Advances in Composite Materials and String Technologies for Optimised Tennis Equipment Performance
Abstract
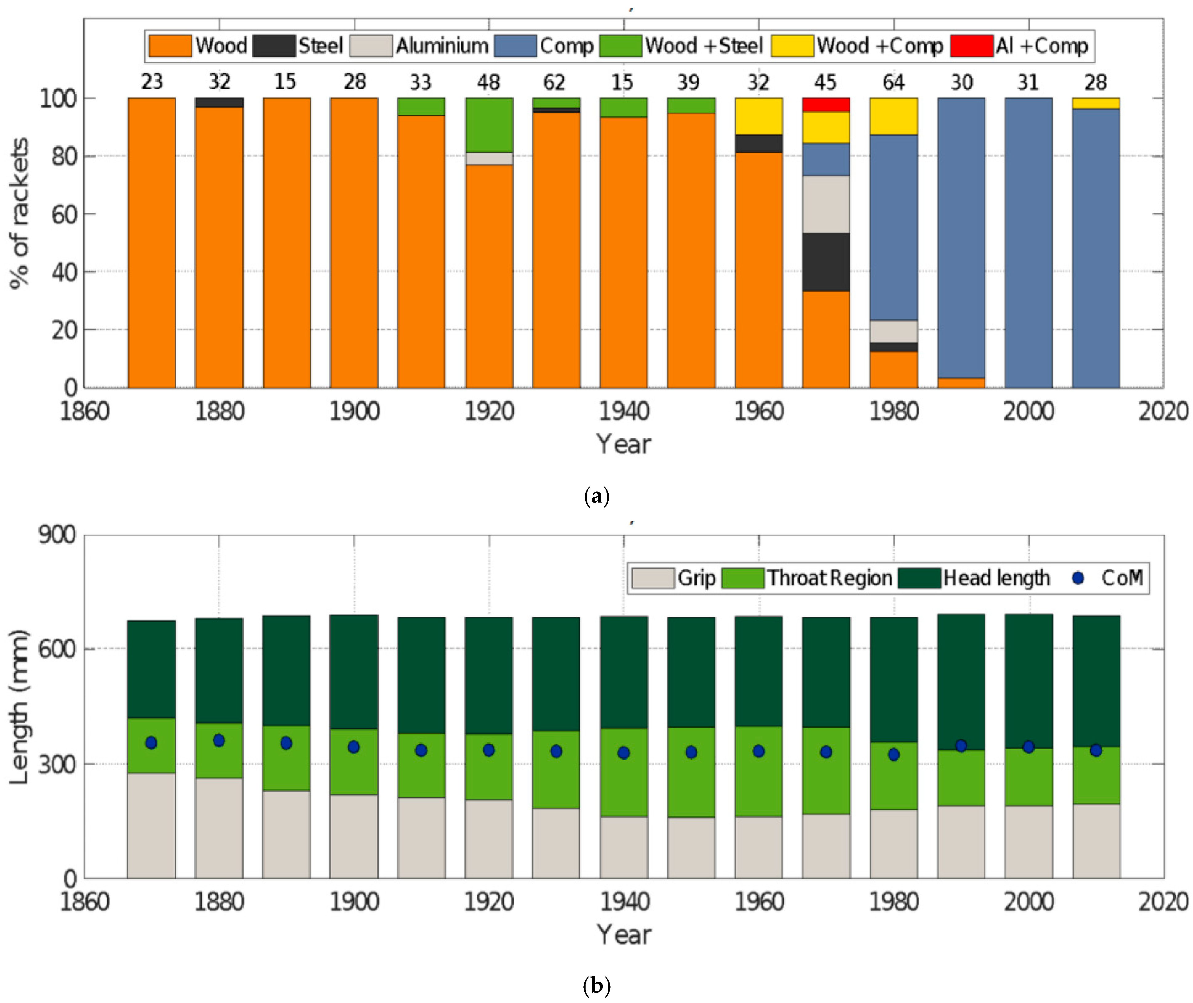
1. Introduction
2. Materials
2.1. Tennis Racquets
2.1.1. Matrix Materials
2.1.2. Reinforcement Materials
2.2. Tennis String
2.2.1. Natural Gut
2.2.2. Kevlar
2.2.3. Polyester
2.2.4. Nylon/Synthetic Gut
2.2.5. Hybrid String Setups
3. Manufacturing Methods
3.1. Prepreg Layup and Autoclave Curing
3.2. Hollow Moulding Process
3.3. Quality Control Procedures
3.4. Finishing Process
- Removing excess resin from the moulding process;
- Any surface inconsistencies are filled with body putty and sanded;
- Frames are painted;
- Final heating;
- Detailed aesthetics added.
