Axial Compression Behavior of L-Shaped CFST Columns Enhanced by Fully Bolted Threaded-Rod Confinement: An Experimental Assessment
Abstract
1. Introduction
2. Experimental Program
2.1. Specimen Design
2.2. Materials
2.3. Fabrication Process: Welding, Drilling, Assembly, and Concrete Pouring
2.3.1. Steel Tube Fabrication
2.3.2. Drilling and Assembly of the RT System (Specimen L2)
2.3.3. Concrete Preparation and Placement
2.3.4. Curing and Final Assembly
2.4. Test Setup, Loading Protocol and Instrumentation
2.4.1. Test Setup
2.4.2. Loading Protocol
- Preloading phase: A preload corresponding to 20% of the nominal design axial load was applied in three equal increments. Each increment was held constant for 3 min to eliminate the seating effects, verify the functionality of all the instrumentation, and confirm the physical alignment of the specimen.
- Formal incremental loading phase: After complete unloading, formal loading commenced in two stages.
- Stage I (0–0.5 N0): The load was increased in increments of 0.1 N0 at a controlled rate of 5 kN/s. Each load level was maintained for 3 min to allow stable data acquisition and visual inspection.
- Stage II (0.5 N0–0.75 N0): Upon reaching 0.5 N0, the load increment was reduced to 0.05 N0, and the loading rate was set to 3 kN/s. The holding time at each level was extended to 5 min to closely monitor the behavior as the load approached a target design axial compression ratio of 0.75.
- Continuation to failure: After exceeding the design load level (0.75 N0), monotonic loading was continued until specimen failure. The test was terminated when either of the following criteria was met: (i) the applied load dropped to 75% of the measured peak load, indicating substantial post-peak degradation, or (ii) excessive deformation was observed, compromising the specimen stability or the integrity of the data collected. This protocol provides a consistent and reproducible definition of the ultimate limit state for a comparative performance analysis.
2.4.3. Instrumentation
- Surface strain measurement: To monitor the development of longitudinal and transverse strains on the steel tube, 36 electrical resistance strain gauges (18 longitudinal and 18 transverse) were bonded at three critical heights (mid-height, +375 mm, and −375 mm) across all six faces of the L-shaped section. The detailed layout of the strain gauges is shown in Figure 9.
