Next Article in Journal
A Tutorial on One-Dimensional Numerical Simulation of Virtual Cathode Oscillation
Next Article in Special Issue
Non-Ideal Hall MHD Rayleigh–Taylor Instability in Plasma Induced by Nanosecond and Intense Femtosecond Laser Pulses
Previous Article in Journal
Quantifying Plasma Dose for Barley Seed Treatment by Volume Dielectric Barrier Discharges in Atmospheric-Pressure Synthetic Air
Previous Article in Special Issue
Control-Oriented Free-Boundary Equilibrium Solver for Tokamaks
 
 
Due to scheduled maintenance work on our servers, there may be short service disruptions on this website between 11:00 and 12:00 CEST on March 28th.
Font Type:
Arial Georgia Verdana
Font Size:
Aa Aa Aa
Line Spacing:
Column Width:
Background:
Review

Runaway Electrons in Gas Discharges: Insights from the Numerical Modeling

Esgee Technologies Inc., Austin, TX 78746, USA
Plasma 2025, 8(1), 12; https://doi.org/10.3390/plasma8010012
Submission received: 9 February 2025 / Revised: 2 March 2025 / Accepted: 14 March 2025 / Published: 20 March 2025
(This article belongs to the Special Issue New Insights into Plasma Theory, Modeling and Predictive Simulations)

Abstract

This paper reviews the state of the art of our understanding of the mechanisms of runaway electron generation in pressurized gases from the numerical modeling perspective. Since the energy relaxation length of these electrons is comparable to the interelectrode spacing, these electrons can be captured only using the kinetic approach. Therefore, only the results from kinetic models are discussed here. Special attention is given to pulsed discharges, which play an important role in modern industry. It is concluded that the mechanisms of runaway electron generation are defined by the gap overvoltage and the discharge gap geometry. For small and moderate overvoltages, runaway electrons are primarily generated at the heads of fast ionization waves or streamers. Due to their long energy relaxation length, these electrons can pre-ionize the discharge gap far from their origin, accelerating ionization and starting new avalanches. At high overvoltages, cathode surface irregularities enhance the local electric field, leading to electron emission into the interelectrode space. These electrons, injected into the strong electric field, gain high energy and reach discharge walls with extremely high energies measuring tens and hundreds of electron volts. These electrons not only pre-ionize the gas but also stimulate the emission of high-energy photons, which can further contribute to the pre-ionization of the discharge gap.

1. Introduction

It is difficult to overestimate the role of gaseous discharges in modern industry. They still drive the progress in semiconductor industry where inductively and capacitively coupled plasmas are used to generate chemically reactive environment consisting of energetic ions and neutrals [1,2]. In the aerospace industry, growing demand for cheap, portable and reliable thrusters stimulates the development of new plasma technologies [3]. Another field where gaseous discharges find a place is plasma medicine [4,5]. All the above applications rely on the generation of plasmas, either thermal or non-thermal, which consist of charged particles such as electrons, positive and negative ions, and active neutral species such as atoms, radicals and excited species.
Different species play different roles in plasma generation and in the discharge steady state [6]. Electrons are the lightest species that define the initial, i.e., the ignition stage. Depending on the gas pressure, the processes associated with electron dynamics are observed at the nanosecond and sub-nanosecond time scale. Ions are much heavier than electrons. Therefore, they react to the applied electromagnetic fields on a much longer time scale. When these species impact the discharge chamber walls, they induce secondary electron emissions, which support the steady state of direct current and radio-frequency discharges. Also, ions heat the walls, which may cause electron thermionic emission.
Electronically excited species do not respond directly to electromagnetic fields. Consequently, the processes associated with these species are much longer than those associated with ions. However, these species may also play a role in the discharge breakdown and its maintenance through stepwise or photo-ionization.
The process of stable plasma generation is always preceded by the breakdown stage [7]. During this stage, rather dense plasma is generated due to acceleration and multiplication of seed electrons always present in the atmosphere. The source of these seed electrons is another interesting and important topic, which is not of interest here. Usually, it is assumed that these electrons are generated by the cosmic rays propagating through our atmosphere or left after the previous discharge pulses.
The ignition of gas discharges is described by breakdown or Paschen’s curve [7]. These curves consist of two branches and a minimum point, each formed by different physical processes. For example, the left branch of direct current discharges involves surface processes such as secondary electron emission due to ion or metastable species impact, or photoelectron emission [8]. The plasma in these discharges typically fills the entire interelectrode volume, developing a volumetric form. On the right branch, breakdown may occur either through fast ionization waves or streamers [9,10].
Both branches exhibit the generation of runaway electrons (RAEs) [11]. In gas discharge theory, RAEs are defined as electrons that gain more energy from the electric field along their mean free path than they lose in inelastic collisions with background gas. The role of these electrons is somewhat mysterious and sometimes is misunderstood. In general, it is believed that since these electrons are capable of propagating large distances, they can generate a seed electron background far from their origin. Under certain conditions, their energies can reach keV or even MeV levels, enabling them to produce high-energy photons that can ionize the gas.
This paper reviews the most recent progress in the understanding of the mechanisms of runaway electron generation and their influence on the discharge ignition and its maintenance from the perspective of numerical modeling. Recently, several review papers discussing the role of runaway electrons in the formation of nanosecond and sub-nanosecond discharges from the experimental point of view have been published [12,13]. Indeed, the development of new diagnostic techniques such as the electric field measurement using anti-Stokes resonance scattering, optical emission spectroscopy, X-ray foil spectrometry has improved our understanding of these discharges [12]. The advancement of numerical models also enhanced our understanding of the mechanisms of RAE formation. The use of numerical modeling allows artificially turning on and off various processes that elucidate the mechanisms of RAE generation and their role in the gas breakdown. Simple computational models allow testing various hypotheses about the origin of RAEs, either at the cathode micro-protrusions or at the heads of moving ionization waves or streamers.

2. Runaway Breakdown

Before discussing RAEs’ role in gas breakdown within a given volume, it is essential to consider the so-called runaway breakdown. This phenomenon was theoretically predicted by Gurevich et al. in 1992 [14]. Although it was originally explored for atmospheric electricity, as will be discussed in the following sections, it plays an important role in the development of gas discharges in nonuniform electric fields.
To understand this phenomenon, it is necessary to consider the electron energy losses due to the inelastic collisions with neutrals. Note that here we consider only the non-relativistic electron energies. When electron propagates through the gas, it experiences a multitude of collisions with neutrals. These include momentum transfer collisions and various inelastic collisions such as the excitation of vibrational and electronic levels of the surrounding gas molecules, and their ionization. The first process plays only a minor role in electron energy dissipation due to the large difference between electron and neutral masses. The inelastic collisions play the dominant role in electron energy dissipation. Due to the adiabatic nature of these collisions, the typical electron-neutral inelastic cross sections have maxima at some energies. As a result, the typical friction force on the electron due to all inelastic collisions with the gas has the shape shown in Figure 1 [11]. One can see that the curve has the maximum at ε = ε m a x . Usually, in gas discharge literature all electrons with ε > ε m a x are considered as runaway. However, it is important to note that this is incorrect because the electron with energy close to ε m a x may dissipate its energy while propagating through the gap and be captured in the gas discharge plasma. Therefore, this definition should be complemented by the requirement that the electron energy dissipation length scale is longer than the interelectrode distance. Then, this electron can intersect the entire interelectrode gap and reach the walls of the discharge chamber.
One can consider electron motion through the gas in homogeneous electric field E . Then, the electron energy can be obtained by solving equation [15]:
d ε d t = q e 2 ε m e E F ( ε ) q e
Here, q e and m e are the electron charge and mass, respectively, and F ε is the friction force acting on electron due to collisions. It is defined as
F ε = q e 4 Z N 8 π ε 0 2 ε ln 2 ε I ,
where Z is the number of electrons in an atom or molecule, N is the gas density, ε 0 is the permittivity of a free space, and I is the average energy of inelastic losses.
Based on (1), we can distinguish between two different regimes. In the first regime, thermal, i.e., a slow, electron becomes runaway if it propagates in a high enough electric field. This electric field is called the critical electric field necessary for the electron to run away. In the case of homogeneous electric field, it is defined as
E c r = q e 3 Z N 4 π ε 0 2 2.72 I .
For atmospheric pressure nitrogen, it is ~450 kV/cm. This condition is usually used to interpret the experimental results at high electric fields obtained between the planar electrodes.
The second regime, which was originally called the runaway electron breakdown, is realized when energetic electrons with ε ε m a x (Figure 1) propagate through the gas to which some electric field E is applied. In this regime, the necessary condition is applied on the electron energy rather than the electric field. This critical energy is defined as [14]:
ε c r = E c r 2 E m e c 2 ,
where c is the speed of light and E c r is defined by (3). According to this criterion, for the applied electric field E only the electrons with ε > ε c r can be considered as runaway. The typical critical energy usually exceeds hundreds of keVs. Such energetic electrons can generate new avalanches of high energy electrons, which form the runaway breakdown.
There is a strong connection between two criteria, (3) and (4), for discharges in non-homogeneous electric fields. In some literature [16], this criterion is called the non-local condition for the electron runaway. Zubarev et al. [17] considered the electron motion in the non-homogeneous electric field of the blade cathode. They derived the critical electric field, which considers the field non-homogeneity. Following this criterion, an electron becomes a RAE if the electric field in the vicinity of the blade cathode exceeds the threshold value
E c r = E c r U / R .
Here, R is the cathode edge radius and E c r is defined by Equation (3). Then, far from the cathode, the electric field is such that the electron-gained high energy in the vicinity of the cathode in the high and non-homogeneous electric field remains a RAE far from the cathode, where the electric field is much smaller. The parameter U is defined by the equation [17] q e U e I = l n 2 q e 2 l E c r U I 2 , where e = 2.72, and l is the cathode–anode gap. Recently, similar criteria were derived for other cathode shapes [16]; however, the physical interpretation of these criteria is the same.

