Influence of Discrete Basalt Fibres on Shrinkage Cracking of Self-Compacting Ambient-Cured Geopolymer Concrete
Abstract
1. Introduction
Research Significance
2. Experimental Section
2.1. Materials and Casting
2.2. Test Setups and Procedures
2.2.1. Drying Shrinkage
2.2.2. Plastic Shrinkage Cracking
3. Results and Discussions
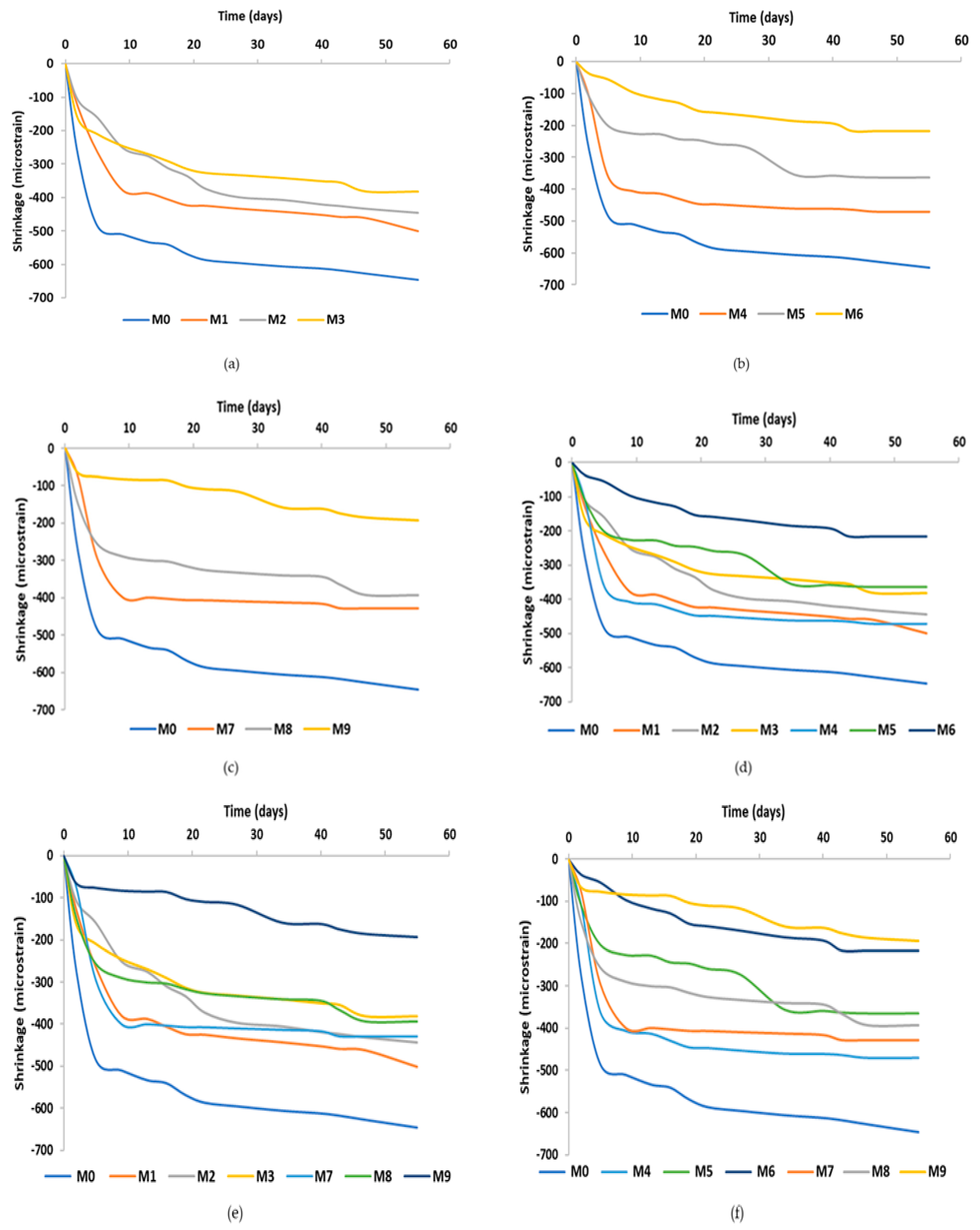
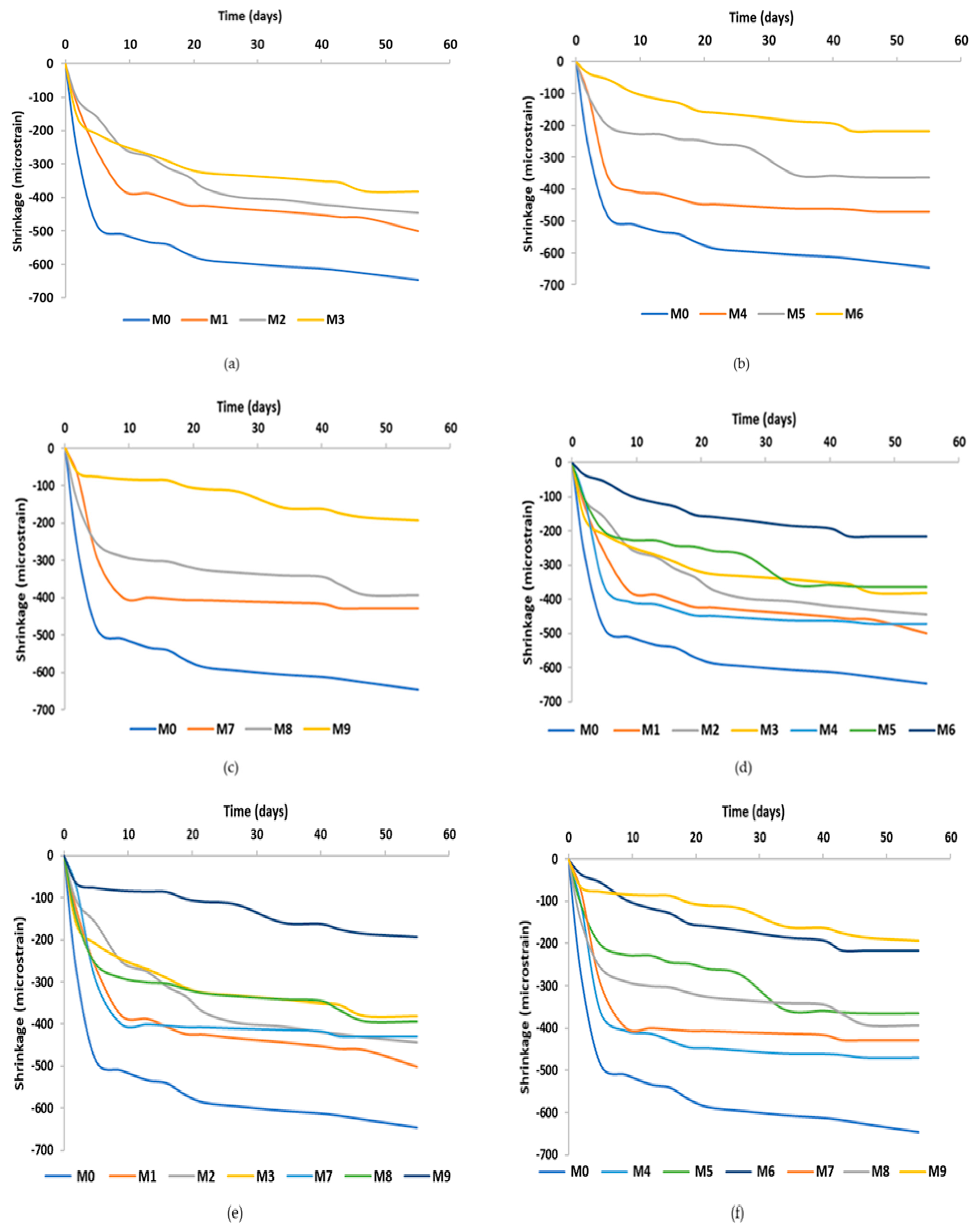
3.1. Drying Shrinkage
3.2. Plastic Shrinkage Cracking
4. Conclusions
- SCGC has a drying shrinkage rate of 627 microstrains, 25% higher than self-compacted cementitious concrete.
