A Methodological Approach of Predicting the Performance of Thermoelectric Generators with Temperature-Dependent Properties and Convection Heat Losses
Abstract
:1. Introduction
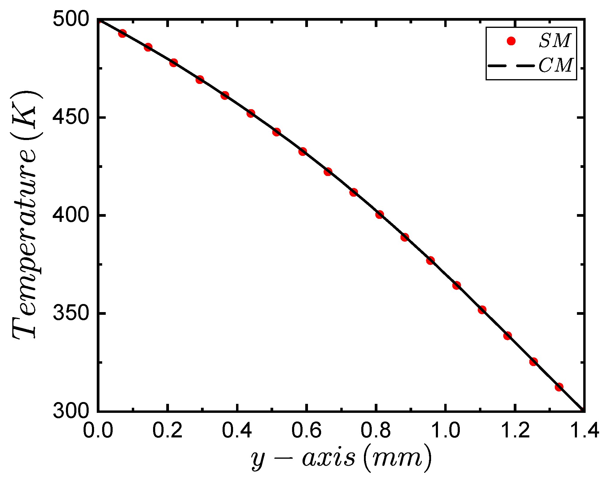
2. Numerical Model Validation
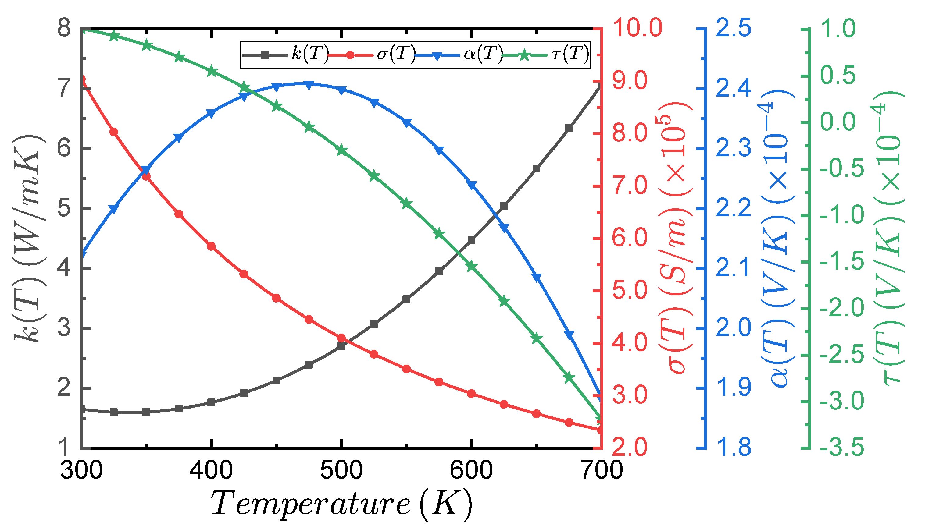
2.1. Thermoelectric Materials and Properties
2.2. Modeling of Thermoelectric Materials
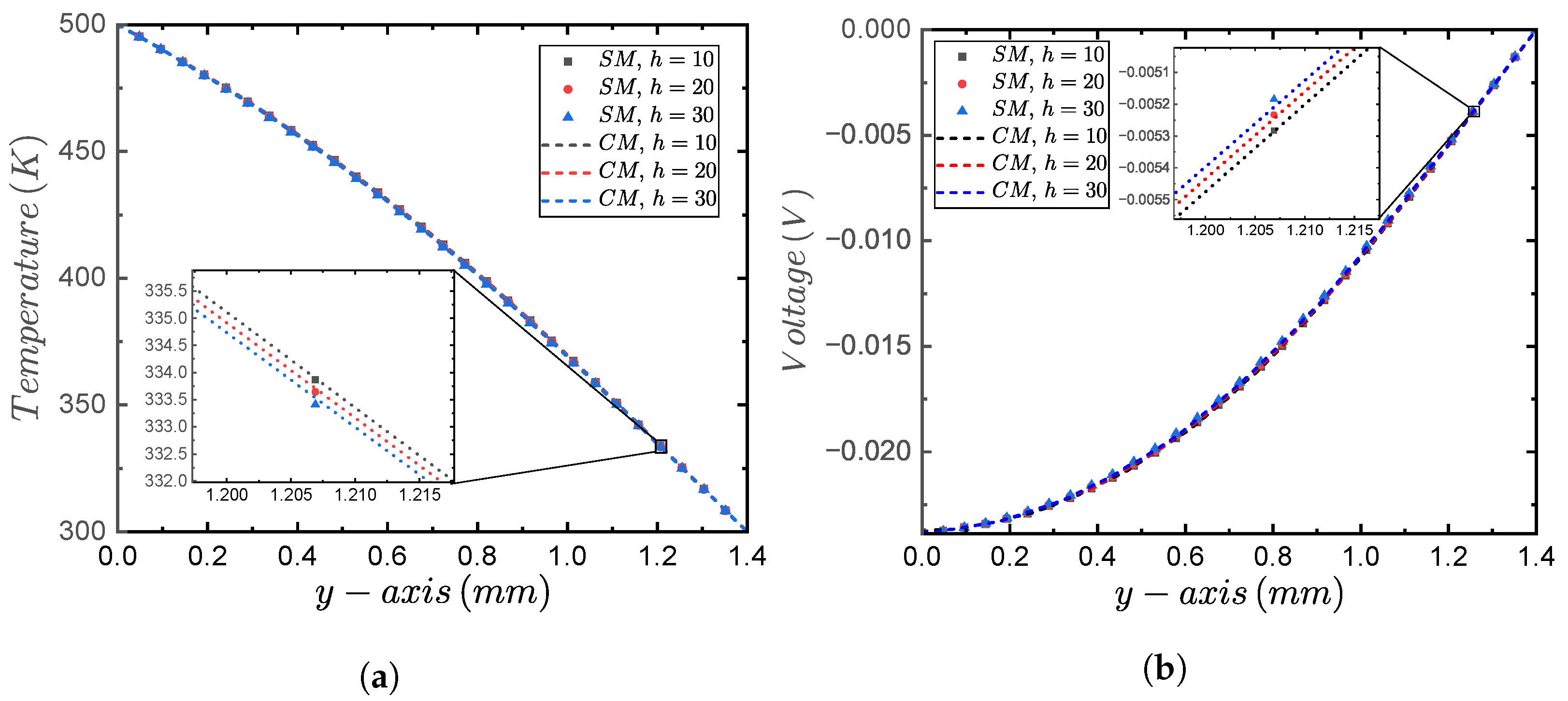
2.3. Comprehensive Model (Ansys) and the Proposed Simplified Model Comparison
3. Modeling a Complete Thermoelectric Module
3.1. Thermoelectric Module Geometry
3.2. Boundary Conditions and Parametric Setups
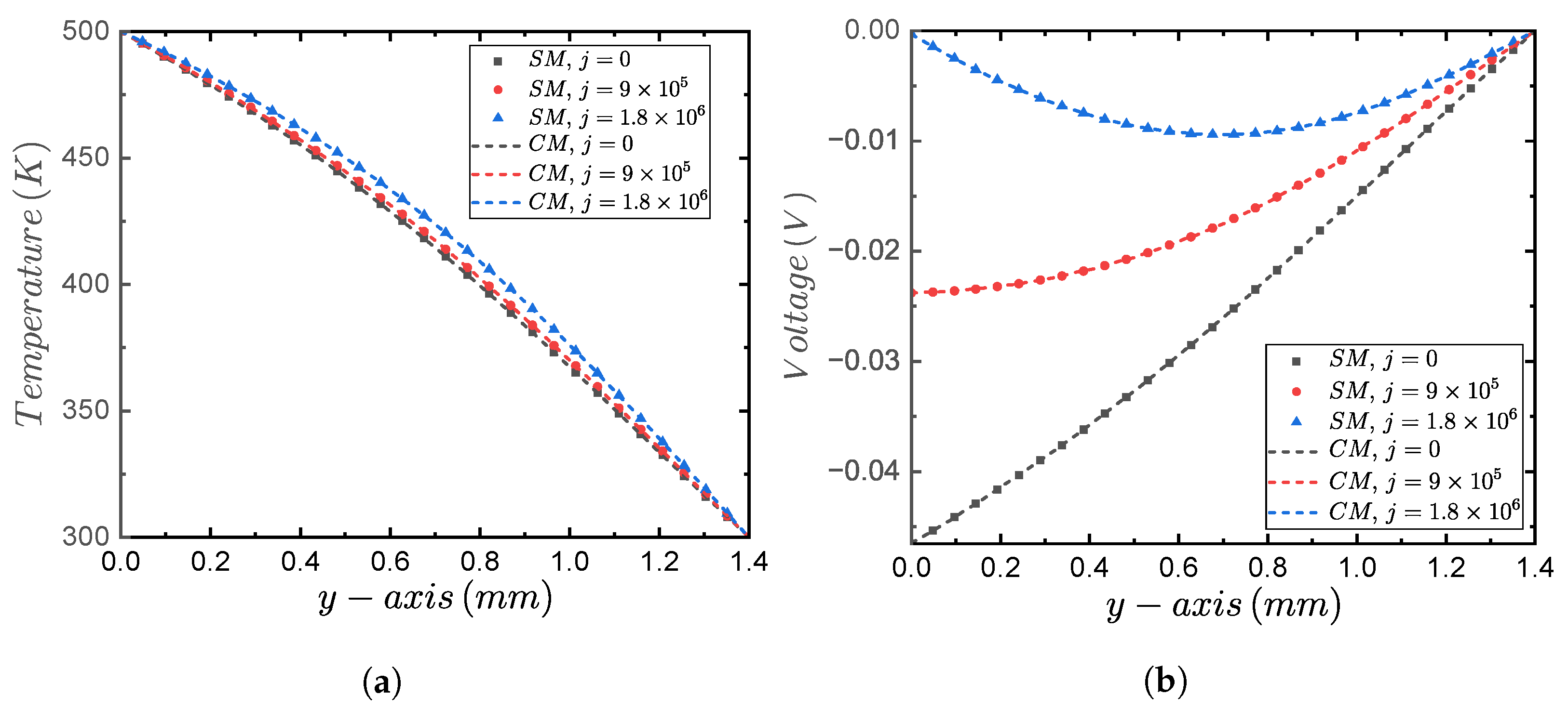
3.2.1. Case 1—The Parametric Setup: Ansys vs. Commercial TEG
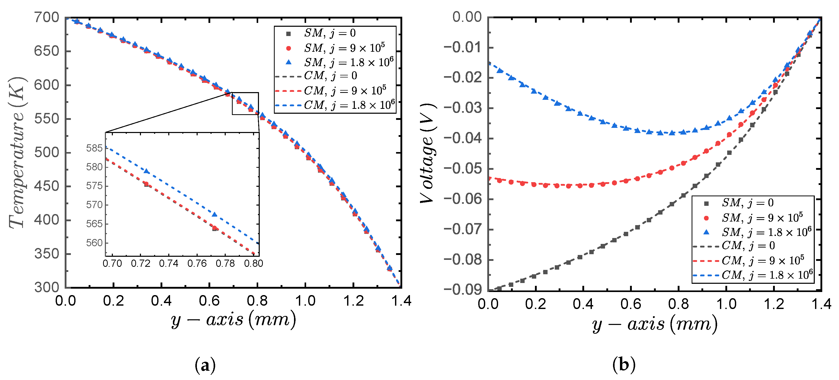
3.2.2. Case 2—The Parametric Setup: Ansys vs. the Proposed Model
3.3. Mesh Generation
3.3.1. Mesh Independence Study
3.3.2. Final Mesh
4. Results
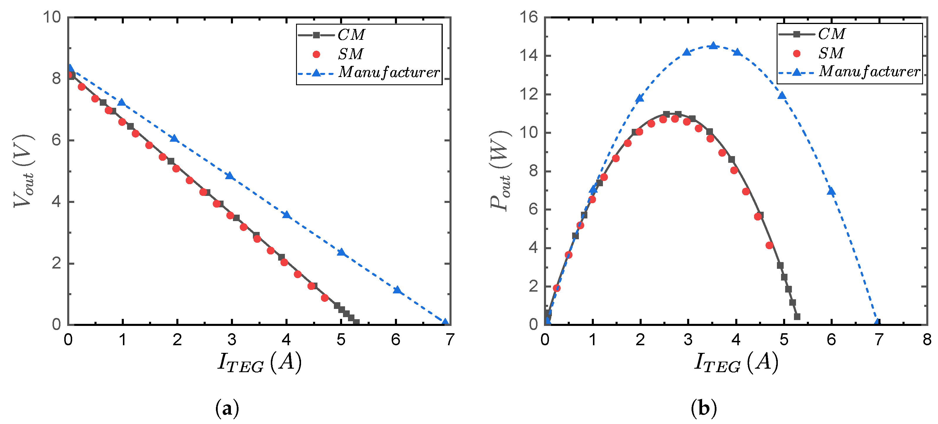
4.1. Case 1 Results: Ansys vs. Commercial TEG
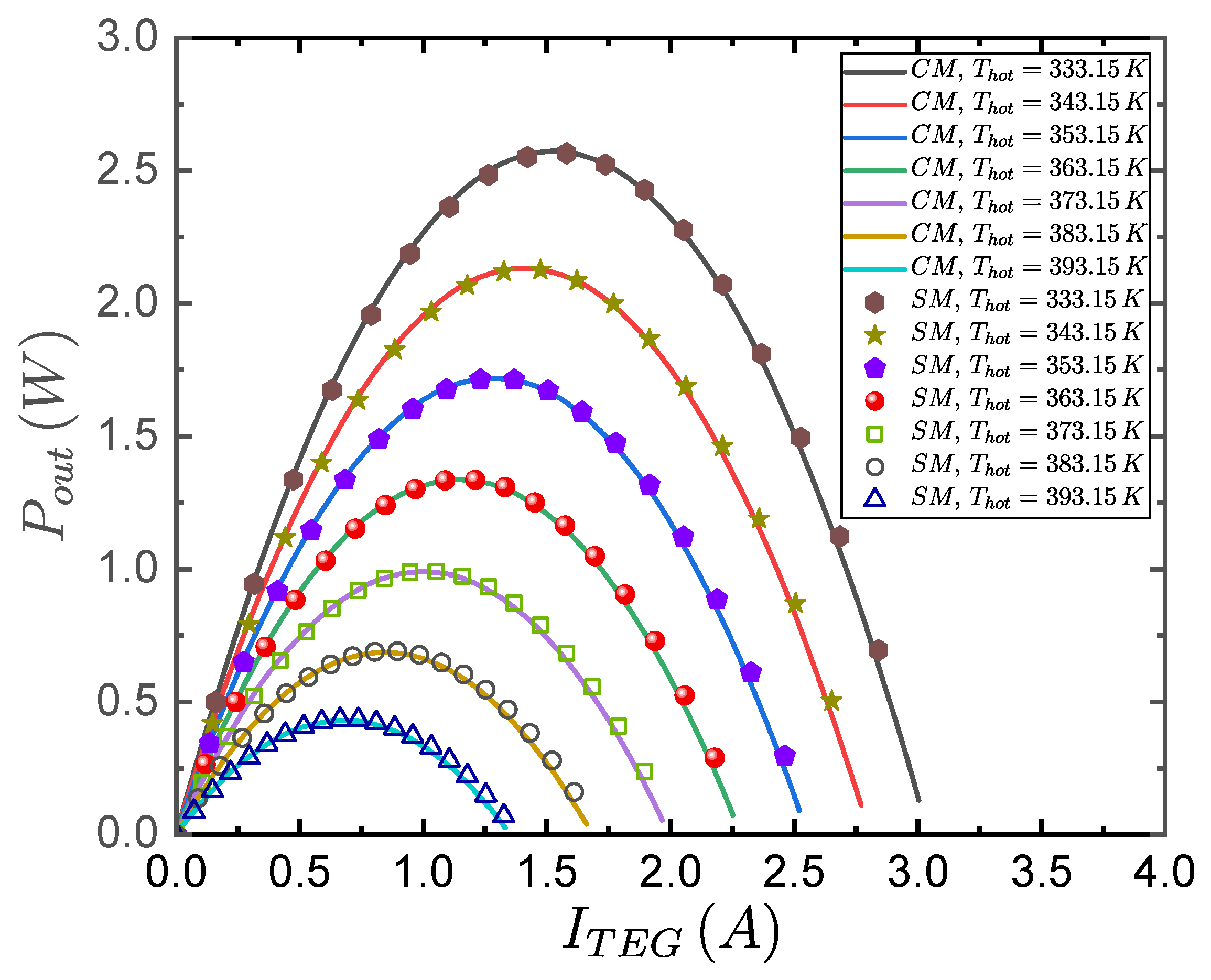
4.2. Case 2 Results: Ansys vs. the Proposed Model and Model Tuning
4.3. Simulation Time Analysis for a Parametric Study of a Thermoelectric Generator Module
5. Conclusions
Author Contributions
Funding
Conflicts of Interest
Nomenclature
| Roman letters | |
| A | Cross-sectional area (m) |
| Thermoelectric leg equivalent effective area (m) | |
| Shape function derivative matrix | |
| Specific heat matrix (Jkg K) | |
