A Novel Bi2O3-TeO2-B2O3-CuO Glass for Copper Metallization of Si3N4: Wettability, Thermal Stability, and Bonding Performance
Abstract
1. Introduction
2. Materials and Methods
2.1. Materials
2.2. Preparation of Cu-Based Thick-Film Layer on Si3N4 Ceramic Substrate
2.3. Characterization
3. Results and Discussion
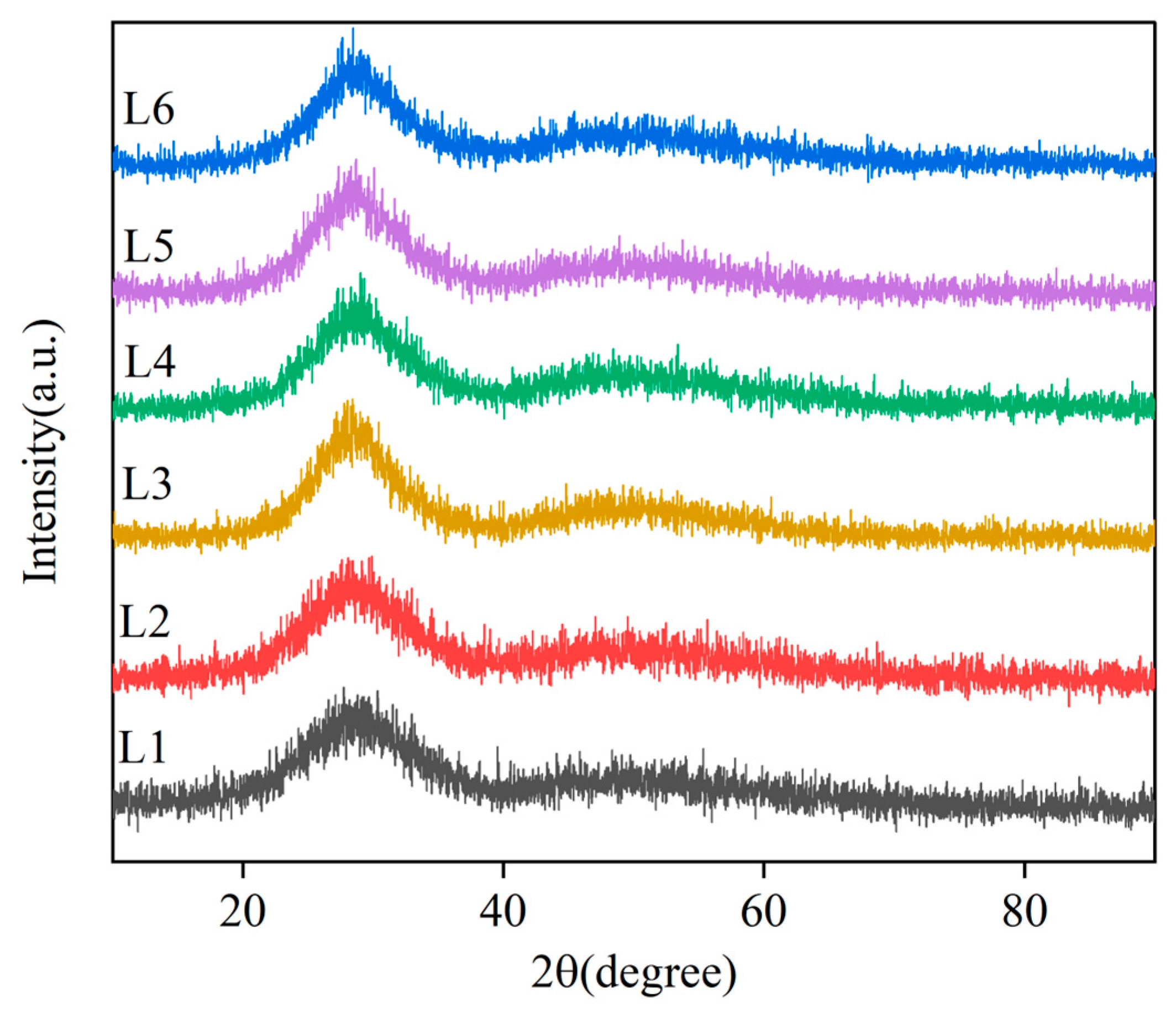
3.1. Characterization of Bi2O3-TeO2-B2O3-CuO Glass
3.2. Effect of Bi2O3-TeO2-B2O3-CuO Glass Content on the Properties of Composite Substrates
3.3. Effect of Heat Treatment Temperature on Surface Metallization of Composite Substrates
4. Conclusions
Author Contributions
Funding
Data Availability Statement
Conflicts of Interest
References
- Fan, B.; Hu, Z.; Zhao, S.; Zhao, D.; Wang, B.; Zhang, S.; Chen, Z.; Du, S.; Li, F.; Zhang, J.; et al. Fabrication of Si3N4 ceramics with improved thermal conductivity by carbothermal reduction and two-step sintering. J. Am. Ceram. Soc. 2024, 107, 7319–7330. [Google Scholar]
- Jing, J.; Guo, X.; Lu, J.; Ashfaq, M.Z.; Wang, Z.; Sun, F.; Gong, H.; Feng, Y.; Zhang, Y.; Zhang, W. Hot-pressing-oriented graphene in Si3N4 composites for enhanced electromagnetic wave absorption in X and Ku bands. J. Alloys Compd. 2024, 1002, 175516. [Google Scholar]
- Ye, J.; Zhang, B.; Ren, Y.; Zhong, Z.; Wang, Y.; Ye, F. Lightweight, high-strength, and broadband transmission porous Si3N4 ceramics. J. Eur. Ceram. Soc. 2024, 44, 116715. [Google Scholar] [CrossRef]
- Zhang, L.; Ma, W.; Ren, Z.; Tang, H.; Yu, Y.; Wang, L.; Li, T.; Qiao, Z. Micro/nanostructure constructed by in situ growth of SiC nanowires in porous Si3N4 ceramics. J. Am. Ceram. Soc. 2024, 107, 7619–7628. [Google Scholar] [CrossRef]
- Liu, J.; Huang, G.; Wang, R.N.; He, J.; Raja, A.S.; Liu, T.; Engelsen, N.J.; Kippenberg, T.J. High-yield, wafer-scale fabrication of ultralow-loss, dispersion-engineered silicon nitride photonic circuits. Nat. Commun. 2021, 12, 2236. [Google Scholar] [CrossRef]
- Mao, A.; Zhou, S.; Hong, Y.; Osborn, O.; Saiz, E.; Bai, H. Three-Dimensional Printing of Cuttlebone-Inspired Porous Ceramic Materials. ACS Appl. Mater. Interfaces 2024, 16, 41202–41210. [Google Scholar] [CrossRef] [PubMed]
- Ye, Z.; Wang, S.; Zou, Y.; Chen, G.; Zhao, X.; Wen, L.; Zhang, G.; Zhao, L.; Wang, Y.; Zhou, Y. A promising high-temperature thermal protection performance of silicide-based ceramic coating based on multi-particles/multilayer synergistic design strategy. Chem. Eng. J. 2024, 496, 153556. [Google Scholar]
