Next Article in Journal
Optimization of the COVID-19 Vaccine Distribution Route Using the Vehicle Routing Problem with Time Windows Model and Capacity Constraint
Previous Article in Journal
A Novel Hybrid Simulated Annealing for No-Wait Open-Shop Surgical Case Scheduling Problems
 
 
Font Type:
Arial Georgia Verdana
Font Size:
Aa Aa Aa
Line Spacing:
Column Width:
Background:
Article

Simulative Assessment of the Listen before Talk Adaptive Frequency Agility Medium Access Control Protocol for LoRaWAN Networks in IoT Scenarios

Department of Electrical, Electronic and Computer Engineering, University of Catania, Viale A. Doria 6, 95125 Catania, Italy
*
Author to whom correspondence should be addressed.
Appl. Syst. Innov. 2023, 6(1), 16; https://doi.org/10.3390/asi6010016
Submission received: 7 January 2023 / Revised: 17 January 2023 / Accepted: 18 January 2023 / Published: 22 January 2023

Abstract

The work presents an extensive simulative assessment of a LoRaWAN network that adopts the Listen Before Talk (LBT) Adaptive Frequency Agility (AFA) channel access technique in compliance with the ETSI regulations. The paper presents the results obtained in several scenarios with a different number of nodes and different configurations of the LoRaWAN Medium Access Control (MAC) parameters. The aim of the paper is to give insights about the performance achievable by changing the configuration parameters. For example, in all the scenarios considered in this work, once the number of nodes is fixed, the impact on the message loss ratio of the considered MAC parameters is always lower than 7%. Conversely, the impact of such parameters on the end-to-end delay is much more significant. The methodology of this assessment is of general validity and can be exploited by the network designer during the network configuration phase to obtain the most suitable combination of the MAC parameters for the network under consideration, based on the number of nodes and the application requirements.

1. Introduction

The Internet of Things (IoT) connects objects such as sensors, smart devices, appliances and other everyday items between them and with people to realize novel functionalities [1,2,3]. IoT applications cover a broad spectrum of domains, e.g., smart homes and smart cities [4,5,6,7], smart monitoring [8,9,10,11,12], healthcare [13,14,15], and industrial automation [16,17,18,19,20]. The heterogeneity of the IoT scenarios results in a large spectrum of wireless communication technologies that are candidate to be adopted and fulfill the different objectives of the diverse IoT applications [21,22]. Among them, there are short-range low-power technologies, such as Radio-Frequency IDentification (RFID) and Bluetooth Low Energy (BLE) [23,24,25,26], some amendments to the IEEE 802.15.4 and the IEEE 802.11 standards for Industrial IoT [27,28,29,30], cellular networks [31,32], and Low Power Wide Area Networks (LPWANs). In particular, LPWANs are an attractive option for those IoT applications that do not need high throughput, but require to connect low-cost devices over a wide coverage range with low power consumption [33]. Thanks to their ability to connect a large number of nodes spread over wide areas, LPWANs are a suitable alternative to cellular networks and a nice complement to short-range ones [34,35,36,37,38].
One of the LPWAN standards is the Long Range Wide Area Network (LoRaWAN) [39], which on top of the Long Range (LoRa) modulation [40] defines a network architecture and a protocol stack that offer connectivity at low cost and low power consumption, mobility support, and network reconfiguration [41,42,43,44,45].
LoRaWAN is a LPWAN protocol that is gaining ground, as it supports wide communication ranges using a low-cost network infrastructure consisting of low-power devices. However, as LoRaWAN implements single-hop LoRa-based transmissions, it is not possible to set the LoRa modulation parameters so as to achieve wide coverage with relatively high bit rates. Due to this LoRaWAN limitation, a number of novel medium access strategies and routing protocols for LoRa-based networks were proposed [46,47,48,49,50]. Some of them, i.e., the ones presented in [49,50] leverage the Software-Defined Networking (SDN) paradigm to realize priority-based traffic management and load balancing [51,52].
Depending on the geographical region in which the LoRaWAN devices work, both the medium access strategy and the configuration of the parameters vary [53].
In particular, in Europe, according to the European Telecommunications Standards Institute (ETSI) regulations, two different channel access methods are allowed, i.e., a Pure ALOHA approach with duty-cycle limitations and a polite spectrum access method based on Listen Before Talk (LBT) Adaptive Frequency Agility (AFA). In particular, the LoRaWAN specification [39] only refers to the duty cycle limitations, while the LoRaWAN regional parameters document [53] clarifies that an LBT AFA Medium Access Control (MAC) strategy can also be adopted. Several works in the literature proposed and assessed LBT-based medium access control protocols for LoRaWAN [54,55,56,57,58]. However, to the best of our knowledge, none of them provides an extensive performance evaluation of a LoRaWAN network in which the nodes use an LBT AFA approach and work in compliance with the ETSI regulations [59,60].
This paper presents an assessment that provides quantitative insights on the performance that can be obtained by using LBT AFA in several scenarios by varying the number of LoRaWAN nodes and the MAC parameters.
The methodology of the presented assessment is of general validity and can be useful to the network designer in the network configuration phase to properly select the MAC parameters based on the application requirements of the network under consideration.
The structure of the paper is the following. Section 2 overviews related works, while Section 3 recaps the main LoRaWAN features. Section 4 describes the LBT AFA MAC protocol. Section 5 presents the simulation results obtained using the Objective Modular Network Testbed in C++ (OMNeT++) simulation framework varying the MAC parameters of an LBT-based protocol and discusses their impact on the protocol performance. Section 6 provides a comparative discussion between the findings of this work and the ones of relevant works. Finally, Section 7 summarizes the paper and gives hints for future work.

2. Related Work

As it was mentioned in Section 1, LoRaWAN supports two kinds of random MAC protocols [61], i.e., Pure ALOHA and channel access strategies based on LBT AFA, respectively. Previous works [62,63,64] compared the performance of approaches based on ALOHA and that of LBT-based ones, but, differently from this work, they do not provide extensive assessments of LBT AFA with different MAC configuration parameters.
Several uncoordinated MAC protocols for LoRaWAN similar to the standard ones were proposed and evaluated in the literature. In particular, some of them are based on Slotted ALOHA [65,66], while other ones propose medium access strategies based on LBT [54,55,56,57,58,63,64,67].
Table 1 provides a qualitative comparison among some of the above mentioned related works. In particular, the first row refers to the compliance with the current ETSI regulations. The second row gives the number of nodes in the considered scenarios. The third row indicates if the assessment is performed varying some MAC parameters, while the fourth row refers to the support for mobile nodes. The fifth row specifies the adopted evaluation method, i.e., analytical (an.), simulative (sim.) or experimental (exp.). Finally, the sixth and seventh rows indicate if the message loss/delivery ratio and the delay are evaluated, respectively.
The work in [62] presents a simulative performance assessment of a Pure ALOHA and an LBT AFA protocol in a LoRaWAN network with a varying number of nodes (up to 200) under different workload conditions. The comparative evaluations refer to the percentage of lost messages. The results obtained in [62] show that LBT AFA obtains better results than Pure ALOHA with higher traffic generation rate. For instance, under an exponentially distributed message generation pattern with mean between 15 s and 60 s for stationary nodes and between 5 s and 20 s for mobile nodes, LBT AFA improves the message loss ratio value by 1.40% to 2.47% on Pure ALOHA. The reason for the message loss ratio improvement is that, whenever the channel is found busy, LBT either exploits an AFA mechanism or waits for a backoff delay before retrying the transmission, thus reducing the message loss. Conversely, with Pure ALOHA each node transmits without performing any Clear Channel Assessment (CCA), i.e., without sensing the channel. As a result, a number of messages can be lost due to collisions. Under lower traffic conditions than those described before, instead, the performance of Pure ALOHA and LBT AFA are similar.
The work in [54] focuses on LBT and compares four different LBT-based MAC protocols for LoRaWAN through simulations with a varying number of stationary nodes (up to 2000). The assessments presents results on the message delivery ratio, but does not provide delay results and does not deal with mobile nodes or different MAC parameters.
The papers [55,57] provide insights on the message delivery ratio and the average delays of a LoRaWAN network in which some nodes adopt ALOHA and others the LBT-based MAC protocol. The evaluation is performed considering a fixed number of stationary nodes (i.e., 300) in [57] and a variable number of stationary nodes (from 60 to 780) in [55], respectively. No assessment varying the LBT MAC parameters is made.
In [56] the two MAC protocols supported by LoRaWAN are compared through simulations varying the number of nodes from 1000 to 4000. However, the considered performance metrics do not include either message loss/delivery ratio or delay and no assessments varying the LBT MAC parameters are made.
The Authors of [58] present a simulative assessment of a LoRaWAN network in which the number of nodes varies from 1 to 10,000. The work evaluates the message delivery ratio comparing ALOHA with two different LBT-based protocols. The results show significantly higher message delivery ratio values than the ones obtained by all the other works in the literature discussed in this Section. This result could be explained with a very low network traffic load, but the message generation pattern is not specified in the paper, therefore it is not possible to make a comparison with our results. Moreover, in [58] mobility support is not addressed and this is another difference with our work.
The simulative assessments in [63] are made varying the number of nodes (up to 3000) and the distance between the nodes and the gateway. However, the work does not provide results on either message loss/delivery ratio or delay.
The work in [64] assesses a LoRaWAN network in which both time scheduled transmissions and random transmissions are considered. The nodes adopt either an LBT-based approach or ALOHA. However, there are no mobile nodes in the simulations and the assessment adopts different performance metrics than the ones considered in this paper.
The work in [67] presents the implementation and message delivery ratio results obtained through experimental evaluations of an LBT-based LoRaWAN network in a 50-node lab testbed. Differently from our work, the nodes are stationary and no assessments with varying MAC parameters are performed.
The qualitative comparison between the state-of-the-art literature shown in Table 1 allows to select the works with which the findings obtained in this work can be compared, i.e., [54,55,62,67]. A discussion on the comparisons between the results obtained in this work and the ones presented in the other relevant works in the literature is provided in Section 6.

