Infrared and Terahertz Spectra of Sn-Doped Vanadium Dioxide Films
Abstract
1. Introduction
2. Experimental Details
2.1. Preparation of Sn-Doped VO Samples
2.2. Characterization Studies
3. Results and Discussion
3.1. Structural and Morphological Analysis
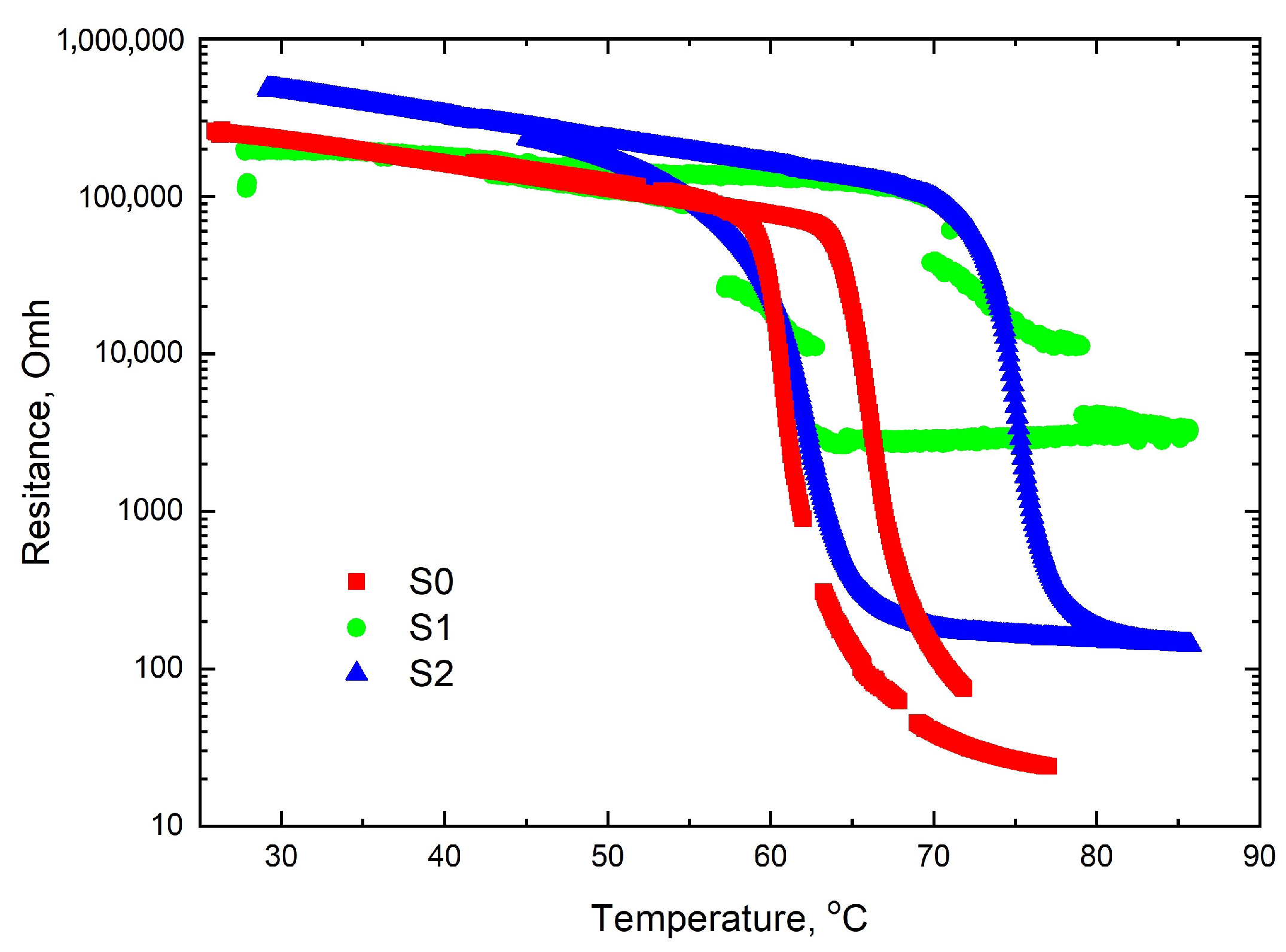
3.2. Electrical and IR Optical Properties
3.3. Thz Optical Properties
4. Conclusions
Author Contributions
Funding
Data Availability Statement
Acknowledgments
Conflicts of Interest
Abbreviations
| Sn | Tin |
| VO | Vanadium dioxide |
| IR | Infrared |
| THz | Terahertz |
| XRD | X-ray diffraction |
| SEM | Scanning electron microscopy |
| MIT | Metal–insulator transition |
| EG | Ethylene glycol |
| DI | Deionized |
| THz-TDS | Terahertz time-domain spectroscopy |
| FWHM | Full width at half maximum |
References
- Tittl, A.; Michel, A.K.U.; Schäferling, M.; Yin, X.; Gholipour, B.; Cui, L.; Wuttig, M.; Taubner, T.; Neubrech, F.; Giessen, H. A switchable mid-infrared plasmonic perfect absorber with multispectral thermal imaging capability. Adv. Mater. 2015, 27, 4597–4603. [Google Scholar] [CrossRef]
- Pang, X.; Ozolins, O.; Jia, S.; Zhang, L.; Schatz, R.; Udalcovs, A.; Bobrovs, V.; Hu, H.; Morioka, T.; Sun, Y.T.; et al. Bridging the Terahertz Gap: Photonics-assisted Free-Space Communications from the Submillimeter-Wave to the Mid-Infrared. J. Light. Technol. 2022, 40, 3149–3162. [Google Scholar] [CrossRef]
- Lin, H.; Luo, Z.; Gu, T.; Kimerling, L.C.; Wada, K.; Agarwal, A.; Hu, J. Mid-infrared integrated photonics on silicon: A perspective. Nanophotonics 2018, 7, 393–420. [Google Scholar] [CrossRef]
- Fang, Y.; Ge, Y.; Wang, C.; Zhang, H. Mid-infrared photonics using 2D materials: Status and challenges. Laser Photonics Rev. 2020, 14, 1900098. [Google Scholar] [CrossRef]
- Shu, F.Z.; Wang, J.N.; Peng, R.W.; Xiong, B.; Fan, R.H.; Gao, Y.J.; Liu, Y.; Qi, D.X.; Wang, M. Electrically Driven Tunable Broadband Polarization States via Active Metasurfaces Based on Joule-Heat-Induced Phase Transition of Vanadium Dioxide. Laser Photonics Rev. 2021, 15, 2100155. [Google Scholar] [CrossRef]
- Erçağlar, V.; Hajian, H.; Özbay, E. VO2–graphene-integrated hBN-based metasurface for bi-tunable phonon-induced transparency and nearly perfect resonant absorption. J. Phys. Appl. Phys. 2021, 54, 245101. [Google Scholar] [CrossRef]
- Liu, L.; Kang, L.; Mayer, T.S.; Werner, D.H. Hybrid metamaterials for electrically triggered multifunctional control. Nat. Commun. 2016, 7, 13236. [Google Scholar] [CrossRef] [PubMed]