| Dielectric permittivity coefficient matrix (Fm) | |
| Conductivity matrix (WmK) | |
| Electric field vector (Vm) | |
| Equivalent effective area factor | |
| Power factor parameter | |
| Heat transfer coefficient (WmK) | |
| I | Electrical current magnitude (A) |
| Electric current density vector (Am) | |
| Diffusion conductivity matrix (WmK) | |
| Electrical conductivity coefficient matrix (Sm) | |
| Seebeck coefficient coupling matrix (VK) | |
| L | Characteristic length (m) |
| N | Shape functions |
| P | Thermoelectric power generation (W) |
| Heat generation per unit volume (Wm) | |
| Heat flux rate (W) | |
| Peltier heat load (W) | |
| Heat flux vector (Wm) | |
| q | Heat flux magnitude (Wm) |
| R | Electrical resistance |
| Total simulation time (s) | |
| Mesh generation time (s) | |
| Parametric study simulation time (s) | |
| T | Absolute temperature (K) |
| Average absolute temperature (K) | |
| Partial time derivative of temperature (K) | |
| V | Voltage (V) |
| Average voltage (V) | |
| Partial time derivative of voltage (V) | |
| Spatial Cartesian components (m) | |
| Greek letters | |
| Seebeck coefficient (VK) | |
| Arithmetic difference | |
| Thermoelectric efficiency | |
| Thermal conductivity (WmK) | |
| Electrical resistivity m) | |
| Electrical conductivity (Sm) | |
| Effective electrical conductivity matrix (Sm) | |
| Thomson coefficient (VK) | |
| Electrical potential (V) | |
| Abbreviations | |
| APDL | Ansys Parametric design language |