3. Breakdown (Paschen’s) Curves

Formation of a stable gas discharge is preceded by the breakdown stage, which is the formation of a conductive plasma channel between the electrodes [7]. The typical breakdown curve for plane-to-plane geometry for several gases is shown in Figure 2. Each of these curves is characterized by the low- and high-pressure branches, and the minimum. Both branches are characterized by different physical processes responsible for their formation. For instance, the left branch of direct current discharges involves surface processes such as the secondary electron emission due to the ion or metastable species impact, or the photoelectron emission [8]. The plasma of these discharges typically fills the entire space between the electrodes, forming what is known as a volumetric discharge. This branch is of primary interest for industrial applications that require the generation of high-density homogeneous plasma in large volumes. On the right branch, breakdown may develop either in the form of fast ionization waves (FIW) or streamers [9,10]. These plasmas are usually very non-homogeneous.
RAE generation may be obtained on both branches of the breakdown curve [11,12,19]. They may be generated either from the seed background when the electric field within the cathode–anode gap exceeds the critical electric field (3), or from the secondary emitted electrons within the cathode sheath, or at the head of propagating ionization fronts [20,21,22,23]. The influence of these electrons on the formation of various forms of discharges has been established over the past two decades both experimentally and through numerical modeling [24,25,26,27,28].
For direct current discharges in plane-to-plane geometry, breakdown voltage of any given gas is the universal function of the parameter pd, where p is the gas pressure and d is the interelectrode gap [7]. For shaped electrodes, breakdown voltage also depends on the electrode curvature [29]. For pulsed discharges, the voltage rise time τ starts playing an important role [30] shifting breakdown voltage towards higher values (see Figure 3). Although the influence of RAEs on the observed dependence is discussed in [30], no clear explanation for the shape of the modified U b r ( p d , τ ) curves is offered there.
The effect of voltage rise time on Paschen’s curves was investigated in [31] utilizing a one-dimensional hybrid numerical model. In this model, the electrons were considered using the kinetic approximation by solving the Boltzmann equation, while ions were treated as fluid using the drift–diffusion approximation. The results of these studies are summarized in Figure 4 and Figure 5.
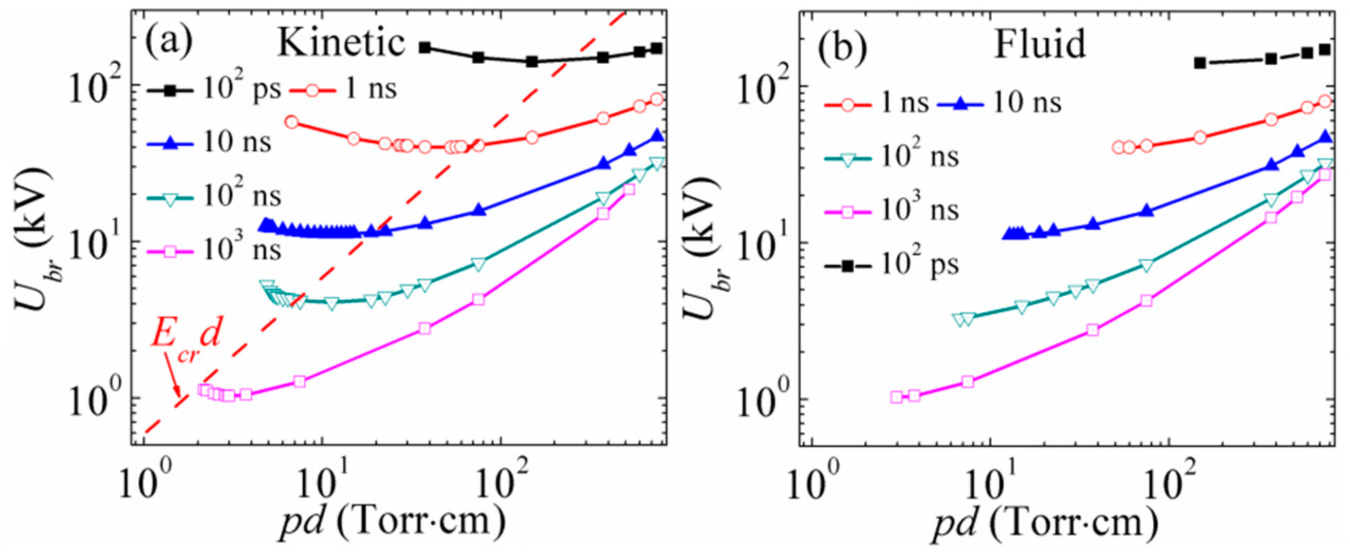
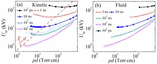
Figure 4 shows the breakdown voltage of a planar gap filled with molecular nitrogen (N2) obtained using numerical modeling. The comparison with Figure 3 indicates that both hybrid and fluid models predicted rather well the increase in breakdown voltage as the rise time decreased. The hybrid model results are shown in Figure 4a. In this model, electrons were modeled using the kinetic approach. The full fluid model results are shown in Figure 4b. In this model, electrons were modeled as a fluid in the drift–diffusion approximation with the electron transport coefficients and rate coefficients of electron-neutral reactions obtained from the kinetic model for the homogeneous electric field. The comparison between these two figures shows that both models predict the same right branch, while the full fluid model cannot predict the existence of the left branch. This result indicates the significant role of RAEs in the breakdown, particularly at the left branch of Paschen’s curve [31].
This conclusion is supported by the results in Figure 5, which identifies the role of RAEs in the gap breakdown [31]. It was observed that these electrons do not significantly influence the right branch of Paschen’s curve, although a small fraction of electrons present in the interelectrode gap became RAEs. However, their fraction is so small that they have minor influence on the ionization rate coefficient and electron mobility used in fluid model. Consequently, it was feasible to reproduce this branch for various voltage rise times using the full fluid model. The simulation results demonstrated that rise time significantly affects the ionization rate coefficient and mobility, attributable to the non-local characteristics of the electron velocity distribution function. The spatial non-locality arises from RAE generation, while temporal non-locality is obtained because, for fast rise times, the relaxation time of the electron velocity distribution function exceeds the voltage rise time.
Babich has analyzed the Paschen’s curves of pulsed breakdown in various gases in [30]. He assumed that on the left branch, the gap is breaking down via a volumetric mechanism when all seed electrons create overlapping avalanches. The breakdown on the right branch was assumed to occur via the streamer mechanism. Then, by applying Raether’s criterion [32], he has concluded that the minimum of the Paschen’s curve corresponds to the critical field required for RAE generation.
This observation complemented another key characteristic of the Paschen’s curve minimum, known for direct current breakdown [7]. Specifically, this point represents the optimal conditions necessary for electron multiplication. The ionization cost, defined as the average energy expended to produce one electron–ion pair, reaches its maximum at the Paschen’s curve minimum and is called Stoletov’s constant. Its value for pulsed nanosecond discharges was calculated in [33,34] using the hybrid model approach. It should be noted that in these studies, a periodic pulsed discharge supported by the secondary electron emission from the cathode was modeled.
This conclusion was challenged in [35] using a one-dimensional particle-in-cell Monte Carlo collisions (PIC/MCC) model. In these simulations, N2 was considered and initially, the cathode–anode gap was seeded with the low-density plasma. Voltage rise times of 100 ns, 10 ns and 1 ns were considered. Figure 6 shows the comparison between the models, in which ionization by electrons having the energy ε e > 100 eV was allowed and forbidden. One can see that both models predict the Paschen’s curve minima; i.e., the presence of runaway electrons is not crucial for the observation of two branches, which does not agree with the conclusion of Babich et al. [30,36]. The simulations have shown that the neglection of gas ionization by high-energy electrons shifts the left branch of the breakdown curves towards higher pressures. At high pressures, when the electron mean free path becomes short (<<1 mm) and the RAE formation is not observed, the curves with and without threshold coincide.
The simulations of [35] have also shown that the breakdown curve minima do not correspond to the threshold electric field necessary for runaway electrons’ generation. These electrons appeared on both branches of the breakdown curve, but their number and role diminish on the right branch. Additionally, the minimal ionization cost was found on the right branch of the breakdown curve, not at its minimum.

