Mechanical, Thermal, and Morphological Properties of Graphene Nanoplatelet-Reinforced Polypropylene Nanocomposites: Effects of Nanofiller Thickness
Abstract
1. Introduction
2. Materials and Preparations
2.1. Materials
2.2. Preparation of Composites
3. Material Characterisations
3.1. Mechanical Strength Measurements
3.2. Thermal Properties
3.3. Structural and Morphological Study
3.4. Dynamic Mechanical Analysis
4. Results and Discussion
4.1. Tensile, Flexural and Impact Strength
4.2. X-ray Diffraction and Microscopy
4.3. Crystallisation and Dynamic Mechanical Properties
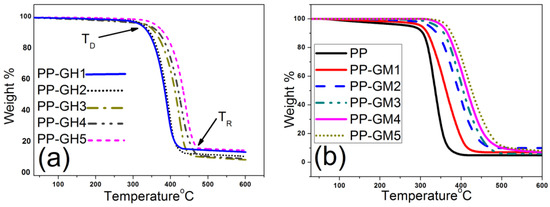
4.4. Thermal Stability of Nanocomposites
5. Conclusions
Author Contributions
Funding
Conflicts of Interest
References
- Tjong, T.; Chin, S. Polymer composites with graphene nanofillers: Electrical properties and applications. J. Nanosci. Nanotechnol. 2014, 14, 1154–1168. [Google Scholar] [CrossRef] [PubMed]
- Sengupta, R.; Bhattacharya, M.; Bandyopadhyay, S.; Bhowmick, A.K. A review on the mechanical and electrical properties of graphite and modified graphite reinforced polymer composites. Prog. Polym. Sci. 2011, 36, 638–670. [Google Scholar] [CrossRef]
- Zhu, Y.; Murali, S.; Cai, W.; Li, X.; Suk, J.W.; Potts, J.R.; Ruoff, R.S. Graphene-based materials: Graphene and graphene oxide: Synthesis, properties, and applications. Adv. Mater. 2010, 22, 3903–3958. [Google Scholar]
- Ma, P.C.; Siddiqui, N.A.; Marom, G.; Kim, J.K. Dispersion and functionalization of carbon nanotubes for polymer-based nanocomposites: A review. Compos. Part A Appl. Sci. Manuf. 2010, 41, 1345–1367. [Google Scholar] [CrossRef]
- Papageorgiou, D.G.; Kinloch, I.A.; Young, R.J. Mechanical properties of graphene and graphene-based nanocomposites. Prog. Mater. Sci. 2017, 90, 75–127. [Google Scholar] [CrossRef]
- Sahoo, N.G.; Rana, S.; Cho, J.W.; Li, L.; Chan, S.H. Polymer nanocomposites based on functionalized carbon nanotubes. Prog. Polym. Sci. 2010, 35, 837–867. [Google Scholar] [CrossRef]
- Huang, C.; Cheng, Q. Learning from nacre: Constructing polymer nanocomposites. Compos. Sci. Technol. 2017, 150, 141–166. [Google Scholar] [CrossRef]
- Huang, X.; Qi, X.; Boey, F.; Zhang, H. Graphene-based composites. Chem. Soc. Rev. 2012, 41, 666–686. [Google Scholar] [CrossRef]
- Sutar, H.; Sahoo, P.C.; Sahu, P.S.; Sahoo, S.; Murmu, R.; Swain, S.; Mishra, S.C. Mechanical, thermal and crystallization properties of polypropylene (PP) reinforced composites with high density polyethylene (HDPE) as matrix. Mater. Sci. Appl. 2018, 9, 502–515. [Google Scholar] [CrossRef]
- Sutar, H.; Maharana, H.S.; Dutta, C.; Murmu, R.; Patra, S. Strain rate effects on tensile properties of HDPE-PP composite prepared by extrusion and injection moulding method. Mater. Sci. Appl. 2019, 10, 205–215. [Google Scholar] [CrossRef]
