google Scholar] [CrossRef]
- Li, S.; Potter, C. Vegetation regrowth trends in post forest fire ecosystems across North America from 2000 to 2010. Nat. Sci. 2012, 4, 755–770. [Google Scholar] [CrossRef] [Green Version]
- Bright, B.C.; Hudak, A.T.; Kennedy, R.E.; Braaten, J.D.; Khalyani, A.H. Examining post-fire vegetation recovery with Landsat time series analysis in three western North American forest types. Fire Ecol. 2019, 15, 8. [Google Scholar] [CrossRef] [Green Version]
- Eastman, J.R.; Sangermano, F.; Machado, E.A.; Rogan, J.; Anyamba, A.A. Global trends in seasonality of Normalized Difference Vegetation Index (NDVI), 1982–2011. Remote Sens. 2013, 5, 4799–4818. [Google Scholar] [CrossRef] [Green Version]
- Chen, X.; Vogelmann, J.; Rollins, M.; Ohlen, D.; Key, C.H.; Yang, L.; Huang, C.; Shi, H. Detecting post-fire burn severity and vegetation recovery using multitemporal remote sensing spectral indices and field-collected composite burn index data in a ponderosa pine forest. Int. J. Remote Sens. 2011, 32, 7905–7927. [Google Scholar] [CrossRef]
- Franco, M.; Lemus-Canovas, M. Field observations and remote sensing techniques for evaluation of vegetal recovery after different wildfire severity in a Mediterranean ecosystem. Bosque 2021, 42, 245–258. [Google Scholar] [CrossRef]
- Arévalo, P.; Bullock, E.L.; Woodcock, C.E.; Olofsson, P. A Suite of Tools for Continuous Land Change Monitoring in Google Earth Engine. Front. Clim. 2020, 2, 576740. [Google Scholar] [CrossRef]
- Van Leeuwen, W.J.D.; Casady, G.M.; Neary, D.G.; Bautista, S.; Alloza, J.A.; Carmel, Y.; Wittenberg, L.; Malkinson, D.; Orr, B.J. Monitoring post-wildfire vegetation response with remotely sensed time-series data in Spain, USA and Israel. Int. J. Wildland Fire 2010, 19, 75–93. [Google Scholar] [CrossRef]
- Venkatappa, M.; Sasaki, N.; Shrestha, R.P.; Tripathi, N.K.; Ma, H.-O. Determination of Vegetation Thresholds for Assessing Land Use and Land Use Changes in Cambodia using the Google Earth Engine Cloud-Computing Platform. Remote Sens. 2019, 11, 1514. [Google Scholar] [CrossRef] [Green Version]
- Chu, T.; Guo, X. Remote Sensing Techniques in Monitoring Post-Fire Effects and Patterns of Forest Recovery in Boreal Forest Regions: A Review. Remote Sens. 2013, 6, 470–520. [Google Scholar] [CrossRef] [Green Version]
- Maillard, O.; Aguilera, V.; Uyuni, G. Evaluación de la detección de la deforestación y degradación usando CLAS-lite: Estudio de caso en un área montañosa de transición en Bolivia. Kempffiana 2019, 15, 1–16. [Google Scholar]
- Vides-Almonacid, R.; Reichle, S.; Padilla, F. Planificación Ecorregional del Bosque Seco Chiquitano; Editorial Fundación para la Conservación del Bosque Chiquitano: Santa Cruz, Bolivia, 2007; 245p. [Google Scholar]
- McDaniel, J.; Kennard, D.; Fuentes, A. Smokey the tapir: Traditional fire knowledge and fire prevention cam-paigns in lowland Bolivia. Soc. Nat. Resour. 2005, 18, 921–931. [Google Scholar] [CrossRef]
- CEJIS. Incendios en Territorios Indígenas de las Tierras Bajas de Bolivia. Análisis del Periodo 2010–2020; Centro de Estudios Jurídicos e Investigación Social (CEJIS), Centro de Planificación Territorial Autonómica (CPTA): Santa Cruz, Bolivia, 2021; 183p. [Google Scholar]
- Anívarro, R.; Azurduy, H.; Maillard, O.; Markos, A. Diagnóstico por Teledetección de Áreas Quemadas en la Chiquitania; Informe Técnico del Observatorio del Bosque Seco Chiquitano; Fundación para la Conservación del Bosque: Chiquitano, Santa Cruz, Bolivia, 2019; p. 70. [Google Scholar]