| BC | Boundary condition |
| CAD | Computer-aided design |
| CFD | Computational fluid dynamics |
| CGA | Continuous genetic algorithm |
| CM | Comprehensive model (Ansys) |
| FEM | Finite Element Method |
| NE | Mesh number of elements |
| NN | Mesh number of nodes |
| SM | Simplified model (proposed by the authors) |
| SRQ | System response quantity |
| TE | Thermoelectric |
| TEG | Thermoelectric generator |
| TEM | Thermoelectric module |
| Subscripts | |
| Cold surface side | |
| Hot surface side | |
| Input value | |
| Heat losses | |
| Electrical/thermal load | |
| N | N-type semiconductor material |
| Output value | |
| Open circuit | |
| P | P-type semiconductor material |
| Reference | |
| Electrical resistor properties | |
| S | Surface |
| Volume | |
| Physical wall properties | |
| Normal direction Cartesian components | |
| Operators | |
| x-direction total spatial derivative | |
| x-direction partial spatial derivative | |
| ∇ | Del operator (gradient) |
Appendix A. Ansys Mechanical APDL Thermoelectric Definitions
References
- Wang, Z.-L.; Funada, T.; Onda, T.; Chen, Z.-C. Knowledge extraction and performance improvement of bi 2 te 3-based thermoelectric materials by machine learning. Mater. Today Phys. 2023, 31, 100971. [Google Scholar] [CrossRef]
- Wei, J.; Zhou, Y.; Wang, Y.; Miao, Z.; Guo, Y.; Zhang, H.; Li, X.; Wang, Z.; Shi, Z. A large-sized thermoelectric module composed of cement-based composite blocks for pavement energy harvesting and surface temperature reducing. Energy 2023, 265, 126398. [Google Scholar] [CrossRef]