3. LoRaWAN Background

LoRaWAN defines a network architecture, shown in Figure 1, and a protocol stack, shown in Figure 2, optimized for IoT applications that provides low-cost, mobile and bi-directional communications.
The LoRaWAN network architecture (in Figure 1) consists of a high number of LoRaWAN end-devices (EDs), a lower number of gateways and one network server, connected according to a star-of-stars topology.
The bi-directional communication between the EDs and the network server goes through the gateways. The EDs exchange messages with the gateways through single-hop LoRa transmissions, while each gateway is connected to the network server via a standard IP connection. The gateways forward the messages from the EDs to the network server (uplink) and vice versa (downlink). Uplink messages are sent by an ED to the network server through one or multiple gateways. Each downlink message, instead, is sent by the network server to a single ED through one gateway.
The protocol stack in Figure 2 shows that each LoRaWAN application runs over the LoRaWAN Link Layer, which defines three different classes of EDs (discussed in Section 3.4). The Link Layer builds upon the Regional Parameters regulations as some of the Link Layer configuration parameters depend on the geographical area in which a LoRaWAN ED works. The lowest layer, i.e., the Physical Layer, is the LoRa modulation technique (discussed in Section 3.1). A Strengths, Weaknesses, Opportunities, and Threats (SWOT) analysis of LoRa/LoRaWAN is presented in Section 3.5.

3.1. LoRa Physical Layer

LoRaWAN builds upon LoRa [40], which is a spread spectrum modulation technique derived from chirp spread spectrum (CSS) technology. The LoRa modulation allows to configure multiple parameters [69] that influence the bit rate, coverage range, energy consumption, and robustness to noise or interference. The main LoRa parameters are the Carrier Frequency (CF), Bandwidth (BW), Spreading Factor (SF), Coding Rate (CR), and Transmission Power (TP). The time required to transmit a LoRaWAN message using specific LoRa parameters is called the Time on Air (ToA) and is obtained through the Equation (1) provided in [70],
T o A = 2 S F B W [ N P + 4.25 + S W + max ( 8 P L 4 S F + 28 + 16 C R C 20 I H 4 ( S F 2 D E ) ( K + 4 ) , 0 ) ]
where
  • CRC is a boolean flag referring to the Cyclic Redundancy Check (CRC) presence
  • DE is a boolean flag referring to the data rate optimization status
  • IH is a boolean flag referring to the physical header presence
  • NP is the number of preamble symbols
  • PL is the Physical payload length in bytes
  • SW is the length of the synchronization word
  • K is the value of the K parameter in the formula C R = 4 4 + K .
Based on the region in which the LoRaWAN devices operate, the LoRa parameters can assume different values, as specified in [53]. Configuring these parameters it is possible to tune the bit rate, coverage range and energy consumption. To give an example, in [71,72] it is shown that an increase in SF broadens the coverage and approximately halves the bit rate, thus approximately doubling both the ToA and the energy consumption.
According to [73,74] the SFs are quasi-orthogonal, therefore simultaneous transmissions with different SFs on the same channel are not totally immune to each other. Despite this, the transmitted messages can be correctly interpreted if their Signal-to-Interference Ratio (SIR) is higher than the isolation threshold stated in [73].

3.2. LoRaWAN Regional Parameters

The LoRaWAN regional parameters document [53] provides, among other things, the transmissions management strategies and the channel frequencies to be used for LoRaWAN communications. The document also recommends that, to obtain authoritative information, one has to refer to the specific laws and regulations of the country or region in which the LoRaWAN EDs operate.
For instance, in Europe the operation in the EU868 band is regulated by the ETSI regulations EN 300 220 [59,60], in the sub-bands specified in the ERC Recommendation 70-03. For the medium access, the ETSI regulations allow to choose either a Pure ALOHA MAC protocol with duty-cycle limitation or a polite medium access based on LBT AFA. However, these MAC protocols [61] are not suitable for real-time communications, as they lack predictability and do not provide time or frequency reservation mechanisms. Consequently, no end-to-end delay bound can be calculated, either exactly or stochastically [75,76,77].

3.3. Adaptive Data Rate

The LoRaWAN Adaptive Data Rate (ADR) [78] is a mechanism for optimizing bit rates, ToA and energy consumption in the EDs. When the ADR is in use, the management of the bit rate and TP of the EDs is up to the network server. This way, the network server will command the ED to reduce the TP or increase the bit rate. Instead, when the ADR mechanism is disabled, each ED has to manage its bit rate and TP. ADR should be enabled whenever an ED has sufficiently stable radio frequency conditions. For this reason, mobile EDs typically disable the ADR mechanism as, depending on the dynamics of the radio channel attenuation variation, the network server could not perform the runtime configuration of the bit rate and TP of the EDs in an efficient way.

3.4. LoRaWAN ED Classes

LoRaWAN defines three different classes of EDs, namely Class A (All), B (Beaconing) and C (Continuously listening). The classes differ for the performance target they aim to achieve, i.e., the reduction of the power consumption or the reduction of the latency for downlink communications. In particular, Class A enables bi-directional communications with the lowest power consumption. Class B supports predefined receive windows for downlink communications, thus achieving a trade-off between power consumption and downlink latency. Class C always allows downlink communications except during the transmissions, thus achieving the lowest downlink latency. Since the Class A features shall be supported by all the LoRaWAN commercial-off-the-shelf (COTS) devices, in this paper we focus on Class A EDs.
Class A communications are always started by an ED. An ED can send an uplink message at any time. Once the uplink transmission is finished, after a delay whose duration is defined in the specifications, the ED opens two short receive (downlink) windows following the scheme in Figure 3.
The minimum duration of a receive window corresponds to the time taken by the ED radio transceiver to sense the downlink message preamble. Once a preamble is detected, the receiver remains active until the downlink message is received. The NS can respond during either the first (RX1) or the second receive window (RX2), but does not use both.

3.5. LoRa/LoRaWAN SWOT Analysis

Table 2 presents the SWOT analysis for LoRa/LoRaWAN in the context of this work. Other interesting works in the literature present SWOT analysis for LoRaWAN from a general point of view [41] and in the context of smart cities [79].
LoRaWAN is considered one of the most successful LPWAN technologies [41,86,87]. As Table 2 shows, the main strengths of LoRaWAN are that it offers cheap EDs with long battery lifetime and the possibility to easily develop private networks. Other strengths include the large coverage (up to 15 km in outdoor environments [79]). Among the weaknesses, it is known that the bit rates supported by LoRaWAN are limited, therefore LoRaWAN is not recommended for applications that require high bit rates. In addition, as it was discussed in Section 3.4 uplink communications are strongly favored for Class A EDs, therefore they are not suitable for bidirectional communications. A weakness is represented by the limitations of the plain ADR algorithm when it works with mobile EDs. However, some works in the literature [80,81] propose promising alternative ADR algorithms to cope with this limitation.
The lack of support for industrial communications is because the uncoordinated channel access mechanisms supported by LoRaWAN cannot provide bounded delivery times to real-time messages. However, some existing works in the literature [82,83,84] proposed techniques that enable predictable communications over LoRa leveraging TDMA-based channel access.
As LoRaWAN operates in unlicensed bands the main threat is the outside interference, therefore techniques to quantify and alleviate it should be considered in the future. Another potential threat is represented by the competing IoT LPWAN technologies [88], such as Sigfox and NB-IoT. However LoRaWAN offers a higher bit rate than Sigfox and, differently from NB-IoT, which uses licensed frequency bands, operates in the license-free spectrum. Using LoRaWAN, differently from Sigfox and NB-IoT, there is no need for subscription and this reduces the operating costs especially for dense IoT deployments. Moreover, as mentioned in the Opportunities, some technology-agnostic solutions could leverage the convergence of multiple technologies to improve the offered services. Moreover, the interest of big Information Technology (IT) companies in developing or supporting LoRa products paves the way for the growth and establishment of a rich LoRa/LoRaWAN ecosystem.

4. LBT-Based MAC Protocol for LoRaWAN

This section presents the restrictions stated by the ETSI regulations on the adoption of a polite medium access strategy based on LBT (Section 4.1) and outlines the assessed LBT AFA MAC protocol (Section 4.2).

4.1. ETSI Regulations on Polite Medium Access Based on LBT

In this paper, we consider LoRaWAN networks deployed in Europe in which all the EDs work on the channels of the EU868 sub-bands that match the ERC Recommendation 70-03. Table 3 shows the considered sub-bands, the number of 125 kHz-channels available for transmission per each sub-band and the limitations on the maximum transmission power ( P o w T X m a x ) per sub-band.
The use of the sub-bands shown in Table 3 is ruled by the ETSI regulations EN 300 220. In particular, a MAC protocol based on LBT on these sub-bands must be compliant with the limitations shown in Table 4 [59].
When a channel is sensed busy, a deferral interval applies. Such an interval, here called T d e f , shall be longer than or equal to a given value T d e f m i n that corresponds to the CCA interval. As shown in Table 4, the minimum CCA interval ( T C C A m i n ) is 160 microseconds, while the minimum timespan between two consecutive deferral intervals, here called Δ T d e f m i n , is manufacturer-dependent. After the CCA, the EDs shall begin transmitting within a manufacturer-dependent value Θ C C A _ t x m a x that is lower than or equal to 5 milliseconds. A single transmission duration shall be lower than or equal to a T o A t x m a x , i.e., 1 s. The maximum length of a sequence of messages, called a transmission dialogue, shall stop within Λ t x m a x (whose value, based on the ETSI regulations, is equal to 4 s). After each message transmission an ED shall remain silent for an interval, here called T O f f T i m e m i n , longer than or equal to 100 milliseconds.
Finally, each ED can transmit up to 100 s per hour per 200 kHz spectrum, i.e., T o A 200 kHz t o t / h =100 s.