- The addition of up to a 2% dosage of both short and long basalt fibres to SCGC results in the reduction of the drying shrinkage rate. The lowest observed drying shrinkage rate is 188 microstrains for SCGC reinforced with a 2% dosage of hybrid-length BFs.
- Using 1% to 2% of BFs in the SCGC mix reduces the early-age crack width due to plastic shrinkage. Adding a 1% dosage of 12 mm BFs reduces the crack width from 0.87 mm (average crack width in SCGC panels) to an average crack width of 0.32 mm.
- No early-age macro-cracks were observed in mixes reinforced with 30 mm, 12 mm (1.5 and 2% dosages) and hybrid-length BFs.
- The results obtained for average crack width from two measurement methods—crack width gauge (manual) and image analysis—are in the cooperative agreement, as variations in crack width between the two methods are less than 5%.
- Long fibres were more efficient at reducing drying shrinkage rates and controlling early-age cracks than short fibres.
- Using a hybrid length of short/long BFs in SCGC to reduce drying shrinkage rates shows close results to long BFs with the exact BF dosage. It indicates no significant effect of BF-length hybridisation on reducing drying shrinkage compared to long BFs. However, combining hybrid short/long BFs showed better results in lowering drying shrinkage rates in SCGC than short BFs.
Author Contributions
Funding
Institutional Review Board Statement
Informed Consent Statement
Data Availability Statement
Acknowledgments
Conflicts of Interest
References
- Heweidak, M.; Kafle, B.; Al-Ameri, R. Influence of Hybrid Basalt Fibres Length on Fresh and Mechanical Properties of Self-Compacted Ambient-Cured Geopolymer Concrete. J. Compos. Sci. 2022, 6, 292. [Google Scholar] [CrossRef]
- Ofosu-Adarkwa, J.; Xie, N.; Javed, S.A. Forecasting CO2 emissions of China’s cement industry using a hybrid Verhulst-GM (1, N) model and emissions’ technical conversion. Renew. Sustain. Energy Rev. 2020, 130, 109945. [Google Scholar] [CrossRef]
- International Energy Agency. Cement Technology Roadmap Plots Path to Cutting CO2 Emissions 24% by 2050; News; IEA: Paris, France, 2018; pp. 1–3. [Google Scholar]
- Heweidak, M.; Kafle, B.; Al-Ameri, R. Shear-Bond Behaviour of Profiled Composite Slab Incorporated with Self-Compacted Geopolymer Concrete. Appl. Sci. 2022, 12, 8512. [Google Scholar] [CrossRef]
- Heweidak, M.; Kafle, B.; Al-Ameri, R. Effect of Discrete Basalt Fibres Length on Fresh And Mechanical Properties of Self-Compacted Geopolymer Concrete. In Proceedings of the 3rd International Conference on Structural Engineering Research (iCSER 2022), Sydney, Australia, 27–30 November 2022; p. 11. [Google Scholar]
- Davidovits, J.; Cordi, S. Synthesis of New High Temperature Geo-Polymers for Reinforced Plastics/Composites; SPE PACTEC′79; Society of Plastics Engineers: Brookfield, WI, USA, 1979; pp. 151–154. [Google Scholar]
- Ma, C.-K.; Awang, A.Z.; Omar, W. Structural and material performance of geopolymer concrete: A review. Constr. Build. Mater. 2018, 186, 90–102. [Google Scholar] [CrossRef]
- Timakul, P.; Rattanaprasit, W.; Aungkavattana, P. Improving compressive strength of fly ash-based geopolymer composites by basalt fibers addition. Ceram. Int. 2016, 42, 6288–6295. [Google Scholar] [CrossRef]