- Dicken, M.J.; Aydin, K.; Pryce, I.M.; Sweatlock, L.A.; Boyd, E.M.; Walavalkar, S.; Ma, J.; Atwater, H.A. Frequency tunable near-infrared metamaterials based on VO2 phase transition. Opt. Express 2009, 17, 18330–18339. [Google Scholar] [CrossRef] [PubMed]
- Kats, M.A.; Blanchard, R.; Genevet, P.; Yang, Z.; Qazilbash, M.M.; Basov, D.; Ramanathan, S.; Capasso, F. Thermal tuning of mid-infrared plasmonic antenna arrays using a phase change material. Opt. Lett. 2013, 38, 368–370. [Google Scholar] [CrossRef]
- Liu, Z.M.; Li, Y.; Zhang, J.; Huang, Y.Q.; Li, Z.P.; Pei, J.H.; Fang, B.Y.; Wang, X.H.; Xiao, H. Design and fabrication of a tunable infrared metamaterial absorber based on VO2 films. J. Phys. Appl. Phys. 2017, 50, 385104. [Google Scholar] [CrossRef]
- Kats, M.A.; Sharma, D.; Lin, J.; Genevet, P.; Blanchard, R.; Yang, Z.; Qazilbash, M.M.; Basov, D.; Ramanathan, S.; Capasso, F. Ultra-thin perfect absorber employing a tunable phase change material. Appl. Phys. Lett. 2012, 101, 221101. [Google Scholar] [CrossRef]
- Xue, Y.; Yin, S. Element doping: A marvelous strategy for pioneering the smart applications of VO2. Nanoscale 2022, 14, 11054–11097. [Google Scholar] [CrossRef] [PubMed]
- Ke, Y.; Wang, S.; Liu, G.; Li, M.; White, T.J.; Long, Y. Vanadium dioxide: The multistimuli responsive material and its applications. Small 2018, 14, 1802025. [Google Scholar] [CrossRef] [PubMed]
- Morin, F. Oxides which show a metal-to-insulator transition at the Neel temperature. Phys. Rev. Lett. 1959, 3, 34. [Google Scholar] [CrossRef]
- Liu, K.; Lee, S.; Yang, S.; Delaire, O.; Wu, J. Recent progresses on physics and applications of vanadium dioxide. Mater. Today 2018, 21, 875–896. [Google Scholar] [CrossRef]
- Shi, R.; Shen, N.; Wang, J.; Wang, W.; Amini, A.; Wang, N.; Cheng, C. Recent advances in fabrication strategies, phase transition modulation, and advanced applications of vanadium dioxide. Appl. Phys. Rev. 2019, 6, 011312. [Google Scholar] [CrossRef]
- Ji, H.; Liu, D.; Cheng, H. Infrared optical modulation characteristics of W-doped VO2 (M) nanoparticles in the MWIR and LWIR regions. Mater. Sci. Semicond. Process. 2020, 119, 105141. [Google Scholar] [CrossRef]
- Lv, X.; Chai, X.; Lv, L.; Cao, Y.; Zhang, Y.; Song, L. Preparation of porous Mo-doped VO2 films via atomic layer deposition and post annealing. Jpn. J. Appl. Phys. 2021, 60, 085501. [Google Scholar] [CrossRef]