- Gürbüz, H.; Akçay, H.; Topalcı, Ü. Experimental investigation of a novel thermoelectric generator design for exhaust waste heat recovery in a gas-fueled si engine. Appl. Therm. Eng. 2022, 216, 119122. [Google Scholar] [CrossRef]
- Luo, D.; Wang, R.; Yan, Y.; Yu, W.; Zhou, W. Transient numerical modelling of a thermoelectric generator system used for automotive exhaust waste heat recovery. Appl. Energy 2021, 297, 117151. [Google Scholar] [CrossRef]
- Liu, Y.; Zhang, Y.; Xiang, Q.; Hao, F.; An, Q.; Chen, H. Comprehensive modeling and parametric analysis of multi-mission radioisotope thermoelectric generator. Appl. Therm. Eng. 2022, 219, 119447. [Google Scholar] [CrossRef]
- Sanin-Villa, D.; Monsalve-Cifuentes, O.D.; Rio, J.S.D. Early fever detection on covid-19 infection using thermoelectric module generators. International J. Electr. Comput. Eng. (IJECE) 2021, 11, 3828–3837. [Google Scholar] [CrossRef]
- Sargolzaeiaval, Y.; Ramesh, V.P.; Ozturk, M.C. A comprehensive analytical model for thermoelectric body heat harvesting incorporating the impact of human metabolism and physical activity. Appl. Energy 2022, 324, 119738. [Google Scholar] [CrossRef]
- Sanin-Villa, D. Recent developments in thermoelectric generation: A review. Sustainability 2022, 14, 16821. [Google Scholar] [CrossRef]