- Sahoo, P.C.; Murmu, R.; Patra, S.C.; Dutta, C.; Sutar, H. Electrical behaviour and spherulites morphology of HDPE/PP polyblends with HDPE as base material. Mater. Sci. Appl. 2018, 9, 837–843. [Google Scholar] [CrossRef][Green Version]
- Luo, G.; Li, W.; Liang, W.; Liu, G.; Ma, Y.; Niu, Y.; Li, G. Coupling effects of glass fiber treatment and matrix modification on the interfacial microstructures and the enhanced mechanical properties of glass fiber/polypropylene composites. Compos. B Eng. 2017, 111, 190–199. [Google Scholar] [CrossRef]
- Nascimento, E.M.; Eiras, D.; Pessan, L.A. Effect of thermal treatment on impact resistance and mechanical properties of polypropylene/calcium carbonate nanocomposites. Compos. B Eng. 2017, 91, 228–234. [Google Scholar] [CrossRef]
- Patti, A.; Russo, P.; Acierno, S. The effect of filler functionalization on dispersion and thermal conductivity of polypropylene/multi wall carbon nanotubes composites. Compos. B Eng. 2016, 94, 350–359. [Google Scholar] [CrossRef]
- Gonzalez-Chi, P.I.; Rodríguez-Uicab, O.; Martin-Barrera, C.; Uribe-Calderon, J.; Canché-Escamilla, G.; Yazdani-Pedram, M.; Avilés, F. Influence of aramid fiber treatment and carbon nanotubes on the interfacial strength of polypropylene hierarchical composites. Compos. B Eng. 2017, 122, 16–22. [Google Scholar] [CrossRef]
- Ahmad, S.R.; Young, R.J.; Kinloch, I.A. Raman spectra and mechanical properties of graphene/polypropylene nanocomposites. Int. J. Chem. Eng. Appl. 2015, 6, 1–5. [Google Scholar]
- Yang, K.; Endoh, M.; Trojanowski, R.; Ramasamy, R.P.; Gentleman, M.M.; Butcher, T.A.; Rafailovich, M.H. The thermo-mechanical response of PP nanocomposites at high graphene loading. Nanocomposites 2015, 1, 126–137. [Google Scholar] [CrossRef][Green Version]
- Liang, J.-Z. Effects of tension rates and filler size on tensile properties of polypropylene/graphene nano-platelets composites. Compos. B Eng. 2019, 167, 241–249. [Google Scholar] [CrossRef]
- El Achaby, M.; Arrakhiz, F.E.; Vaudreuil, S.; el Kacem Qaiss, A.; Bousmina, M.; Fassi-Fehri, O. Mechanical, thermal, and rheological properties of graphene-based polypropylene nanocomposites prepared by melt mixing. Polym. Compos. 2012, 33, 733–744. [Google Scholar] [CrossRef]
- Kuilla, T.; Bhadra, S.; Yao, D.; Kim, N.H.; Bose, S.; Lee, J.H. Recent advances in graphene-based polymer composites. Prog. Polym. Sci. 2010, 35, 1350–1375. [Google Scholar] [CrossRef]
- Geng, Y.; Li, J.; Wang, S.J.; Kim, J.K. Amino functionalization of graphite nanoplatelet. J. Nanosci. Nanotechnol. 2008, 8, 6238–6246. [Google Scholar] [CrossRef] [PubMed]
- Dassan, E.G.B.; Rahman, A.A.A.; Abidin, M.S.Z.; Akil, H.M. Carbon nanotube–reinforced polymer composite for electromagnetic interference application: A review. Nanotechnol. Rev. 2020, 9, 768–788. [Google Scholar] [CrossRef]