- Drusch, M.; Del Bello, U.; Carlier, S.; Colin, O.; Fernandez, V.; Gascon, F.; Hoersch, B.; Isola, C.; Laberinti, P.; Martimort, P.; et al. Sentinel-2: ESA’s Optical High-Resolution Mission for GMES Operational Services. Remote Sens. Environ. 2012, 120, 25–36. [Google Scholar] [CrossRef]
- Tucker, C.J. Red and photographic infrared linear combinations for monitoring vegetation. Remote Sens. Environ. 1979, 8, 127–150. [Google Scholar] [CrossRef] [Green Version]
- Key, C.H.; Benson, N.C. Landscape assessment: Ground measure of severity, the composite burn index; and re-mote sensing of severity, the normalized burn ratio. In Fire Effects Monitoring and Inventory System; Lutes, D.C., Keane, R.E., Caratti, J.F., Key, C.H., Benson, N.C., Sutherland, S., Gangi, L.J., Eds.; USDA Forest Service, Rocky Mountain Research Station: Ogden, UT, USA, 2006; pp. 219–273. [Google Scholar]
- Tou, J.T.; Gonzalez, R.C. Pattern Recognition Principles; Addison-Wesley Publishing Company: Reading, MA, USA, 1974. [Google Scholar]
- Olofsson, P.; Foody, G.M.; Herold, M.; Stehman, S.V.; Woodcock, C.E.; Wulder, M.A. Good practices for estimating area and assessing accuracy of land change. Remote Sens. Environ. 2014, 148, 42–57. [Google Scholar] [CrossRef]
- Shumway, R.H.; Stoffer, D.S. Time Series Analysis and its Applications; Springer International Publishing: Cham, Switzerland, 2017. [Google Scholar]
- Clinton, N. Lab 6: Time series analysis. In Introductory Remote Sensing Code Labs; Geospatial Analysis Lab, University of San Francisco: San Francisco, CA, USA, 2019; Available online: https://docs.google.com/document/d/1mNIRB90jwLuASO1JYas1kuOXCLbOoy1Z4NlV1qIXM10/edit# (accessed on 16 February 2021).
- Johnstone, J.; Kasischke, E.S. Stand-level effects of soil burn severity on postfire regeneration in a recently burned black spruce forest. Can. J. For. Res. 2005, 35, 2151–2163. [Google Scholar] [CrossRef] [Green Version]
- Epting, J.; Verbyla, D.; Sorbel, B. Evaluation of remotely sensed indices for assessing burn severity in interior Alaska using Landsat TM and ETM+. Remote Sens. Environ. 2005, 96, 328–339. [Google Scholar] [CrossRef]
- De Santis, A.; Chuvieco, E. GeoCBI: A modified version of the Composite Burn Index for the initial assessment of the short-term burn severity from remotely sensed data. Remote Sens. Environ 2009, 113, 554–562. [Google Scholar] [CrossRef]
- Arellano, S.; Vega, J.A.; Silva, F.R.y.; Fernández, C.; Vega-Nieva, D. Validación de los índices de teledetección dNBR y RdNBR para determinar la severidad del fuego en el incendio forestal de Oia-O Rosal (Pontevedra) en 2013. Revista de Teledetección 49 (Número Especial) 2017, 49, 49–61. [Google Scholar] [CrossRef] [Green Version]
- R Development Core Team. R: A Language and Environment for Statistical Computing; R Foundation for Statistical Computing: Vienna, Austria, 2013; Available online: https://www.R-project.org/ (accessed on 15 May 2022).
- Miller, J.D.; Thode, A.E. Quantifying burn severity in a heterogeneous landscape with a relative version of the delta Normalized Burn Ratio (dNBR). Remote Sens. Environ. 2007, 109, 66–80. [Google Scholar] [CrossRef]
- Lentile, L.B.; Holden, Z.A.; Smith, A.M.S.; Falkowski, M.J.; Hudak, A.T.; Morgan, P.; Lewis, S.A.; Gessler, P.E.; Benson, N.C. Remote sensing techniques to assess active fire characteristics and post-fire effects. Int. J. Wildland Fire 2006, 15, 319–345. [Google Scholar] [CrossRef]
- World Meteorological Organization, (WMO). State of the Climate in Latin America and the Caribbean 2020 (WMO-No. 1272, 2021). Available online: https://library.wmo.int/doc_num.php?explnum_id=10876 (accessed on 31 October 2021).