4. Influence of Runaway Electrons on the Streamer Branching

Numerous numerical modeling studies of pulsed discharges have shown that the generation of RAEs is not obtained in the gap right after the application of electric field due to the electric field in the gap being much smaller than the critical electric field (3) [9]. However, under certain conditions, their generation may be delayed. For instance, if discharge develops in the form of streamers, RAEs can be generated at the streamer’s head where the electric field is enhanced by the small curvature radius of the streamer head.
This effect was demonstrated through numerical modeling in [20], where the authors used three-dimensional hybrid model to study the streamer propagation in the atmospheric pressure N2. In these simulations, an homogeneous external electric field was applied to the domain. This electric field was such that it satisfied the criterion for the streamer formation but was smaller than the critical electric field (3) necessary for the electron to run away. Electrons with energies exceeding 200 eV were observed in these simulations, when the local field at the streamer head started exceeding 160 kV/cm. These electrons could run out of the streamer head and dissipate energy ahead of ionization, generating a seed background through which an ionization wave propagates.
A similar effect has been demonstrated in [37,38], where two-dimensional PIC/MCC models were used to study the streamer dynamics in argon and air, respectively. In these simulations, the constant voltage was applied between the plane anode and the “pin” cathode. Figure 7 shows the results of simulations [38]. Since initially the electric field was below E c r , the propagation of a conventional streamer from the cathode to the anode was observed. The electrons observed initially (t < 0.51 ns) had energies below 100 eV; i.e., there were no RAE generation. As the gap between the streamer’s head and the anode decreased over time, the condition for electron runaway (5) was met. Consequently, the generation of runaway electrons in front of the streamer head was observed.
As was discussed in [37], the generation of high-energy electrons in front of the streamer’s head may be responsible for the streamer branching. The probability of electron scattering at large angles decreases as electron energy increases [39], meaning that keV electrons experience anisotropic scattering. For the conditions of [37], the 1 keV electrons generated in the streamer head propagated in a decaying electric field. Beyond a certain distance, the electric field became smaller than E c r defined by (5). These high-energy electrons cannot be classified as runaway because they lose most of their energy through inelastic collisions with neutrals while moving toward the anode. The decrease of electron energy led to an increased probability for electrons to scatter at large angles, resulting in more isotropic scattering. This process caused the electron to deviate toward the upper boundary of the simulation domain, as shown in Figure 7b. This deviation further reduced the electron’s energy until the keV electron dissipated all its energy.
Figure 7c,d show that the keV electrons created a trail of low-energy electrons. Each of these electrons started a new electron/ion avalanche, which intercepted with each other and formed a conducting plasma channel. Since the electric field at points A1 and A2 (Figure 7d) exceeded the criterion on the streamer formation, there was a high probability of the start of two new streamers at these two points.
If streamers propagate in high electric fields, electrostatic instability may occur at the streamer’s head. This phenomenon was studied in [40] using a fluid model. In these simulations, the instability onset was triggered by a finite perturbation of the electron density. The authors found that these fluctuations may contribute to the streamer branching. Figure 8 shows the highest deviation of the absolute value of the electric field from its azimuthal average at three time points [40]. At t < 13.5 ns, the noise was switched off (area A). After the noise was switched on, the streamer body (B) developed low-amplitude, small-scale fluctuations. At t > 14.85 ns, high-amplitude fluctuations were observed at the streamer’s head (C). Their amplitude grew but remained small compared with the field observed in that area (~100 kV/cm).
As was discussed, for instance, in [41], this instability may also be responsible for the generation of RAEs at the streamer’s head. Indeed, this instability is usually obtained when the plasma density at the streamer head is >1015 cm−3. At such high plasma density, the Debye length, which is the measure of the electron–ion separation at the streamer head, is shorter than a few µm. This may result in the flattening of the streamer’s head which, in turn, may result in an extremely high electric field at the corners of the flat ionization front. If condition (5) is met, this front may release electrons that become RAEs.

