EUV/VUV Spectroscopy for the Study of Carbon Impurity Transport in Hydrogen and Deuterium Plasmas in the Edge Stochastic Magnetic Field Layer of Large Helical Device
Abstract
1. Introduction
2. Spectroscopic Diagnostics for Impurity Ions in the Edge Plasmas of LHD
- (1)
- High-time-resolution EUV and VUV wavelength spectral measurements: The spectrometers EUV Short, EUV Long, VUV 109L, VUV 106R, and VUV 102 cover specific wavelength ranges of 5–60 Å, 75–260 Å, 300–1050 Å, 970–1870 Å, and 1510–2400 Å, respectively. Figure 2b illustrates the vertical observation range on a plasma cross-section, including the optical axes of these spectrometers. CCD detectors (1024 × 256 pixels, pixel size 26 μm × 26 μm, Andor DO420-BN) are positioned at the exit slits of the spectrometers. In this experiment, a CCD data acquisition mode called “full-binning” mode is utilized. In this mode, all CCD pixels aligned vertically are combined into a single channel, eliminating the vertical spatial resolution. The spectral measurements have a time resolution of 5 ms with the full-binning data acquisition mode. This measurement technique enables simultaneous coverage of a wide wavelength range from EUV to VUV. It has been applied to survey the emission spectra of various impurities, including neon injected by gas puffing [18], boron and nitrogen injected by powder dropping [19], and tungsten injected as pellets [20].
- (2)
- Profile measurements for emission intensity, ion temperature, and flow velocity with high-spectral-resolution VUV spectroscopy: A 3 m normal-incidence VUV spectrometer has been developed to measure the radial distribution of VUV lines within the wavelength range of 300–3200 Å in the edge plasmas of LHD. The spectrometer is equipped with a CCD detector (1024 × 1024 pixels, pixel size 13 μm × 13 μm, Andor DO934P-BN) positioned at the exit slits. The spectroscopic system has a high spectral resolution with a wavelength dispersion of 0.037 Å/CCD-pixel, enabling precise measurement of the Doppler profiles of impurity line spectra. The vertical observation range of this spectrometer is adjusted to cover the ergodic layer at the bottom edge of the LHD plasma, as depicted in Figure 2c. The observed region corresponds to the horizontally elongated poloidal cross-section. In the measurement, a “Multi-track” data acquisition mode is employed, where multiple pixels are binned together (known as “binning”) to reduce the signal read time. Specifically, the CCD signals are summed up every 10 vertical pixels, resulting in a single vertical channel. This allows the division of the observable region into 102 observation chords. Each profile image can be captured with a time interval of 200 ms, comprising an exposure time of 138.66 ms and a readout time of 61.34 ms. The high wavelength dispersion of the spectrometer enables detailed wavelength identification of impurity emission lines. This measurement technique has been applied to study carbon, neon, argon [21], and tungsten impurities [22], providing valuable information on their emission profiles and behavior in the plasma.