- Lateral displacement measurement: Four YHD-100 type displacement transducers (LVDTs) were mounted at the mid-height of the column to measure out-of-plane lateral displacements, which are indicative of the initiation and progression of local buckling. The positions of the LVDTs on faces 1, 2, 3, and 6 are shown in Figure 9f.
- Global response: The axial load and corresponding axial shortening were recorded directly by the internal load cell and actuator displacement transducer of the testing machine.
3. Results and Discussion
3.1. Failure Modes and Instability Progression
3.2. Axial Load–Displacement Response and Capacity Uplift
3.3. Lateral Deflection and Buckling Control
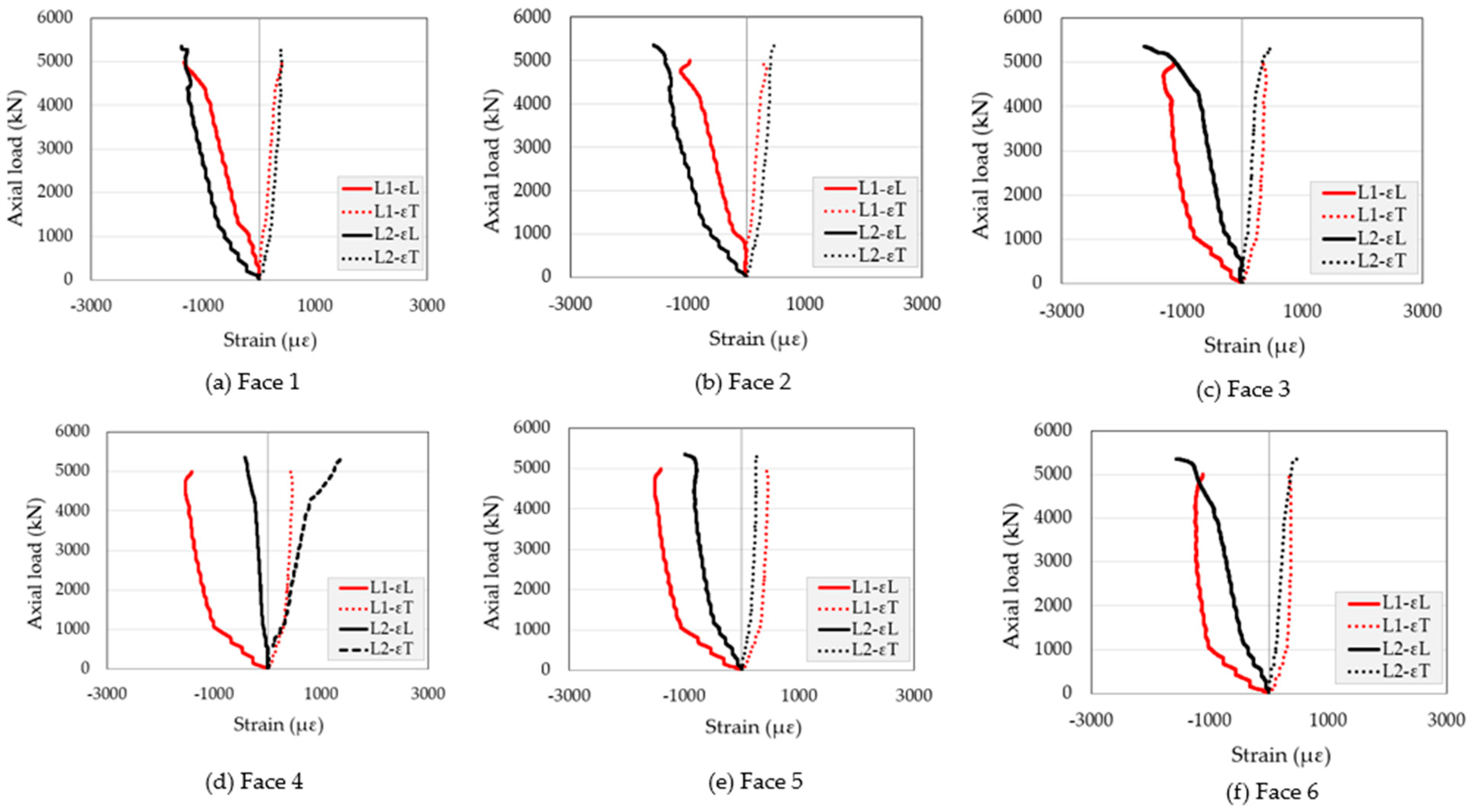
3.4. Steel Tube Strain Development and Confinement Effectiveness
3.5. Discussion
4. Conclusions
- Both specimens exhibited a local buckling-led response under monotonic axial compression, characterized by the outward bulging of the steel tube plates driven by concrete core dilation. The RT system did not change the governing limit state category; rather, it re-governed the progression by delaying early localization and reshaping the instability trajectory.
- The baseline specimen L1 developed an early top-dominated buckle band, whereas the RT specimen L2 exhibited a delayed onset of visible bulging and evolved toward a more distributed buckling portfolio (top–mid–lower regions) at higher loads. Mechanistically, the RT network operates as a distributed transverse compatibility constraint that shares the confinement demand across the perimeter, reducing the probability that a single face becomes the dominant localization band.
- The RT detailing delivered a measurable peak-load uplift from 4354 kN (L1) to 5354 kN (L2), that is, +1000 kN (~23%), without changing the primary section dimensions. The load associated with the first visually observed local bulging/buckling increased more modestly from ~3350 to ~3600 kN (≈7–8%). This confirms that the primary value of the RT system is realized in peak capacity and response-path stability/robustness (delayed stiffness degradation and extended efficient composite-working regime), rather than solely shifting the first visible instability trigger (which is observation-based and can lag incipient local instability).