5. Influence of Runaway Electrons on the Fast Ionization Wave Propagation

Due to the decaying nature of the friction force on electrons due to inelastic collisions with background gas (Figure 1), it is tempting to consider different groups of RAEs. Kunhardt and Byszewski [42] introduced “trapped” RAEs, referring to energetic electrons with energy near the peak of inelastic collision cross sections. Since the mean free path of these electrons is relatively short, they cannot run away, i.e., reach the anode but dissipate their energy. Tsventoukh analyzed the influence of these “trapped” electrons on pulsed discharges in [43]. It was claimed that there is some “optimal” level of plasma density in the range 1015–1016 cm−3 necessary for the electron acceleration to high energies. However, this paper was based on several assumptions inconsistent with our understanding of FIW. For example, the spatial length scale of the ionization front head is a few Debye length rather than the electron mean free path as assumed in [43]. Additionally, the assumption regarding the locality of the gas ionization frequency does not hold at the wave front, particularly when the conditions for RAE generation are met.
The influence of different electron groups on the propagation of FIWs with RAEs was studied using a one-dimensional PIC/MCC model in the planar geometry in [44]. The working gas was N2 at the pressure of 105 Pa. High voltage was applied to the left boundary, while the right boundary was kept grounded. The FIW propagation was triggered by seeding small electron and ion backgrounds in the vicinity of the cathode. The electron and ion densities obtained at t = 6 ns are shown in Figure 9a while the electron density obtained at three different times is shown in Figure 9b. Figure 9a shows that the FIW has a non-neutral head, where electrons and ions separate locally, and a quasi-neutral region behind the head [45]. There is also an ion-rich sheath near the cathode which plays an insignificant role on the nanosecond time scale.
Four different electron groups were considered in these simulations [44] (see Figure 10). Two out of these four groups were recognized as crucial for the ionization of gas. The first group is the group of electrons having energy in the range 15 eV < ε e < 100 eV. Only this group was observed at low voltages and completely defined the FIW’s propagation. The energy of these electrons is below the energy at which the peak value of the ionization cross section of N2 is observed, and they cannot be considered neither as “true” nor as “trapped” runaway.
The second group has the energies 200 eV < ε e < 1 keV. There are fewer electrons in this group than in the first group. Nevertheless, each electron can induce numerous ionizing collisions, thereby substantially contributing to the process of gas ionization. These are the “true” runaway electrons that can reach the anode. These electrons become significant only at t > 0.19 ns when the fast ionization wave is a few mm from the anode. The electric field between the FIW and the anode exceeds the critical level, causing most electrons to become runaway. At t < 0.19 ns, the main contribution of these electrons is through the pre-ionization of the FIW-anode gap which promotes the ionization front propagation through the gap.
Figure 10 shows that electrons with 100 eV < ε e < 200 eV contribute less than 20% to gas ionization. These are the electrons which were considered as the “trapped” runaway in [43,46]. These electrons have a very short mean free path due to their energy being near the peak of inelastic electron energy losses. Consequently, the main part of these electrons dissipates their energy in inelastic collision with neutrals. Figure 10 allows to conclude that the influence of this group on the FIW’s propagation was overestimated in [43].
In addition, five cases were examined in [44] in which gas ionization by different groups of electrons was prohibited. If the electron energy was in the specified range, e.g., ε e < 100 eV, the ionization collision, if it has happened, did not lead to the generation of a new electron-ion pair although the energy of colliding electron was decreased. Other collisions were modeled as usual, and the space charge of all electrons was accounted for.
The first group considered in [44] has the energy ε e < 100 eV. The ionization cross section of these electrons increases with increasing energy [47]. The second group has energy in the range 100 eV < ε e < 200 eV. These electrons are considered as the “trapped” runaway in [42,43]. The groups with 200 eV < ε e < 500 eV and 500 eV < ε e < 1 keV were chosen such that their ionization cross section decreases by less than 2 times comparing with the “trapped” RAEs. The ionization cross section of the group with ε e > 1 keV is less than 30% of the peak value and decreases as ~ 1 / ε e 2 [7].
Figure 11 shows the ion density obtained at t = 0.2 ns for the cathode–anode gap voltage of 100 kV for different cases. For comparison purposes, the black curve illustrates the results when all processes were considered. This figure reveals several key insights. First, turning off the ionization event by an electron with 500 eV to 1 keV energy slightly slows the ionization wave [44]. Second, the influence of the electron groups with 100–200 eV and 200–500 eV energies is nearly identical, with a slightly faster FIW observed in the former range. This occurs due to the delay in RAE generation until the FIW–anode gap is less than 2 mm. Prior to this, gas ionization is mainly controlled by electrons with ε e ~ 100 eV. Electrons with energy of 100–500 eV help pre-ionize the FIW–anode gap. Given their short mean free path (~10−4 cm), they create low-density plasma only near the FIW’s head.
Figure 11 shows that the group with ε e < 100 eV defines the FIW’s formation and propagation. It was observed that there is no FIW formation when these electrons do not ionize the gas. The cathode–anode gap was bridged by low-density plasma (~1012 cm−3) being formed by the initially seeded electrons, which are accelerated to the energies exceeding 100 eV and ionizing the gap.
Another extremely important group of electrons have energies exceeding 1 keV. Figure 11 shows that by neglecting the ionization by this groups leads to significant slowing down of the ionization front propagation, although the plasma density behind the FIW’s head does not depend on this group of electrons. Such energetic electrons are obtained only in front of the FIW’s head. The density of these electrons is ~5 orders of magnitude smaller than the density of the group with ε e < 100 eV [44] and they do not define the ionization front structure. These high-energy electrons contribute to the gas pre-ionization in front of the FIW’s head, which increases the FIW’s speed. The mean free path of electrons with ε e > 10 keV is ~0.005 cm. Therefore, they can generate the low-density plasma farther from the FIW’s head than the electrons with the energy in the range 100–500 eV (see Figure 11). The switching off of the ionization by this group prevents the gap pre-ionization far from the FIW which leads to its slowing down.

6. Runaway Electrons: Why Else Do We Need Them?

To characterize pulsed discharges, it is convenient to introduce overvoltage K defined as the ratio between the pulsed and direct current breakdown voltages (Figure 12) [48]. One can conclude from Figure 12 that the critical electric field necessary for the electron runaway is much larger than the electric field at which streamers are obtained. Therefore, often breakdown develops through the streamer mechanism without RAE generation.
Figure 3 shows that the faster the voltage rise time, the larger the overvoltage. At the same time, it follows from Figure 4a that on the right branch of the Paschen’s curve the breakdown electric field is much smaller than the critical electric field necessary for the electron to run away. Therefore, as was discussed in Section 5, RAE generation is delayed until the streamer head diameter decreases enough for the electric field to exceed E c r . This electric field can also be achieved when the distance between the streamer head and the anode is reduced, resulting in a localized enhancement of the electric field.
Streamer branching is only one of many phenomena observed during pulsed breakdown. There are numerous phenomena accompanying these breakdowns due to the application of extremely high voltages to the electrodes. Since there are always micro-protrusions present at metal electrodes, the applied electric field is enhanced at these micro-protrusions. Then, the conditions necessary for the electron field emission from them may be realized. The injection of electrons from these micro-irregularities changes the breakdown dynamics drastically. As will be further discussed, the generation of so-called anomalous electrons may also be. Since the energies of electrons observed in the cathode–anode gaps may reach hundreds and even thousands of keV, one may obtain the X-ray emission due to their collision with discharge chamber walls. These high-energy photons can pre-ionize the discharge volume.
Indeed, experiments published in [49,50,51,52,53,54] have shown that nanosecond discharges are accompanied by X-ray fluxes generated by RAE interaction with the anode and background gas atoms and molecules inside the cathode–anode gap. These X-ray fluxes have the capability to photo-ionize gas, thereby influencing the temporal and spatial dynamics of the gas discharge. Figure 13 summarizes various processes, which may be induced in the interelectrode gap for extremely high overvoltages.
Raether first observed photo-ionizing radiation from avalanching electrons in gas discharges using high voltage pulses with a duration ~100 ns [55]. Since the experimental results showed a substantial deviation from the theoretically predicted absorption coefficients, these results raised numerous questions [56]. Lozanskij and Firsov [56] proposed a mechanism of photo-ionization based on the process A* + BAB+ + e, where A* is the excited atom, B is the atom in the ground state, AB+ is the molecular ion and e is the electron.
Figure 13. Schematic diagram of runaway electron guided discharge [57].
Figure 13. Schematic diagram of runaway electron guided discharge [57].
Plasma 08 00012 g013
Another mechanism of gas photo-ionization is also possible, if feed gases C and D have different ionization potentials [7]. If the ionization potential of molecule D is smaller than the excitation energy of molecule C, then the electron–ion pairs could be generated in the processes: C+ eC* + eC + e + hνD + hν → D+ + e. Today, this mechanism is widely used to interpret streamer formation in air. This mechanism cannot provide efficient pre-ionization of the discharge volume on the sub- and nanosecond time scales, since the typical spontaneous emission times of excited atoms and molecules exceed 10 ns. Starikovshii et al. [58] reported that in the N2-O2 mixture, photo-ionization results in an ionization front velocity of ∼107 cm/s; i.e., this mechanism cannot explain the high velocity of the ionization wave propagation.
Tarasenko et al. [52] studied the sub-nanosecond discharge at atmospheric pressure and found that RAEs generate the characteristic radiation of oxygen and nitrogen. It was suggested that this characteristic radiation efficiently generates secondary electrons and could be responsible for the formation of the diffusive instead of streamer-like discharge.
Levatter and Lin [59] studied the conditions necessary for the formation of homogeneous discharges at high pressures. They concluded that homogeneous plasma can be generated if the seed electron density exceeds 106 cm−3. Such plasma density allows the electron avalanches to overlap, preventing streamer formation. Shao et al. [60] carried out experimental studies in atmospheric pressure air, which showed that the diffuse form of discharges in an inhomogeneous electric field in the repetitive pulsed mode is due to the generation of RAEs and X-rays. They detected the X-rays with a voltage pulse amplitude in an incident wave of 12 kV. It was also concluded that the space form of a diffuse discharge depends on the voltage pulse rise time, duration and amplitude and on the interelectrode gap.
Babaeva et al. [61] studied how fast electrons influence diffuse discharge formation using two-dimensional PIC/MCC model. In these simulations, low-energy (20 eV) and high-energy (20 keV) electrons were emitted from the cathode. A significant difference was observed between discharges initiated by 20 eV and 20 keV electrons. The beam electrons with an initial energy of 20 keV resulted in a diffuse discharge, whereas the 20 eV beam had a negligible effect on the discharge evolution and produced a classical anode-directed streamer.