- Nath, P.; Sarker, P.K. Flexural strength and elastic modulus of ambient-cured blended low-calcium fly ash geopolymer concrete. Constr. Build. Mater. 2017, 130, 22–31. [Google Scholar] [CrossRef]
- Rahman, S.K.; Al-Ameri, R. A newly developed self-compacting geopolymer concrete under ambient condition. Constr. Build. Mater. 2021, 267, 121822. [Google Scholar] [CrossRef]
- Sarker, P.K. Bond strength of reinforcing steel embedded in fly ash-based geopolymer concrete. Mater. Struct. 2011, 44, 1021–1030. [Google Scholar] [CrossRef]
- Castel, A.; Foster, S.J. Bond strength between blended slag and Class F fly ash geopolymer concrete with steel reinforcement. Cem. Concr. Res. 2015, 72, 48–53. [Google Scholar] [CrossRef]
- Luhar, S.; Nicolaides, D.; Luhar, I. Fire resistance behaviour of geopolymer concrete: An overview. Buildings 2021, 11, 82. [Google Scholar] [CrossRef]
- Ariffin, M.; Bhutta, M.; Hussin, M.; Tahir, M.M.; Aziah, N. Sulfuric acid resistance of blended ash geopolymer concrete. Constr. Build. Mater. 2013, 43, 80–86. [Google Scholar] [CrossRef]
- Zhao, R.; Yuan, Y.; Cheng, Z.; Wen, T.; Li, J.; Li, F.; Ma, Z.J. Freeze-thaw resistance of Class F fly ash-based geopolymer concrete. Constr. Build. Mater. 2019, 222, 474–483. [Google Scholar] [CrossRef]
- Fan, Y.; Yin, S.; Wen, Z.; Zhong, J. Activation of fly ash and its effects on cement properties. Cem. Concr. Res. 1999, 29, 467–472. [Google Scholar] [CrossRef]
- Puertas, F.; Martínez-Ramírez, S.; Alonso, S.; Vázquez, T. Alkali-activated fly ash/slag cements: Strength behaviour and hydration products. Cem. Concr. Res. 2000, 30, 1625–1632. [Google Scholar] [CrossRef]
- Somna, K.; Jaturapitakkul, C.; Kajitvichyanukul, P.; Chindaprasirt, P. NaOH-activated ground fly ash geopolymer cured at ambient temperature. Fuel 2011, 90, 2118–2124. [Google Scholar] [CrossRef]
- Mastali, M.; Kinnunen, P.; Dalvand, A.; Firouz, R.M.; Illikainen, M. Drying shrinkage in alkali-activated binders—A critical review. Constr. Build. Mater. 2018, 190, 533–550. [Google Scholar] [CrossRef]
- Lee, N.K.; Lee, H.K. Setting and mechanical properties of alkali-activated fly ash/slag concrete manufactured at room temperature. Constr. Build. Mater. 2013, 47, 1201–1209. [Google Scholar] [CrossRef]
- Yao, X.; Yang, T.; Zhang, Z. Compressive strength development and shrinkage of alkali-activated fly ash–slag blends associated with efflorescence. Mater. Struct. 2016, 49, 2907–2918. [Google Scholar] [CrossRef]
- Marjanović, N.; Komljenović, M.; Baščarević, Z.; Nikolić, V.; Petrović, R. Physical–mechanical and microstructural properties of alkali-activated fly ash–blast furnace slag blends. Ceram. Int. 2015, 41, 1421–1435. [Google Scholar] [CrossRef]
- Kheradmand, M.; Abdollahnejad, Z.; Pacheco-Torgal, F. Drying shrinkage of fly ash geopolymeric mortars reinforced with polymer hybrid fibres. Proc. Inst. Civ. Eng. Constr. Mater. 2020, 173, 28–40. [Google Scholar] [CrossRef]
- Ranjbar, N.; Talebian, S.; Mehrali, M.; Kuenzel, C.; Cornelis Metselaar, H.S.; Jumaat, M.Z. Mechanisms of interfacial bond in steel and polypropylene fiber reinforced geopolymer composites. Compos. Sci. Technol. 2016, 122, 73–81. [Google Scholar] [CrossRef]