- Mid-height lateral deflection monitoring of multiple faces confirmed that the RT system provided an effective transverse restraint against outward dilation. Compared with L1, L2 maintained a tighter lateral-deflection envelope, indicating improved buckling control and more stable deformation under increasing axial demand.
- The mid-height strain results (εL–εT) indicate that RT promotes a more managed transition into coupled axial–hoop tube action. Relative to L1, L2 exhibited reduced face-to-face dispersion and clearer mobilization of hoop strain demand at higher loads, supporting the conclusion that RT improves the confinement delivery consistency across the L-shaped perimeter.
- Although RT improves global performance, the observed local connector distress (e.g., nut squeeze-out) demonstrates that RT should be treated as a system-level detailing package. Practical deployment should explicitly govern hole layout and edge distances, ensure adequate bearing area (e.g., large hardened washers or bearing plates), adopt robust nut-locking (double-nut/locknut with verified thread engagement), control tolerances (template drilling/fabricate-then-drill), and—where warranted—use local doublers/stiffeners to manage hole-zone stress concentrations and avoid avoidable local weaknesses.
- In terms of cost and constructability, RT introduces incremental fabrication/installation steps; therefore, it is best framed as a selective reinforcement option for critical members/high-demand zones, where risk-adjusted performance gains justify the added detailing. To avoid over-claiming beyond the present evidence base, this study intentionally focuses on experimental member-level behavior; formal design equations, theoretical modeling, and FEM-based generalization will be developed and reported in a follow-up study.
Author Contributions
Funding
Data Availability Statement
Conflicts of Interest
References
- Tao, Z.; Hasan, M.M.; Han, D.; Qin, Q.; Abdul Ghafar, W. Study of the Axial Compressive Behaviour of Cross-Shaped CFST and ST Columns with Inner Changes. Buildings 2023, 13, 423. [Google Scholar] [CrossRef]
- Zhang, L.; Chen, Y.-F.; Zhang, Y.-J.; Tong, G.-S.; Zhang, J.-M.; Zhou, J. Anchorage behavior of ribbed rebars embedded in CFST sections: Experimental and numerical studies. Eng. Struct. 2025, 328, 119740. [Google Scholar] [CrossRef]
- Li, P.; Jiang, J.; Li, Q.; Ren, Z. Axial compression performance and optimum design of round-cornered square CFST with high-strength materials. J. Build. Eng. 2023, 68, 106145. [Google Scholar] [CrossRef]
- Hasan, M.M.; Tao, Z.; Ghafar, W.A.; Huangfu, S.-E.; Zhang, Z. Investigating the axial compressive behavior of cruciform CFST columns: An experimental study. Structures 2024, 69, 107538. [Google Scholar] [CrossRef]
- Du, G.; Zhang, J.; Li, Y.; Zhang, J.; Zeng, L. Experimental study on hysteretic model for L-shaped concrete-filled steel tubular column subjected to cyclic loading. Thin-Walled Struct. 2019, 144, 106278. [Google Scholar] [CrossRef]
- Hasan, M.M.; Tao, Z.; Pinle, Z.; Tao, Y.; Ghafar, W.A.; Xian, L. Seismic performance and theoretical modeling of self-centering hybrid frames with CFST columns. In Proceedings of the 10th ECCOMAS Thematic Conference on Computational Methods in Structural Dynamics and Earthquake Engineering, Rhodes Island, Greece, 15–18 June 2025; pp. 980–994. [Google Scholar]