- Kalaitzidou, K.; Fukushima, H.; Miyagawa, H.; Drzal, L.T. Flexural and tensile moduli of polypropylene nanocomposites and comparison of experimental data to Halpin-Tsai and Tandon-Weng models. Polym. Eng. Sci. 2007, 47, 1796–1803. [Google Scholar] [CrossRef]
- Al-Saleh, M.A.; Yussuf, A.A.; Al-Enezi, S.; Kazemi, R.; Wahit, M.U.; Al-Shammari, T.; Al-Banna, A. Polypropylene/graphene nanocomposites: Effects of GNP loading and compatibilizers on the mechanical and thermal properties. Materials 2019, 12, 3924. [Google Scholar] [CrossRef] [PubMed]
- Jun, Y.S.; Um, J.G.; Jiang, G.; Lui, G.; Yu, A. Ultra-large sized graphene nano-platelets (GnPs) incorporated polypropylene (PP)/GnPs composites engineered by melt compounding and its thermal, mechanical, and electrical properties. Compos. B Eng. 2018, 133, 218–225. [Google Scholar] [CrossRef]
- Liang, J.Z.; Du, Q.; Tsui, G.C.; Tang, C.Y. Tensile properties of graphene nano-platelets reinforced polypropylene composites. Compos. B Eng. 2016, 95, 166–171. [Google Scholar] [CrossRef]
- Chunhui, S.; Mu, P.; Runzhang, Y. The effect of particle size gradation of conductive fillers on the conductivity and the flexural strength of composite bipolar plate. Int. J. Hydrogen Energy 2008, 33, 1035–1039. [Google Scholar] [CrossRef]
- Bafana, A.P.; Yan, X.; Wei, X.; Patel, M.; Guo, Z.; Wei, S.; Wujcik, E.K. Polypropylene nanocomposites reinforced with low weight percent graphene nanoplatelets. Compos. B Eng. 2017, 109, 101–107. [Google Scholar] [CrossRef]
- Pedrazzoli, D.; Pegoretti, A.; Kalaitzidou, K. Understanding the effect of silica nanoparticles and exfoliated graphite nanoplatelets on the crystallization behavior of isotactic polypropylene. Polym. Eng. Sci. 2015, 55, 672–680. [Google Scholar] [CrossRef]
- Jun, Y.S.; Um, J.G.; Jiang, G.; Yu, A. A study on the effects of graphene nano-platelets (GnPs) sheet sizes from a few to hundred microns on the thermal, mechanical, and electrical properties of polypropylene (PP)/GnPs composites. eXPRESS Polym. Lett. 2018, 12, 885–897. [Google Scholar] [CrossRef]
- Ajorloo, M.; Fasihi, M.; Ohshima, M.; Taki, K. How are the thermal properties of polypropylene/graphene nanoplatelet composites affected by polymer chain configuration and size of nanofiller? Mater. Des. 2019, 181, 108068. [Google Scholar] [CrossRef]
- Wang, Q.; Wang, Y.; Meng, Q.; Wang, T.; Guo, W.; Wu, G.; You, L. Preparation of high antistatic HDPE/polyaniline encapsulated graphene nanoplatelet composites by solution blending. RSC Adv. 2017, 7, 2796–2803. [Google Scholar] [CrossRef]
- Mistretta, M.C.; Botta, L.; Vinci, A.D.; Ceraulo, M.; La Mantia, F.P. Photo-oxidation of polypropylene/graphene nanoplatelets composites. Polym. Degrad. Stab. 2019, 160, 35–43. [Google Scholar] [CrossRef]
- Blaine, R.L. Thermal Applications Note. Polymer Heats of Fusion. 2002. Available online: http://www.tainstruments.com/pdf/literature/TN048.pdf (accessed on 11 January 2021).