- Ong, F.S.; Nishi, R.; Tobe, H.; Sato, E. Strength optimization of two-step-bonded Ti-6Al-4V/Si3N4 joint with Nb interlayer via transient-liquid-phase bonding and active-metal brazing. J. Eur. Ceram. Soc. 2022, 42, 2707–2717. [Google Scholar] [CrossRef]
- Rajendran, S.H.; Lee, G.A.; Park, J.Y.; Kang, Y.S.; Jung, J.P. Joining Si3N4 ceramic to Invar using Mo mesh and Cu foil interlayer. Mater. Chem. Phys. 2024, 313, 128732. [Google Scholar]
- Zhao, T.; Mo, D.; Shi, X.; Sun, W.; Li, X.; Gong, H. Microstructure and Mechanical Properties of the Joint between Si3N4 and Mo Brazed by Near-Eutectic Ag-Cu-In-Ti Filler Alloy. Adv. Eng. Mater. 2023, 25, 2300964. [Google Scholar] [CrossRef]
- Sivaprahasam, D.; Sujitha, T.; Gowtham, U.; Jayachandran, B.; Gopalan, R. Microstructure and heat transfer characteristics of active brazed Ceramic–Metal joints. Ceram. Int. 2021, 47, 16133–16140. [Google Scholar] [CrossRef]
- Schulz-Harder, J. Advantages and new development of direct bonded copper substrates. Microelectron. Reliab. 2003, 43, 359–365. [Google Scholar] [CrossRef]
- Nakao, Y.; Nishimoto, K.; Saida, K. Reaction Layer Formation in Nitride Ceramics (Si3N4 and AlN) to Metal Joints Bonded with Active Filler Metals. ISIJ Int. 1990, 30, 1142–1150. [Google Scholar] [CrossRef]
- Tanaka, S.-I. Direct bonding of Cu to oxidized silicon nitride by wetting of molten Cu and Cu(O). J. Mater. Sci. 2009, 45, 2181–2187. [Google Scholar] [CrossRef]
- Singh, M.; Martinez Fernandez, J.; Asthana, R.; Rico, J.R. Interfacial characterization of silicon nitride/silicon nitride joints brazed using Cu-base active metal interlayers. Ceram. Int. 2012, 38, 2793–2802. [Google Scholar] [CrossRef]
- Xiangyong, Z.; Haixian, X.; Jiaxu, Z.; Hao, Z.; Song, C.; Jingwei, L.; Wenming, T. Recent Advances in Improving Interfacial Bonding Strength of Ag-Cu-Ti Series Alloys Brazed Copper/Ceramic Substrates. J. Ceram. 2022, 43, 539–550. [Google Scholar]
- Ionkin, A.S.; Fish, B.M.; Li, Z.R.; Lewittes, M.; Soper, P.D.; Pepin, J.G.; Carroll, A.F. Screen-Printable Silver Pastes with Metallic Nano-Zinc and Nano-Zinc Alloys for Crystalline Silicon Photovoltaic Cells. ACS Appl. Mater. Interfaces 2011, 3, 606–611. [Google Scholar] [PubMed]
- Reboun, J.; Hromadka, K.; Hermansky, V.; Johan, J. Properties of power electronic substrates based on thick printed copper technology. Microelectron. Eng. 2017, 167, 58–62. [Google Scholar] [CrossRef]