4.2. LBT AFA Operation Mode

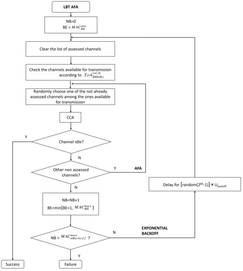
The LBT AFA MAC protocol assessed in this paper operates following the steps shown in Figure 4, where M A C B E m i n , M A C B E m a x , M A C n B a c k o f f m a x , U b a c k o f f are configuration parameters.
For each transmission attempt the ED uses two variables, called NB (backoff number) and BE (backoff exponent), respectively. NB represents the number of times the transmission attempt of a given message is deferred. NB is initialized to zero before each new message transmission attempt. BE determines the number of backoff units ( U b a c k o f f ) a device must wait before running a new CCA procedure. BE is initialized to the value of M A C B E m i n .
Each ED can start a transmission attempt on one of the channels available for transmission according to the T o A 200 kHz t o t / h parameter discussed in the previous subsection. The list that contains these channels is calculated when the LBT AFA procedure starts and after each backoff.
Once a channel is randomly chosen, the LBT AFA MAC protocol requires that the ED checks whether the channel is busy or not through a CCA procedure before transmitting. If the average signal level detected over the CCA interval, here called T C C A , is below the CCA threshold (i.e., a configurable value), the LBT AFA procedure succeeds and the ED begins transmitting the message. Otherwise, i.e., if the channel is sensed busy, the ED applies the AFA technique or performs an exponential backoff. In particular, if there are other available channels that have not been assessed, the ED switches to one of them and runs again the CCA. If no transmission is detected on the new assessed channel, the ED starts transmitting. Conversely, it runs the AFA technique again, if possible. If the ED detects that all the available channels are busy, the ED updates the values of NB and BE, as shown in Figure 4. If the maximum number of backoffs M A C n B a c k o f f m a x has not been reached, the ED runs an exponential backoff algorithm that delays a new message transmission attempt for a deferral interval equal to a random value between 0 and 2 B E 1 , multiplied by U b a c k o f f . Otherwise, the LBT AFA procedure fails and the message is discarded.

5. Simulative Assessment

Here a simulative performance assessment of a LoRaWAN network working with the LBT AFA MAC protocol described in Section 4 is presented.
Simulations were run using OMNeT++ [89,90] and the Framework for LoRa (FLoRa) [91], which in turn adopts components of the Internet Networking (INET) Framework [92], for modeling the LoRaWAN class A EDs, the LoRa physical layer, and the wireless channel. Conversely, the LBT AFA medium access mechanism was implemented from scratch.
The LoRa SFs imperfect-orthogonality is implemented as in [73]. As shown in Figure 4, before a message transmission attempt each ED runs a check function to create the list of channels available for transmission according to the ETSI limitations on the maximum allowed cumulative ToA per hour ( T o A 200 kHz t o t / h ). This function runs when the LBT AFA procedure starts and after each backoff.
The metrics here chosen to evaluate the LoRaWAN network performance are the Message Loss Ratio (MLossR), the Message Drop Ratio (MDropR), the Message Delivery Ratio (MDelivR), and the end-to-end delay (e2eD).
The MLossR refers to the percentage of lost messages over the total number of transmitted messages, measured at the Application layer, according to Equation (2),
M L o s s R = ( N L O S T m s g N T X m s g ) × 100 = ( 1 N R X m s g N T X m s g ) × 100
where N T X m s g , N R X m s g , and N L O S T m s g are the number of messages transmitted, correctly received and lost, respectively, measured by each ED.
The MDropR refers to the percentage of messages that are discarded due to exceeding the maximum number of backoffs over the total number of Application layer messages received by the MAC layer, measured by each ED, according to Equation (3),
M D r o p R = ( N D R O P m s g N G E N m s g ) × 100
where N G E N m s g and N D R O P m s g are, respectively, the number of messages received from the Application layer and discarded by the MAC layer after reaching the maximum number of backoffs, measured by each ED.
The MDelivR represents the ratio between the number of delivered messages and the number of sent messages, measured at the Application layer and expressed as a percentage, according to Equation (4),
M D e l i v R = ( N R X m s g N G E N m s g ) × 100 = ( 1 N L O S T m s g + N D R O P m s g N G E N m s g ) × 100
The e2eD is the time difference between the message generation at the source node ( T G e n ) and the message reception at the destination node ( T R X ), measured at the application level, according to Equation (5).
e 2 e D = T R X T G e n
In the simulations the source is an ED, the destination is the network server and the delay introduced by the communication between the gateway and the network server is assumed equal to 0.

5.1. Simulated Scenarios

The simulative assessment is performed in realistic scenarios similar to the ones in [62,93]. The evaluated scenarios consist of a large number of EDs that send messages to the network server while on the move in an industrial plant over a 1000 m × 1000 m sensing area.
The simulated LoRaWAN networks include a network server, a gateway and a varying number of Class A EDs.
Both the network server and the gateway are stationary nodes placed in the center of the industrial plant. All the EDs are mobile and move with an average speed of 0.3 m/s according to the ChiangMobility model, as in [48,62,94].
The EDs generate and transmit unconfirmed messages with a physical payload of 32 bytes, as in [93], following an exponential distribution with a mean of 60 s. No retransmission mechanism is adopted. We consider EDs that are not synchronized with each other, thus allowing multiple EDs to start a transmission attempt at the same time.
The plain ADR algorithm is disabled for the EDs. In fact, as it was discussed in Section 3.3, the network server could not efficiently perform the runtime configuration of the mobile EDs LoRa parameters due to the dynamics of the radio channel. As a result, each ED has to individually manage the LoRa parameters for transmissions. For this reason, instead of the ADR algorithm, we developed a custom algorithm that runs on each ED using a predefined switching table to change the LoRa configuration parameters. The table is obtained as follows. During the configuration phase, a test application runs on a probe ED. Such a probe ED, while moving in the sensing area, computes the parameters that guarantee a MDelivR higher than a configurable threshold (e.g., 96% in our simulations) in multiple points, which correspond to multiple distances from the gateway. For example, in the simulations we evaluated distances from the gateway in steps of 10 m (a configurable value in the simulator). Based on the outcome of the probe ED assessment, the network designer configures all the EDs so that they switch their LoRa configuration based on their distance from the gateway. If the sensing area RF status is highly changing, the probing procedure may be repeated and the new switching table can be communicated to the EDs through downlink messages sent by the network server.
The LoRa Path Loss Oulu propagation model [91] was used for the simulative assessment. In particular, we used the parameters of a suburban area that were obtained through experimental evaluations in [95].
Each simulation runs for 12 h and is repeated five times varying the seed to collect a significant amount of data. OMNeT++ and MATrix LABoratory (MATLAB) were used to analyze the obtained data.
The configuration parameters are shown in Table 5.
The performance assessment is performed in several scenarios varying the number of EDs and two MAC parameters, i.e., M A C n B a c k o f f m a x and U b a c k o f f .

5.2. Simulation Results

This subsection presents the results obtained in several scenarios and discusses the impact on the performance of several simulation parameters, i.e., the number of EDs, the maximum number of backoffs, and the duration of a backoff unit.

5.2.1. Impact of the Number of EDs

In this experiment the duration of a backoff unit ( U b a c k o f f ) and the maximum number of backoffs ( M A C n B a c k o f f m a x ) were heuristically chosen based on both the network workload and the typical ToA duration for LoRaWAN transmissions. In particular, the duration of a backoff unit was set to 5 ms and the maximum number of backoffs was set to 5. Four different scenarios were evaluated with an increasing number of EDs from 50 to 200, in steps of 50 EDs.
Table 6 shows the average values of MLossR, MDropR and MDelivR obtained by varying the number of EDs.
The measured MLossR in all the evaluated scenarios maintains values around 2%, with negligible variations (less than 0.05%). A possible explanation is that in this case the 2% value mainly depends on other factors, e.g., the wireless channel properties, therefore the effect of increasing the number of EDs from 50 to 200 is not significant. Instead, when the number of EDs increases, the MDropR also increases, as there are more EDs competing for the same channels. In fact, with a high number of EDs, the channels are sensed busy multiple times and several messages, after exceeding the maximum number of backoffs (5 in these simulations), are discarded. For the same reason, the MDelivR decreases as the number of EDs grow. Note that, in the evaluated scenarios, all the messages generated are transmitted. This means that the number of messages transmitted by the MAC layer is equal to the number of messages that the MAC layer received from the Application layer, therefore the measured MDelivR value corresponds to that calculated as the difference 100 % ( M L o s s R + M D r o p R ) .
Table 7 shows the average and the maximum e2eDs obtained in the evaluated scenarios.
As it can be seen, the highest e2eD values are experienced in the scenario with the highest number of EDs, as on average the EDs run more backoffs when the workload increases.