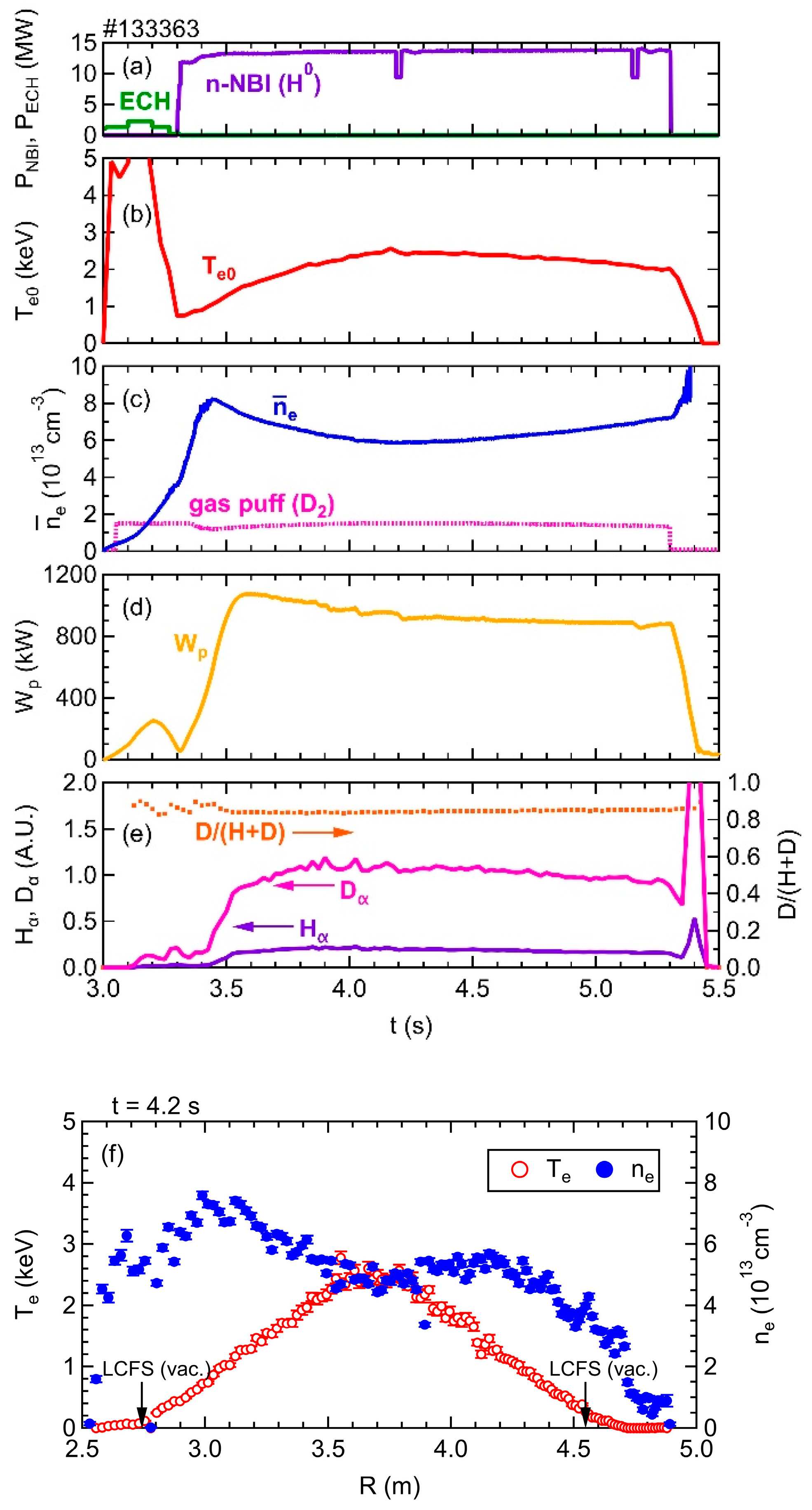
3. Spectroscopic Observation of Carbon Impurity
4. Summary
Author Contributions
Funding
Data Availability Statement
Acknowledgments
Conflicts of Interest
References
- Stangeby, P.C.; McCracken, G.M. Plasma boundary phenomena in tokamaks. Nucl. Fusion 1990, 30, 1225–1379. [Google Scholar] [CrossRef]
- Evans, T.E.; Moyer, R.A.; Thomas, P.R.; Watkins, J.G.; Osborne, T.H.; Boedo, J.A.; Doyle, E.J.; Fenstermacher, M.E.; Finken, K.H.; Groebner, R.J.; et al. Suppression of Large Edge-Localized Modes in High-Confinement DIII-D Plasmas with a Stochastic Magnetic Boundary. Phys. Rev. Lett. 2004, 92, 235003. [Google Scholar] [CrossRef] [PubMed]
- Kobayashi, M.; Masuzaki, S.; Yamada, I.; Tamura, N.; Feng, Y.; Sato, K.; Goto, M.; Narushima, Y.; Akiyama, T.; Miyazawa, J.; et al. Detachment stabilization with n/m = 1/1 resonant magnetic perturbation field applied to the stochastic magnetic boundary of the Large Helical Device. Phys. Plasmas 2010, 17, 056111. [Google Scholar] [CrossRef]
- Morisaki, T.; Narihara, K.; Masuzaki, S.; Morita, S.; Goto, M.; Komori, A.; Ohyabu, N.; Motojima, O.; Matsuoka, K. Ergodic edge region of large helical device. J. Nucl. Mater. 2003, 313–316, 548–552. [Google Scholar] [CrossRef]
- Chowdhuri, M.B.; Morita, S.; Kobayashi, M.; Goto, M.; Zhou, H.; Masuzaki, S.; Morisaki, T.; Narihara, K.; Yamada, I.; Feng, Y. Experimental study of impurity screening in the edge ergodic layer of the Large Helical Device using carbon emissions of CIII to CVI. Phys. Plasmas 2009, 16, 062502. [Google Scholar] [CrossRef]
- Morita, S.; Dong, C.; Kobayashi, M.; Goto, M.; Huang, X.; Murakami, I.; Oishi, T.; Wang, E.; Ashikawa, N.; Fujii, K.; et al. Effective screening of iron impurities in the ergodic layer of the Large Helical Device with a metallic first wall. Nucl. Fusion 2013, 53, 093017. [Google Scholar] [CrossRef]
- Kobayashi, M.; Morita, S.; Dong, C.; Cui, Z.; Pan, Y.; Gao, Y.; Zhou, H.; Feng, Y.; Masuzaki, S.; Goto, M.; et al. Edge impurity transport study in the stochastic layer of LHD and the scrape-off layer of HL-2A. Nucl. Fusion 2013, 53, 033011. [Google Scholar] [CrossRef]
- Stangeby, P.C. The Plasma Boundary of Magnetic Fusion Devices, 1st ed.; Institute of Physics Publishing: Bristol, UK, 2000; pp. 296–323. [Google Scholar] [CrossRef]