- Zou, Y.; Fu, R.; Liu, X.; Liu, H.; Wang, H. Enhanced adhesion strength of silver paste on AlN ceramic substrate via sintered nano-CuO. Ceram. Int. 2021, 47, 9471–9476. [Google Scholar] [CrossRef]
- Seo, D.S.; Park, S.H.; Lee, J.K. Sinterability and conductivity of silver paste with Pb-free frit. Curr. Appl. Phys. 2009, 9, S72–S74. [Google Scholar] [CrossRef]
- Xu, X.; Zhuang, H.; Li, W.; Jiang, G. Bonding behavior of copper thick films containing lead-free glass frit on aluminum nitride substrates. Ceram. Int. 2004, 30, 661–665. [Google Scholar] [CrossRef]
- Chen, J.; Yang, D.; Zhai, T.; Gui, B.; Wang, Q. Influence of B2O3–SiO2–ZnO–BaO glass ratio and sintering temperature on the microstructure and property of copper thick film for low temperature co-fired ceramic. J. Mater. Sci. Mater. Electron. 2016, 27, 1929–1937. [Google Scholar] [CrossRef]
- Chen, Y.; Shi, Y.; Xie, J.; Lei, F.; Fan, L.; Zhang, L. Fabrication of lead-free low melting temperature TeO2-V2O5-CuO glasses and wetting behavior on AlN ceramic substrate. J. Eur. Ceram. Soc. 2020, 40, 5991–6001. [Google Scholar] [CrossRef]
- Ji, S.; Shi, Y.; Chen, C.; Zhang, C.; Hu, C.; Xie, J. Investigation of interfacial properties of Cu/AlN composite ceramic substrates derived from copper paste containing TeO2–V2O5–CuO glass frit. J. Mater. Sci. Mater. Electron. 2022, 33, 13339–13351. [Google Scholar] [CrossRef]
- Sun, L.; Liu, C.; Zhang, J.; Fang, J. Joining pre-oxidized dense Si3N4 to porous Si3N4 with β-spodumene based glass-ceramic interlayer. Appl. Surf. Sci. 2019, 481, 515–523. [Google Scholar] [CrossRef]
- Lin, Y.; Qi, X.; Niu, G.; Sun, Q.; Ji, H.; Li, M.; Li, Y. Surface metallization of Si3N4 ceramics with high-performance silver thick paste containing Bi-B-Zn glass frit. J. Mater. Sci. 2023, 58, 9395–9408. [Google Scholar] [CrossRef]
- Zhao, G.; Tian, Y.; Fan, H.; Zhang, J.; Hu, L. Properties and Structures of Bi2O3–B2O3–TeO2 Glass. J. Mater. Sci. Technol. 2013, 29, 209–214. [Google Scholar] [CrossRef]
- Yang, W.; Sun, Q.; Lei, Q.; Zhu, W.; Li, Y.; Wei, J.; Li, M. Formation of a highly conductive thick film by low-temperature sintering of silver paste containing a Bi2O3-B2O3-ZnO glass frit. J. Mater. Process. Technol. 2019, 267, 61–67. [Google Scholar] [CrossRef]
- He, F.; Wang, J.; Deng, D. Effect of Bi2O3 on structure and wetting studies of Bi2O3–ZnO–B2O3 glasses. J. Alloys Compd. 2011, 509, 6332–6336. [Google Scholar] [CrossRef]
- Saddeek, Y.B.; Aly, K.A.; Shaaban, K.S.; Ali, A.M.; Alqhtani, M.M.; Alshehri, A.M.; Sayed, M.A.; Abdel Wahab, E.A. Physical properties of B2O3–TeO2–Bi2O3 glass system. J. Non-Cryst. Solids 2018, 498, 82–88. [Google Scholar] [CrossRef]