5.2.2. Impact of the Maximum Number of Backoffs

In this experiment a LoRaWAN network with 200 EDs is assessed. The duration of a backoff unit ( U b a c k o f f ) is heuristically set to 5 ms. To evaluate the impact of the maximum number of backoffs, the value of M A C n B a c k o f f m a x varies from 5 to 15, in steps of 2.
Table 8 shows the average values of MLossR, MDropR and MDelivR.
The results show that also in this case the MLossR value remains around 2%, without significant variations, thus confirming that in the evaluated scenarios the value mainly depends on the wireless channel properties. Conversely, the MDropR decreases when the value of the M A C n B a c k o f f m a x parameter grows. In fact, an increase of M A C n B a c k o f f m a x corresponds to a higher probability that a message will be transmitted before reaching the maximum number of backoffs, as a higher number of transmission attempts can be run for each message. For the same reason, MDelivR grows with the M A C n B a c k o f f m a x parameter, which also entails a higher energy consumption due to the larger number of CCAs performed. Also in these scenarios, all the messages generated are transmitted.
Table 9 shows the average and the maximum e2eDs.
The results in Table 9 show that when the maximum number of allowed backoffs grows, both the average and maximum e2eDs increase. This results is because some of the messages experience a high number of backoffs before being transmitted. For this reason, the maximum number of backoffs shall be set depending on the application requirements in terms of both average MDelivR and e2eDs.

5.2.3. Scalability Assessment

The simulations aimed to evaluate of the scalability of the LBT AFA MAC protocol were run in several scenarios by varying the number of EDs from 100 to 1200, in steps of 100 EDs. For a given number of EDs, three cases (A, B, and C) are considered, each one with a different value for the maximum number of backoffs, i.e., 5, 10, and 15. Moreover, for each of such cases, four backoff unit duration ( U b a c k o f f ) values are considered, i.e., 5 ms, 10 ms, 15 ms, and 20 ms. The performance metrics used are the average MDelivR and the e2eDs.
Figure 5, Figure 6 and Figure 7 show the MDelivR obtained in all the considered scenarios varying the number of EDs and the U b a c k o f f parameter with a maximum number of backoffs of 5, 10, and 15, respectively.
Moreover, Table 10, Table 11 and Table 12 show the corresponding average and maximum e2eDs obtained. To provide a comprehensive comparison of all the obtained results, i.e., both the ones plotted in the graphs and the ones shown in the tables, a summative discussion is provided right below Table 12.
Comparing the three Figure 5, Figure 6 and Figure 7 it can be seen that in all the three cases A, B and C, the higher the number of EDs the lower the MDelivR. In fact, the graphs in the Figure 5, Figure 6 and Figure 7 show similar trends. The difference lays in the highest MDelivR value achievable, as Case B and Case C, where the maximum number of backoffs is set to 10 and 15, respectively, obtain higher MDelivR values than Case A.
In all the considered cases, the effect of the backoff unit duration on the ability to provide acceptable MDelivR values to a large number of EDs is more evident for a number of EDs between 100 and 400. In fact, when the number of EDs exceeds 400 the impact of the backoff unit duration becomes less significant for any maximum number of backoffs. The difference between the obtained MDelivR values is limited, as it is always lower than 7% for each configuration with a given number of EDs. Conversely, the impact on the e2eD is more significant.
The results of this assessment can be exploited by the network designer during the network configuration phase. In fact, based on both the number of EDs in the network and the application requirements, the networks designer can combine the results plotted in the Figure 5, Figure 6 and Figure 7 with the e2eD values in the Table 10, Table 11 and Table 12 to choose the best combination of the MAC parameters for the network under consideration. For example, assuming a network with 200 EDs, a required average MDelivR of 82% and a required average e2eD of 3.0 s, the network designer from the graphs in Figure 5, Figure 6 and Figure 7 and the values in Table 10, Table 11 and Table 12 can pick the combinations ( M A C n B a c k o f f m a x , U b a c k o f f ) that correspond to the targeted MDelivR and e2eD, i.e., either (i) M A C n B a c k o f f m a x = 10 (Figure 6) and U b a c k o f f = 10   ms (Table 11) or (ii) M A C n B a c k o f f m a x = 15 (Figure 7) and U b a c k o f f = 5   ms ( Table 12). When multiple options are available, as in this case, the designer can make the choice also on the basis of other factors, e.g., selecting the configuration with the lowest M A C n B a c k o f f m a x parameter.

6. Comparative Discussion

Most of the works in the relevant literature assess several LBT-based protocols or compare them with other MAC protocols, such as ALOHA or Slotted ALOHA with the different goal to show the performance comparison of these different approaches. For instance, the work in [67] provides an experimental assessment with 50 EDs comparing ALOHA with three LBT-based access mechanisms, called LMAC-1, LMAC-2, LMAC-3. The results in terms of MDelivR show that the LMAC approaches obtained values higher than 90% in an indoor scenario and higher than 80% in a outdoor scenario. Although the number of EDs for the experiment is limited, the obtained experimental results are in line with the simulative ones presented in this work when 100 EDs are used.
The work in [62] shows a simulative comparative assessment between Pure ALOHA and the LBT. The work assessed a scenario with up to 200 EDs evaluating the MLossR. The simulation results in [62] show that the MLossR increases with the number of EDs. This confirms the trend of MDelivR obtained in this work, i.e., the higher the number of EDs the lower the MDelivR. However, in [62] only one backoff value is used, consequently it is not possible to analyze in details the performance varying the LBT parameters. Moreover, [62] does not provide any result in terms of message e2eDs.
The work in [54] compares four different LBT-based medium access protocols for LoRaWAN, using random payload-size and random transmission times. The simulation results show that using random transmission parameters three of the four assessed LBT-based approaches obtained a MDelivR higher than 80% with 1400 EDs. However, in [54] the EDs send their message according to a random interval in the order of one hour, so quite sparingly compared to our work, where the EDs generate messages following an exponential distribution with a mean of 60 s. As the assessment in [54] does not provide results varying the MAC parameters and EDs are not mobile, it is not possible to directly compare the results of [54] with the ones presented in this paper.
The work in [55] provides simulative evaluations of a LoRaWAN network in which some EDs adopt ALOHA and others the LBT-based MAC protocol. Due to the different channel model parameters and the different scenario, as in [55] there are no mobile EDs, it is not possible to compare the MDelivR results obtained by [55] with the ones presented in this paper. However, with the same number of EDs the average e2eDs are comparable with the ones obtained in this paper. While in this paper we demonstrate that the backoff parameters significantly affect the average e2eDs, the work in [55] does not address the influence of the MAC parameters on the e2eD.

7. Conclusions and Future Work

This paper presented a simulative performance assessment of LoRaWAN networks in which the EDs use the LBT AFA MAC protocol in compliance with the ETSI regulations. The methodology of this assessment has general validity, as no limiting assumptions are made, but all the involved parameters (e.g., traffic generation patterns, payload size, EDs mobility patterns, channel model, and the LoRa parameters) are configurable depending on the application. In the network configuration phase, the designer can follow the methodology presented in this work to select, given the number of EDs, the most suitable combination of the MAC parameters to fulfill the application requirements.
The paper presented the results obtained in several scenarios with a varying number of LoRaWAN EDs and different configurations of the MAC parameters. These parameters remain fixed during the simulation. It would be interesting to evaluate the effects on the performance of varying such parameters during the simulations, therefore further investigations will address how to dynamically change the MAC parameters in the EDs exploiting the SDN paradigm. Future work will also deal with the combination of the assessed LBT AFA with a backoff algorithm able to provide prioritized channel access to time-critical messages.

Author Contributions

Conceptualization, L.L. and L.L.B.; methodology, L.L., L.L.B. and G.P.; investigation, L.L., L.L.B., G.P., A.P. and M.P.; software, L.L., A.P. and M.P.; writing—original draft preparation, L.L., L.L.B. and G.P.; writing—review and editing, L.L., L.L.B. and G.P. All authors have read and agreed to the published version of the manuscript.

Funding

This research was funded by the University of Catania through the PIA.CE.RI. 2020/2022 project, program title “Linea 2-Progetto interdipartimentale SIS-RENEW” and “Linea 2D-Piano di incentivi per la ricerca di Ateneo”.

Institutional Review Board Statement

Not applicable.

Informed Consent Statement

Not applicable.

Data Availability Statement

The data relevant to this paper could be made available upon request to the corresponding author.

Conflicts of Interest

The authors declare no conflict of interest. The funders had no role in the design of the study; in the collection, analyses, or interpretation of data; in the writing of the manuscript; or in the decision to publish the results.