4. Performance Properties and Ergonomics
4.1. Mechanical Properties
4.1.1. Stiffness and Strength
- There was no clear relationship between stiffness and frame width;
- Composite racquets with narrow frames tend to have higher stiffness than wooden racquets with wide frames (due to composites’ inherent higher Young’s modulus);
- Frame depth is more important than frame width for stiffer racquets.
4.1.2. Vibration Damping
4.1.3. Uniform Properties for Tennis Strings
4.2. Stringbed
4.3. Player Considerations
4.3.1. Equipment Perception and Performance Feedback
4.3.2. Stroke Technique and Equipment Interaction
5. Principles for Tennis
5.1. Tennis Ball and Racquet Constraints
5.2. Mechanics of Individual Strings
5.3. Mechanics of Stringbed
5.4. Testing Methods
5.4.1. Mechanical Testing
5.4.2. Numerical Analysis
6. Application
6.1. Global Market for Composites
6.2. Materials in Sports
6.2.1. Equipment
6.2.2. Comfort of Sports and Fitness Facilities
7. Conclusions and Outlook
7.1. Summary
7.2. Future Work
Author Contributions
Funding
Data Availability Statement
Acknowledgments
Conflicts of Interest
Abbreviations
| CNTs | Carbon nanotubes |
| CoM | Centre of mass |
| COP | Centre of percussion |
| COR | Coefficient of restitution |
| FEA | Finite element analysis |
| GO | Graphene oxide |
| ITF | International Tennis Federation |
| OOA | Out-of-autoclave |
| PET | Polyethylene terephthalate |
| PP | Polypropylene |
References
- Cross, R.; Bower, R. Effects of swing-weight on swing speed and racquet power. J. Sports Sci. 2006, 24, 23–30. [Google Scholar] [CrossRef]
- Liu, J. Aramid Fiber Composites for Sporting Equipment: Exploring Preparation Methods and Mechanical Properties. Sci. Adv. Mater. 2023, 15, 1598–1604. [Google Scholar] [CrossRef]
- Sreejith, M.; Rajeev, R.S. 25—Fiber reinforced composites for aerospace and sports applications. In Fiber Reinforced Composites; Joseph, K., Oksman, K., George, G., Wilson, R., Appukuttan, S., Eds.; Woodhead Publishing: Cambridge, UK, 2021; pp. 821–859. [Google Scholar] [CrossRef]
- Li, Q.; Ahmed, I.; Ngoc, P.M.; Hoa, T.P.; Dieu, T.V.; Irshad, M.S.; Nang, H.X.; Dao, V.-D. Contemporary advances in polymer applications for sporting goods: Fundamentals, properties, and applications. RSC Adv. 2024, 14, 37445–37469. [Google Scholar] [CrossRef]
- McIlhagger, A.; Archer, E.; McIlhagger, R. Manufacturing processes for composite materials and components for aerospace applications. In Polymer Composites in the Aerospace Industry; Elsevier: Amsterdam, The Netherlands, 2020; pp. 59–81. [Google Scholar]
- Saitoh, M.; Okada, A. The role of string in hybrid string structure. Eng. Struct. 1999, 21, 756–769. [Google Scholar] [CrossRef]
- Taraborrelli, L.; Grant, R.; Sullivan, M.; Choppin, S.; Spurr, J.; Haake, S.; Allen, T. Materials Have Driven the Historical Development of the Tennis Racquet. Appl. Sci. 2019, 9, 4352. [Google Scholar] [CrossRef]
- Jiang, G.Y. Impact of new composite material technology on the performance of the tennis racquets. Appl. Mech. Mater. 2014, 484, 114–117. [Google Scholar] [CrossRef]
- Lammer, H.; Kotze, J. Materials and tennis racquets. Mater. Sports Equip. 2003, 1, 222–248. [Google Scholar]
- Frostick, S.P.; Mohammad, M.; Ritchie, D.A. Sport injuries of the elbow. Br. J. Sports Med. 1999, 33, 301. [Google Scholar] [CrossRef]
- Carboch, J.; Váchová, G. Injury Occurrence and Localization in Tennis: Perspectives on Prevention and Physiotherapy. Int. J. Phys. Educ. Fit. Sports 2024, 13, 51–63. [Google Scholar] [CrossRef]