- Zhang, M.; Tian, Y.; Xie, H.; Wu, Z.; Wang, Y. Influence of thomson effect on the thermoelectric generator. Int. J. Heat Mass Transf. 2019, 137, 1183–1190. [Google Scholar] [CrossRef]
- Lan, Y.; Lu, J.; Li, J.; Wang, S. Effects of temperature-dependent thermal properties and the side leg heat dissipation on the performance of the thermoelectric generator. Energy 2021, 243, 123035. [Google Scholar] [CrossRef]
- Guo, X.; Zhang, H.; Yuan, J.; Wang, J.; Zhao, J.; Wang, F.; Hou, S. Energetic and exergetic analyses of a combined system consisting of a high-temperature polymer electrolyte membrane fuel cell and a thermoelectric generator with thomson effect. Int. J. Hydrogen. Energy 2019, 44, 16918–16932. [Google Scholar] [CrossRef]
- Sun, Y.; Chen, G.; Duan, B.; Li, G.; Zhai, P. An annular thermoelectric couple analytical model by considering temperature-dependent material properties and thomson effect. Energy 2019, 187, 115922. [Google Scholar] [CrossRef]
- Yamashita, O. Effect of linear and non-linear components in the temperature dependences of thermoelectric properties on the energy conversion efficiency. Energy Convers. Manag. 2009, 50, 1968–1975. [Google Scholar] [CrossRef]
- Chen, W.-H.; Huang, T.-H.; Augusto, G.L.; Lamba, R.; Maduabuchi, C.; Saw, L.H. Power generation and thermal stress characterization of thermoelectric modules with different unileg couples by recovering vehicle waste heat. J. Clean. Prod. 2022, 375, 133987. [Google Scholar] [CrossRef]