- Jones, H.G.; Vaughan, R.A. Remote Sensing of Vegetation. Principles, Techniques, and Applications; Oxford University Press: New York, NY, USA, 2010. [Google Scholar]
- Chuvieco, E. Earth Observation of Wildland Fires in Mediterranean Ecosystems; Springer-Verlag: Berlin/Heidelberg, Germany, 2009. [Google Scholar]
- Xofis, P.; Buckley, P.G.; Takos, I.; Mitchley, J. Long Term Post-Fire Vegetation Dynamics in North-East Mediterranean Ecosystems. The Case of Mount Athos Greece. Fire 2021, 4, 92. [Google Scholar] [CrossRef]
- Volkova, L.; Adinugroho, W.C.; Krisnawati, H.; Imanuddin, R.; Weston, C.J. Loss and Recovery of Carbon in Repeatedly Burned Degraded Peatlands of Kalimantan, Indonesia. Fire 2021, 4, 64. [Google Scholar] [CrossRef]
- Devisscher, T.; Anderson, L.O.; Aragão, L.E.O.C.; Galván, L.; Malhi, L. Increased wildfire risk driven by climate and development interactions in Bolivian Chiquitania, southern Amazonia. PLoS ONE 2016, 11, e0161323. [Google Scholar] [CrossRef] [PubMed] [Green Version]
- Fundación Amigos de la Naturaleza. Atlas Socioambiental de las Tierras Bajas y Yungas de Bolivia; Editorial FAN: Santa Cruz, Bolivia, 2015. [Google Scholar]
- van Wagtendonk, J.W.; Root, R.R.; Key, C.H. Comparison of AVIRIS and Landsat ETM+ detection capabilities for burn severity. Remote Sens. Environ. 2004, 92, 397–408. [Google Scholar] [CrossRef]
- Cocke, A.E.; Fulé, P.Z.; Crouse, J.E. Comparison of burn severity assessments using Differenced Normalized Burn Ratio and ground data. Int. J. Wildland Fire 2005, 14, 189–198. [Google Scholar] [CrossRef] [Green Version]
- Picotte, J.J.; Robertson, K.M. Validation of remote sensing of burn severity in south-eastern US ecosystems. Int. J. Wildland Fire 2011, 20, 453. [Google Scholar] [CrossRef]
- Veraverbeke, S.; Lhermitte, S.; Verstraeten, W.W.; Goossens, R. The temporal dimension of differenced Normalized Burn Ratio (dNBR) fire/burn severity studies: The case of the large 2007 Peloponnese wildfires in Greece. Remote Sens. Environ. 2010, 114, 2548–2563. [Google Scholar] [CrossRef] [Green Version]
- Delcourt, C.; Combee, A.; Izbicki, B.; Mack, M.; Maximov, T.; Petrov, R.; Rogers, B.; Scholten, R.; Shestakova, T.; van Wees, D.; et al. Evaluating the Differenced Normalized Burn Ratio for Assessing Fire Severity Using Sentinel-2 Imagery in Northeast Siberian Larch Forests. Remote Sens. 2021, 13, 2311. [Google Scholar] [CrossRef]
- Keely, J.E. Fire intensity, fire severity and burn severity: A brief reviewand suggested usage. Int. J. Wildland Fire 2009, 18, 116–126. [Google Scholar] [CrossRef]
- Veldman, J.W. Guadua paniculata (Bambusoideae) in the Bolivian Chiquitania: Fire ecology and a potential native forage grass. Rev. Bol. Eco. Cons. Amb. 2008, 24, 65–74. [Google Scholar]
- Veldman, W.J. The Nature of Savannas that Replace Dry Forests in Chiquitania. Ph.D. Doctoral Thesis, University of Florida, Gainesville, FL, USA, 2010. [Google Scholar]