- Guan, S.; Souquet-Basiège, M.; Toulemonde, O.; Denux, D.; Penin, N.; Gaudon, M.; Rougier, A. Toward room-temperature thermochromism of VO2 by Nb doping: Magnetic investigations. Chem. Mater. 2019, 31, 9819–9830. [Google Scholar] [CrossRef]
- Victor, J.L.; Gaudon, M.; Salvatori, G.; Toulemonde, O.; Penin, N.; Rougier, A. Doubling of the phase transition temperature of VO2 by Fe doping. J. Phys. Chem. Lett. 2021, 12, 7792–7796. [Google Scholar] [CrossRef]
- Chen, S.; Liu, J.; Wang, L.; Luo, H.; Gao, Y. Unraveling mechanism on reducing thermal hysteresis width of VO2 by Ti doping: A joint experimental and theoretical study. J. Phys. Chem. C 2014, 118, 18938–18944. [Google Scholar] [CrossRef]
- Nishikawa, M.; Nakajima, T.; Kumagai, T.; Okutani, T.; Tsuchiya, T. Adjustment of thermal hysteresis in epitaxial VO2 films by doping metal ions. J. Ceram. Soc. Jpn. 2011, 119, 577–580. [Google Scholar] [CrossRef]
- Yano, A.; Clarke, H.; Sellers, D.G.; Braham, E.J.; Alivio, T.E.; Banerjee, S.; Shamberger, P.J. Toward high-precision control of transformation characteristics in VO2 through dopant modulation of hysteresis. J. Phys. Chem. C 2020, 124, 21223–21231. [Google Scholar] [CrossRef]
- Gao, Z.; Liu, Z.; Ping, Y.; Ma, Z.; Li, X.; Wei, C.; He, C.; Liu, Y. Low metal–insulator transition temperature of Ni-doped vanadium oxide films. Ceram. Int. 2021, 47, 28790–28796. [Google Scholar] [CrossRef]
- Zou, Z.; Zhang, Z.; Xu, J.; Yu, Z.; Cheng, M.; Xiong, R.; Lu, Z.; Liu, Y.; Shi, J. Thermochromic, threshold switching, and optical properties of Cr-doped VO2 thin films. J. Alloys Compd. 2019, 806, 310–315. [Google Scholar] [CrossRef]
- Schläefer, J.; Sol, C.; Li, T.; Malarde, D.; Portnoi, M.; Macdonald, T.J.; Laney, S.K.; Powell, M.J.; Top, I.; Parkin, I.P.; et al. Thermochromic VO2-SiO2 nanocomposite smart window coatings with narrow phase transition hysteresis and transition gradient width. Sol. Energy Mater. Sol. Cells 2019, 200, 109944. [Google Scholar] [CrossRef]
- Zhao, Z.; Liu, Y.; Wang, D.; Ling, C.; Chang, Q.; Li, J.; Zhao, Y.; Jin, H. Sn dopants improve the visible transmittance of VO2 films achieving excellent thermochromic performance for smart window. Sol. Energy Mater. Sol. Cells 2020, 209, 110443. [Google Scholar] [CrossRef]
- Zhao, Z.; Liu, Y.; Yu, Z.; Ling, C.; Li, J.; Zhao, Y.; Jin, H. Sn–W Co-doping improves thermochromic performance of VO2 films for smart windows. ACS Appl. Energy Mater. 2020, 3, 9972–9979. [Google Scholar] [CrossRef]
- Naftaly, M. Terahertz Metrology; Artech House: Boston, MA, USA, 2015. [Google Scholar]