- An, J.E.; Jeon, G.W.; Jeong, Y.G. Preparation and properties of polypropylene nanocomposites reinforced with exfoliated graphene. Fiber Polym. 2012, 13, 507–514. [Google Scholar] [CrossRef]
- Kim, M.S.; Yan, J.; Kang, K.-M.; Joo, K.H.; Kang, Y.J.; Ahn, S.H. Soundproofing ability and mechanical properties of polypropylene/exfoliated graphite nanoplatelet/carbon nanotube (PP/xGnP/CNT) composite. Int. J. Precis. Eng. Manuf. 2013, 1, 1087–1092. [Google Scholar] [CrossRef]
- Fu, S.Y.; Feng, X.Q.; Lauke, B.; Mai, Y.W. Effects of particle size, particle/matrix interface adhesion and particle loading on mechanical properties of particulate–polymer composites. Compos. B Eng. 2008, 39, 933–961. [Google Scholar] [CrossRef]
- Greer, J.R.; Oliver, W.C.; Nix, W.D. Size dependence of mechanical properties of gold at the micron scale in the absence of strain gradients. Acta Mater. 2005, 53, 1821–1830. [Google Scholar] [CrossRef]
- Kalaitzidou, K.; Fukushima, H.; Drzal, L.T. Mechanical properties and morphological characterization of exfoliated graphite–polypropylene nanocomposites. Compos. Part A Appl. Sci. Manuf. 2007, 38, 1675–1682. [Google Scholar] [CrossRef]
- Thomason, J.L.; Vlug, M.A. Influence of fibre length and concentration on the properties of glass fibre-reinforced polypropylene: 4. Impact properties. Compos. Part A Appl. Sci. Manuf. 1997, 28, 277–288. [Google Scholar] [CrossRef]
- Rahman, N.A.; Hassan, A.; Yahya, R.; Lafia-Araga, R.A.; Hornsby, P.R. Micro-structural, thermal, and mechanical properties of injection-molded glass fiber/nanoclay/polypropylene composites. J. Reinf. Plast. Compos. 2012, 31, 269–281. [Google Scholar] [CrossRef]
- Kalaitzidou, K.; Fukushima, H.; Askeland, P.; Drzal, L.T. The nucleating effect of exfoliated graphite nanoplatelets and their influence on the crystal structure and electrical conductivity of polypropylene nanocomposites. J. Mater. Sci. 2008, 43, 2895–2907. [Google Scholar] [CrossRef]
- Kołodziej, A.; Długoń, E.; Świętek, M.; Ziąbka, M.; Dawiec, E.; Gubernat, M.; Michalec, M.; Wesełucha-Birczyńska, A. A Raman Spectroscopic Analysis of Polymer Membranes with Graphene Oxide and Reduced Graphene Oxide. J. Compos. Sci. 2021, 5, 20. [Google Scholar] [CrossRef]
- Wu, H.; Rook, B.; Drzal, L.T. Dispersion optimization of exfoliated graphene nanoplatelet in polyetherimide nanocomposites: Extrusion, precoating, and solid state ball milling. Polym. Compos. 2013, 34, 426–432. [Google Scholar] [CrossRef]
- Kalaitzidou, K. Exfoliated Graphite Nanoplatelets as Nanoreinforcement for Multifunctional Polypropylene Nanocomposites. Ph.D. Thesis, Michigan State University, East Lansing, MI, USA, 2006. [Google Scholar]