- Laxmikanth, C.; Elias, A.M.; Sichone, S.; Mwankemwa, B. Tailoring structural, thermal, and optical properties of Tm3+-doped borotellurite glasses through Bi2O3 incorporation for optical fiber construction. Next Mater. 2025, 6, 100274. [Google Scholar] [CrossRef]
- Boulesteix, C.; Hewitt, K.C.; Irwin, J.C. Temperature-induced frequency shift of the Raman-active CuO2 planar oxygen vibrational modes of Bi-2212 related to a change of the Cu-O bonding. J. Phys. Condens. Matter 2000, 12, 9637–9643. [Google Scholar] [CrossRef]
- Wang, W.W.; Cao, X.; Cao, F.F.; Zhong, Z.J.; Li, J.W.; Ma, L.Y. Effect of Bi2O3/ZnO Ratio on Structure and Properties of Low-melting Sealing Glass Used in Vacuum Glass. Bull. Chin. Ceram. Soc. 2019, 38, 2942–2946. [Google Scholar]
- Ngo, M.C.; Miyazaki, H.; Hirao, K.; Ohji, T.; Fukushima, M. Stress–strain behavior of Cu on the AMB-Si3N4 substrate undergoing thermal cycles via in situ strain measurement. J. Am. Ceram. Soc. 2024, 107, 8415–8425. [Google Scholar] [CrossRef]
- Joshi, R.; Chhibber, R. Effect of SiO2/B2O3 ratio on the thermophysical and wetting properties of borosilicate glass sealant for glass-metal joint. J. Mater. Process. Technol. 2018, 259, 186–194. [Google Scholar] [CrossRef]
- Chen, B.; Zou, W.-J.; Li, W.-W.; Wu, S.-B.; Xiong, H.-P.; Wu, X. Joining of SiO2f/SiO2 composite to Nb using Ag-Cu-In-Ti brazing alloys. J. Mater. Sci. Technol. 2020, 50, 13–20. [Google Scholar] [CrossRef]
- Wang, J.Y.; Lin, Y.X.; Wu, C.Y.; Chiu, C.Y.; Lee, C.H.; Yeh, C.Y.; Huang, B.R.; Liu, C.Y. Effect of mixing glass frits on electrical property and microstructure of sintered Cu conductive thick film. J. Am. Ceram. Soc. 2020, 104, 1707–1715. [Google Scholar] [CrossRef]
- Kerstan, M.; Thieme, C.; Kobeisy, A.; Rüssel, C. Crystallizing glass seals in the system BaO/ZnO/SiO2 with high coefficients of thermal expansion. J. Mater. Sci. 2017, 52, 1789–1796. [Google Scholar] [CrossRef]
- Huang, Y.; Fu, R.; Chen, X.; Cheng, B.; Agathopoulos, S. Interfacial strength and microstructure of AlN/Cu joints produced by a novel brazing method facilitated by porous copper layer and Ag foil. J. Mater. Sci. Mater. Electron. 2021, 32, 15826–15836. [Google Scholar]
- Zhang, F.; Duan, G.; Cao, L.; Yang, D.; Liu, Z. Preparation and properties of antioxidative BaO–B2O3–SiO2 glass-coated Cu powder for copper conductive film on LTCC substrate. J. Mater. Sci. Mater. Electron. 2017, 29, 130–137. [Google Scholar] [CrossRef]