- Abdollahnejad, Z.; Mastali, M.; Mastali, M.; Dalvand, A. Comparative study on the effects of recycled glass–fiber on drying shrinkage rate and mechanical properties of the self-compacting mortar and fly ash–slag geopolymer mortar. J. Mater. Civ. Eng. 2017, 29, 04017076. [Google Scholar] [CrossRef]
- Gao, X.; Yu, Q.L.; Yu, R.; Brouwers, H.J.H. Evaluation of hybrid steel fiber reinforcement in high performance geopolymer composites. Mater. Struct. 2017, 50, 165. [Google Scholar] [CrossRef]
- Zhang, Z.-H.; Yao, X.; Zhu, H.-J.; Hua, S.-D.; Chen, Y. Preparation and mechanical properties of polypropylene fiber reinforced calcined kaolin-fly ash based geopolymer. J. Cent. South Univ. Technol. 2009, 16, 49–52. [Google Scholar] [CrossRef]
- Hanjitsuwan, S.; Injorhor, B.; Phoo-ngernkham, T.; Damrongwiriyanupap, N.; Li, L.-Y.; Sukontasukkul, P.; Chindaprasirt, P. Drying shrinkage, strength and microstructure of alkali-activated high-calcium fly ash using FGD-gypsum and dolomite as expansive additive. Cem. Concr. Compos. 2020, 114, 103760. [Google Scholar] [CrossRef]
- Rezende Schuab, M.; José dos Santos, W.; Henrique Ribeiro Borges, P. On the development of MK/BFS alkali-activated materials as repair mortars: Performance under free and restrained shrinkage tests. Constr. Build. Mater. 2021, 275, 122109. [Google Scholar] [CrossRef]
- Abdollahnejad, Z.; Mastali, M.; Luukkonen, T.; Kinnunen, P.; Illikainen, M. Fiber-reinforced one-part alkali-activated slag/ceramic binders. Ceram. Int. 2018, 44, 8963–8976. [Google Scholar] [CrossRef]
- Sim, J.; Park, C. Characteristics of basalt fiber as a strengthening material for concrete structures. Compos. Part B Eng. 2005, 36, 504–512. [Google Scholar] [CrossRef]
- Adesina, A. Performance of cementitious composites reinforced with chopped basalt fibres—An overview. Constr. Build. Mater. 2021, 266, 120970. [Google Scholar] [CrossRef]
- Kogan, F.; Nikitina, O. Solubility of chrysotile asbestos and basalt fibers in relation to their fibrogenic and carcinogenic action. Environ. Health Perspect. 1994, 102, 205–206. [Google Scholar]
- Fiore, V.; Scalici, T.; Di Bella, G.; Valenza, A. A review on basalt fibre and its composites. Compos. Part B Eng. 2015, 74, 74–94. [Google Scholar] [CrossRef]
- Luo, X.; Xu, J.-y.; Bai, E.-l.; Li, W. Study on the effect of basalt fiber on the energy absorption characteristics of porous material. Constr. Build. Mater. 2014, 68, 384–390. [Google Scholar] [CrossRef]
- Xin, L.; Jin-Yu, X.; Weimin, L.; Zhi-Kun, W. Comparative Study of the Effect of Basalt Fiber on Dynamic Damage Characteristics of Ceramics Cement–Based Porous Material. J. Mater. Civ. Eng. 2015, 27, 04014224. [Google Scholar] [CrossRef]
- Bheel, N. Basalt fibre-reinforced concrete: Review of fresh and mechanical properties. J. Build. Pathol. Rehabil. 2021, 6, 12. [Google Scholar] [CrossRef]
- Deák, T.; Czigány, T. Chemical composition and mechanical properties of basalt and glass fibers: A comparison. Text. Res. J. 2009, 79, 645–651. [Google Scholar] [CrossRef]
- Scheffler, C.; Förster, T.; Mäder, E.; Heinrich, G.; Hempel, S.; Mechtcherine, V. Aging of alkali-resistant glass and basalt fibers in alkaline solutions: Evaluation of the failure stress by Weibull distribution function. J. Non-Cryst. Solids 2009, 355, 2588–2595. [Google Scholar] [CrossRef]