- THz Spectral Splitters. Available online: https://www.tydexoptics.com/products/thz_optics/thz_splitter (accessed on 5 June 2023).
- Bauer, T.; Kolb, J.; Löffler, T.; Mohler, E.; Roskos, H.; Pernisz, U. Indium–tin–oxide-coated glass as dichroic mirror for far-infrared electromagnetic radiation. J. Appl. Phys. 2002, 92, 2210–2212. [Google Scholar] [CrossRef]
- Lai, W.; Yuan, H.; Fang, H.; Zhu, Y.; Wu, H. Ultrathin, highly flexible and optically transparent terahertz polarizer based on transparent conducting oxide. J. Phys. D Appl. Phys. 2020, 53, 125109. [Google Scholar] [CrossRef]
- Chen, C.W.; Lin, Y.C.; Chang, C.H.; Yu, P.; Shieh, J.M.; Pan, C.L. Frequency-dependent complex conductivities and dielectric responses of indium tin oxide thin films from the visible to the far-infrared. IEEE J. Quantum Electron. 2010, 46, 1746–1754. [Google Scholar] [CrossRef]
- Arezoomandan, S.; Prakash, A.; Chanana, A.; Yue, J.; Mao, J.; Blair, S.; Nahata, A.; Jalan, B.; Sensale-Rodriguez, B. THz characterization and demonstration of visible-transparent/terahertz-functional electromagnetic structures in ultra-conductive La-doped BaSnO3 Films. Sci. Rep. 2018, 8, 3577. [Google Scholar] [CrossRef]
- Ivanov, A.V.; Tatarenko, A.Y.; Gorodetsky, A.A.; Makarevich, O.N.; Navarro-Cia, M.; Makarevich, A.M.; Kaul, A.R.; Eliseev, A.A.; Boytsova, O.V. Fabrication of epitaxial W-doped VO2 nanostructured films for terahertz modulation using the solvothermal process. ACS Appl. Nano Mater. 2021, 4, 10592–10600. [Google Scholar] [CrossRef]
- Shvets, P.; Dikaya, O.; Maksimova, K.; Goikhman, A. A review of Raman spectroscopy of vanadium oxides. J. Raman Spectrosc. 2019, 50, 1226–1244. [Google Scholar] [CrossRef]
- Thomas, M.E.; Joseph, R.I.; Tropf, W.J. Infrared transmission properties of sapphire, spinel, yttria, and ALON as a function of temperature and frequency. Appl. Opt. 1988, 27, 239–245. [Google Scholar] [CrossRef] [PubMed]
- Lu, C.; Lu, Q.; Gao, M.; Lin, Y. Dynamic manipulation of THz waves enabled by phase-transition VO2 thin film. Nanomaterials 2021, 11, 114. [Google Scholar] [CrossRef] [PubMed]
- Wu, X.; Wu, Z.; Ji, C.; Zhang, H.; Su, Y.; Huang, Z.; Gou, J.; Wei, X.; Wang, J.; Jiang, Y. THz transmittance and electrical properties tuning across IMT in vanadium dioxide films by Al doping. ACS Appl. Mater. Interfaces 2016, 8, 11842–11850. [Google Scholar] [CrossRef]