Abbreviations

The following abbreviations are used in this manuscript:
ADRAdaptive Data Rate
AFAAdaptive Frequency Agility
BLEBluetooth Low Energy
BWBandwidth
CFCarrier Frequency
CCAClear Channel Assessment
COTSCommercial-off-the-shelf
CRCoding Rate
CRCCyclic Redundancy Check
CSSChirp Spread Spectrum
e2eDEnd-to-end delay
EDEnd-device
ETSIEuropean Telecommunications Standards Institute
FLoRaFramework for LoRa
INETInternet Networking
IoTInternet of Things
ITInformation Technology
LBTListen Before Talk
LoRaLong Range
LoRaWANLong Range Wide Area Network
LPWANLow Power Wide Area Network
MACMedium Access Control
MATLABMATrix LABoratory
MDPIMultidisciplinary Digital Publishing Institute
OMNeT++Objective Modular Network Testbed in C++
MDelivRMessage Delivery Ratio
MDropRMessage Drop Ratio
MLossRMessage Loss Ratio
RFIDRadio-Frequency IDentification
SDNSoftware-Defined Networking
SFSpreading Factor
SIRSignal-to-Interference Ratio
SWOTStrengths, Weaknesses, Opportunities, and Threats
TDMATime Division Multiple Access
ToATime on Air
TPTransmission Power