- Wei, B.; Cao, H.; Song, S. Tensile behavior contrast of basalt and glass fibers after chemical treatment. Mater. Des. 2010, 31, 4244–4250. [Google Scholar] [CrossRef]
- Zhu, L.; Sun, B.; Gu, B. Frequency features of basalt filament tows under quasi-static and high strain rate tension. J. Compos. Mater. 2012, 46, 1285–1293. [Google Scholar] [CrossRef]
- Punurai, W.; Kroehong, W.; Saptamongkol, A.; Chindaprasirt, P. Mechanical properties, microstructure and drying shrinkage of hybrid fly ash-basalt fiber geopolymer paste. Constr. Build. Mater. 2018, 186, 62–70. [Google Scholar] [CrossRef]
- Saloni; Parveen; Pham, T.M. Enhanced properties of high-silica rice husk ash-based geopolymer paste by incorporating basalt fibers. Constr. Build. Mater. 2020, 245, 118422. [Google Scholar] [CrossRef]
- Xu, J.; Kang, A.; Wu, Z.; Xiao, P.; Gong, Y. Effect of high-calcium basalt fiber on the workability, mechanical properties and microstructure of slag-fly ash geopolymer grouting material. Constr. Build. Mater. 2021, 302, 124089. [Google Scholar] [CrossRef]
- AS/NZS 3582.1:2016; Supplementary Cementitious Materials Fly Ash. Standards New Zealand: Wellington, New Zealand, 2016; 11p. Available online: https://infostore.saiglobal.com/en-us/standards/as-nzs-3582-1-2016-101026_saig_as_as_212259/ (accessed on 15 January 2023).
- Zhang, J.; Tan, H.; Bao, M.; Liu, X.; Luo, Z.; Wang, P. Low carbon cementitious materials: Sodium sulfate activated ultra-fine slag/fly ash blends at ambient temperature. J. Clean. Prod. 2021, 280, 124363. [Google Scholar] [CrossRef]
- Krishnaraj, L.; Ravichandran, P.T. Characterisation of ultra-fine fly ash as sustainable cementitious material for masonry construction. Ain Shams Eng. J. 2021, 12, 259–269. [Google Scholar] [CrossRef]
- Banibayat, P.; Patnaik, A. Variability of mechanical properties of basalt fiber reinforced polymer bars manufactured by wet-layup method. Mater. Des. 2014, 56, 898–906. [Google Scholar] [CrossRef]
- Masi, G.; Rickard, W.D.A.; Bignozzi, M.C.; van Riessen, A. The effect of organic and inorganic fibres on the mechanical and thermal properties of aluminate activated geopolymers. Compos. Part B Eng. 2015, 76, 218–228. [Google Scholar] [CrossRef]
- Dias, D.P.; Thaumaturgo, C. Fracture toughness of geopolymeric concretes reinforced with basalt fibers. Cem. Concr. Compos. 2005, 27, 49–54. [Google Scholar] [CrossRef]
- Hassani Niaki, M.; Fereidoon, A.; Ghorbanzadeh Ahangari, M. Experimental study on the mechanical and thermal properties of basalt fiber and nanoclay reinforced polymer concrete. Compos. Struct. 2018, 191, 231–238. [Google Scholar] [CrossRef]
- AS 1012.3.1:2014; Methods of Testing Concrete Determination of Properties Related to the Consistency of Concrete—Slump Flow, T500 and J-Ring Test. Standards Australia: Sydney, NSW, Australia, 2015; p. 9. Available online: https://infostore.saiglobal.com/en-us/standards/as-1012-3-5-2015-111337_saig_as_as_232905/ (accessed on 14 August 2022).
- AS 1012.13-2015; Methods of Testing Concrete; Method 13: Determination of the Drying Shrinkage of Concrete for Samples Prepared in the Field or in the Laboratory. Standards Australia: Sydney, NSW, Australia, 2015.