- Cui, L.; Wang, P.; Zhang, Y.; Zhang, L.; Chen, Y.; Wang, L.; Guo, X. Combined effect of α-nucleating agents and glass fiber reinforcement on a polypropylene composite: A balanced approach. RSC Adv. 2017, 7, 42783–42791. [Google Scholar] [CrossRef]
- Cui, L.; Wang, P.; Zhang, Y.; Zhou, X.; Xu, L.; Zhang, L.; Guo, X. Glass fiber reinforced and β-nucleating agents regulated polypropylene: A complementary approach and a case study. J. Appl. Polym. Sci. 2018, 135, 45768. [Google Scholar] [CrossRef]
- Liu, Z.; Hao, B.; Zhang, Y. Control interfacial properties and tensile strength of glass fibre/PP composites by grafting poly (ethylene glycol) chains on glass fibre surface. RSC Adv. 2015, 5, 40668–40677. [Google Scholar] [CrossRef]
- Xiao, W.; Wu, P.; Feng, J. Effect of β-nucleating agents on crystallization and melting behavior of isotactic polypropylene. J. Appl. Polym. Sci. 2008, 108, 3370–3379. [Google Scholar] [CrossRef]
- Rahman, N.A.; Hassan, A.; Yahya, R.; Lafia-Araga, R.; Hornsby, P. Polypropylene/glass fiber/nanoclay hybrid composites: Morphological, thermal, dynamic mechanical and impact behaviors. J. Reinf. Plast. Compos. 2012, 31, 1247–1257. [Google Scholar] [CrossRef]
- Prolongo, S.G.; Jiménez-Suárez, A.; Moriche, R.; Ureña, A. Graphene nanoplatelets thickness and lateral size influence on the morphology and behavior of epoxy composites. Eur. Polym. J. 2014, 53, 292–301. [Google Scholar] [CrossRef]
- Mayoral, B.; Harkin-Jones, E.; Khanam, P.N.; AlMaadeed, M.A.; Ouederni, M.; Hamilton, A.R.; Sun, D. Melt processing and characterisation of polyamide 6/graphene nanoplatelet composites. RSC Adv. 2015, 5, 52395–52409. [Google Scholar] [CrossRef]
- Zhao, S.; Chen, F.; Huang, Y.; Dong, J.-Y.; Han, C.C. Crystallization behaviors in the isotactic polypropylene/graphene composites. Polymer 2014, 55, 4125–4135. [Google Scholar] [CrossRef]
- Gu, J.; Du, J.; Dang, J.; Geng, W.; Hu, S.; Zhang, Q. Thermal conductivities, mechanical and thermal properties of graphite nanoplatelets/polyphenylene sulfide composites. RSC Adv. 2014, 4, 22101–22105. [Google Scholar] [CrossRef]
- Laachachi, A.; Burger, N.; Apaydin, K.; Sonnier, R.; Ferriol, M. Is expanded graphite acting as flame retardant in epoxy resin? Polym. Degrad. Stab. 2015, 117, 22–29. [Google Scholar] [CrossRef]
- Um, J.G.; Jun, Y.-S.; Alhumade, H.; Krithivasan, H.; Lui, G.; Yu, A. Investigation of the size effect of graphene nano-platelets (GnPs) on the anti-corrosion performance of polyurethane/GnP composites. RSC Adv. 2018, 8, 17091–17100. [Google Scholar] [CrossRef]