- Wu, L.; Tao, Z.; Zhao, Z.M.; Ghafar, W.A.; Tao, Y.; Liao, S.; Zhang, Y. Effect of Ball Milling Time on the Performance of Phosphorous Building Gypsum. Adv. Civ. Eng. 2022, 2022, 7670057. [Google Scholar] [CrossRef]
- Wahab, A.G.; Zhong, T.; Wei, F.; Hakimi, N.; Ahiwale, D.D. Seismic performance enhancement of RC framed structures through retrofitting and strengthening: An experimental and numerical study. Asian J. Civ. Eng. 2023, 25, 555–573. [Google Scholar] [CrossRef]
- Shen, Z.-Y.; Lei, M.; Li, Y.-Q.; Lin, Z.-Y.; Luo, J.-H. Experimental Study on Seismic Behavior of Concrete-Filled L-Shaped Steel Tube Columns. Adv. Struct. Eng. 2013, 16, 1235–1247. [Google Scholar] [CrossRef]
- Zheng, Y.; Zeng, S. Design of L-shaped and T-shaped concrete-filled steel tubular stub columns under axial compression. Eng. Struct. 2020, 207, 110262. [Google Scholar] [CrossRef]
- Liu, X.; Liu, J.; Yang, Y.; Cheng, G.; Lanning, J. Resistance of special-shaped concrete-filled steel tube columns under compression and bending. J. Constr. Steel Res. 2020, 169, 106038. [Google Scholar] [CrossRef]
- Hakimi, N.; Song, P.; Huma, T.; Hanifi, D.; Bakhshyar, D.; Abdul Ghafar, W.; Huang, T. Investigations on oxidation behavior of free-standing CoNiCrAlYHf coating with different surface roughness at 1050 °C. Materials 2023, 16, 4282. [Google Scholar] [CrossRef]
- Huangfu, S.-E.; Tao, Z.; Zhang, J.; Abdul Ghafar, W.; Wang, Z.; Ye, C.; Hasan, M.M. Flexural Behavior of Stainless Steel V-Stiffened Lipped Channel Beams. Metals 2023, 13, 434. [Google Scholar] [CrossRef]
- Wahab, A.G.; Ye, J.; Tao, Z. Seismic performance of a novel replaceable shear-plate joint for special-shaped concrete-filled steel tube columns. Thin-Walled Struct. 2026, 220, 114344. [Google Scholar] [CrossRef]
- Lei, M.; Li, Y.-L.; Li, Y.-Q.; Zhang, J.; Lin, Z.; Zhou, T.; Luan, W. Experimental study on concrete-filled L-shaped steel tubular columns and beam-columns. J. Build. Eng. 2024, 96, 110626. [Google Scholar] [CrossRef]
- Li, H.; Tao, Z.; Han, D.; Wang, M. Experimental Study on Axial Compressive Performance of L-Shaped CFST Columns with Various Cross-Section Forms. Buildings 2026, 16, 34. [Google Scholar] [CrossRef]
- Wang, S.-Y.; Xie, G.-H.; You, Y.; Xia, H.-Y.; Li, S.-Q. Effect of confinement system and recycled aggregates on axial compressive behaviors of CFST columns. Structures 2024, 70, 107833. [Google Scholar] [CrossRef]
- Yang, Y.; Wang, G.; Yang, W.; Wei, X.; Chen, Y.F. Experimental research on fire behavior of L-shaped CFST columns under axial compression. J. Constr. Steel Res. 2022, 198, 107505. [Google Scholar] [CrossRef]
- Zhang, W.; Chen, Z.; Xiong, Q. Performance of L-shaped columns comprising concrete-filled steel tubes under axial compression. J. Constr. Steel Res. 2018, 145, 573–590. [Google Scholar] [CrossRef]
- Wang, E.; Lyu, F.; Ding, F.; Chen, J.; Liu, X. Mechanical Behavior of Stirrup-enhanced Improved Welded Concrete Filled L-shaped Steel Tubular Stub Columns under Axial Compression. KSCE J. Civ. Eng. 2024, 28, 5017–5032. [Google Scholar] [CrossRef]
- Han, D.; Tao, Z.; Abdul Ghafar, W.; Hasan, M.M.; Xiao, W.; Wang, T.; Zhou, K.; Dai, H. Experimental Study on the Seismic Performance of L-Shaped CFST Columns in Different Combinations. Buildings 2023, 13, 2320. [Google Scholar] [CrossRef]