- Meyers, M.A.; Chawla, K.K. Mechanical Behavior of Materials; Cambridge University Press: Cambridge, UK, 2008. [Google Scholar]
- Cao, T.; Shi, X.L.; Zou, J.; Chen, Z.G. Advances in conducting polymer-based thermoelectric materials and devices. Microstructures 2021, 1, 2021007. [Google Scholar] [CrossRef]
- Sajan, S.; Philip Selvaraj, D. A review on polymer matrix composite materials and their applications. Mater. Today Proc. 2021, 47, 5493–5498. [Google Scholar] [CrossRef]
- Islam, S.; Hasan, M.B.; Karim, F.E.; Kodrić, M.; Islam, M.R.; Khatun, M.M.; Motaleb, K.A. Thermoset and thermoplastic polymer composites reinforced with flax fiber: Properties and application—A review. SPE Polym. 2025, 6, e10172. [Google Scholar] [CrossRef]
- Clyne, T.W.; Hull, D. An Introduction to Composite Materials; Cambridge University Press: Cambridge, UK, 2019. [Google Scholar]
- Tang, L.-C.; Wan, Y.-J.; Yan, D.; Pei, Y.-B.; Zhao, L.; Li, Y.-B.; Wu, L.-B.; Jiang, J.-X.; Lai, G.-Q. The effect of graphene dispersion on the mechanical properties of graphene/epoxy composites. Carbon 2013, 60, 16–27. [Google Scholar] [CrossRef]
- Mukherjee, A.; Dasgupta Ghosh, B.; Ghosh, A.; Roy, S. Polyvinylidene fluoride nanocomposites as piezoelectric nanogenerator: Properties, fabrication and market applications. Adv. Eng. Mater. 2024, 26, 2400445. [Google Scholar] [CrossRef]
- Jin, H.; Zhang, B.; Duan, X. Impact of nanocomposite material to counter injury in physical sport in the tennis racquet. Adv. Nano Res. 2023, 14, 435. [Google Scholar]
- Singh, J.; Srivastawa, K.; Jana, S.; Dixit, C. Advancements in lightweight materials for aerospace structures: A comprehensive review. Acceleron Aerosp. J. 2024, 2, 173–183. [Google Scholar] [CrossRef]
- Mallick, P.K. Fiber-Reinforced Composites: Materials, Manufacturing, and Design; CRC Press: Boca Raton, FL, USA, 2007. [Google Scholar]
- Bledzki, A.K.; Gassan, J. Composites reinforced with cellulose based fibres. Prog. Polym. Sci. 1999, 24, 221–274. [Google Scholar] [CrossRef]
- Fan, Q.; Duan, H.; Xing, X. A review of composite materials for enhancing support, flexibility and strength in exercise. Alex. Eng. J. 2024, 94, 90–103. [Google Scholar] [CrossRef]
- Mirdehghan, S.A. Fibrous polymeric composites. In Engineered Polymeric Fibrous Materials; Woodhead Publishing: Cambridge, UK, 2021; pp. 1–58. [Google Scholar]
- Wang, F. Application of new carbon fiber material in sports equipment. In IOP Conference Series: Earth and Environmental Science; IOP Publishing: Bristol, UK, 2021; Volume 714. [Google Scholar]
- Kunar, S.; Charkha, P.; Jaju, S.; Tiwari, H. Functional Composites: Role in Modern Engineering; John Wiley & Sons: Hoboken, NJ, USA, 2025. [Google Scholar]
- Koronas, V.; Tohănean, D.I. Evolution of material for tennis racquet frame manufacture. Theory Pract. Phys. Cult. 2021, 5, 66–69. [Google Scholar]
- Young, R.J.; Liu, M. The microstructure of a graphene-reinforced tennis racquet. J. Mater. Sci. 2016, 51, 3861–3867. [Google Scholar] [CrossRef]
- Leigh, D.; Lui, W. Dynamics of the interactions between ball, strings, and racquet in tennis. Int. J. Sport Biomech. 1992, 8, 181–206. [Google Scholar] [CrossRef]
- Cross, R. Properties of Tennis Equipment: Balls that bite, racquets that don’t vibrate and strings don’t make any difference. Lond. Int. Tennis Fed. 2003, 2, 17–29. [Google Scholar]
