Surface Aware Triboinformatics Framework for Wear Prediction of MWCNT Reinforced Epoxy Composites Using Run-Wise AFM Descriptors and Machine Learning
Abstract
1. Introduction
2. Background Study
3. Materials, Methods, and Methodology
3.1. Materials
3.2. Composite Preparation
3.3. Wear Testing and Experimental Design
3.4. Construction of Machine Learning Dataset (Hybrid Triboinformatics)
4. Results and Discussion
4.1. Machine Learning-Based Wear Prediction
4.2. Comparative Performance of Machine Learning Models
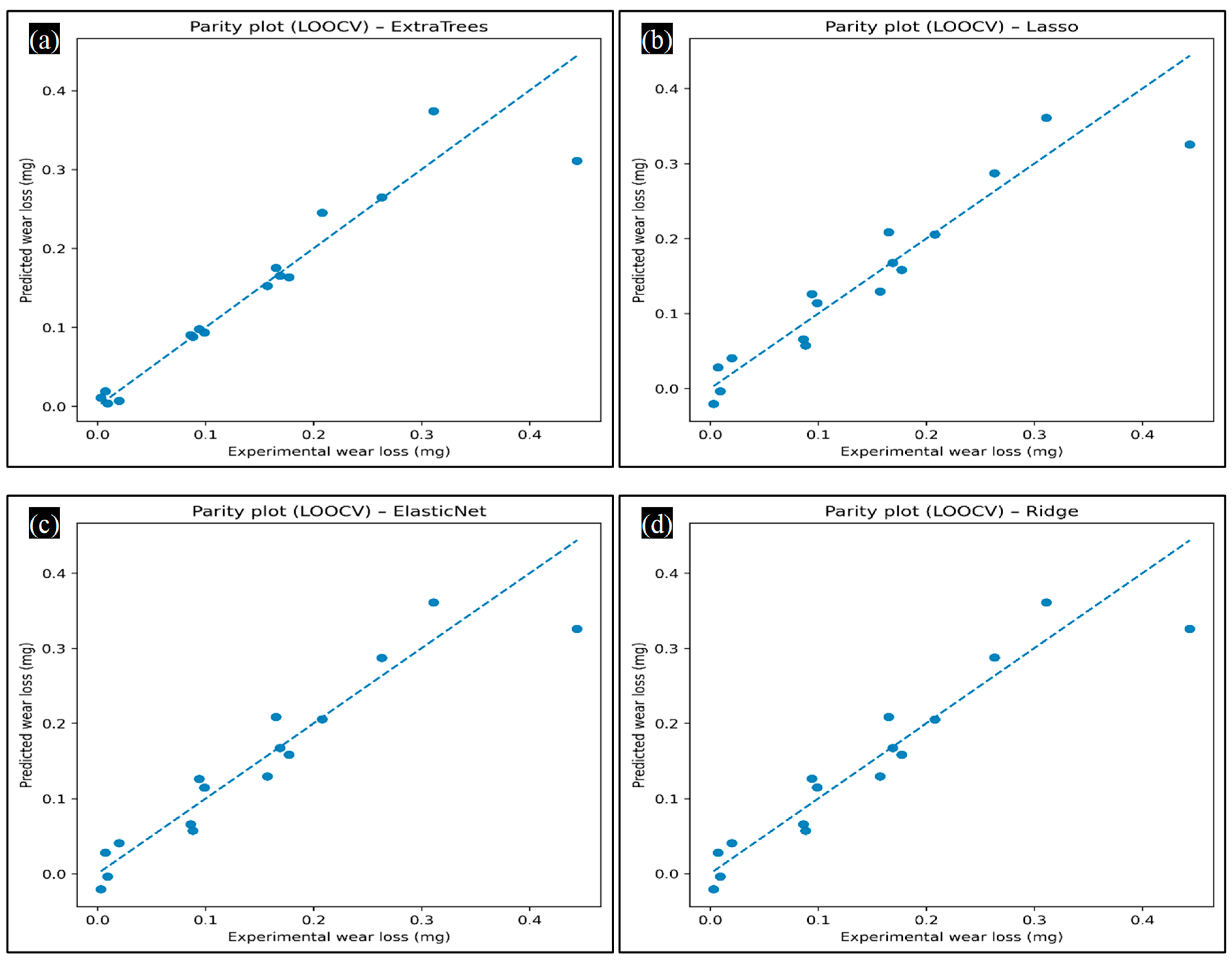
4.3. Parity Analysis of Predicted and Experimental Wear Loss
4.4. Residual Analysis and Prediction Stability
4.5. Relationship Between Surface Roughness, Operating Parameters, and Wear Behavior
4.6. Multivariate Trends and Tribological Consistency
4.7. Effect of CNT Content and Load on Wear Behavior
4.8. Three-Dimensional Interaction Effects
4.9. Feature Importance and Mechanistic Interpretation
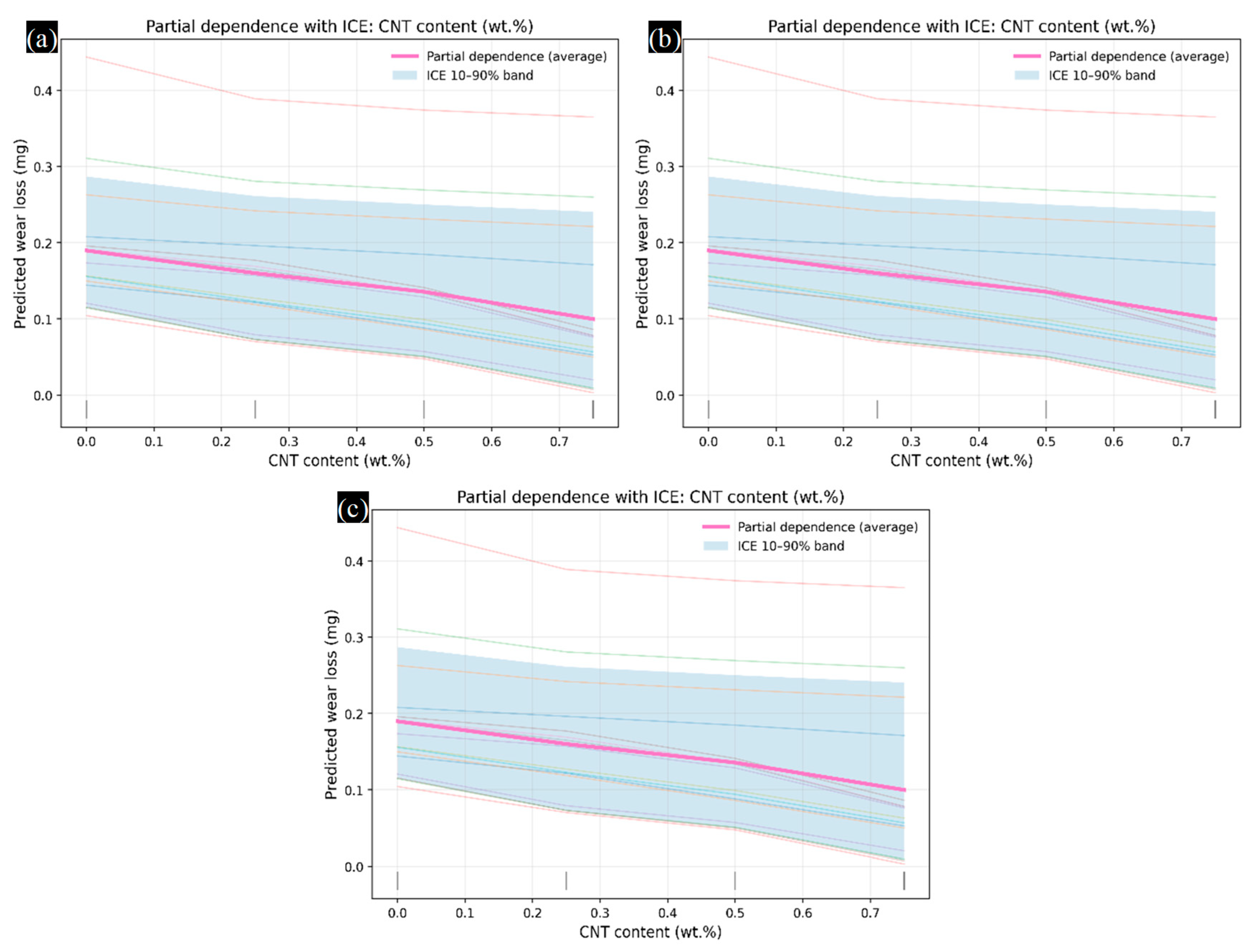
4.10. Partial Dependence Analysis of Dominant Features
4.11. Run-Wise Comparison of Experimental and Predicted Wear Loss
4.12. Three-Dimensional Response Surface Analysis of Operating Parameters
5. Conclusions
Author Contributions
Funding
Institutional Review Board Statement
Data Availability Statement
Conflicts of Interest
Abbreviations
| AFM | Atomic Force Microscopy |
| ANN | Artificial Neural Network |
| CNT | Carbon Nanotube |
| COF | Coefficient of Friction |
| DoE | Design of Experiments |
| ET | Extra Trees (regression) |
| LOOCV | Leave-One-Out Cross-Validation |
| MAE | Mean Absolute Error |
| ML | Machine Learning |
| MWCNT | Multi-Walled Carbon Nanotube |
| PDP | Partial Dependence Plot |
| Ra | Arithmetic Average Surface Roughness |
| Rq | Root Mean Square Surface Roughness |
| RF | Random Forest |
| RMSE | Root Mean Square Error |
| R2 | Coefficient of Determination |
| SDG | Sustainable Development Goal |
| SEM | Scanning Electron Microscopy |
| SVR | Support Vector Regression |
References
- Ren, Y.; Zhang, L.; Xie, G.; Li, Z.; Chen, H.; Gong, H.; Xu, W.; Guo, D.; Luo, J. A review on tribology of polymer composite coatings. Friction 2021, 9, 429–470. [Google Scholar] [CrossRef]
- Aziz, T.; Haq, F.; Farid, A.; Cheng, L.; Chuah, L.F.; Bokhari, A.; Mubashir, M.; Tang, D.Y.Y.; Show, P.L. The epoxy resin system: Function and role of curing agents. Carbon Lett. 2024, 34, 477–494. [Google Scholar] [CrossRef]