- Cui, Y.J.; Wang, B.L.; Wang, P. Analysis of thermally induced delamination and buckling of thin-film thermoelectric generators made up of pn-junctions. Int. J. Mech. Sci. 2017, 149, 393–401. [Google Scholar] [CrossRef]
- Cui, Y.J.; Wang, B.L.; Wang, K.F.; Wang, G.G.; Zhang, A.B. An analytical model to evaluate the fatigue crack effects on the hybrid photovoltaic-thermoelectric device. Renew. Energy 2021, 182, 923–933. [Google Scholar] [CrossRef]
- Sanin-Villa, D.; Monsalve-Cifuentes, O.D.; Henao-Bravo, E.E. Evaluation of thermoelectric generators under mismatching conditions. Energies 2021, 14, 8016. [Google Scholar] [CrossRef]
- Rogl, G.; Garmroudi, F.; Riss, A.; Yan, X.; Sereni, J.G.; Bauer, E.; Rogl, P. Understanding thermal and electronic transport in high-performance thermoelectric skutterudites. Intermetallics 2022, 146, 107567. [Google Scholar] [CrossRef]
- Vijay, V.; Harish, S.; Archana, J.; Navaneethan, M. Realization of an ultra-low lattice thermal conductivity in bi2agxse3 nano-structures for enhanced thermoelectric performance. J. Colloid Interface Sci. 2023, 637, 340–353. [Google Scholar] [CrossRef]
- Wee, D. Analysis of thermoelectric energy conversion efficiency with linear and nonlinear temperature dependence in material properties. Energy Convers. Manag. 2011, 52, 3383–3390. [Google Scholar] [CrossRef]
- Ju, C.; Dui, G.; Zheng, H.H.; Xin, L. Revisiting the temperature dependence in material properties and performance of thermoelectric materials. Energy 2017, 124, 249–257. [Google Scholar] [CrossRef]