- Wei, X.; Yang, Y.; Liu, J.; Yang, W.; Chen, Y.F.; Zhang, H. Experimental and numerical study of fire performance of L-shaped concrete-filled steel tubular columns under eccentric compression. J. Build. Eng. 2022, 50, 104149. [Google Scholar] [CrossRef]
- Yang, Z.-C.; Han, L.-H.; Li, W. Seismic performance of concrete-encased hexagonal CFST column base: Experimental and numerical analysis. J. Constr. Steel Res. 2023, 211, 108129. [Google Scholar] [CrossRef]
- Abdul Ghafar, W.; Tao, Z.; Tao, Y.; He, Y.; Wu, L.; Zhang, Z. Experimental and Numerical Study of an Innovative Infill Web-Strips Steel Plate Shear Wall with Rigid Beam-to-Column Connections. Buildings 2022, 12, 1560. [Google Scholar] [CrossRef]
- Abdul Ghafar, W.; Zhong, T.; Abid, M.; Faizan, E.; Mohamed, A.; Yosri, A.M. Seismic performance investigation of an innovative steel shear wall with semi-rigid beam-to-column connections. Front. Mater. 2022, 9, 1075300. [Google Scholar] [CrossRef]
- Zhang, Z.; Tao, Z.; Zhang, Y.; Wu, L.; Liao, S.; Zhao, Z.; Ghafar, W.A. Molecular dynamics study on the interaction of phosphorus building gypsum/surfactant composites. J. Mol. Graph. Model. 2024, 126, 108650. [Google Scholar] [CrossRef]
- Ning, P.; Gao, Y.; Wahab, A.G.; Zhong, T.; Bai, W.; Yang, W. Rammed earth construction for sustainable and seismic-resilient buildings: Structural advances and constraints methods. Mater. Struct. 2025, 58, 221. [Google Scholar] [CrossRef]
- Liu, X.; Xu, C.; Liu, J.; Yang, Y. Research on special-shaped concrete-filled steel tubular columns under axial compression. J. Constr. Steel Res. 2018, 147, 203–223. [Google Scholar] [CrossRef]
- Sheng, Y.; He, Y.; Cheng, Z.; Zhang, W.; Xue, S. Analysis of dumbbell-shaped CFST members subjected to combined compression and torsion loadings. J. Constr. Steel Res. 2023, 208, 108016. [Google Scholar] [CrossRef]
- Liao, F.Y.; Han, L.H.; Tao, Z.; Rasmussen, K.J. Experimental Behavior of Concrete-Filled Stainless Steel Tubular Columns Under Cyclic Lateral Loading. J. Struct. Eng. 2017, 143, 04016219. [Google Scholar] [CrossRef]
- Liang, Z.; Zheng, S.; Du, Y.; Song, Z. Seismic performance of CFST segmented composite lattice columns: Experimental and numerical simulation study. Constr. Build. Mater. 2025, 492, 142877. [Google Scholar] [CrossRef]
- Xiao, Y.; Bie, X.-M.; Song, X.; Zhang, J.; Du, G. Performance of composite L-shaped CFST columns with inner I-shaped steel under axial compression. J. Constr. Steel Res. 2020, 170, 106138. [Google Scholar] [CrossRef]
- Huang, Y.; Lu, Y.; Jiao, Y.; Yan, Y. Size effect on axial behavior of stub CFST columns strengthened with square steel tube and sandwiched concrete jackets. Eng. Struct. 2024, 301, 117252. [Google Scholar] [CrossRef]
- Li, Z.-J.; Gong, J.; Shao, Y.-B.; Huang, W.-F.; Zhang, X. Axial compressive behaviors of multi-cavity concrete-filled double-skin tubular stub columns. J. Constr. Steel Res. 2024, 216, 108619. [Google Scholar] [CrossRef]
- Chen, Z.; Xu, J.; Zhou, T.; Su, J. Seismic research on column base joint of L-shaped CFST columns under cyclic loading. Structures 2022, 45, 1212–1224. [Google Scholar] [CrossRef]
- Hu, C.; Wang, Y.; Cheng, R.; Luo, J.; Gong, M. Design of improved multi-cell L-shaped CFST columns under compression and bending. Structures 2024, 68, 107194. [Google Scholar] [CrossRef]