- Liu, J.; Zhang, L.; Shun, W.; Dai, J.; Peng, Y.; Liu, X. Recent development on bio-based thermosetting resins. J. Polym. Sci. 2021, 59, 1474–1490. [Google Scholar] [CrossRef]
- Dhairiyasamy, R.; Bassi, W.; Algethami, A.A.; Saleh, B.; Jaganathan, S.; Varshney, D.; Singh, S. Advanced epoxy composites for tribological Applications: Investigating the role of hybrid ceramic and lubricant fillers. Polym. Test. 2025, 150, 108932. [Google Scholar] [CrossRef]
- Kumar, S.S.; Shyamala, P.; Pati, P.R.; Mishra, D.K.; Sharma, V.; Tank, G.; Kanan, M. Investigation and machine learning-based prediction of mechanical properties in hybrid natural fiber composites. Sci. Rep. 2025, 15, 33700. [Google Scholar] [CrossRef]
- Shukla, M.K.; Sharma, K. Effect of Carbon Nanofillers on the Mechanical and Interfacial Properties of Epoxy Based Nanocomposites: A Review. Polym. Sci. Ser. A 2019, 61, 439–460. [Google Scholar] [CrossRef]
- Sallakhniknezhad, R.; Ahmadian, H.; Zhou, T.; Weijia, G.; Anantharajan, S.K.; Sadoun, A.M.; Abdelfattah, W.M.; Fathy, A. Recent Advances and Applications of Carbon Nanotubes (CNTs) in Machining Processes: A Review. J. Manuf. Mater. Process. 2024, 8, 282. [Google Scholar] [CrossRef]
- Leena, S.; Nanoth, R.; Karingamanna, J.; B, S.N.; Bhagavatula, S.G.K.; Rajan, K.P.; Gopanna, A. Investigations on morphology, tribology, rheology, thermo-mechanical properties, and EMI shielding of WC/MWCNT nanohybrids in polypropylene. J. Reinf. Plast. Compos. 2025, 44, 1603–1631. [Google Scholar] [CrossRef]
- Duan, K.; Li, L.; Wang, F.; Liu, S.; Hu, Y.; Wang, X. New insights into interface interactions of CNT-reinforced epoxy nanocomposites. Compos. Sci. Technol. 2021, 204, 108638. [Google Scholar] [CrossRef]
- Agrawal, S.; Singh, N.; Singh, Y.; Upadhyay, R. Tribological study and parameters optimisation of CNT added glass fibre reinforced polymer composite sliding under inert environment. Adv. Mater. Process. Technol. 2023, 9, 1283–1298. [Google Scholar] [CrossRef]
- Boublia, A.; Lebouachera, S.E.I.; Haddaoui, N.; Guezzout, Z.; Ghriga, M.A.; Hasanzadeh, M.; Benguerba, Y.; Drouiche, N. State-of-the-art review on recent advances in polymer engineering: Modeling and optimization through response surface methodology approach. Polym. Bull. 2023, 80, 5999–6031. [Google Scholar] [CrossRef]