- Oishi, T.; Morita, S.; Dai, S.; Kobayashi, M.; Kawamura, G.; Huang, X.; Zhang, H.; Liu, Y.; Goto, M. The LHD Experiment Group Observation of carbon impurity flow in the edge stochastic magnetic field layer of Large Helical Device and its impact on the edge impurity control. Nucl. Fusion 2018, 58, 016040. [Google Scholar] [CrossRef]
- Dai, S.; Oishi, T.; Kawamura, G.; Kobayashi, M.; Morita, S.; Feng, Y.; Wang, D. Three-dimensional simulations of edge impurity flow obtained by the vacuum ultraviolet emission diagnostics in the Large Helical Device with EMC3-EIRENE. Nucl. Fusion 2018, 58, 096024. [Google Scholar] [CrossRef]
- Dai, S.; Kobayashi, M.; Kawamura, G.; Morita, S.; Zhang, H.; Oishi, T.; Feng, Y.; Wang, D.; Suzuki, Y. EMC3-EIRENE modelling of edge impurity transport in the stochastic layer of the large helical device compared with extreme ultraviolet emission measurements. Nucl. Fusion 2016, 56, 066005. [Google Scholar] [CrossRef]
- Takeiri, Y.; Morisaki, T.; Osakabe, M.; Yokoyama, M.; Sakakibara, S.; Takahashi, H.; Nakamura, Y.; Oishi, T.; Motojima, G.; Murakami, S.; et al. Extension of the operational regime of the LHD towards a deuterium experiment. Nucl. Fusion 2017, 57, 102023. [Google Scholar] [CrossRef]
- Osakabe, M.; Takahashi, H.; Yamada, H.; Tanaka, K.; Kobayashi, T.; Ida, K.; Ohdachi, S.; Varela, J.; Ogawa, K.; Kobayashi, M.; et al. Recent results from deuterium experiments on the large helical device and their contribution to fusion reactor development. Nucl. Fusion 2022, 62, 042019. [Google Scholar] [CrossRef]
- Chowdhuri, M.B.; Morita, S.; Goto, M. Characteristics of an absolutely calibrated flat-field extreme ultraviolet spectrometer in the 10–130 A range for fusion plasma diagnostics. Appl. Opt. 2008, 47, 135–146. [Google Scholar] [CrossRef] [PubMed]
- Chowdhuri, M.B.; Morita, S.; Goto, M.; Nishimura, H.; Nagai, K.; Fujioka, S. Spectroscopic comparison between 1200 grooves/mm ruled and holographic gratings of a flat-field spectrometer and its absolute sensitivity calibration using bremsstrahlung continuum. Rev. Sci. Instrum. 2007, 78, 023501. [Google Scholar] [CrossRef]