- Brody Taraborrelli, H.; Choppin, L.; Haake, S.; Mohr, S.; Allen, S. Effect of materials and design on the bending stiffness of tennis racquets. Eur. J. Phys. 1987, 42, 065005. [Google Scholar] [CrossRef]
- Kawazoe, Y.; Takeda, Y.; Nakagawa, M. Effect of Notched Strings on Tennis Racquet Spin Performance: Ultrahigh-Speed Video Analysis of Spin Rate, Contact Time, and Post-Impact Ball Velocity. J. Syst. Des. Dyn. 2012, 6, 213–226. [Google Scholar]
- Van de Velde, K. Textile composites in sports products. In Textiles in Sport; Elsevier: Amsterdam, The Netherlands, 2005; pp. 309–322. [Google Scholar]
- Shoulders, M.D.; Raines, R.T. Collagen structure and stability. Annu. Rev. Biochem. 2009, 78, 929–958. [Google Scholar] [CrossRef]
- Thingbaijam, N.; Vaishnav, H. Measuring the Optimal String Tensions of String Materials Under Different Conditions. Inter-Natl. J. Softw. Hardw. Res. Eng. 2025, 13, 5–14. [Google Scholar] [CrossRef]
- Luong, M.P. Infrared observations of the mechanical performance of tennis strings. In Proceedings of the Thermosense XXIII, Orlando, FL, USA, 16–20 April 2001. [Google Scholar]
- Cross, R.; Lindsey, C.; Andruczyk, D. Laboratory testing of tennis strings. Sports Eng. 2000, 3, 219–230. [Google Scholar] [CrossRef]
- Lynch-Aird, N.; Woodhouse, J. The effects of humidity changes on natural gut harp strings. Proc. Meet. Acoust. 2021, 43, 035002. [Google Scholar] [CrossRef]
- Hengst, A.; Rose, C.; van Weers, H.; den Hartog, R.; Ravensberg, K.; Dercksen, J. The thermal expansion of a Kevlar® 49 cord down to cryogenic temperatures. Cryogenics 2023, 135, 103742. [Google Scholar] [CrossRef]
- Karthik, K.; Unnam, N.K.; Thamilarasan, J.; Kolappan, S.; Rameshkumar, R. Design and analysis of cantilever beam used Kevlar fiber composite for automobile applications. Mater. Today Proc. 2022, 59, 1817–1823. [Google Scholar] [CrossRef]
- Nair, A.N.; Sundharesan, S.; Al Tubi, I.S.M. Kevlar-based composite material and its applications in body armour: A short literature review. In IOP Conference Series: Materials Science and Engineering; IOP Publishing: Bristol, UK, 2020. [Google Scholar]
- Kabir, R.B.; Ferdous, N. Kevlar-the super tough fiber. Int. J. Text. Sci. 2012, 1, 78–83. [Google Scholar] [CrossRef]
- Nasit, Y.; Patel, V. A Comparison Study on Mechanical Properties by Using Polyesters and Polypropylene Fiber Concrete. In Recent Advances in Structural Engineering—Vol. 2. RAISE 2024. Lecture Notes in Civil Engineering; Springer: Singapore, 2024. [Google Scholar]
- Cross, R. Elastic properties of plasticine, silly putty, and tennis strings. Phys. Teach. 2012, 50, 527–529. [Google Scholar] [CrossRef]
- Liu, J.; Yi, H.; Lin, H.; Zheng, B. Tennis core strings of polyamide-6 modified by surface-capped nano-silica. Appl. Surf. Sci. 2013, 265, 704–708. [Google Scholar] [CrossRef]
- Lombardi, J.L.; Calvert, P. Extrusion freeforming of Nylon 6 materials. Polymer 1999, 40, 1775–1779. [Google Scholar] [CrossRef]
- Lynch-Aird, N.; Woodhouse, J. Mechanical properties of nylon harp strings. Materials 2017, 10, 497. [Google Scholar] [CrossRef] [PubMed]
- Lynch-Aird, N.; Woodhouse, J.; Barlow, C.Y. Plastic Creep Constraint in Nylon Instrument Strings. Materials 2025, 18, 223. [Google Scholar] [CrossRef]
- Yang, S.; Fafitis, A.; Wiezel, A. Analytic study on structural behavior of the string bed in a tennis racquet. J. Mech. Sci. Technol. 2011, 25, 2615–2621. [Google Scholar] [CrossRef]
- Nicolaides, A.; Elliott, N.; Kelley, J.; Pinaffo, M.; Allen, T. Effect of string bed pattern on ball spin generation from a tennis racquet. Sports Eng. 2013, 16, 181–188. [Google Scholar] [CrossRef]