- ASTM C1579-06; Standard Test Method for Evaluating Plastic Shrinkage Cracking of Restrained Fiber Reinforced Concrete (Using a Steel form Insert). American Society for Testing and Materials: West Conshohocken, PA, USA, 2021; 7p.
- Lenart, M.; Gruszczyński, M. The research of mortars shrinkage made with reclaimed aggregate. Procedia Struct. Integr. 2019, 23, 113–118. [Google Scholar] [CrossRef]
- Qi, C.; Weiss, J.; Olek, J. Statistical significance of the restrained slab test for quantifying plastic cracking in fiber reinforced concrete. J. ASTM Int. 2005, 2, JAI12242. [Google Scholar]
- Hemalatha, T.; Ramesh, G. Mitigation of plastic shrinkage in fly ash concrete using basalt fibres. Can. J. Civ. Eng. 2019, 46, 759–769. [Google Scholar] [CrossRef]
- Abdalhmid, J.M.; Ashour, A.F.; Sheehan, T. Long-term drying shrinkage of self-compacting concrete: Experimental and analytical investigations. Constr. Build. Mater. 2019, 202, 825–837. [Google Scholar] [CrossRef]
- Deb, P.S.; Nath, P.; Sarker, P.K. Drying shrinkage of slag blended fly ash geopolymer concrete cured at room temperature. Procedia Eng. 2015, 125, 594–600. [Google Scholar] [CrossRef]
- Chi, M. Effects of modulus ratio and dosage of alkali-activated solution on the properties and micro-structural characteristics of alkali-activated fly ash mortars. Constr. Build. Mater. 2015, 99, 128–136. [Google Scholar] [CrossRef]
- Ye, H.; Cartwright, C.; Rajabipour, F.; Radlińska, A. Effect of drying rate on shrinkage of alkali-activated slag cements. In Proceedings of the 4th ICDCS, West Lafayette, IN, USA, 24–26 July 2014. [Google Scholar]
- Aydın, S.; Baradan, B. Mechanical and microstructural properties of heat cured alkali-activated slag mortars. Mater. Des. 2012, 35, 374–383. [Google Scholar] [CrossRef]
- Sherwani, A.F.H.; Younis, K.H.; Arndt, R.W.; Pilakoutas, K. Performance of Self-Compacted Geopolymer Concrete Containing Fly Ash and Slag as Binders. Sustainability 2022, 14, 15063. [Google Scholar] [CrossRef]
- Kouta, N.; Saliba, J.; Saiyouri, N. Effect of flax fibers on early age shrinkage and cracking of earth concrete. Constr. Build. Mater. 2020, 254, 119315. [Google Scholar] [CrossRef]
- Bertelsen, I.M.G.; Ottosen, L.M.; Fischer, G. Influence of fibre characteristics on plastic shrinkage cracking in cement-based materials: A review. Constr. Build. Mater. 2020, 230, 116769. [Google Scholar] [CrossRef]
- Banthia, N.; Gupta, R. Influence of polypropylene fiber geometry on plastic shrinkage cracking in concrete. Cem. Concr. Res. 2006, 36, 1263–1267. [Google Scholar] [CrossRef]
- Borg, R.P.; Baldacchino, O.; Ferrara, L. Early age performance and mechanical characteristics of recycled PET fibre reinforced concrete. Constr. Build. Mater. 2016, 108, 29–47. [Google Scholar] [CrossRef]

















| Chemical Composition | Fly Ash (%) | Slag (Independent Cement and Lime Pty Ltd.) (%) | Sodium Metasilicate Anhydrous (%) | Micro Fly Ash (%) |
|---|---|---|---|---|