- Wang, P.; Wang, K.F.; Wang, B.L.; Cui, Y.J. Modeling of thermoelectric generators with effects of side surface heat convection and temperature dependence of material properties. Int. J. Heat Mass Transf. 2019, 133, 1145–1153. [Google Scholar] [CrossRef]
- Wielgosz, S.E.; Clifford, C.E.; Yu, K.; Barry, M.M. Fully-coupled thermal-electric modeling of thermoelectric generators. Energy 2023, 266, 126324. [Google Scholar] [CrossRef]
- Sreekala, P.; Ramkumar, A.; Rajesh, K. Enhancing the defense application with Ansys model of thermoelectric generation for coil gun. Sustain. Energy Technol. Assess. 2022, 54, 102806. [Google Scholar] [CrossRef]
- Bhuiyan, M.S.R.; El-Shahat, A.; Soloiu, V. Thermoelectric generator analysis through Ansys and matlab/simulink. In Proceedings of the IEEE SoutheastCon 2019, Huntsville, AL, USA, 11–14 April 2019. [Google Scholar] [CrossRef]
- Fraisse, G.; Ramousse, J.; Sgorlon, D.; Goupil, C. Comparison of different modeling approaches for thermoelectric elements. Energy Convers. Manag. 2013, 65, 351–356. [Google Scholar] [CrossRef]
- Ansys Inc. Theory Reference for the Mechanical APDL and Mechanical Applications; Ansys Inc.: Canonsburg, PA, USA, 2023. [Google Scholar]
- TECTEG MFR. Division of Thermal Electronics Corporation. Specifications TEG Module TEG1-12611-6.0. 2022. Available online: https://tecteg.com/wp-content/uploads/2014/09/SpecTEG1-12611-6.0TEG-POWERGENERATOR-new.pdf (accessed on 10 October 2022).