- Castellnou, M.; Alfaro, L.; Miralles, M.; Montoya, D.; Ruiz, B.; Artes, T.; Besold, L.; Brull, J.; Ramirez, F.; Botella, M.A.; et al. Field journal: Bolivia. learning to fight a new kind of fire. Wildfire 2019, 28, 26–34. [Google Scholar]
- Artés, T.; Castellnou, M.; Durrant, T.H.; San-Miguel, J. Wildfire–atmosphere interaction index for extreme-fire behaviour. Nat. Hazards Earth Syst. Sci. 2022, 22, 509–522. [Google Scholar] [CrossRef]









| Study Area | Domain | Total Area (ha) | Burned Areas (ha) |
|---|---|---|---|
| Alta Vista | Private | 3425 | 525 ha (2019) |
| Copaibo | Municipal protected area | 347,037 | 36,628 ha (2019) |
| 196,724 ha (2020) | |||
| Laguna Marfil | Municipal protected area | 70,916 | 22,175 ha (2019) |
| 16,927 ha (2020) | |||
| Ñembi Guasu | Protected area of indigenous autonomy | 1,204,377 | 358,200 ha (2019) |
| Index | Formulation | Bands |
|---|---|---|
| NDVI | (NIR − RED)/(NIR + RED) | NDVI (B4 − B8)/(B4 + B8) |
| NBR | (NIR − SWIR)/(NIR + SWIR) | (B8 − B12)/(B8 + B12) |
| dNBR | Prefire NBR − postfire NBR |
| Class | Reference Categories | Total (Wi a) | ||
|---|---|---|---|---|
| Burned | Unburned | |||
| Mappedcategories | Burned | 24.64 | 1.57 | 26.22 |
| Unburned | 2.95 | 70.83 | 73.78 | |
| Total | 26.61 | 72.41 | 1 | |
| User’s accuracy | 0.94 | 0.96 | ||
| Producer’s accuracy | 0.89 | 0.98 | ||
| Overall accuracy | 95.48 | |||
| Study Area | Field Work | Evaluated Ecosystems | CBI Plots |
|---|---|---|---|
| Alta Vista | 7–8 October 2019, 27 October 2020 | Chiquitano Forest | 3 |
| Copaibo | 24–26 March 2021 | Chiquitano Forest transition to Amazon | 14 |
| Laguna Marfil | 23–26 October 2019, 13–16 February 2021 | Chiquitano Forest, Cerrado, Chiquitano Forest transition to Cerrado, Natural Savannah | 29 |
| Ñembi Guasu | 18–20 December 2019 | Chiquitano Forest transition to Chaco, Abayoy | 20 |
| Total | 66 |
| Study Area/ Ecosystem | Index | Factor | Df | MS | F | p | |
|---|---|---|---|---|---|---|---|
| Alta Vista/forest | NDVI | Years | 4 | 0.22 | 17.75 | 0.000 | *** |
| Burned vs. unburned | 1 | 0.01 | 0.96 | 0.328 | |||
| Years x burned vs. unburned | 4 | 0.02 | 1.47 | 0.208 | |||
| Alta Vista/forest | NBR | Years | 4 | 0.05 | 10.61 | 0.000 | *** |
| Burned vs. unburned | 1 | 0.03 | 6.65 | 0.010 | * | ||
| Years x burned vs. unburned | 4 | 0.02 | 3.84 | 0.004 | ** | ||
| Copaibo/forest | NDVI | Years | 4 | 2.27 | 84.25 | 0.000 | *** |
| Burned vs. unburned | 1 | 0.06 | 2.26 | 0.133 | |||
| Years x burned vs. unburned | 4 | 0.24 | 8.73 | 0.000 | *** | ||
| Copaibo/forest | NBR | Years | 4 | 4.11 | 127.53 | 0.000 | *** |
| Burned vs. unburned | 1 | 2.79 | 86.72 | 0.000 | *** | ||
| Years x burned vs. unburned | 4 | 0.75 | 23.28 | 0.000 | *** | ||
| Laguna Marfil/forest | NDVI | Years | 4 | 0.10 | 5.11 | 0.000 | *** |
| Burned vs. unburned | 1 | 0.11 | 5.70 | 0.017 | * | ||
| Years x burned vs. unburned | 4 | 0.02 | 0.97 | 0.424 | |||
| Laguna Marfil/forest | NBR | Years | 4 | 0.11 | 6.73 | 0.000 | *** |