- Saleem, A.; Zhang, Y.; Gong, H.; Majeed, M.K.; Jing, J.; Lin, X.; Ashfaq, M.Z. Enhanced thermal conductivity and mechanical properties of a GNP reinforced Si3N4 composite. RSC Adv. 2019, 9, 39986–39992. [Google Scholar] [CrossRef]
- Salavagione, H.J.; Gómez, M.A.; Martínez, G. Polymeric modification of graphene through esterification of graphite oxide and poly (vinyl alcohol). Macromolecules 2009, 42, 6331–6334. [Google Scholar] [CrossRef]
- Verdejo, R.; Barroso-Bujans, F.; Rodriguez-Perez, M.A.; Antonio de Saja, J.; Lopez-Manchado, M.A. Functionalized graphene sheet filled silicone foam nanocomposites. J. Mater. Chem. 2008, 18, 2221. [Google Scholar] [CrossRef]
- Mahmood, H.; Unterberger, S.H.; Pegoretti, A. Tuning Electrical and Thermal Properties in Epoxy/Glass Composites by Graphene-Based Interphase. J. Compos. Sci. 2017, 1, 12. [Google Scholar] [CrossRef]
- Azizi, S.; Azizi, M.; Sabetzadeh, M. The Role of Multiwalled Carbon Nanotubes in the Mechanical, Thermal, Rheological, and Electrical Properties of PP/PLA/MWCNTs Nanocomposites. J. Compos. Sci. 2019, 3, 64. [Google Scholar] [CrossRef]
- Behdinan, K.; Dastjerdi, R.M.; Safaei, B.; Qin, Z.; Chu, F.; Hui, D. Graphene and CNT impact on heat transfer response of nanocomposite cylinders. Nanotechnol. Rev. 2020, 9, 41–52. [Google Scholar] [CrossRef]
- Parameswaranpillai, J.; Joseph, G.; Shinu, K.P.; Jose, S.; Salim, N.V.; Hameed, N. Development of hybrid composites for automotive applications: Effect of addition of SEBS on the morphology, mechanical, viscoelastic, crystallization and thermal degradation properties of PP/PS–xGnP composites. RSC Adv. 2015, 5, 25634–25641. [Google Scholar] [CrossRef]
- Sultana, T.; Sultana, S.; Nur, H.P.; Khan, M.W. Studies on Mechanical, Thermal and Morphological Properties of Betel Nut Husk Nano Cellulose Reinforced Biodegradable Polymer Composites. J. Compos. Sci. 2020, 4, 83. [Google Scholar] [CrossRef]
- Martin, I.; Saenz del Castillo, D.; Fernandez, A.; Güemes, A. Advanced Thermoplastic Composite Manufacturing by In-Situ Consolidation: A Review. J. Compos. Sci. 2020, 4, 149. [Google Scholar] [CrossRef]
- Zhang, H.; Zhang, X.; Fang, Z.; Huang, Y.; Xu, H.; Liu, Y.; Wu, D.; Zhuang, J.; Sun, J. Recent Advances in Preparation, Mechanisms, and Applications of Thermally Conductive Polymer Composites: A Review. J. Compos. Sci. 2020, 4, 180. [Google Scholar] [CrossRef]














| Grades of GNPs. | H25 | M25 |
| Code Name | GH | GM |
| Diameter (size), µm | 25 | 25 |
| Thickness, nm | 15 | 6–8 |
| Surface area, m2/g | 50–80 | 120–150 |
| Bulk density, g/cc | 0.03–0.1 | 0.03–0.1 |