- Ji, C.; Wu, Z.; Wu, X.; Feng, H.; Wang, J.; Huang, Z.; Zhou, H.; Yao, W.; Gou, J.; Jiang, Y. Optimization of metal-to-insulator phase transition properties in polycrystalline VO2 films for terahertz modulation applications by doping. J. Mater. Chem. C 2018, 6, 1722–1730. [Google Scholar] [CrossRef]
- Fedorov, V.Y.; Tzortzakis, S. Optimal wavelength for two-color filamentation-induced terahertz sources. Opt. Express 2018, 26, 31150–31159. [Google Scholar] [CrossRef]
- Koulouklidis, A.D.; Gollner, C.; Shumakova, V.; Fedorov, V.Y.; Pugžlys, A.; Baltuška, A.; Tzortzakis, S. Observation of extremely efficient terahertz generation from mid-infrared two-color laser filaments. Nat. Commun. 2020, 11, 292. [Google Scholar] [CrossRef]









| Sample | MD, % | , °C | , °C |
|---|---|---|---|
| S0 | 93.7 | 8.5 | 7.2 |
| S1 | 95 | 14 | 6.2 |
| S2 | 96.8 | 17.5 | 5.7 |
Disclaimer/Publisher’s Note: The statements, opinions and data contained in all publications are solely those of the individual author(s) and contributor(s) and not of MDPI and/or the editor(s). MDPI and/or the editor(s) disclaim responsibility for any injury to people or property resulting from any ideas, methods, instructions or products referred to in the content. |
© 2023 by the authors. Licensee MDPI, Basel, Switzerland. This article is an open access article distributed under the terms and conditions of the Creative Commons Attribution (CC BY) license (https://creativecommons.org/licenses/by/4.0/).
Share and Cite
Grebenchukov, A.; Boytsova, O.; Shakhmin, A.; Tatarenko, A.; Makarevich, O.; Roslyakov, I.; Kropotov, G.; Khodzitsky, M. Infrared and Terahertz Spectra of Sn-Doped Vanadium Dioxide Films. Ceramics 2023, 6, 1291-1301. https://doi.org/10.3390/ceramics6020079
Grebenchukov A, Boytsova O, Shakhmin A, Tatarenko A, Makarevich O, Roslyakov I, Kropotov G, Khodzitsky M. Infrared and Terahertz Spectra of Sn-Doped Vanadium Dioxide Films. Ceramics. 2023; 6(2):1291-1301. https://doi.org/10.3390/ceramics6020079
Chicago/Turabian StyleGrebenchukov, Alexander, Olga Boytsova, Alexey Shakhmin, Artem Tatarenko, Olga Makarevich, Ilya Roslyakov, Grigory Kropotov, and Mikhail Khodzitsky. 2023. "Infrared and Terahertz Spectra of Sn-Doped Vanadium Dioxide Films" Ceramics 6, no. 2: 1291-1301. https://doi.org/10.3390/ceramics6020079
APA StyleGrebenchukov, A., Boytsova, O., Shakhmin, A., Tatarenko, A., Makarevich, O., Roslyakov, I., Kropotov, G., & Khodzitsky, M. (2023). Infrared and Terahertz Spectra of Sn-Doped Vanadium Dioxide Films. Ceramics, 6(2), 1291-1301. https://doi.org/10.3390/ceramics6020079