7. Runaway Electrons at Extremely High Overvoltages: Nanosecond and Sub-Nanosecond Discharges

In conventional glow discharges, the electric field within the cathode sheath is relatively weak. Therefore, electrons are unable to tunnel through the potential barrier present at the metal–gas interface (see Figure 14a). In such discharges, electrons can leave metals only due to their bombardment by ions, electronically excited atoms or molecules, or photons. At high overvoltages required to break down gas on the nanosecond time scale, extremely high voltages are applied to the electrodes. This modifies the potential barrier inside the metal, enabling electron tunneling from the metal to the gas (see Figure 14b). This process is known as electron field emission (FE) and is responsible for the breakdown onset at very high overvoltages [11].
The influence of electron field emission on the nanosecond discharge formation has been studied since 1970s [11]. The main debate topic was how to explain extremely short (~10 ps) pulses of RAEs behind the anode. To answer this question, it was necessary to determine where these electrons are generated, either at the FIW’s head or near the cathode, and what stops their formation. If RAEs are generated at the FIW’s head, their pulse duration is comparable to the ionization front’s propagation time through the cathode–anode gap, which takes a few nanoseconds. This cannot explain the picosecond duration of the RAE pulse.
Another potential mechanism is the generation of RAEs from field-emitted electrons. High-emission currents can cause local heating of the cathode micro-protrusions, resulting in the explosion of these surface irregularities. This phenomenon, known as electron explosive emission (EE) [62], may be responsible for the termination of RAE generation [63]. One-dimensional PIC/MCC modeling has shown that a virtual cathode formation near the cathode may also terminate RAE generation from field emitted electrons [64,65]. Figure 9 shows that the FIW’s head contains an uncompensated negative charge of electrons, essentially functioning as a “cathode” emitting electrons. If the field emission current surpasses the Langmuir–Blodgett current [65,66], the charge of emitted electrons reaching the FIW’s head may enhance the space charge there and increase its potential to the value equal or even exceeding the cathode potential. Subsequently, the formation of a moving virtual cathode occurs. This virtual cathode captures the field-emitted electrons near the actual cathode, thereby terminating RAE generation from emitted electrons. As reported in [64], the process of virtual cathode formation occurs on the picosecond time scale.
The effect of electron field emission on nanosecond discharge was studied in [64] using a one-dimensional PIC/MCC model. In this model, the micro-protrusion was modeled as a small-curvature radius cylinder (3 µm), while the anode was a cylinder of 1 cm radius. The working gases were nitrogen [64] and hydrogen [22] at the pressure of 105 Pa and 2 × 105 Pa, respectively. Results published in [22] have shown that for a cathode radius of 3 μm, the field emission current reaches substantial value after a few ns when the applied voltage is ~70 kV and the electric field at the cathode surface is E C 2.8 × 109 V/m (see Figure 15). This electric field greatly exceeds the critical field needed for electron runaway in H2 gas under the conditions of [22]. As a result, the emitted electrons quickly became RAEs after injection into the discharge gap, reaching energy levels above 1 keV within a few microns from the cathode. These high-energy electrons also produced electron/ion pairs as they accelerated towards the anode. If these electrons were generated within 0.8 mm of the cathode, they also became RAEs since the condition for their runaway were met. Otherwise, they were thermalized and contributed to the formation of a quasi-neutral discharge channel (see Figure 9).
Figure 16 shows the evolution of electron density and potential during discharge development. At t ≈ 1.3 ns, the plasma density near the cathode was ~1014 cm−3 (see Figure 16a), forming a thin cathode sheath as shown in Figure 16c. This increased the electric field at the cathode surface, significantly increasing the field emission current (Figure 15), which, in turn, further raised the electron density. At ≈1.4 ns, the plasma density near the cathode was ~1016 cm−3 (see Figure 16a). The sheath thickness at this point was approximately 20 µm and the sheath voltage was U s h ~ 25 kV.
The energy phase space of emitted electrons obtained at 1.36 ns is shown in Figure 17a. It is seen that the field-emitted electrons are accelerated within the sheath, gaining energy up to ~ e U s h and becoming RAEs. Each of these electrons gained energy of ~66 eV along one mean free path, which significantly exceeded the ionization energy of an H2 molecule (15.4 eV). Thus, emitted electrons that become runaway in the cathode sheath propagated the entire interelectrode gap, remaining RAEs.
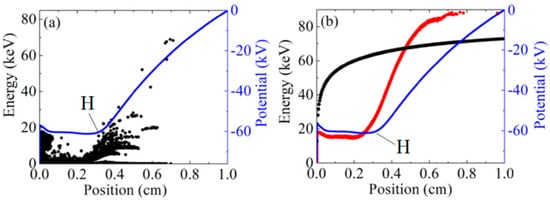
A high electric field (~1–2 × 107 V/m) is obtained at the streamer head, shown as points H in Figure 16c,d. This electric field accelerates seeded electrons at those locations to energies that exceed the ionization threshold of H2, thereby supporting streamer propagation. Since the density of seeded electrons is ~1012 cm−3, the streamer obtained during the discharge supported by emitted electrons as well as these seeded electrons, propagating significantly faster than the convention streamer obtained at lower voltages [7]. The average streamer speed can be estimated from Figure 16 as ~8 × 107 m/s. It should be noted that the average velocity of the conventional anode-directed streamer is ~105 m/s.
Figure 17b shows that the energy of field-emitted electrons reaches ε e , e m ~ 88 keV, while the cathode potential at t = 1.36 ns is only −75.4 kV, i.e., ε e , e m > e | U C | . The number of such “anomalous” electrons is ~0.1% of the total number of electrons obtained at that time in the cathode–anode gap. The anomalously high energy of electrons can be explained by the self-acceleration mechanism suggested by Askar’yan [67]. As was discussed above, the seed plasma density ~1012 cm−3 generated by RAEs in front of the streamer head enables streamers to move at a speed ~8 × 107 m/s. In the frame of the fast-propagating streamer, the RAEs present between the streamer head and the anode gain additional energy (with respect to e | U C | ) , which can reach tens of keVs.
The effect of field emission switch-off time was analyzed in [65]. An early switch-off stops ionization wave propagation, and the cathode–anode gap bridging was achieved by RAEs remaining in the gap. Conversely, a late emission switch-off does not stop the ionization wave because many electrons are already in the gap before the emission switch-off. These electrons drive the ionization wave propagation.

8. Concluding Remarks

Runaway electrons are crucial in various types of discharges, including pulsed high-voltage and direct current discharges. In pulsed discharges, these electrons are responsible for the interelectrode gap pre-ionization by different mechanisms: ionization, X-ray and high-energy photons generation. They are produced near the cathode from the field-emitted electrons and/or at the head of streamers or fast ionization waves. In direct current discharges, these electrons can contribute to the maintenance of the discharge. In these discharges, they are produced in the cathode sheath and can ionize the gas at locations distant from the cathode where the electric fields are weak.
While the overall understanding of the phenomena is well established, predicting which mechanism will be significant from the outset remains challenging. Currently, no models exist that can describe all stages of high-voltage pulsed breakdown in a self-consistent manner. It is essential to consider the interaction between field emission and explosive emission. This should include the simultaneous solution of equations for both gas and metal, addressing plasma generation in the gas phase and the development of metal overheating instability.
Another interesting phenomenon, which was captured in a few one-dimensional models but was never simulated in self-consistent multidimensional models, is the generation of anomalous electrons in front of the streamers’ heads. It is still not understood what role these electrons may play in multidimensions when the streamer’s velocity approaches the speed of light. Also, the structure of such fast-moving streamers is still awaiting exploration.

Funding

The review received no external funding.

Conflicts of Interest

Author Dmitry Levko is employed in Esgee Technologies Inc., Austin, Texas 78746, USA. The author declares no conflicts of interest.