- Choudhari, A.; Gupta, A.K.; Kumar, A.; Kumar, A.; Gupta, A.; Chowdhury, N.; Kumar, A. Wear and Friction Mechanism Study in Knee and Hip Rehabilitation: A Comprehensive Review. In Applications of Biotribology in Biomedical Systems; Springer Nature Switzerland: Cham, Switzerland, 2024; pp. 345–432. [Google Scholar]
- Olejnik, P.; Desta, Y.D. Friction-induced interactions: Acoustic emissions, vibrations, and wear—A multiscale review. Nonlinear Dyn. 2025, 113, 24101–24140. [Google Scholar] [CrossRef]
- Paturi, U.M.R.; Palakurthy, S.T.; Reddy, N.S. The Role of Machine Learning in Tribology: A Systematic Review. Arch. Comput. Methods Eng. 2023, 30, 1345–1397. [Google Scholar] [CrossRef]
- Sose, A.T.; Joshi, S.Y.; Kunche, L.K.; Wang, F.; Deshmukh, S.A. A review of recent advances and applications of machine learning in tribology. Phys. Chem. Chem. Phys. 2023, 25, 4408–4443. [Google Scholar] [CrossRef]
- Marian, M.; Tremmel, S. Current Trends and Applications of Machine Learning in Tribology—A Review. Lubricants 2021, 9, 86. [Google Scholar] [CrossRef]
- Singh, K.S.K.; Kumar, S.; Singh, K.K. Computational data-driven based optimization of tribological performance of graphene filled glass fiber reinforced polymer composite using machine learning approach. Mater. Today Proc. 2022, 66, 3838–3846. [Google Scholar] [CrossRef]
- Sharma, H.; Arora, G.; Singh, M.K.; Ayyappan, V.; Bhowmik, P.; Rangappa, S.M.; Siengchin, S. Review of machine learning approaches for predicting mechanical behavior of composite materials. Discov. Appl. Sci. 2025, 7, 1238. [Google Scholar] [CrossRef]
- Huang, J.-C.; Ko, K.-M.; Shu, M.-H.; Hsu, B.-M. Application and comparison of several machine learning algorithms and their integration models in regression problems. Neural Comput. Appl. 2020, 32, 5461–5469. [Google Scholar] [CrossRef]
- Karuppusamy, M.; Thirumalaisamy, R.; Palanisamy, S.; Nagamalai, S.; El Sayed Massoud, E.; Ayrilmis, N. A review of machine learning applications in polymer composites: Advancements, challenges, and future prospects. J. Mater. Chem. A 2025, 13, 16290–16308. [Google Scholar] [CrossRef]
- Florea, V.A.; Toderaș, M.; Danciu, C. The Influence of Roughness of Surfaces on Wear Mechanisms in Metal–Rock Interactions. Coatings 2025, 15, 150. [Google Scholar] [CrossRef]