- Nicolas, G.; Fouquet, T. Adaptive mesh refinement for conformal hexahedralmeshes. Finite Elem. Anal. Des. 2013, 67, 1–12. [Google Scholar] [CrossRef]
- Ansys Inc. Ansys ICEM CFD User’s Manual; Ansys Inc.: Canonsburg, PA, USA, 2023. [Google Scholar]
- Sanin-Villa, D.; Montoya, O.D. Grisales-Noreña, L.F. Material property characterization and parameter estimation of thermoelectric generator by using a master–slave strategy based on metaheuristics techniques. Mathematics 2023, 11, 1326. [Google Scholar] [CrossRef]
- Sanin-Villa, D.; Henao-Bravo, E.; Ramos-Paja, C.; Chejne, F. Evaluation of power harvesting on dc-dc converters to extract the maximum power output from tegs arrays under mismatching conditions. J. Oper. Autom. Power Eng. 2023; in press. [Google Scholar] [CrossRef]















| Parameter | Value/Mathematical Expression | Unit |
|---|---|---|
| Cross-sectional area | m | |
| Length | m | |
| Thermal conductivity | W/mK | |
| Electrical conductivity | S/m | |
| Seebeck coefficient | V/K | |
| Thomson coefficient | V/K |
| Current Densities (A/m) | Hot Surface Temperature | |||
|---|---|---|---|---|
| 0 | ||||
| 120,000 | 1.9619 |
| 8 | |
| 6 | |
| 4 | |
| 2 | |
| 1.2 | |
| 1 | |
| 0.8 | |
| 0.6 | |
| 0.4 | |
| 0.2 | |
| 0.09 | |
| 0.07 | |
| 0.05 | |
| 0.03 | |
| 0.01 |
| Simulation Time for Different Varying (See Table 3) | |||||||
|---|---|---|---|---|---|---|---|
| K (s) | K (s) | K (s) | K (s) | K (s) | K (s) | K (s) | |
| 61 | 63 | 63 | 68 | 71 | 61 | 84 | |
| 54 | 60 | 69 | 60 | 60 | 62 | 65 | |
| 52 | 58 | 61 | 60 | 63 | 61 | 59 | |
| 52 | 57 | 63 | 65 | 64 | 64 | 64 | |
| 54 | 62 | 64 | 65 | 62 | 61 | 62 | |
| 56 | 64 | 54 | 60 | 65 | 59 | 63 | |
| 65 | 57 | 59 | 62 | 71 | 69 | 65 | |
| 58 | 56 | 58 | 68 | 62 | 64 | 65 | |
| 60 | 54 | 62 | 65 | 60 | 65 | 63 | |
| 55 | 56 | 63 | 61 | 63 | 60 | 66 | |
| 54 | 55 | 61 | 63 | 64 | 65 | 65 | |
| 55 | 52 | 62 | 60 | 64 | 62 | 59 | |
| 57 | 54 | 66 | 60 | 61 | 62 | 63 | |
| 54 | 52 | 63 | 64 | 63 | 62 | 69 | |
| 58 | 60 | 60 | 60 | 64 | 67 | 63 | |
| 54 | 61 | 60 | 63 | 64 | 85 | 63 | |
| Mean (s) | 56.19 | 57.56 | 61.75 | 62.75 | 63.81 | 64.31 | 64.88 |
| Stand. dev. (s) | 3.51 | 3.78 | 3.38 | 2.84 | 3.17 | 6.11 | 5.66 |
| Total time ∑ (h) | h | ||||||
Disclaimer/Publisher’s Note: The statements, opinions and data contained in all publications are solely those of the individual author(s) and contributor(s) and not of MDPI and/or the editor(s). MDPI and/or the editor(s) disclaim responsibility for any injury to people or property resulting from any ideas, methods, instructions or products referred to in the content. |
© 2023 by the authors. Licensee MDPI, Basel, Switzerland. This article is an open access article distributed under the terms and conditions of the Creative Commons Attribution (CC BY) license (https://creativecommons.org/licenses/by/4.0/).
Share and Cite
Sanin-Villa, D.; Monsalve-Cifuentes, O.D. A Methodological Approach of Predicting the Performance of Thermoelectric Generators with Temperature-Dependent Properties and Convection Heat Losses. Energies 2023, 16, 7082. https://doi.org/10.3390/en16207082
Sanin-Villa D, Monsalve-Cifuentes OD. A Methodological Approach of Predicting the Performance of Thermoelectric Generators with Temperature-Dependent Properties and Convection Heat Losses. Energies. 2023; 16(20):7082. https://doi.org/10.3390/en16207082
Chicago/Turabian StyleSanin-Villa, Daniel, and Oscar D. Monsalve-Cifuentes. 2023. "A Methodological Approach of Predicting the Performance of Thermoelectric Generators with Temperature-Dependent Properties and Convection Heat Losses" Energies 16, no. 20: 7082. https://doi.org/10.3390/en16207082
APA StyleSanin-Villa, D., & Monsalve-Cifuentes, O. D. (2023). A Methodological Approach of Predicting the Performance of Thermoelectric Generators with Temperature-Dependent Properties and Convection Heat Losses. Energies, 16(20), 7082. https://doi.org/10.3390/en16207082