- Oishi, T.; Morita, S.; Huang, X.; Zhang, H.; Goto, M.; LHD Experiment Group. Line Spectrum of Tungsten Ions at Low Ionization Stages in Large Helical Device in Wavelength Range of 300–2400 Å Measured Using 20 cm Normal Incidence VUV Spectrometers. Plasma Fusion Res. 2015, 10, 3402031. [Google Scholar] [CrossRef]
- Oishi, T.; Morita, S.; Dong, C.; Wang, E.; Huang, X.; Goto, M.; LHD Experiment Group. Space-resolved 3 m normal incidence spectrometer for edge impurity diagnostics in the large helical device. Appl. Opt. 2014, 53, 6900–6912. [Google Scholar] [CrossRef]
- Oishi, T.; Morita, S.; Kobayashi, M.; Mukai, K.; Kawamura, G.; Masuzaki, S.; Hayashi, Y.; Suzuki, C.; Kawamoto, Y.; Goto, M.; et al. EUV and VUV Spectra of NeIII-NeX Line Emissions Observed in the Impurity Gas-Puffing Experiments of the Large Helical Device. Plasma Fusion Res. 2021, 16, 2402006. [Google Scholar] [CrossRef]
- Oishi, T.; Ashikawa, N.; Nespoli, F.; Masuzaki, S.; Shoji, M.; Gilson, E.; Lunsford, R.; Morita, S.; Goto, M.; Kawamoto, Y.; et al. Line identification of boron and nitrogen emissions in EUV and VUV wavelength ranges in the impurity powder dropping experiments of LHD and its application to spectroscopic diagnostics. Plasma Sci. Technol. 2021, 23, 084002. [Google Scholar] [CrossRef]
- Oishi, T.; Morita, S.; Kato, D.; Murakami, I.; Sakaue, H.A.; Kawamoto, Y.; Kawate, T.; Goto, M. Simultaneous Observation of Tungsten Spectra of W0 to W46+ Ions in Visible, VUV and EUV Wavelength Ranges in the Large Helical Device. Atoms 2021, 9, 69. [Google Scholar] [CrossRef]
- Katai, R.; Morita, S.; Goto, M. High-Resolution VUV Spectra of Carbon, Neon and Argon in a Wavelength Range of 250 to 2300 Å for Plasma Diagnostics Observed with a 3 m Normal Incidence Spectrometer in LHD. Plasma Fusion Res. 2007, 2, 14. [Google Scholar] [CrossRef]
- Oishi, T.; Morita, S.; Huang, X.; Zhang, H.; Goto, M.; LHD Experiment Group. Observation of W IV–W VII line emissions in wavelength range of 495–1475 Å in the large helical device. Phys. Scr. 2016, 91, 025602. [Google Scholar] [CrossRef]
- Kramida, A.; Ralchenko, Y.; Reader, J.; NIST ASD Team. NIST Atomic Spectra Database, (ver. 5.10); National Institute of Standards and Technology: Gaithersburg, MD, USA, 2022. Available online: https://physics.nist.gov/asd (accessed on 15 March 2023).