| Oxygen Content, wt% | <0.5 | <0.5 |
| Residual acid content, wt% | <1 | <1 |
| Filler wt% | PP wt% | Sample Code |
|---|---|---|
| H25/GH | ||
| 0.0 | 100.0 | PP |
| 1.0 | 99.0 | PP-GH1 |
| 2.0 | 98.0 | PP-GH2 |
| 3.0 | 97.0 | PP-GH3 |
| 4 | 96.0 | PP-GH4 |
| 5 | 95.0 | PP-GH5 |
| M25/GM | ||
| 1.0 | 99.0 | PP-GM1 |
| 2.0 | 98.0 | PP-GM2 |
| 3.0 | 97.0 | PP-GM3 |
| 4 | 96.0 | PP-GM4 |
| 5 | 95.0 | PP-GM5 |
| Sample | Tensile Strength, MPa | Maximum Tensile Load, N | Tensile Modulus (E), MPa |
|---|---|---|---|
| PP | 16.0 ± 1.5 | 1521.6 ± 25.1 | 1412.1 ± 40.0 |
| PP-GH1 | 23.3 ± 0.3 | 1560.2 ± 26.1 | 1541.9 ± 40.8 |
| PP-GH2 | 27.9 ± 0.4 | 1578.1 ± 27.2 | 1587.3 ± 41.2 |
| PP-GH3 | 30.3 ± 1.8 | 1589.3 ± 27.8 | 1659.4 ± 43.5 |
| PP-GH4 | 31.1 ± 1.3 | 1603.8 ± 30.2 | 1671.5 ± 43.8 |
| PP-GH5 | 31.9 ± 1.5 | 1671.3 ± 31.1 | 1694.9 ± 44.0 |
| PP-GM1 | 27.7 ± 0.9 | 1596.1 ± 25.1 | 1653.4 ± 41.3 |
| PP-GM2 | 28.6 ± 0.7 | 1602.4 ± 28.3 | 1670.7 ± 40.3 |
| PP-GM3 | 31.4 ± 0.3 | 1645.8 ± 32.1 | 1697.0 ± 42.5 |
| PP-GM4 | 31.9 ± 1.8 | 1680.1 ± 32.8 | 1755.6 ± 41.3 |
| PP-GM5 | 32.8 ± 2.1 | 1682.9 ± 32.9 | 1758.4 ± 40.1 |
| Sample. | Flexural Strength, MPa | Maximum Flexural Load, N | Flexural Modulus (E), MPa | Impact Strength, J |
|---|---|---|---|---|
| PP | 50.7 ± 5.0 | 88.0 ± 11.2 | 1289.1 ± 245.1 | 0.085 ± 0.013 |
| PP-GH1 | 52.8 ± 5.5 | 92.8 ± 11.7 | 1699.8 ± 246.8 | 0.129 ± 0.014 |
| PP-GH2 | 53.7 ± 6.8 | 93.9 ± 11.2 | 1853.1 ± 246.9 | 0.154 ± 0.011 |
| PP-GH3 | 53.9 ± 6.6 | 95.7 ± 11.9 | 1898.2 ± 247.3 | 0.187 ± 0.020 |
| PP-GH4 | 57.2 ± 6.8 | 97.5 ± 12.3 | 1943.0 ± 247.4 | 0.195 ± 0.023 |
| PP-GH5 | 58.3 ± 6.1 | 99.3 ± 12.2 | 2063.4 ± 249.5 | 0.197 ± 0.025 |
| PP-GM1 | 56.2 ± 5.1 | 98.0 ± 10.6 | 1831.0 ± 250.1 | 0.112 ± 0.015 |
| PP-GM2 | 56.9 ± 6.3 | 98.8 ± 10.9 | 1863.7 ± 250.3 | 0.128 ± 0.019 |
| PP-GM3 | 57.7 ± 6.9 | 100.7 ± 11.3 | 1944.4 ± 256.9 | 0.133 ± 0.022 |
| PP-GM4 | 58.5 ± 6.8 | 101.2 ± 12.2 | 1979.2 ± 257.3 | 0.164 ± 0.021 |
| PP-GM5 | 58.8 ± 6.9 | 101.9 ± 12.3 | 2074.4 ± 258.8 | 0.174 ± 0.180 |
| Sample | Tc, °C | Tm, °C | ΔT, °C | ΔHc, J/g | ΔHm, J/g | Xc, % |
|---|---|---|---|---|---|---|
| PP | 123.4 | 162.6 | 39.2 | 171.5 | 124.8 | 60 |
| PP-GH1 | 124.0 | 162.7 | 38.7 | 127.2 | 124.3 | 60 |
| PP-GH2 | 124.4 | 162.9 | 38.5 | 125.4 | 124.1 | 60 |
| PP-GH3 | 125.1 | 163.1 | 38.0 | 122.3 | 124.0 | 61 |
| PP-GH4 | 125.3 | 163.2 | 37.9 | 119.0 | 123.9 | 61 |
| PP-GH5 | 126.1 | 163.3 | 37.2 | 117.2 | 123.8 | 61 |
| PP-GM1 | 127.0 | 162.8 | 35.8 | 130.3 | 123.7 | 60 |
| PP-GM2 | 127.4 | 163.0 | 35.6 | 127.3 | 123.5 | 61 |
| PP-GM3 | 127.6 | 163.2 | 35.6 | 124.6 | 123.4 | 61 |