References

  1. Voronin, S.; Vallée, C. 50 Years of Reactive Ion Etching in Microelectronics. IEEE Trans. Mater. Electron Devices 2024, 1, 49–63. [Google Scholar] [CrossRef]
  2. Oehrlein, G.S.; Brandstadter, S.M.; Bruce, R.L.; Chang, J.P.; DeMott, J.C.; Donnelly, V.M.; Dussart, R.; Fischer, A.; Gottscho, R.A.; Hamaguchi, S.; et al. Future of plasma etching for microelectronics: Challenges and opportunities. J. Vac. Sci. Technol. B 2024, 42, 041501. [Google Scholar] [CrossRef]
  3. Jorns, B.; Lafleur, T. Foundations of plasmas as ion sources. Plasma Sources Sci. Technol. 2023, 32, 014001. [Google Scholar] [CrossRef]
  4. Fridman, G.; Friedman, G.; Gutsol, A.; Shekhter, A.B.; Vasilets, V.N.; Fridman, A. Applied plasma medicine. Plasma Process. Polym. 2008, 5, 503–533. [Google Scholar] [CrossRef]
  5. Laroussi, M.; Bekeschus, S.; Keidar, M.; Bogaerts, A.; Fridman, A.; Lu, X.; Ostrikov, K.; Hori, M.; Stapelmann, K.; Miller, V.; et al. Low-temperature plasma for biology, hygiene, and medicine: Perspective and roadmap. IEEE Trans. Radiat. Plasma Med. Sci. 2021, 6, 127–157. [Google Scholar] [CrossRef]
  6. Fridman, A. Plasma Chemistry; Cambridge University Press: Cambridge, UK, 2008. [Google Scholar]
  7. Raizer, Y.P.; Allen, J.E. Gas Discharge Physics; Springer: Berlin/Heidelberg, Germany, 1991. [Google Scholar]
  8. Xu, L.; Khrabrov, A.V.; Kaganovich, I.D.; Sommerer, T.J. Investigation of the Paschen curve for helium in the 100–1000 kV range. Phys. Plasmas 2017, 24, 093511. [Google Scholar] [CrossRef]
  9. Babich, L.P.; Loĭko, T.V.; Tsukerman, V.A. High-voltage nanosecond discharge in a dense gas at a high overvoltage with runaway electrons. Sov. Phys. Uspekhi 1990, 33, 521. [Google Scholar] [CrossRef]
  10. Vasilyak, L.M.; Kostyuchenko, S.V.; Kudryavtsev, N.N.; Filyugin, I.V. Fast ionisation waves under electrical breakdown conditions. Physics-Uspekhi 1994, 37, 247. [Google Scholar] [CrossRef]
  11. Korolev, Y.D.; Mesyats, G.A. Physics of Pulsed Breakdown in Gases; Nauka: Moscow, Russia, 1991. [Google Scholar]
  12. Yatom, S.; Shlapakovski, A.; Beilin, L.; Stambulchik, E.; Tskhai, S.; E Krasik, Y. Recent studies on nanosecond-timescale pressurized gas discharges. Plasma Sources Sci. Technol. 2016, 25, 064001. [Google Scholar] [CrossRef]
  13. Tarasenko, V. Runaway electrons in diffuse gas discharges. Plasma Sources Sci. Technol. 2020, 29, 034001. [Google Scholar] [CrossRef]
  14. Gurevich, A.V.; Milikh, G.A.; Roussel-Dupre, R. Runaway electron mechanism of air breakdown and preconditioning during a thunderstorm. Phys. Lett. A 1992, 165, 463. [Google Scholar] [CrossRef]
  15. Gurevich, A.V.; Zybin, K.P. Runaway breakdown and electric discharges in thunderstorms. Phys. Uspekhi 2001, 44, 1119. [Google Scholar] [CrossRef]
  16. Kozyrev, A.V.; Lobanov, L.N.; Mesyats, G.A.; Semeniuk, N.S.; Sharypov, K.A.; Shunailov, S.A.; Yalandin, M.I.; Zubarev, N.M.; Zubareva, O.V. Local and nonlocal conditions for electron runaway in a gas gap with a conical cathode with a variable opening angle. Phys. Plasmas 2024, 31, 103109. [Google Scholar] [CrossRef]
  17. Zubarev, N.M.; Mesyats, G.A.; Yalandin, M.I. Conditions for runaway electrons in a gas diode with a strongly nonuniform electric field. JETP Lett. 2017, 105, 537–541. [Google Scholar] [CrossRef]
  18. Lieberman, M.A.; Lichtenberg, A.J. Principles of Plasma Discharges and Plasma Processing; Wiley: Hobken, NJ, USA, 2005. [Google Scholar]
  19. Tarasenko, V.F.; Yakovlenko, S.I. The electron runaway mechanism in dense gases and the production of high-power subnanosecond electron beams. Phys. Uspekhi 2004, 47, 887. [Google Scholar] [CrossRef]
  20. Li, C.; Ebert, U.; Hundsdorfer, W. 3D hybrid computations for streamer discharges and production of runaway electrons. J. Phys. D Appl. Phys. 2009, 42, 202003. [Google Scholar] [CrossRef]
  21. Babaeva, N.Y.; Naidis, G.V.; Tereshonok, D.V.; Son, E.E. Development of nanosecond discharges in atmospheric pressure air: Two competing mechanisms of precursor electrons production. J. Phys. D Appl. Phys. 2018, 51, 434002. [Google Scholar] [CrossRef]
  22. Levko, D.; Yatom, S.; Krasik, Y.E. Particle-in-cell modeling of the nanosecond field emission driven discharge in pressurized hydrogen. J. Appl. Phys. 2018, 123, 083303. [Google Scholar] [CrossRef]
  23. Shao, T.; Tarasenko, V.F.; Zhang, C.; Baksht, E.K.; Zhang, D.; Erofeev, M.V.; Ren, C.; Shut’ko, Y.V.; Yan, P. Diffuse discharge produced by repetitive nanosecond pulses in open air, nitrogen, and helium. J. Appl. Phys. 2013, 113, 093301. [Google Scholar] [CrossRef]
  24. Babaeva, N.Y.; Naidis, G.V.; Tereshonok, D.V.; Tarasenko, V.F.; Beloplotov, D.V.; Sorokin, D.A. Formation of wide negative streamers in air and helium: The role of fast electrons. Phys. Plasmas 2022, 56, 035205. [Google Scholar] [CrossRef]
  25. Naidis, G.V.; Tarasenko, V.F.; Babaeva, N.Y.; I Lomaev, M. Subnanosecond breakdown in high-pressure gases. Plasma Sources Sci. Technol. 2018, 27, 013001. [Google Scholar] [CrossRef]
  26. Ivanov, S.N.; Lisenkov, V.V.; Shpak, V.G. Streak investigations of the initial phase of a subnanosecond pulsed electrical breakdown of high-pressure gas gaps. J. Phys. D Appl. Phys. 2010, 43, 315204. [Google Scholar] [CrossRef]
  27. Yatom, S.; Levko, D.; Gleizer, J.Z.; Vekselman, V.; Krasik, Y.E. X-ray diagnostics of runaway electrons generated during nanosecond discharge in gas at elevated pressures. Appl. Phys. Lett. 2012, 100, 024101. [Google Scholar] [CrossRef]
  28. Beloplotov, D.V.; Sorokin, D.A. Formation of a nanosecond discharge and generation of runaway electrons when applying a voltage pulse train. IEEE Trans. Plasma Sci. 2023, 52, 21–29. [Google Scholar] [CrossRef]
  29. Fu, Y.; Zhang, P.; Verboncoeur, J.P.; Wang, X. Electrical breakdown from macro to micro/nano scales: A tutorial and a review of the state of the art. Plasma Res. Express 2020, 2, 013001. [Google Scholar] [CrossRef]
  30. Babich, L.P. High-Energy Phenomena in Electric Discharges in Dense Gases: Theory, Experiment, and Natural Phenomena; ISTC Science and Technology Series; Futurepast Incorporated: Arlington, VA, USA, 2003; Volume 2. [Google Scholar]
  31. Levko, D.; Arslanbekov, R.R.; Kolobov, V.I. Modified Paschen curves for pulsed breakdown. Phys. Plasmas 2019, 26, 064502. [Google Scholar] [CrossRef]
  32. Raether, H. Electron Avalanches and Breakdown in Gases; Butterworths: Washington, DC, USA, 1964. [Google Scholar]
  33. Macheret, S.O.; Shneider, M.N.; Miles, R.B. Modeling of air plasma generation by repetitive high-voltage nanosecond pulses. IEEE Trans. Plasma Sci. 2002, 30, 1301–1314. [Google Scholar] [CrossRef]
  34. Macheret, S.O.; Shneider, M.N.; Murray, R.C.; Miles, R.B. Plasma-enhanced, hypersonic performance enabled by MHD power extraction. In Proceedings of the 43rd AIAA Aerospace Sciences Meeting and Exhibit, Reno, NV, USA, 10–13 January 2005; p. 561. [Google Scholar]