References

  1. Asghari, P.; Rahmani, A.M.; Javadi, H.H.S. Internet of Things applications: A systematic review. Comput. Netw. 2019, 148, 241–261. [Google Scholar] [CrossRef]
  2. Jamil, S.; Rahman, M.; Fawad. A Comprehensive Survey of Digital Twins and Federated Learning for Industrial Internet of Things (IIoT), Internet of Vehicles (IoV) and Internet of Drones (IoD). Appl. Syst. Innov. 2022, 5, 56. [Google Scholar] [CrossRef]
  3. Patti, G.; Leonardi, L.; Lo Bello, L. A Novel MAC Protocol for Low Datarate Cooperative Mobile Robot Teams. Electronics 2020, 9, 235. [Google Scholar] [CrossRef]
  4. Rozario, S.D.; Venkatraman, S.; Marimuthu, M.; Khaksar, S.M.S.; Subramani, G. Creating Smart Cities: A Review for Holistic Approach. Appl. Syst. Innov. 2021, 4, 70. [Google Scholar] [CrossRef]
  5. Razmjoo, A.; Gandomi, A.; Mahlooji, M.; Astiaso Garcia, D.; Mirjalili, S.; Rezvani, A.; Ahmadzadeh, S.; Memon, S. An Investigation of the Policies and Crucial Sectors of Smart Cities Based on IoT Application. Appl. Sci. 2022, 12, 2672. [Google Scholar] [CrossRef]
  6. Iannizzotto, G.; Lo Bello, L.; Nucita, A.; Grasso, G.M. A Vision and Speech Enabled, Customizable, Virtual Assistant for Smart Environments. In Proceedings of the 2018 11th International Conference on Human System Interaction (HSI), Gdansk, Poland, 4–6 July 2018; pp. 50–56. [Google Scholar] [CrossRef]
  7. Syed, A.S.; Sierra-Sosa, D.; Kumar, A.; Elmaghraby, A. IoT in smart cities: A survey of technologies, practices and challenges. Smart Cities 2021, 4, 429–475. [Google Scholar] [CrossRef]
  8. Ullo, S.L.; Sinha, G.R. Advances in smart environment monitoring systems using IoT and sensors. Sensors 2020, 20, 3113. [Google Scholar] [CrossRef]
  9. Leonardi, L.; Patti, G.; Battaglia, F.; Lo Bello, L. Simulative assessments of the IEEE 802.15.4 CSMA/CA with Priority Channel Access in Structural Health Monitoring scenarios. In Proceedings of the IEEE 15th International Conference on Industrial Informatics (INDIN), Emden, Germany, 24–26 July 2017. [Google Scholar] [CrossRef]
  10. Miao, H.Y.; Yang, C.T.; Kristiani, E.; Fathoni, H.; Lin, Y.S.; Chen, C.Y. On Construction of a Campus Outdoor Air and Water Quality Monitoring System Using LoRaWAN. Appl. Sci. 2022, 12, 5018. [Google Scholar] [CrossRef]
  11. Iannizzotto, G.; Lo Bello, L.; Patti, G. Personal Protection Equipment detection system for embedded devices based on DNN and Fuzzy Logic. Expert Syst. Appl. 2021, 184, 115447. [Google Scholar] [CrossRef]
  12. Huang, P.; Chen, M.; Chen, K.; Zhang, H.; Yu, L.; Liu, C. A combined real-time intelligent fire detection and forecasting approach through cameras based on computer vision method. Process. Saf. Environ. Prot. 2022, 164, 629–638. [Google Scholar] [CrossRef]
  13. Muangmeesri, B.; Wisaeng, K. IoT-Based Discomfort Monitoring and a Precise Point Positioning Technique System for Smart Wheelchairs. Appl. Syst. Innov. 2022, 5, 103. [Google Scholar] [CrossRef]
  14. Leonardi, L.; Lo Bello, L.; Patti, G.; Ragusa, O. A Network Architecture and Routing Protocol for the MEDIcal WARNing System. J. Sens. Actuator Netw. 2021, 10, 44. [Google Scholar] [CrossRef]
  15. Kim, B.; Kim, S.; Lee, M.; Chang, H.; Park, E.; Han, T. Application of an Internet of Medical Things (IoMT) to Communications in a Hospital Environment. Appl. Sci. 2022, 12, 12042. [Google Scholar] [CrossRef]
  16. Soldatos, J.; Gusmeroli, S.; Malo, P.; Di Orio, G. Internet of things applications in future manufacturing. In Digitising the Industry Internet of Things Connecting the Physical, Digital and VirtualWorlds; River Publishers: Aalborg, Denmark, 2022; pp. 153–183. [Google Scholar]
  17. Carpenzano, A.; Caponetto, R.; Lo Bello, L.; Mirabella, O. Fuzzy traffic smoothing: An approach for real-time communication over Ethernet networks. In Proceedings of the 4th IEEE International Workshop on Factory Communication Systems (WFCS 2002), Vasteras, Sweden, 28–30 August 2002; pp. 241–248. [Google Scholar] [CrossRef]
  18. Fedullo, T.; Morato, A.; Peserico, G.; Trevisan, L.; Tramarin, F.; Vitturi, S.; Rovati, L. An IoT Measurement System Based on LoRaWAN for Additive Manufacturing. Sensors 2022, 22, 5466. [Google Scholar] [CrossRef]
  19. Toscano, E.; Lo Bello, L. Cross-channel interference in IEEE 802.15. 4 networks. In Proceedings of the 2008 IEEE International Workshop on Factory Communication Systems (WFCS 2008), Dresden, Germany, 21–23 May 2008; pp. 139–148. [Google Scholar] [CrossRef]
  20. Ferrero, R.; Collotta, M.; Bueno-Delgado, M.V.; Chen, H.C. Smart Management Energy Systems in Industry 4.0. Energies 2020, 13, 382. [Google Scholar] [CrossRef]
  21. Mollah, M.B.; Zeadally, S.; Azad, M.A.K. Emerging wireless technologies for Internet of Things applications: Opportunities and challenges. Encycl. Wirel. Netw. 2020, 390–400. [Google Scholar] [CrossRef]
  22. Iannizzotto, G.; La Rosa, F.; Lo Bello, L. A wireless sensor network for distributed autonomous traffic monitoring. In Proceedings of the 3rd International Conference on Human System Interaction, Rzeszow, Poland, 13–15 May 2010; pp. 612–619. [Google Scholar] [CrossRef]
  23. Abdulkawi, W.M.; Nizam-Uddin, N.; Sheta, A.F.A.; Elshafiey, I.; Al-Shaalan, A.M. Towards an Efficient Chipless RFID System for Modern Applications in IoT Networks. Appl. Sci. 2021, 11, 8948. [Google Scholar] [CrossRef]
  24. Iannizzotto, G.; Milici, M.; Nucita, A.; Lo Bello, L. A Perspective on Passive Human Sensing with Bluetooth. Sensors 2022, 22, 3523. [Google Scholar] [CrossRef]
  25. Jeon, K.E.; She, J.; Soonsawad, P.; Ng, P.C. BLE Beacons for Internet of Things Applications: Survey, Challenges, and Opportunities. IEEE Internet Things J. 2018, 5, 811–828. [Google Scholar] [CrossRef]
  26. García-Paterna, P.J.; Martínez-Sala, A.S.; Sánchez-Aarnoutse, J.C. Empirical Study of a Room-Level Localization System Based on Bluetooth Low Energy Beacons. Sensors 2021, 21, 3665. [Google Scholar] [CrossRef]
  27. Patti, G.; Alderisi, G.; Lo Bello, L. Introducing multi-level communication in the IEEE 802.15. 4e protocol: The MultiChannel-LLDN. In Proceedings of the Proceedings of the 2014 IEEE Emerging Technology and Factory Automation (ETFA 2014), Barcelona, Spain, 16–19 September 2014; pp. 1–8. [Google Scholar] [CrossRef]
  28. Battaglia, F.; Collotta, M.; Leonardi, L.; Lo Bello, L.; Patti, G. Novel Extensions to Enhance Scalability and Reliability of the IEEE 802.15. 4-DSME Protocol. Electronics 2020, 9, 126. [Google Scholar] [CrossRef]
  29. Tian, L.; Santi, S.; Seferagić, A.; Lan, J.; Famaey, J. Wi-Fi HaLow for the Internet of Things: An up-to-date survey on IEEE 802.11ah research. J. Netw. Comput. Appl. 2021, 182, 103036. [Google Scholar] [CrossRef]
  30. Patti, G.; Lo Bello, L. A priority-aware multichannel adaptive framework for the IEEE 802.15. 4e-LLDN. IEEE Trans. Ind. Electron. 2016, 63, 6360–6370. [Google Scholar] [CrossRef]
  31. Ogbodo, E.U.; Abu-Mahfouz, A.M.; Kurien, A.M. A Survey on 5G and LPWAN-IoT for improved smart cities and remote area applications: From the aspect of architecture and security. Sensors 2022, 22, 6313. [Google Scholar] [CrossRef] [PubMed]
  32. Padhi, P.K.; Charrua-Santos, F. 6G Enabled Industrial Internet of Everything: Towards a Theoretical Framework. Appl. Syst. Innov. 2021, 4, 11. [Google Scholar] [CrossRef]
  33. Bembe, M.; Abu-Mahfouz, A.; Masonta, M.; Ngqondi, T. A survey on low-power wide area networks for IoT applications. Telecommun. Syst. 2019, 71, 249–274. [Google Scholar] [CrossRef]
  34. Leonardi, L.; Lo Bello, L.; Patti, G. LoRa support for long-range real-time inter-cluster communications over Bluetooth Low Energy industrial networks. Comput. Commun. 2022, 192, 57–65. [Google Scholar] [CrossRef]
  35. Sisinni, E.; Mahmood, A. Wireless Communications for Industrial Internet of Things: The LPWAN Solutions. In Wireless Networks and Industrial IoT; Springer: Berlin/Heidelberg, Germany, 2021; pp. 79–103. [Google Scholar]
  36. Bertoldo, S.; Carosso, L.; Marchetta, E.; Paredes, M.; Allegretti, M. Feasibility Analysis of a LoRa-Based WSN Using Public Transport. Appl. Syst. Innov. 2018, 1, 49. [Google Scholar] [CrossRef]
  37. Toscano, E.; Lo Bello, L. A multichannel approach to avoid beacon collisions in IEEE 802.15.4 cluster-tree industrial networks. In Proceedings of the 2009 IEEE Conference on Emerging Technologies & Factory Automation, Palma de Mallorca, Spain, 22–25 September 2009; pp. 1–9. [Google Scholar] [CrossRef]
  38. Peruzzi, G.; Pozzebon, A. Combining LoRaWAN and NB-IoT for Edge-to-Cloud Low Power Connectivity Leveraging on Fog Computing. Appl. Sci. 2022, 12, 1497. [Google Scholar] [CrossRef]
  39. LoRa Alliance Technical Committee. LoRaWAN™ 1.0.4 Specification; LoRa Alliance: Brandin Court, CA, USA, 2020. [Google Scholar]
  40. Semtech Corporation Wireless Sensing and Timing Products Division. LoRa™ Modulation Basics; Semtech: Camarillo, CA, USA, 2015. [Google Scholar]
  41. Haxhibeqiri, J.; De Poorter, E.; Moerman, I.; Hoebeke, J. A Survey of LoRaWAN for IoT: From Technology to Application. Sensors 2018, 18, 3995. [Google Scholar] [CrossRef]
  42. Luvisotto, M.; Tramarin, F.; Vangelista, L.; Vitturi, S. On the use of LoRaWAN for indoor industrial IoT applications. Wirel. Commun. Mob. Comput. 2018, 2018. [Google Scholar] [CrossRef]
  43. Toscano, E.; Lo Bello, L. A topology management protocol with bounded delay for Wireless Sensor Networks. In Proceedings of the 2008 IEEE International Conference on Emerging Technologies and Factory Automation, Hamburg, Germany, 15–18 September 2008; pp. 942–951. [Google Scholar] [CrossRef]
  44. Al mojamed, M. On the Use of LoRaWAN for Mobile Internet of Things: The Impact of Mobility. Appl. Syst. Innov. 2022, 5, 5. [Google Scholar] [CrossRef]
  45. LoRa Alliance - What is LoRaWAN® Specification. Available online: https://lora-alliance.org/about-lorawan/ (accessed on 7 January 2023).
  46. Álamos, J.; Kietzmann, P.; Schmidt, T.C.; Wählisch, M. DSME-LoRa: Seamless Long Range Communication Between Arbitrary Nodes in the Constrained IoT. ACM Trans. Sens. Netw. (TOSN) 2022, 18, 1–43. [Google Scholar] [CrossRef]
  47. Dias, J.; Grilo, A. LoRaWAN multi-hop uplink extension. Procedia Comput. Sci. 2018, 130, 424–431. [Google Scholar] [CrossRef]
  48. Leonardi, L.; Lo Bello, L.; Patti, G. MRT-LoRa: A multi-hop real-time communication protocol for industrial IoT applications over LoRa networks. Comput. Commun. 2023, 199, 72–86. [Google Scholar] [CrossRef]
  49. Farooq, M.O. Multi-hop communication protocol for LoRa with software-defined networking extension. Internet Things 2021, 14, 100379. [Google Scholar] [CrossRef]
  50. Lalle, Y.; Fourati, M.; Fourati, L.C.; Barraca, J.P. Routing Strategies for LoRaWAN Multi-Hop Networks: A Survey and an SDN-Based Solution for Smart Water Grid. IEEE Access 2021, 9, 168624–168647. [Google Scholar] [CrossRef]
  51. Leonardi, L.; Lo Bello, L.; Aglianò, S. Priority-based bandwidth management in virtualized software-defined networks. Electronics 2020, 9, 1009. [Google Scholar] [CrossRef]
  52. Muthanna, M.S.A.; Wang, P.; Wei, M.; Ateya, A.A.; Muthanna, A. Toward an ultra-low latency and energy efficient LoRaWAN. In Internet of Things, Smart Spaces, and Next Generation Networks and Systems; Springer: Berlin/Heidelberg, Germany, 2019; pp. 233–242. [Google Scholar]
  53. LoRa Alliance Technical Committee Regional Parameters Workgroup. RP002-1.0.0 LoRaWAN Regional Parameters; LoRa Alliance: Brandin Court, CA, USA, 2019. [Google Scholar]
  54. Ahsan, S.; Hassan, S.A.; Adeel, A.; Qureshi, H.K. Improving Channel Utilization of LoRaWAN by using Novel Channel Access Mechanism. In Proceedings of the 2019 15th International Wireless Communications & Mobile Computing Conference (IWCMC), Tangier, Morocco, 24–28 June 2019; pp. 1656–1661. [Google Scholar] [CrossRef]
  55. Ortín, J.; Cesana, M.; Redondi, A. Augmenting LoRaWAN Performance With Listen Before Talk. IEEE Trans. Wirel. Commun. 2019, 18, 3113–3128. [Google Scholar] [CrossRef]
  56. Baddula, M.; Ray, B.; Chowdhury, M. Performance Evaluation of Aloha and CSMA for LoRaWAN Network. In Proceedings of the 2020 IEEE Asia-Pacific Conference on Computer Science and Data Engineering (CSDE), Gold Coast, Australia, 16–18 December 2020; pp. 1–6. [Google Scholar] [CrossRef]
  57. Ortín, J.; Cesana, M.; Redondi, A. How do ALOHA and Listen Before Talk Coexist in LoRaWAN? In Proceedings of the 2018 IEEE 29th Annual International Symposium on Personal, Indoor and Mobile Radio Communications (PIMRC), Bologna, Italy, 9–12 September 2018; pp. 1–7. [Google Scholar] [CrossRef]
  58. To, T.H.; Duda, A. Simulation of LoRa in NS-3: Improving LoRa Performance with CSMA. In Proceedings of the 2018 IEEE International Conference on Communications (ICC), Kansas City, MO, USA, 20–24 May 2018; pp. 1–7. [Google Scholar] [CrossRef]
  59. ETSI. Short Range Devices (SRD) Operating in the Frequency Range 25 MHz to 1 000 MHz; Part 1: Technical Characteristics and Methods of Measurement; ETSI: Sophia Antipolis, France, 2017. [Google Scholar]
  60. ETSI. Short Range Devices (SRD) Operating in the Frequency Range 25 MHz to 1 000 MHz; Part 2: Harmonised Standard for Access to Radio Spectrum for Non Specific Radio Equipment; ETSI: Sophia Antipolis, France, 2018. [Google Scholar]
  61. Zucchetto, D.; Zanella, A. Uncoordinated access schemes for the IoT: Approaches, regulations, and performance. IEEE Commun. Mag. 2017, 55, 48–54. [Google Scholar] [CrossRef]
  62. Leonardi, L.; Lo Bello, L.; Battaglia, F.; Patti, G. Comparative Assessment of the LoRaWAN Medium Access Control Protocols for IoT: Does Listen before Talk Perform Better than ALOHA? Electronics 2020, 9, 553. [Google Scholar] [CrossRef]
  63. Beltramelli, L.; Mahmood, A.; Österberg, P.; Gidlund, M. LoRa beyond ALOHA: An investigation of alternative random access protocols. IEEE Trans. Ind. Inform. 2020, 17, 3544–3554. [Google Scholar] [CrossRef]
  64. Loh, F.; Mehling, N.; Hoßfeld, T. Towards LoRaWAN without Data Loss: Studying the Performance of Different Channel Access Approaches. Sensors 2022, 22, 691. [Google Scholar] [CrossRef] [PubMed]
  65. Polonelli, T.; Brunelli, D.; Marzocchi, A.; Benini, L. Slotted aloha on lorawan-design, analysis, and deployment. Sensors 2019, 19, 838. [Google Scholar] [CrossRef] [PubMed]
  66. Polonelli, T.; Brunelli, D.; Benini, L. Slotted aloha overlay on lorawan-a distributed synchronization approach. In Proceedings of the 2018 IEEE 16th International Conference on Embedded and Ubiquitous Computing (EUC), Bucharest, Romania, 29–31 October 2018; pp. 129–132. [Google Scholar]
  67. Gamage, A.; Liando, J.C.; Gu, C.; Tan, R.; Li, M. LMAC: Efficient Carrier-Sense Multiple Access for LoRa. In Proceedings of the 26th Annual International Conference on Mobile Computing and Networking, London, UK, 21–25 September 2020; pp. 1–13. [Google Scholar]