- Nishimura, K.; Ashikawa, N.; Sagara, A.; Noda, N.; Kawahata, K.; Morita, S.; Peterson, B.J.; Sakakibara, S.; Takeiri, Y.; Tanaka, K.; et al. Effects of Boronization in LHD. J. Plasma Fusion Res. 2003, 79, 1216–1217. [Google Scholar] [CrossRef]
- Morita, S.; Goto, M. X-ray crystal spectrometer with a charge-coupled-device detector for ion temperature measurements in the Large Helical Device. Rev. Sci. Instrum. 2003, 74, 2375–2387. [Google Scholar] [CrossRef]
- Vietzke, E. Isotope Dependence of the Chemical Erosion of Graphite by Hydrogen/Deuterium Implantation. J. Nucl. Sci. Technol. 2002, 39, 363–366. [Google Scholar] [CrossRef]
- Liu, Y.; Morita, S.; Oishi, T.; Goto, M. Effect of neutron and γ-ray on charge-coupled device for vacuum/extreme ultraviolet spectroscopy in deuterium discharges of large helical device. Rev. Sci. Instrum. 2018, 89, 10I109. [Google Scholar] [CrossRef] [PubMed]









Disclaimer/Publisher’s Note: The statements, opinions and data contained in all publications are solely those of the individual author(s) and contributor(s) and not of MDPI and/or the editor(s). MDPI and/or the editor(s) disclaim responsibility for any injury to people or property resulting from any ideas, methods, instructions or products referred to in the content. |
© 2023 by the authors. Licensee MDPI, Basel, Switzerland. This article is an open access article distributed under the terms and conditions of the Creative Commons Attribution (CC BY) license (https://creativecommons.org/licenses/by/4.0/).
Share and Cite
Oishi, T.; Morita, S.; Kobayashi, M.; Kawamura, G.; Kawamoto, Y.; Kawate, T.; Masuzaki, S.; Suzuki, C.; Goto, M. EUV/VUV Spectroscopy for the Study of Carbon Impurity Transport in Hydrogen and Deuterium Plasmas in the Edge Stochastic Magnetic Field Layer of Large Helical Device. Plasma 2023, 6, 308-321. https://doi.org/10.3390/plasma6020021
Oishi T, Morita S, Kobayashi M, Kawamura G, Kawamoto Y, Kawate T, Masuzaki S, Suzuki C, Goto M. EUV/VUV Spectroscopy for the Study of Carbon Impurity Transport in Hydrogen and Deuterium Plasmas in the Edge Stochastic Magnetic Field Layer of Large Helical Device. Plasma. 2023; 6(2):308-321. https://doi.org/10.3390/plasma6020021
Chicago/Turabian StyleOishi, Tetsutarou, Shigeru Morita, Masahiro Kobayashi, Gakushi Kawamura, Yasuko Kawamoto, Tomoko Kawate, Suguru Masuzaki, Chihiro Suzuki, and Motoshi Goto. 2023. "EUV/VUV Spectroscopy for the Study of Carbon Impurity Transport in Hydrogen and Deuterium Plasmas in the Edge Stochastic Magnetic Field Layer of Large Helical Device" Plasma 6, no. 2: 308-321. https://doi.org/10.3390/plasma6020021
APA StyleOishi, T., Morita, S., Kobayashi, M., Kawamura, G., Kawamoto, Y., Kawate, T., Masuzaki, S., Suzuki, C., & Goto, M. (2023). EUV/VUV Spectroscopy for the Study of Carbon Impurity Transport in Hydrogen and Deuterium Plasmas in the Edge Stochastic Magnetic Field Layer of Large Helical Device. Plasma, 6(2), 308-321. https://doi.org/10.3390/plasma6020021