- Çevik, Z.A.; Sarıışık, G. A Machine Learning-Driven Optimization of Machining Parameters for Nanoclay-Glass Fiber Polymer-Reinforced Composites for Performance Prediction and Process Enhancement. J. Tribol. 2025, 147, 091117. [Google Scholar] [CrossRef]
- Nguyen, T.A.; Bui, T.T.T.; Nguyen, T.H.; Dam, X.T.; Dang, H.T. Artificial intelligence-assisted design of green-chemically treated banana fiber/epoxy composites for enhanced mechanical and fire-resistant performance. Polym. Bull. 2026, 83, 94. [Google Scholar] [CrossRef]
- Tian, J.; Qi, X.; Li, C.; Xian, G. Friction behaviors and wear mechanisms of multi-filler reinforced epoxy composites under dry and wet conditions: Effects of loads, sliding speeds, temperatures, water lubrication. Tribol. Int. 2023, 179, 108148. [Google Scholar] [CrossRef]
- Sulong, A.B.; Park, J.; Lee, N.; Goak, J. Wear Behavior of Functionalized Multi-walled Carbon Nanotube Reinforced Epoxy Matrix Composites. J. Compos. Mater. 2006, 40, 1947–1960. [Google Scholar] [CrossRef]
- Cui, L.-J.; Geng, H.-Z.; Wang, W.-Y.; Chen, L.-T.; Gao, J. Functionalization of multi-wall carbon nanotubes to reduce the coefficient of the friction and improve the wear resistance of multi-wall carbon nanotube/epoxy composites. Carbon 2013, 54, 277–282. [Google Scholar] [CrossRef]
- Mucha, M.; Krzyzak, A.; Kosicka, E.; Coy, E.; Kościński, M.; Sterzyński, T.; Sałaciński, M. Effect of MWCNTs on Wear Behavior of Epoxy Resin for Aircraft Applications. Materials 2020, 13, 2696. [Google Scholar] [CrossRef]
- Tong, Z.; Du, J.; Li, X.; Liu, Z.; Yan, C.; Lei, W. Fabrication and Tribological Properties of Epoxy Nanocomposites Reinforced by MoS2 Nanosheets and Aligned MWCNTs. Materials 2024, 17, 4745. [Google Scholar] [CrossRef]
- Zhang, L.; Xie, G.; Wu, S.; Peng, S.; Zhang, X.; Guo, D.; Wen, S.; Luo, J. Ultralow friction polymer composites incorporated with monodispersed oil microcapsules. Friction 2021, 9, 29–40. [Google Scholar] [CrossRef]
- Yang, K.; Niu, Y.; Li, Y.; Wang, X.; Du, S.; Zhang, Y. Preparation of double-core microcapsules and tribological properties of epoxy composites. Tribol. Int. 2023, 186, 108597. [Google Scholar] [CrossRef]
- Yang, K.; Niu, Y.; Wang, X.; Du, S.; Zhang, Y.; Zhang, J.; Cai, J. Self-lubricating epoxy composite coating with linseed oil microcapsule self-healing functionality. J. Appl. Polym. Sci. 2024, 141, e54927. [Google Scholar] [CrossRef]