  68. LoRa Developer Portal. Available online: https://lora-developers.semtech.com/documentation/tech-papers-and-guides/lora-and-lorawan/ (accessed on 7 January 2023).
  69. Bor, M.; Roedig, U. LoRa Transmission Parameter Selection. In Proceedings of the 2017 13th International Conference on Distributed Computing in Sensor Systems (DCOSS), Ottawa, ON, Canada, 5–7 June 2017; pp. 27–34. [Google Scholar] [CrossRef]
  70. Mikhaylov, K.; Petaejaejaervi, J.; Haenninen, T. Analysis of capacity and scalability of the LoRa low power wide area network technology. In Proceedings of the European Wireless 2016; 22th European Wireless Conference, Oulu, Finland, 18–20 May 2016; VDE: Berlin, Germany, 2016; pp. 1–6. [Google Scholar]
  71. Bor, M.C.; Roedig, U.; Voigt, T.; Alonso, J.M. Do LoRa low-power wide-area networks scale? In Proceedings of the Proceedings of the 19th ACM International Conference on Modeling, Analysis and Simulation of Wireless and Mobile Systems, Malta, 13–17 November 2016; pp. 59–67. [Google Scholar]
  72. Augustin, A.; Yi, J.; Clausen, T.; Townsley, W.M. A Study of LoRa: Long Range & Low Power Networks for the Internet of Things. Sensors 2016, 16, 1466. [Google Scholar] [CrossRef]
  73. Croce, D.; Gucciardo, M.; Mangione, S.; Santaromita, G.; Tinnirello, I. Impact of LoRa imperfect orthogonality: Analysis of link-level performance. IEEE Commun. Lett. 2018, 22, 796–799. [Google Scholar] [CrossRef]
  74. Benkhelifa, F.; Bouazizi, Y.; McCann, J.A. How Orthogonal is LoRa Modulation? IEEE Internet Things J. 2022, 9, 19928–19944. [Google Scholar] [CrossRef]
  75. Kaczynski, G.A.; Lo Bello, L.; Nolte, T. Deriving exact stochastic response times of periodic tasks in hybrid priority-driven soft real-time systems. In Proceedings of the 2007 IEEE Conference on Emerging Technologies and Factory Automation (EFTA 2007), Patras, Greece, 25–28 September 2007; pp. 101–110. [Google Scholar] [CrossRef]
  76. Fontanelli, D.; Greco, L.; Palopoli, L. Optimal resource allocation for stochastic systems performance optimisation of control tasks undergoing stochastic execution times. Int. J. Control 2022, 95, 461–472. [Google Scholar] [CrossRef]
  77. Diaz, J.; Lopez, J.; Garcia, M.; Campos, A.; Kim, K.; Lo Bello, L. Pessimism in the stochastic analysis of real-time systems: Concept and applications. In Proceedings of the 25th IEEE International Real-Time Systems Symposium (RTSS 2004), Lisbon, Portugal, 5–8 December 2004; pp. 197–207. [Google Scholar] [CrossRef]
  78. Semtech Corporation. LoRaWAN—Simple Rate Adaptation Recommended Algorithm; Semtech: Camarillo, CA, USA, 2016. [Google Scholar]
  79. Andrade, R.O.; Yoo, S.G. A Comprehensive Study of the Use of LoRa in the Development of Smart Cities. Appl. Sci. 2019, 9, 4753. [Google Scholar] [CrossRef]
  80. Farhad, A.; Kim, D.H.; Pyun, J.Y. R-ARM: Retransmission-Assisted Resource Management in LoRaWAN for the Internet of Things. IEEE Internet Things J. 2021, 9, 7347–7361. [Google Scholar] [CrossRef]
  81. Farhad, A.; Kim, D.H.; Subedi, S.; Pyun, J.Y. Enhanced LoRaWAN Adaptive Data Rate for Mobile Internet of Things Devices. Sensors 2020, 20, 6466. [Google Scholar] [CrossRef]
  82. Leonardi, L.; Battaglia, F.; Lo Bello, L. RT-LoRa: A Medium Access Strategy to Support Real-Time Flows Over LoRa-Based Networks for Industrial IoT Applications. IEEE Internet Things J. 2019, 6, 10812–10823. [Google Scholar] [CrossRef]
  83. Rizzi, M.; Ferrari, P.; Flammini, A.; Sisinni, E.; Gidlund, M. Using LoRa for industrial wireless networks. In Proceedings of the IEEE 13th International Workshop on Factory Communication Systems (WFCS), Trondheim, Norway, 31 May–2 June 2017; pp. 1–4. [Google Scholar]
  84. Leonardi, L.; Battaglia, F.; Patti, G.; Lo Bello, L. Industrial LoRa: A Novel Medium Access Strategy for LoRa in Industry 4.0 Applications. In Proceedings of the 44nd Annual Conference of IEEE Industrial Electronics Society (IECON 2018), Washington, DC, USA, 21–23 October 2018. [Google Scholar] [CrossRef]
  85. TechInkers. Available online: https://techinkers.com/ (accessed on 7 January 2023).
  86. Adelantado, F.; Vilajosana, X.; Tuset-Peiro, P.; Martinez, B.; Melia-Segui, J.; Watteyne, T. Understanding the Limits of LoRaWAN. IEEE Commun. Mag. 2017, 55, 34–40. [Google Scholar] [CrossRef]
  87. Ayoub, W.; Samhat, A.E.; Nouvel, F.; Mroue, M.; Prévotet, J. Internet of Mobile Things: Overview of LoRaWAN, DASH7, and NB-IoT in LPWANs Standards and Supported Mobility. IEEE Commun. Surv. Tutorials 2019, 21, 1561–1581. [Google Scholar] [CrossRef]
  88. Raza, U.; Kulkarni, P.; Sooriyabandara, M. Low Power Wide Area Networks: An Overview. IEEE Commun. Surv. Tutorials 2017, 19, 855–873. [Google Scholar] [CrossRef]
  89. OMNeT++ Discrete Event Simulator. Available online: http://www.omnetpp.org (accessed on 7 January 2023).
  90. Varga, A. A practical introduction to the OMNeT++ simulation framework. In Recent Advances in Network Simulation; Springer: Berlin/Heidelberg, Germany, 2019; pp. 3–51. [Google Scholar]
  91. Slabicki, M.; Premsankar, G.; Di Francesco, M. Adaptive configuration of LoRa networks for dense IoT deployments. In Proceedings of the IEEE/IFIP Network Operations and Management Symposium (NOMS), Taipei, Taiwan, 23–27 April 2018; pp. 1–9. [Google Scholar] [CrossRef]
  92. Mészáros, L.; Varga, A.; Kirsche, M. INET Framework. In Recent Advances in Network Simulation; Springer: Berlin/Heidelberg, Germany, 2019; pp. 55–106. [Google Scholar]
  93. Haxhibeqiri, J.; Karaagac, A.; Van den Abeele, F.; Joseph, W.; Moerman, I.; Hoebeke, J. LoRa indoor coverage and performance in an industrial environment: Case study. In Proceedings of the 2017 22nd IEEE International Conference on Emerging Technologies and Factory Automation (ETFA), Limassol, Cyprus, 12–15 September 2017; pp. 1–8. [Google Scholar]
  94. Vieira, L.F.M.; Cunha, A.V.D.S. Performance of greedy forwarding in geographic routing for the internet of drones. Internet Technol. Lett. 2018, 1, e47. [Google Scholar] [CrossRef]
  95. Petajajarvi, J.; Mikhaylov, K.; Roivainen, A.; Hanninen, T.; Pettissalo, M. On the coverage of LPWANs: Range evaluation and channel attenuation model for LoRa technology. In Proceedings of the 2015 14th International Conference on ITS Telecommunications (ITST), Copenhagen, Denmark, 2–4 December 2015; pp. 55–59. [Google Scholar]
  96. Camp, T.; Boleng, J.; Davies, V. A survey of mobility models for ad hoc network research. Wirel. Commun. Mob. Comput. 2002, 2, 483–502. [Google Scholar] [CrossRef]
Figure 1. The LoRaWAN network architecture.
Figure 1. The LoRaWAN network architecture.
Asi 06 00016 g001
Figure 2. The LoRaWAN protocol stack (redrawn from [68]).
Figure 2. The LoRaWAN protocol stack (redrawn from [68]).
Asi 06 00016 g002
Figure 3. Timing of a Class A ED transmission (redrawn from [39]).
Figure 3. Timing of a Class A ED transmission (redrawn from [39]).
Asi 06 00016 g003
Figure 4. LBT AFA operation mode.
Figure 4. LBT AFA operation mode.
Asi 06 00016 g004
Figure 5. Case A ( M A C n B a c k o f f m a x = 5): MDelivR versus the number of EDs with different backoff unit durations.
Figure 5. Case A ( M A C n B a c k o f f m a x = 5): MDelivR versus the number of EDs with different backoff unit durations.
Asi 06 00016 g005
Figure 6. Case B ( M A C n B a c k o f f m a x = 10): MDelivR versus the number of EDs with different backoff unit durations.
Figure 6. Case B ( M A C n B a c k o f f m a x = 10): MDelivR versus the number of EDs with different backoff unit durations.
Asi 06 00016 g006
Figure 7. Case C ( M A C n B a c k o f f m a x = 15): MDelivR versus the number of EDs with different backoff unit durations.
Figure 7. Case C ( M A C n B a c k o f f m a x = 15): MDelivR versus the number of EDs with different backoff unit durations.
Asi 06 00016 g007
Table 1. Comparison of relevant works in the literature.
Table 1. Comparison of relevant works in the literature.
Work in the Literature [54] [55] [56] [57] [58] [62] [63] [64] [67]This Work
Compliance with the current ETSI regulations-----
Number of nodes50–200060–7801000–40003001–10,00020–2001–3000370–87316–501–1200
Performance varying some MAC parameters--------
Mobility--------
Evaluation methodSim.An. Sim.Sim.An. Sim.Sim.Sim.Sim.Sim.Exp.Sim.
Message loss ratio or message delivery ratio assessed---
Delay assessed-------
Table 2. SWOT analysis of LoRa/LoRaWAN.
Table 2. SWOT analysis of LoRa/LoRaWAN.
StrengthsWeaknesses
Large coverage (up to 15 km in outdoor environments [79])The plain ADR algorithm does not work well with mobile EDs and performs badly under heavy network load
Long battery lifetime (more than 10 years [79])Not suitable for bidirectional communications (mainly for Class A EDs)
Cheap EDs (less than $100) [79]Lack of predictability for industrial communications
Private network deployment possibleUnsuitable for applications that require high bit rate
Easy network deployment and configuration
OpportunitiesThreats
State-of-the-art literature provides ADR algorithms for mobile EDs, e.g., [80,81]Interference from other technologies in the ISM band
State-of-the-art literature provides novel channel access strategies that offer support for real-time flows over LoRa, e.g., [82,83,84]Strong competing IoT LPWAN technologies are available, e.g., Sigfox and NB-IoT
Big IT enterprises are developing or supporting LoRa products (e.g., STMicroelectronics, Cisco, IBM, Intel)
Novel technology-agnostic solutions on the market offer improved services through the convergence of connectivity, e.g., combining LoRaWAN and Sigfox for more accurate vehicle location services [85]
Table 3. Sub-bands of the EU868 ISM Band that match the ERC Recommendation 70-03.
Table 3. Sub-bands of the EU868 ISM Band that match the ERC Recommendation 70-03.
Sub-BandFrequency Band (MHz)Number of 125 kHz-Channels Pow TX max (dBm)
h1.4868.00–868.60314
h1.5868.70–869.20214
h1.6869.40–869.65127
h1.7869.70–870.00114
Table 4. Timing parameters of polite medium access based on LBT [59].
Table 4. Timing parameters of polite medium access based on LBT [59].
ParameterValue
T C C A m i n  160 μ s
  T d e f m i n  CCA interval ( T C C A )
  Δ T d e f m i n  Manufacturer-dependent
  Θ C C A _ t x m a x  5 ms
  T o A t x m a x  1 s
  Λ t x m a x  4 s
  T O f f T i m e m i n  100 ms
  T o A 200 kHz t o t / h 100 s
Table 5. Simulation parameters.
Table 5. Simulation parameters.
ParameterValue
ADRDisabled
BW125 kHz
CR4/5
L B T b a c k o f f s m a x 5
M A C B E m i n 3
M A C B E m a x 8
Message generation patternExponential distribution with a mean of 60 s.
Mobility patternChiangMobility [96]
Physical payload32 bytes
Propagation ModelLoRa Path Loss Oulu [95]
Simulation time12 h
TP14 dBm
T C C A 160 μ s
Table 6. Average values of MLossR, MDropR and MDelivR varying the number of EDs.
Table 6. Average values of MLossR, MDropR and MDelivR varying the number of EDs.
Number of EDs50100150200
MLossR2%2%2%2%
MDropR2%6%15%26%
MDelivR96%92%83%72%
Table 7. Average and maximum e2eD varying the number of EDs.
Table 7. Average and maximum e2eD varying the number of EDs.
Number of EDs50100150200
Avg e2eD (s)0.350.410.520.59
Max e2eD (s)2.502.692.972.98
Table 8. Average values of MLossR, MDropR and MDelivR varying the maximum number of backoffs.
Table 8. Average values of MLossR, MDropR and MDelivR varying the maximum number of backoffs.
M A C nBackoff max 579111315
MLossR2%2%2%2%2%2%
MDropR26%20%12%11%10%6%
MDelivR72%78%86%87%88%92%
Table 9. Average and maximum e2eD varying the M A C nBackoff max parameter.
Table 9. Average and maximum e2eD varying the M A C nBackoff max parameter.
M A C nBackoff max 579111315
Avg e2eD (s)0.590.891.071.401.741.76
Max e2eD (s)2.984.986.708.7210.7612.13
Table 10. Case A ( M A C nBackoff max = 5): Average and maximum e2eD varying the number of EDs and the U backoff parameter.
Table 10. Case A ( M A C nBackoff max = 5): Average and maximum e2eD varying the number of EDs and the U backoff parameter.
U backoff
Number5 ms10 ms15 ms20 ms
of EDsAvg e2eD (s)Max e2eD (s)Avg e2eD (s)Max e2eD (s)Avg e2eD (s)Max e2eD (s)Avg e2eD (s)Max e2eD (s)
1000.412.480.494.080.676.160.697.69
2000.602.710.814.681.046.481.308.28
3000.602.600.944.811.236.641.608.52
4000.632.550.954.741.346.721.708.60
5000.672.531.004.631.356.991.738.51
6000.652.431.014.241.396.251.818.58
7000.662.411.014.161.396.241.818.33
8000.662.271.034.081.436.101.848.18
9000.652.201.024.041.446.061.858.16
10000.652.181.034.951.456.881.878.01
11000.652.161.034.881.456.741.888.96
12000.662.151.054.861.446.831.918.85
Table 11. Case B ( M A C nBackoff max = 10): Average and maximum e2eD varying the number of EDs and the U backoff parameter.
Table 11. Case B ( M A C nBackoff max = 10): Average and maximum e2eD varying the number of EDs and the U backoff parameter.
U backoff
Number5 ms10 ms15 ms20 ms
of EDsAvg e2eD (s)Max e2eD (s)Avg e2eD (s)Max e2eD (s)Avg e2eD (s)Max e2eD (s)Avg e2eD (s)Max e2eD (s)
1000.655.440.859.480.9713.431.2017.87
2001.497.792.4114.463.4122.864.6332.65
3001.677.763.1415.544.7824.136.8135.48
4001.787.843.4715.645.5824.917.8336.56
5001.877.713.7015.775.8225.088.5336.94
6001.917.673.7915.076.1025.408.7237.38
7001.957.563.8515.036.3025.348.9737.46
8001.947.053.9015.866.3525.179.1237.26
9001.957.153.9815.736.3825.059.3037.52
10001.967.864.0115.646.5425.429.4537.10
11001.977.824.0315.256.5425.279.4637.52
12001.987.834.0015.826.5625.859.4637.71
Table 12. Case C ( M A C nBackoff max = 15): Average and maximum e2eD varying the number of EDs and the U backoff parameter.
Table 12. Case C ( M A C nBackoff max = 15): Average and maximum e2eD varying the number of EDs and the U backoff parameter.
U backoff
Number5 ms10 ms15 ms20 ms
of EDsAvg e2eD (s)Max e2eD (s)Avg e2eD (s)Max e2eD (s)Avg e2eD (s)Max e2eD (s)Avg e2eD (s)Max e2eD (s)
1000.626.360.7410.090.9515.171.0818.71
2002.2212.163.7524.235.9340.607.9654.41
3002.9411.956.0331.439.7553.2614.5478.72
4003.2713.346.7631.9711.4254.5517.6085.02
5003.4813.367.5532.3412.7954.6219.7586.54
6003.5314.257.8032.3213.4554.8320.8585.83
7003.5514.177.9732.2313.7354.7422.1988.34
8003.6414.438.1132.2114.1755.4723.0989.60
9003.7014.828.0632.6714.3755.0022.9988.67
10003.6714.648.2532.3814.6755.7123.8190.00
11003.6914.858.4032.8414.8055.7024.2189.68
12003.7014.938.3932.9014.9755.7324.3790.54
Disclaimer/Publisher’s Note: The statements, opinions and data contained in all publications are solely those of the individual author(s) and contributor(s) and not of MDPI and/or the editor(s). MDPI and/or the editor(s) disclaim responsibility for any injury to people or property resulting from any ideas, methods, instructions or products referred to in the content.