  35. Levko, D. Electron kinetics near the minimum of Paschen’s curves of pulsed breakdown. Phys. Plasmas 2024, 31, 103501. [Google Scholar] [CrossRef]
  36. Babich, L.; Tat’yana, V.L. Generalized Paschen’s law for overvoltage conditions. IEEE Trans. Plasma Sci. 2016, 44, 3243–3248. [Google Scholar] [CrossRef]
  37. Levko, D.; Raja, L.L. On the production of energetic electrons at the negative streamer head at moderate overvoltage. Phys. Plasmas 2017, 24, 124503. [Google Scholar] [CrossRef]
  38. Li, Y.; Fu, Y.; Liu, Z.; Li, H.; Wang, P.; Luo, H.; Zou, X.; Wang, X. Observation of electron runaway in a tip-plane air gap under negative nanosecond pulse voltage by PIC/MCC simulation. Plasma Sources Sci. Technol. 2022, 31, 045027. [Google Scholar] [CrossRef]
  39. Moss, G.D.; Pasko, V.P.; Liu, N.; Veronis, G. Monte Carlo model for analysis of thermal runaway electrons in streamer tips in transient luminous events and streamer zones of lightning leaders. J. Geophys. Res. Space Phys. 2006, 111, A02307. [Google Scholar] [CrossRef]
  40. Luque, A.; Ebert, U. Electron density fluctuations accelerate the branching of positive streamer discharges in air. Phys. Rev. E—Stat. Nonlinear Soft Matter Phys. 2011, 84, 046411. [Google Scholar] [CrossRef]
  41. Levko, D.; Pachuilo, M.; Raja, L.L. Particle-in-cell modeling of streamer branching in CO2 gas. J. Phys. D Appl. Phys. 2017, 50, 354004. [Google Scholar] [CrossRef]
  42. Kunhardt, E.E.; Byszewski, W.W. Development of overvoltage breakdown at high gas pressure. Phys. Rev. A 1980, 21, 2069. [Google Scholar] [CrossRef]
  43. Tsventoukh, M.M. On the consistency between ionization and trapped runaway electron acceleration in a pulsed discharge. Plasma Sources Sci. Technol. 2021, 30, 087001. [Google Scholar] [CrossRef]
  44. Levko, D.; Raja, L.L. Kinetics of the fast ionization waves with runaway electrons. Phys. Plasmas 2023, 30, 073502. [Google Scholar] [CrossRef]
  45. Nijdam, S.; Teunissen, J.; Ebert, U. The physics of streamer discharge phenomena. Plasma Sources Sci. Technol. 2020, 29, 103001. [Google Scholar] [CrossRef]
  46. Frankel, S.; Highland, V.; Sloan, T.; van Dyck, O.; Wales, W. Observation of X-rays from spark discharges in a spark chamber. Nucl. Instrum. Methods 1966, 44, 345–348. [Google Scholar] [CrossRef]
  47. Itikawa, Y. Cross sections for electron collisions with nitrogen molecules. J. Phys. Chem. Ref. Data 2006, 35, 31–53. [Google Scholar] [CrossRef]
  48. Starikovskaia, S.M.; Anikin, N.B.; Pancheshnyi, S.V.; Zatsepin, D.V.; Starikovskii, A.Y. Pulsed breakdown at high overvoltage: Development, propagation andenergy branching. Plasma Sources Sci. Technol. 2001, 10, 344. [Google Scholar] [CrossRef]
  49. Rep’ev, A.G.; Repin, P.B. Spatiotemporal parameters of the X-ray radiation from a diffuse atmospheric-pressure discharge. Tech. Phys. 2008, 53, 73–80. [Google Scholar] [CrossRef]
  50. Babich, L.P.; Loiko, T.V. Peculiarities of detecting pulses of runaway electrons and X-rays generated by high-voltage nanosecond discharges in open atmosphere. Plasma Phys. Rep. 2010, 36, 263–270. [Google Scholar] [CrossRef]
  51. Kostyrya, I.D.; Tarasenko, V.F. Soft X-ray radiation due to a nanosecond diffuse discharge in atmospheric-pressure air. Tech. Phys. 2010, 55, 270–276. [Google Scholar] [CrossRef]
  52. Kozyrev, A.V.; Tarasenko, V.F.; Baksht, E.K.; Shut’ko, Y.V. Soft X-ray generation and its role in breakdown of air gap at elevated pressures. Tech. Phys. Lett. 2011, 37, 1054–1057. [Google Scholar] [CrossRef]
  53. Shao, T.; Zhang, C.; Niu, Z.; Yan, P.; Tarasenko, V.F.; Baksht, E.K.; Kostyrya, I.D.; Shutko, V. Runaway electron preionized diffuse discharges in atmospheric pressure air with a point-to-plane gap in repetitive pulsed mode. J. Appl. Phys. 2011, 109, 083306. [Google Scholar] [CrossRef]
  54. Yatom, S.; Vekselman, V.; Gleizer, J.Z.; Krasik, Y.E. Space- and time-resolved characterization of nanosecond time scale discharges at pressurized gas. J. Appl. Phys. 2011, 109, 073312. [Google Scholar] [CrossRef]
  55. Raether, H. Über eine gasionisierende Strahlung einer Funkenentladung. Zeitschrift für Physik 1938, 110, 611–624. [Google Scholar] [CrossRef]
  56. Lozanskij, E.D.; Firsov, O.B. The Theory of Spark; Atomizdat: Moscow, Russia, 1975. [Google Scholar]
  57. Qiu, J.; Zhang, C.; Liu, Z.; Huang, B.; Shao, T. Reconstruction of energy spectrum of runaway electrons in nanosecond-pulse discharges in atmospheric air. Plasma Sci. Technol. 2021, 23, 064011. [Google Scholar] [CrossRef]
  58. Pancheshnyi, S.V.; Starikovskaia, S.M.; Starikovskii, A.Y. Role of Photoionization Processes in Propagation of Cathode-Directed Streamer. J. Phys. D Appl. Phys. 2001, 34, 1–11. [Google Scholar] [CrossRef]
  59. Levatter, J.I.; Lin, S.C. Necessary conditions for the homogeneous formation of pulsed avalanche discharges at high gas pressures. J. Appl. Phys. 1980, 51, 210–222. [Google Scholar] [CrossRef]
  60. Shao, T.; Zhang, C.; Niu, Z.; Yan, P.; Tarasenko, V.F.; Baksht EKh Burachenko, A.; Shut’ko Yu, V. Diffuse discharge, runaway electron, and X-ray in atmospheric pressure air in an inhomogeneous electrical field in repetitive pulsed modes. Appl. Phys. Lett. 2011, 98, 021503. [Google Scholar] [CrossRef]
  61. Babaeva, N.Y.; Zhang, C.; Qiu, J.; Hou, X.; Tarasenko, V.F.; Shao, T. The role of fast electrons in diffuse discharge formation: Monte Carlo simulation. Plasma Sources Sci. Technol. 2017, 26, 085008. [Google Scholar] [CrossRef]
  62. Litvinov, E.A.; Mesyats, G.A.; Proskurovskiĭ, D.I. Field emission and explosive electron emission processes in vacuum discharges. Sov. Phys. Uspekhi 1983, 26, 138. [Google Scholar] [CrossRef]
  63. Mesyats, G.A.; Yalandin, M.I. On the nature of picosecond runaway electron beams in air. IEEE Trans. Plasma Sci. 2009, 37, 785–789. [Google Scholar] [CrossRef]
  64. Levko, D.; Yatom, S.; Vekselman, V.; Gleizer, J.Z.; Gurovich, V.T.; Krasik, Y.E. Numerical simulations of runaway electron generation in pressurized gases. J. Appl. Phys. 2012, 111, 013303. [Google Scholar] [CrossRef]
  65. Levko, D. Comparison of mechanisms of the plasma generation by nanosecond discharge at extremely high overvoltage. J. Appl. Phys. 2018, 124, 163302. [Google Scholar] [CrossRef]
  66. Langmuir, I. The effect of space charge and initial velocities on the potential distribution and thermionic current between parallel plane electrodes. Phys. Rev. 1923, 21, 419. [Google Scholar] [CrossRef]
  67. Askar’yan, A.G. Acceleration of particles by the edge field of a moving plasma point that intensifies an electric field. ZhETF Pisma Redaktsiiu 1965, 1, 44. [Google Scholar]
Figure 1. Typical dependence of the friction force on electrons due to the inelastic collisions with the background gas [11].