- Upadhyay, R.K.; Kumar, A. Effect of humidity on the synergy of friction and wear properties in ternary epoxy-graphene-MoS2 composites. Carbon 2019, 146, 717–727. [Google Scholar] [CrossRef]
- Mahmood, O.A. Modeling and optimization of the tribological properties of an epoxy resin reinforced with nano graphene oxide nano Al2O3/MoS2 particles by RSM. AIMS Mater. Sci. 2025, 12, 1107–1125. [Google Scholar] [CrossRef]
- Borjali, A.; Monson, K.; Raeymaekers, B. Predicting the polyethylene wear rate in pin-on-disc experiments in the context of prosthetic hip implants: Deriving a data-driven model using machine learning methods. Tribol. Int. 2019, 133, 101–110. [Google Scholar] [CrossRef] [PubMed]
- Jayasinghe, R.; Ramezani, M. AI-powered prediction of friction and wear in functionalized Epoxy-MWCNT composites. Wear 2025, 582–583, 206333. [Google Scholar] [CrossRef]
- Hasan, M.S.; Nosonovsky, M. Triboinformatics: Machine learning algorithms and data topology methods for tribology. Surf. Innov. 2022, 10, 229–242. [Google Scholar] [CrossRef]
- Hiremath, P.; Ranjan, R.; DeSouza, V.; Bhat, R.; Patil, S.; Maddodi, B.; Shivamurthy, B.; Perez, T.C.; Naik, N. Enhanced Wear Resistance in Carbon Nanotube-Filled Bio-Epoxy Composites: A Comprehensive Analysis via Scanning Electron Microscopy and Atomic Force Microscopy. J. Compos. Sci. 2023, 7, 478. [Google Scholar] [CrossRef]













| Run | CNT wt.% | Load (N) | Speed (rpm) | Distance (m) | Severity | Ra (nm) | Rq (nm) | Z-Range (nm) | Area Diff. (%) | Wear Loss (mg) |
|---|---|---|---|---|---|---|---|---|---|---|
| 1 | 0 | 10 | 183 | 500 | L | 324.9 | 412.2 | 3567 | 81.5 | 0.208 |
| 2 | 0 | 20 | 275 | 750 | M | 361 | 458 | 3963 | 90.6 | 0.263 |
| 3 | 0 | 30 | 367 | 1000 | H | 389.9 | 494.6 | 4280 | 97.8 | 0.311 |
| 4 | 0 | 40 | 458 | 1250 | VH | 404.3 | 513 | 4439 | 101.5 | 0.444 |
| 5 | 0.25 | 30 | 183 | 750 | M | 218 | 277 | 1772 | 40.7 | 0.157 |
| 6 | 0.25 | 40 | 275 | 500 | H | 231.1 | 293.6 | 1878 | 43.1 | 0.177 |
| 7 | 0.25 | 10 | 367 | 1250 | H | 231.1 | 293.6 | 1878 | 43.1 | 0.169 |
| 8 | 0.25 | 20 | 458 | 1000 | VH | 239.8 | 304.7 | 1949 | 44.8 | 0.165 |
| 9 | 0.5 | 40 | 183 | 1000 | H | 171.2 | 225.8 | 1910 | 64.6 | 0.099 |
| 10 | 0.5 | 30 | 275 | 1250 | H | 171.2 | 225.8 | 1910 | 64.6 | 0.094 |