Share and Cite

MDPI and ACS Style

Leonardi, L.; Lo Bello, L.; Patti, G.; Pirri, A.; Pirri, M. Simulative Assessment of the Listen before Talk Adaptive Frequency Agility Medium Access Control Protocol for LoRaWAN Networks in IoT Scenarios. Appl. Syst. Innov. 2023, 6, 16. https://doi.org/10.3390/asi6010016

AMA Style

Leonardi L, Lo Bello L, Patti G, Pirri A, Pirri M. Simulative Assessment of the Listen before Talk Adaptive Frequency Agility Medium Access Control Protocol for LoRaWAN Networks in IoT Scenarios. Applied System Innovation. 2023; 6(1):16. https://doi.org/10.3390/asi6010016

Chicago/Turabian Style

Leonardi, Luca, Lucia Lo Bello, Gaetano Patti, Alessio Pirri, and Mattia Pirri. 2023. "Simulative Assessment of the Listen before Talk Adaptive Frequency Agility Medium Access Control Protocol for LoRaWAN Networks in IoT Scenarios" Applied System Innovation 6, no. 1: 16. https://doi.org/10.3390/asi6010016

APA Style

Leonardi, L., Lo Bello, L., Patti, G., Pirri, A., & Pirri, M. (2023). Simulative Assessment of the Listen before Talk Adaptive Frequency Agility Medium Access Control Protocol for LoRaWAN Networks in IoT Scenarios. Applied System Innovation, 6(1), 16. https://doi.org/10.3390/asi6010016

Article Metrics

Back to TopTop