| PP-GM4 | 128.0 | 163.9 | 35.6 | 122.2 | 123.2 | 61 |
| PP-GM5 | 128.2 | 164.0 | 35.8 | 119.0 | 123.1 | 62 |
| Sample | Storage Modulus, MPa | tanδ |
|---|---|---|
| PP | 806.6 | 0.97420 |
| PP-GH1 | 822.2 | 0.09598 |
| PP-GH2 | 858.3 | 0.09504 |
| PP-GH3 | 956.1 | 0.09360 |
| PP-GH4 | 1046.9 | 0.09354 |
| PP-GH5 | 1063.3 | 0.09277 |
| PP-GM1 | 965.3 | 0.08689 |
| PP-GM2 | 969.2 | 0.08528 |
| PP-GM3 | 1029.2 | 0.08355 |
| PP-GM4 | 1103.9 | 0.08182 |
| PP-GM5 | 1242.1 | 0.08041 |
| Sample | TD, °C | T10, °C | T50, °C | TR, °C |
|---|---|---|---|---|
| PP | 301.5 | 307.3 | 336.2 | 400.3 |
| PP-GH1 | 317.3 | 339.7 | 380.5 | 418.2 |
| PP-GH2 | 320.2 | 346.7 | 392.6 | 434.3 |
| PP-GH3 | 325.3 | 359.2 | 406.1 | 455.1 |
| PP-GH4 | 344.6 | 368.6 | 417.8 | 474.3 |
| PP-GH5 | 359.4 | 383.2 | 427.3 | 477.5 |
| PP-GM1 | 320.9 | 343.2 | 386.2 | 423.8 |
| PP-GM2 | 324.6 | 350.5 | 395.6 | 452.4 |
| PP-GM3 | 332.5 | 360.6 | 415.5 | 484.9 |
| PP-GM4 | 349.4 | 370.7 | 424.6 | 490.6 |
| PP-GM5 | 372.3 | 387.4 | 437.5 | 503.1 |
Publisher’s Note: MDPI stays neutral with regard to jurisdictional claims in published maps and institutional affiliations. |
© 2021 by the authors. Licensee MDPI, Basel, Switzerland. This article is an open access article distributed under the terms and conditions of the Creative Commons Attribution (CC BY) license (http://creativecommons.org/licenses/by/4.0/).
Share and Cite
Sutar, H.; Mishra, B.; Senapati, P.; Murmu, R.; Sahu, D. Mechanical, Thermal, and Morphological Properties of Graphene Nanoplatelet-Reinforced Polypropylene Nanocomposites: Effects of Nanofiller Thickness. J. Compos. Sci. 2021, 5, 24. https://doi.org/10.3390/jcs5010024
Sutar H, Mishra B, Senapati P, Murmu R, Sahu D. Mechanical, Thermal, and Morphological Properties of Graphene Nanoplatelet-Reinforced Polypropylene Nanocomposites: Effects of Nanofiller Thickness. Journal of Composites Science. 2021; 5(1):24. https://doi.org/10.3390/jcs5010024
Chicago/Turabian StyleSutar, Harekrushna, Birupakshya Mishra, Pragyan Senapati, Rabiranjan Murmu, and Dibyani Sahu. 2021. "Mechanical, Thermal, and Morphological Properties of Graphene Nanoplatelet-Reinforced Polypropylene Nanocomposites: Effects of Nanofiller Thickness" Journal of Composites Science 5, no. 1: 24. https://doi.org/10.3390/jcs5010024
APA StyleSutar, H., Mishra, B., Senapati, P., Murmu, R., & Sahu, D. (2021). Mechanical, Thermal, and Morphological Properties of Graphene Nanoplatelet-Reinforced Polypropylene Nanocomposites: Effects of Nanofiller Thickness. Journal of Composites Science, 5(1), 24. https://doi.org/10.3390/jcs5010024