| Sample | Nominal Compositions (mol%) | |||
|---|---|---|---|---|
| Bi2O3 | TeO2 | B2O3 | CuO | |
| L1 | 10 | 20 | 30 | 40 |
| L2 | 15 | 20 | 30 | 35 |
| L3 | 20 | 20 | 30 | 30 |
| L4 | 25 | 20 | 30 | 25 |
| L5 | 30 | 20 | 30 | 20 |
| L6 | 35 | 20 | 30 | 15 |
| Component | Alpha-Terpineol | Diethylene Glycol Butyl | Ethyl Cellulose | Stearic Acid | Silane Coupling Agent |
|---|---|---|---|---|---|
| Content (wt%) | 47.4 | 31.6 | 8 | 5 | 8 |
| Component | Cu (wt%) | Glass (wt%) | Organic Solvent |
|---|---|---|---|
| Content | 100 − x | x (0–8) | 12 |
| Sample | TC (°C) | Tg (°C) | ∆T (°C) |
|---|---|---|---|
| L1 | 488 | 359 | 129 |
| L2 | 491 | 336 | 155 |
| L3 | 542 | 318 | 224 |
| L4 | 529 | 312 | 217 |
| L5 | 516 | 302 | 214 |
| L6 | 434 | 258 | 176 |
Disclaimer/Publisher’s Note: The statements, opinions and data contained in all publications are solely those of the individual author(s) and contributor(s) and not of MDPI and/or the editor(s). MDPI and/or the editor(s) disclaim responsibility for any injury to people or property resulting from any ideas, methods, instructions or products referred to in the content. |
© 2026 by the authors. Licensee MDPI, Basel, Switzerland. This article is an open access article distributed under the terms and conditions of the Creative Commons Attribution (CC BY) license.
Share and Cite
Chen, C.; Lei, F.; Dang, S.; Zhang, H.; Shi, Y.; Chen, H. A Novel Bi2O3-TeO2-B2O3-CuO Glass for Copper Metallization of Si3N4: Wettability, Thermal Stability, and Bonding Performance. Ceramics 2026, 9, 37. https://doi.org/10.3390/ceramics9040037
Chen C, Lei F, Dang S, Zhang H, Shi Y, Chen H. A Novel Bi2O3-TeO2-B2O3-CuO Glass for Copper Metallization of Si3N4: Wettability, Thermal Stability, and Bonding Performance. Ceramics. 2026; 9(4):37. https://doi.org/10.3390/ceramics9040037
Chicago/Turabian StyleChen, Chaochen, Fang Lei, Shiqing Dang, Hongyang Zhang, Ying Shi, and Haohong Chen. 2026. "A Novel Bi2O3-TeO2-B2O3-CuO Glass for Copper Metallization of Si3N4: Wettability, Thermal Stability, and Bonding Performance" Ceramics 9, no. 4: 37. https://doi.org/10.3390/ceramics9040037
APA StyleChen, C., Lei, F., Dang, S., Zhang, H., Shi, Y., & Chen, H. (2026). A Novel Bi2O3-TeO2-B2O3-CuO Glass for Copper Metallization of Si3N4: Wettability, Thermal Stability, and Bonding Performance. Ceramics, 9(4), 37. https://doi.org/10.3390/ceramics9040037