| SiO2 | 65.75 | 35.19 | 50 | 63.09 |
| CaO | -- | 41.47 | -- | -- |
| Al2O3 | 32.87 | 13.66 | -- | 32.26 |
| MgO | -- | 6.32 | -- | -- |
| K2O | -- | -- | -- | 0.83 |
| MnO | -- | -- | -- | -- |
| SO3 | -- | 2.43 | -- | -- |
| V2O5 | -- | 0.20 | -- | -- |
| TiO2 | 1.38 | 0.73 | -- | 1.67 |
| Na2O | -- | -- | 50 | 0.41 |
| P2O5 | -- | -- | -- | 0.62 |
| FeO | -- | -- | -- | 1.12 |
| Designation | Length (mm) | Diameter (μm) | Density (g/cm3) | Elastic Modulus (GPa) | Elongation (%) | Thermal Conductivity (W/mK) | Melt Temperature (°C) | Tensile Strength (Mpa) |
|---|---|---|---|---|---|---|---|---|
| BF 12 | 12 | 13 | 2.6–2.8 | 80–115 | 2.4–3.15 | 0.031–0.0038 | 1450 | 1000 |
| BF 30 | 30 | 13 | 2.6–2.8 | 80–115 | 2.4–3.15 | 0.031–0.0038 | 1450 | 1000 |
| Mix | Fly Ash (kg) | Slag (kg) | Micro Fly Ash (kg) | Sodium Metasilicate (kg) | Fine Aggregate (kg) | Coarse Aggregate (kg) |
|---|---|---|---|---|---|---|
| SCGC | 480 | 360 | 120 | 96 | 763 | 677 |
| BF Fibre Weight (%) | ||||
|---|---|---|---|---|
| Mix No | Mixes | 12 mm (%) | 30 mm (%) | The Total Weight (%) |
| M0 | control | — | — | 0 |
| M1 | BF12-1 | 1 | — | 1 |
| M2 | BF12-1.5 | 1.5 | — | 1.5 |
| M3 | BF12-2 | 2 | — | 2 |
| M4 | BF30-1 | — | 1 | 1 |
| M5 | BF30-1.5 | — | 1.5 | 1.5 |
| M6 | BF30-2 | — | 2 | 2 |
| M7 | HBF-1 | 0.25 | 0.75 | 1 |
| M8 | HBF-1.5 | 0.375 | 1.125 | 1.5 |
| M9 | HBF-2 | 0.5 | 1.5 | 2 |
Disclaimer/Publisher’s Note: The statements, opinions and data contained in all publications are solely those of the individual author(s) and contributor(s) and not of MDPI and/or the editor(s). MDPI and/or the editor(s) disclaim responsibility for any injury to people or property resulting from any ideas, methods, instructions or products referred to in the content. |
© 2023 by the authors. Licensee MDPI, Basel, Switzerland. This article is an open access article distributed under the terms and conditions of the Creative Commons Attribution (CC BY) license (https://creativecommons.org/licenses/by/4.0/).
Share and Cite
Heweidak, M.; Kafle, B.; Al-Ameri, R. Influence of Discrete Basalt Fibres on Shrinkage Cracking of Self-Compacting Ambient-Cured Geopolymer Concrete. J. Compos. Sci. 2023, 7, 202. https://doi.org/10.3390/jcs7050202
Heweidak M, Kafle B, Al-Ameri R. Influence of Discrete Basalt Fibres on Shrinkage Cracking of Self-Compacting Ambient-Cured Geopolymer Concrete. Journal of Composites Science. 2023; 7(5):202. https://doi.org/10.3390/jcs7050202
Chicago/Turabian StyleHeweidak, Mohamed, Bidur Kafle, and Riyadh Al-Ameri. 2023. "Influence of Discrete Basalt Fibres on Shrinkage Cracking of Self-Compacting Ambient-Cured Geopolymer Concrete" Journal of Composites Science 7, no. 5: 202. https://doi.org/10.3390/jcs7050202
APA StyleHeweidak, M., Kafle, B., & Al-Ameri, R. (2023). Influence of Discrete Basalt Fibres on Shrinkage Cracking of Self-Compacting Ambient-Cured Geopolymer Concrete. Journal of Composites Science, 7(5), 202. https://doi.org/10.3390/jcs7050202