| 11 | 0.5 | 20 | 367 | 500 | M | 163 | 215 | 1819 | 61.5 | 0.088 |
| 12 | 0.5 | 10 | 458 | 750 | M | 163 | 215 | 1819 | 61.5 | 0.086 |
| 13 | 0.75 | 20 | 183 | 1250 | M | 98.8 | 130 | 1325 | 34.7 | 0.009 |
| 14 | 0.75 | 10 | 275 | 1000 | M | 98.8 | 130 | 1325 | 34.7 | 0.003 |
| 15 | 0.75 | 40 | 367 | 750 | H | 102.8 | 135.2 | 1378 | 36.1 | 0.02 |
| 16 | 0.75 | 30 | 458 | 500 | H | 102.8 | 135.2 | 1378 | 36.1 | 0.007 |
Disclaimer/Publisher’s Note: The statements, opinions and data contained in all publications are solely those of the individual author(s) and contributor(s) and not of MDPI and/or the editor(s). MDPI and/or the editor(s) disclaim responsibility for any injury to people or property resulting from any ideas, methods, instructions or products referred to in the content. |
© 2026 by the authors. Licensee MDPI, Basel, Switzerland. This article is an open access article distributed under the terms and conditions of the Creative Commons Attribution (CC BY) license.
Share and Cite
Keshyagol, K.; Hiremath, P.; Shetty, S.; K., J.P.; Shenoy Heckadka, S.; Kowshik, S.; H. S., A. Surface Aware Triboinformatics Framework for Wear Prediction of MWCNT Reinforced Epoxy Composites Using Run-Wise AFM Descriptors and Machine Learning. J. Compos. Sci. 2026, 10, 113. https://doi.org/10.3390/jcs10020113
Keshyagol K, Hiremath P, Shetty S, K. JP, Shenoy Heckadka S, Kowshik S, H. S. A. Surface Aware Triboinformatics Framework for Wear Prediction of MWCNT Reinforced Epoxy Composites Using Run-Wise AFM Descriptors and Machine Learning. Journal of Composites Science. 2026; 10(2):113. https://doi.org/10.3390/jcs10020113
Chicago/Turabian StyleKeshyagol, Kiran, Pavan Hiremath, Sushan Shetty, Jayashree P. K., Srinivas Shenoy Heckadka, Suhas Kowshik, and Arunkumar H. S. 2026. "Surface Aware Triboinformatics Framework for Wear Prediction of MWCNT Reinforced Epoxy Composites Using Run-Wise AFM Descriptors and Machine Learning" Journal of Composites Science 10, no. 2: 113. https://doi.org/10.3390/jcs10020113
APA StyleKeshyagol, K., Hiremath, P., Shetty, S., K., J. P., Shenoy Heckadka, S., Kowshik, S., & H. S., A. (2026). Surface Aware Triboinformatics Framework for Wear Prediction of MWCNT Reinforced Epoxy Composites Using Run-Wise AFM Descriptors and Machine Learning. Journal of Composites Science, 10(2), 113. https://doi.org/10.3390/jcs10020113