- Hui, C.; Li, Y.; Li, K.; Hai, R.; Myers, J.J.; Li, C. Experimental study and analysis on seismic performance of special-shaped steel reinforced concrete column frame. Structures 2022, 37, 353–363. [Google Scholar] [CrossRef]
- Xu, Z.; Cheng, J.; Yuan, H.; Wu, Q.; Qin, Z. Mechanical behavior of eccentrically loaded UHPC-encased CFST medium-long columns. Eng. Struct. 2024, 315, 118403. [Google Scholar] [CrossRef]
- Wang, F.; Luo, X.; Ke, K.; Yu, C.; Wan, J. Hysteretic performance of CFST columns with local steel-polypropylene hybrid fiber ECC enhancement. J. Constr. Steel Res. 2024, 220, 108854. [Google Scholar] [CrossRef]
- Xu, X.; Cheng, R.; Zhang, J.; Yang, P. Numerical and theoretical studies on the tensile strength and stiffness of plate-to-CFST column connections reinforced with internal T-shaped diaphragms. J. Constr. Steel Res. 2023, 202, 107770. [Google Scholar] [CrossRef]
- Shafaie, V.; Ghodousian, O.; Ghodousian, A.; Gorji, M.; Mehdikhani, H.; Movahedi Rad, M. Shear Bond Strength in Stone-Clad Façades: Effect of Polypropylene Fibers, Curing, and Mechanical Anchorage. Polymers 2024, 16, 2975. [Google Scholar] [CrossRef]
- Shahidi, F.; Shafaie, V.; Ghodousian, O.; Emamian, S.A.; Movahedi Rad, M. Numerical investigation of bonding in stone-clad Façades: Comparative analysis with and without mechanical anchorage. J. Infrastruct. Preserv. Resil. 2025, 6, 36. [Google Scholar] [CrossRef]














| Specimen | Height (mm) | Leg Length (mm) | Leg Width (mm) | Tube Thickness (mm) | RT System |
|---|---|---|---|---|---|
| L1 | 1500 | 400 | 200 | 6 | None |
| L2 | 1500 | 400 | 200 | 6 | Through tie |
| Group | Yield Strength (MPa) | Ultimate Strength (MPa) | Yield Strain | Ultimate Strength |
|---|---|---|---|---|
| 1 | 269 | 393 | 0.0362 | 0.18–0.20 |
| 2 | 261 | 358 | 0.0341 | 0.18–0.20 |
Disclaimer/Publisher’s Note: The statements, opinions and data contained in all publications are solely those of the individual author(s) and contributor(s) and not of MDPI and/or the editor(s). MDPI and/or the editor(s) disclaim responsibility for any injury to people or property resulting from any ideas, methods, instructions or products referred to in the content. |
© 2026 by the authors. Licensee MDPI, Basel, Switzerland. This article is an open access article distributed under the terms and conditions of the Creative Commons Attribution (CC BY) license.
Share and Cite
Wahab, A.G.; Fang, W.; Tao, Z. Axial Compression Behavior of L-Shaped CFST Columns Enhanced by Fully Bolted Threaded-Rod Confinement: An Experimental Assessment. J. Compos. Sci. 2026, 10, 77. https://doi.org/10.3390/jcs10020077
Wahab AG, Fang W, Tao Z. Axial Compression Behavior of L-Shaped CFST Columns Enhanced by Fully Bolted Threaded-Rod Confinement: An Experimental Assessment. Journal of Composites Science. 2026; 10(2):77. https://doi.org/10.3390/jcs10020077
Chicago/Turabian StyleWahab, Abdul Ghafar, Weiyuan Fang, and Zhong Tao. 2026. "Axial Compression Behavior of L-Shaped CFST Columns Enhanced by Fully Bolted Threaded-Rod Confinement: An Experimental Assessment" Journal of Composites Science 10, no. 2: 77. https://doi.org/10.3390/jcs10020077
APA StyleWahab, A. G., Fang, W., & Tao, Z. (2026). Axial Compression Behavior of L-Shaped CFST Columns Enhanced by Fully Bolted Threaded-Rod Confinement: An Experimental Assessment. Journal of Composites Science, 10(2), 77. https://doi.org/10.3390/jcs10020077