| Burned vs. unburned | 1 | 0.14 | 8.65 | 0.003 | ** | ||
| Years x burned vs. unburned | 4 | 0.04 | 2.47 | 0.043 | * | ||
| Laguna Marfil/nonforest | NDVI | Years | 4 | 0.04 | 2.68 | 0.031 | * |
| Burned vs. unburned | 1 | 0.51 | 35.03 | 0.000 | *** | ||
| Years x burned vs. unburned | 4 | 0.01 | 0.92 | 0.454 | |||
| Laguna Marfil/nonforest | NBR | Years | 4 | 0.10 | 5.39 | 0.00 | *** |
| Burned vs. unburned | 1 | 1.02 | 56.91 | 0.00 | *** | ||
| Years x burned vs. unburned | 4 | 0.07 | 4.04 | 0.00 | ** | ||
| Ñembi Guasu/forest | NDVI | Years | 4 | 1.16 | 43.18 | 0.000 | *** |
| Burned vs. unburned | 1 | 0.20 | 7.50 | 0.006 | ** | ||
| Years x burned vs. unburned | 4 | 0.17 | 6.45 | 0.000 | *** | ||
| Ñembi Guasu/forest | NBR | Years | 4 | 1.96 | 65.33 | 0.000 | *** |
| Burned vs. unburned | 1 | 3.25 | 108.03 | 0.000 | *** | ||
| Years x burned vs. unburned | 4 | 0.47 | 15.51 | 0.000 | *** | ||
| Ñembi Guasu/nonforest | NDVI | Years | 4 | 1.13 | 42.28 | 0.000 | *** |
| Burned vs. unburned | 1 | 0.02 | 0.71 | 0.398 | |||
| Years x burned vs. unburned | 4 | 0.08 | 2.90 | 0.021 | * | ||
| Ñembi Guasu/nonforest | NBR | Years | 4 | 2.18 | 65.87 | 0.000 | *** |
| Burned vs. unburned | 1 | 0.23 | 6.98 | 0.008 | ** | ||
| Years x burned vs. unburned | 4 | 0.30 | 8.93 | 0.000 | *** |
Publisher’s Note: MDPI stays neutral with regard to jurisdictional claims in published maps and institutional affiliations. |
© 2022 by the authors. Licensee MDPI, Basel, Switzerland. This article is an open access article distributed under the terms and conditions of the Creative Commons Attribution (CC BY) license (https://creativecommons.org/licenses/by/4.0/).
Share and Cite
Maillard, O.; Flores-Valencia, M.; Michme, G.; Coronado, R.; Bachfischer, M.; Azurduy, H.; Vides-Almonacid, R.; Flores, R.; Angulo, S.; Mielich, N. Phenology Patterns and Postfire Vegetation Regeneration in the Chiquitania Region of Bolivia Using Sentinel-2. Fire 2022, 5, 70. https://doi.org/10.3390/fire5030070
Maillard O, Flores-Valencia M, Michme G, Coronado R, Bachfischer M, Azurduy H, Vides-Almonacid R, Flores R, Angulo S, Mielich N. Phenology Patterns and Postfire Vegetation Regeneration in the Chiquitania Region of Bolivia Using Sentinel-2. Fire. 2022; 5(3):70. https://doi.org/10.3390/fire5030070
Chicago/Turabian StyleMaillard, Oswaldo, Marcio Flores-Valencia, Gilka Michme, Roger Coronado, Mercedes Bachfischer, Huascar Azurduy, Roberto Vides-Almonacid, Reinaldo Flores, Sixto Angulo, and Nicolas Mielich. 2022. "Phenology Patterns and Postfire Vegetation Regeneration in the Chiquitania Region of Bolivia Using Sentinel-2" Fire 5, no. 3: 70. https://doi.org/10.3390/fire5030070
APA StyleMaillard, O., Flores-Valencia, M., Michme, G., Coronado, R., Bachfischer, M., Azurduy, H., Vides-Almonacid, R., Flores, R., Angulo, S., & Mielich, N. (2022). Phenology Patterns and Postfire Vegetation Regeneration in the Chiquitania Region of Bolivia Using Sentinel-2. Fire, 5(3), 70. https://doi.org/10.3390/fire5030070