Figure 1. Typical dependence of the friction force on electrons due to the inelastic collisions with the background gas [11].
Plasma 08 00012 g001
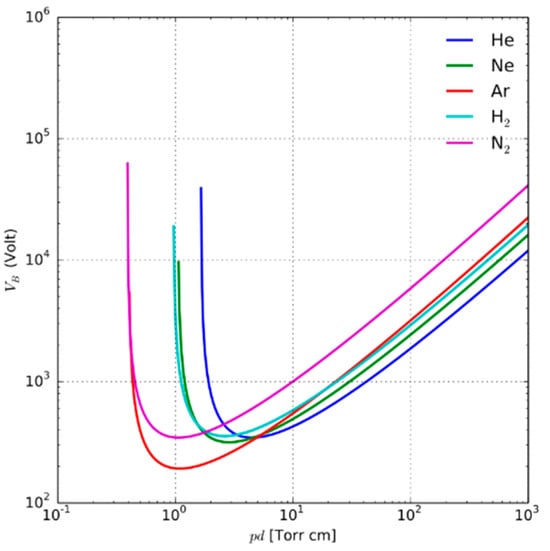
Figure 2. The typical Paschen’s curve obtained in various gases for slow voltage rise time [18].
Figure 2. The typical Paschen’s curve obtained in various gases for slow voltage rise time [18].
Plasma 08 00012 g002
Figure 3. Influence of the voltage rise time on the breakdown curve for nitrogen gas [30].
Figure 3. Influence of the voltage rise time on the breakdown curve for nitrogen gas [30].
Plasma 08 00012 g003
Figure 4. Breakdown voltage as the function of pd obtained using (a) a kinetic model and (b) a fluid model for nitrogen gas [31].
Figure 4. Breakdown voltage as the function of pd obtained using (a) a kinetic model and (b) a fluid model for nitrogen gas [31].
Plasma 08 00012 g004
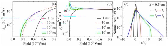
Figure 5. (a) Ionization rate coefficient, and (b) electron mobility obtained for four rise times by solving the Boltzmann equation for the gas pressure of 5 kPa. (c) Normalized electron velocity distribution function typical for the left branch of the Paschen’s curves at four consecutive times. The unit of velocity corresponds to the excitation energy of N2 [31].
Figure 5. (a) Ionization rate coefficient, and (b) electron mobility obtained for four rise times by solving the Boltzmann equation for the gas pressure of 5 kPa. (c) Normalized electron velocity distribution function typical for the left branch of the Paschen’s curves at four consecutive times. The unit of velocity corresponds to the excitation energy of N2 [31].
Plasma 08 00012 g005
Figure 6. Breakdown voltage as the function of gas pressure obtained for three values of the voltage rise time with and without accounting for the gas ionization by electrons having energy larger than 100 eV [35].
Figure 6. Breakdown voltage as the function of gas pressure obtained for three values of the voltage rise time with and without accounting for the gas ionization by electrons having energy larger than 100 eV [35].
Plasma 08 00012 g006
Figure 7. Electron density obtained at different times, (a) 0.51 ns, (b) 0.55 ns, (c) 0.58 ns, and (d) 0.64 ns, in argon gas at a pressure of 105 Pa and with cathode–anode gap voltage of −40 kV [37].
Figure 7. Electron density obtained at different times, (a) 0.51 ns, (b) 0.55 ns, (c) 0.58 ns, and (d) 0.64 ns, in argon gas at a pressure of 105 Pa and with cathode–anode gap voltage of −40 kV [37].
Plasma 08 00012 g007
Figure 8. Highest deviation of the absolute value of the electric field from its azimuthal average at three snapshots [40].
Figure 8. Highest deviation of the absolute value of the electric field from its azimuthal average at three snapshots [40].
Plasma 08 00012 g008
Figure 9. (a) Electron and ion densities obtained at t = 6 ns. (b) Electron density obtained at different times for the cathode–anode voltage of 20 kV [44].
Figure 9. (a) Electron and ion densities obtained at t = 6 ns. (b) Electron density obtained at different times for the cathode–anode voltage of 20 kV [44].
Plasma 08 00012 g009
Figure 10. Maximum electron energy obtained in the cathode–anode gap and the number of ionizations by different electron groups for the cathode–anode gap voltage of 100 kV [44].
Figure 10. Maximum electron energy obtained in the cathode–anode gap and the number of ionizations by different electron groups for the cathode–anode gap voltage of 100 kV [44].
Plasma 08 00012 g010
Figure 11. Ion density profile obtained at t = 0.2 ns for the cathode–anode gap voltage of 100 kV with the gas ionization switched off by different electron groups [44].
Figure 11. Ion density profile obtained at t = 0.2 ns for the cathode–anode gap voltage of 100 kV with the gas ionization switched off by different electron groups [44].
Plasma 08 00012 g011
Figure 12. Regions of breakdown development for various mechanisms depending upon the overvoltage in air.
Figure 12. Regions of breakdown development for various mechanisms depending upon the overvoltage in air.
Plasma 08 00012 g012
Figure 14. Electron potential energy when an external electric field is applied to the metal [7].
Figure 14. Electron potential energy when an external electric field is applied to the metal [7].
Plasma 08 00012 g014
Figure 15. Time evolution of the field emission current and electron current through the anode and the electric field at the cathode [22].
Figure 15. Time evolution of the field emission current and electron current through the anode and the electric field at the cathode [22].
Plasma 08 00012 g015
Figure 16. (a,b) Electron density and (c,d) potential obtained at different times; P = 2 × 105 Pa. The insert in (c) shows the potential distribution with and without plasma at t = 1.32 ns. H denotes the position of the streamer head [22].
Figure 16. (a,b) Electron density and (c,d) potential obtained at different times; P = 2 × 105 Pa. The insert in (c) shows the potential distribution with and without plasma at t = 1.32 ns. H denotes the position of the streamer head [22].
Plasma 08 00012 g016
Figure 17. (a) Energy phase space of plasma electrons and (b) phase space of field emission at t = 1.36 ns; P = 2 × 105 Pa. Blue line shows the distribution of potential at the same time. Black dots in (b) show the energy phase space of field-emitted electrons for vacuum conditions [22].
Figure 17. (a) Energy phase space of plasma electrons and (b) phase space of field emission at t = 1.36 ns; P = 2 × 105 Pa. Blue line shows the distribution of potential at the same time. Black dots in (b) show the energy phase space of field-emitted electrons for vacuum conditions [22].
Plasma 08 00012 g017
Disclaimer/Publisher’s Note: The statements, opinions and data contained in all publications are solely those of the individual author(s) and contributor(s) and not of MDPI and/or the editor(s). MDPI and/or the editor(s) disclaim responsibility for any injury to people or property resulting from any ideas, methods, instructions or products referred to in the content.

Share and Cite

MDPI and ACS Style

Levko, D. Runaway Electrons in Gas Discharges: Insights from the Numerical Modeling. Plasma 2025, 8, 12. https://doi.org/10.3390/plasma8010012

AMA Style

Levko D. Runaway Electrons in Gas Discharges: Insights from the Numerical Modeling. Plasma. 2025; 8(1):12. https://doi.org/10.3390/plasma8010012

Chicago/Turabian Style

Levko, Dmitry. 2025. "Runaway Electrons in Gas Discharges: Insights from the Numerical Modeling" Plasma 8, no. 1: 12. https://doi.org/10.3390/plasma8010012

APA Style

Levko, D. (2025). Runaway Electrons in Gas Discharges: Insights from the Numerical Modeling. Plasma, 8(1), 12. https://doi.org/10.3390/plasma8010012

Article Metrics

Back to TopTop