- Haines, R.; Curtis, M.; Mullaney, F.; Ramsden, G. The design, development and manufacture of a new and unique tennis racquet. Proc. Inst. Mech. Eng. Part B Manag. Eng. Manuf. 1983, 197, 71–79. [Google Scholar]
- Zaychenko, I.; Bazheryanu, V.; Gordin, S. Improving the energy efficiency of autoclave equipment by optimizing the technology of manufacturing parts from polymer composite materials. In IOP Conference Series: Materials Science and Engineering; IOP Publishing: Bristol, UK, 2020. [Google Scholar]
- Bharath, K.; Joshi, A.G.; Taj, A.; Gouda, P.S.; Nagamadhu, M. Evolution and recent advancements of composite materials in sports applications. In Applications of Composite Materials in Engineering; Elsevier: Amsterdam, The Netherlands, 2025; pp. 219–228. [Google Scholar]
- Racquet Manufacture Guidelines. International Tennis Federation. Retrieved 20 September 2019. Available online: https://www.itftennis.com (accessed on 1 November 2025).
- Ferrara, L.; Cohen, A. A mechanical study on tennis racquets to investigate design factors that contribute to reduced stress and improved vibrational dampening. Procedia Eng. 2013, 60, 397–402. [Google Scholar] [CrossRef][Green Version]
- Savage, N. Vibration Absorption in the Tennis Grip and the Effects on Racquet Dynamics. Ph.D. Thesis, RMIT University, Melbourne, Australia, 2024. [Google Scholar]
- Dang, C.; Bernetich, K.; Carter, E.; Butler, G. Mechanical Comparison of Out-of-Autoclave Prepreg Part to Conventional Autoclave Prepreg Part. In Proceedings of the American Helicopter Society 67th Annual Forum, Virginia Beach, VA, USA, 3–5 May 2011. [Google Scholar]
- Hou, Z.; Liu, P.; Tian, X.; Zhu, W.; Wang, C.; He, J.; Lan, H.; Li, D. Hybrid effect of 3D-printed coaxial continuous hybrid fibre-reinforced composites. Thin-Walled Struct. 2023, 188, 110820. [Google Scholar] [CrossRef]
- Mubashir, M.; Zarzoor, A.K.; Asim, A.; Shoaib-Ur-Rehman, M. A systematic framework for the design and material selection of composite for tennis racquet upon impact. Discov. Mater. 2024, 4, 57. [Google Scholar] [CrossRef]
- Novoselov, K.S.; Fal′ko, V.I.; Colombo, L.; Gellert, P.R.; Schwab, M.G.; Kim, K. A roadmap for graphene. Nature 2012, 490, 192–200. [Google Scholar] [CrossRef]
- Miller, S. Modern tennis racquets, balls, and surfaces. Br. J. Sports Med. 2006, 40, 401–405. [Google Scholar] [CrossRef]
- Lynch-Aird, N.; Woodhouse, J. Comparison of mechanical properties of natural gut and synthetic polymer harp strings. Materials 2018, 11, 2160. [Google Scholar] [CrossRef]
- Lin, C.; Li, C. Application and development of graphene functional materials in sports equipment: A review. J. Mater. Sci. Mater. Eng. 2025, 20, 98. [Google Scholar] [CrossRef]
- Choppin, S.; Goodwill, S.; Haake, S.; Miller, S. Ball and racquet movements recorded at the 2006 wimbledon qualifying tournament. In The Engineering of Sport 7; Springer: Berlin/Heidelberg, Germany, 2008. [Google Scholar]
- Brody, H. Physics of the tennis racquet II: The “sweet spot”. Am. J. Phys. 1981, 49, 816–819. [Google Scholar] [CrossRef]
- Hatze, H. Impact probability distribution, sweet spot, and the concept of an effective power region in tennis racquets. J. Appl. Biomech. 1994, 10, 43–50. [Google Scholar] [CrossRef]
- Choppin, S.B. Modelling of Tennis Racquet Impacts in 3D Using Elite Players. Ph.D. Thesis, University of Sheffield, Sheffield, UK, 2008. [Google Scholar]
- Brody, H. The physics of tennis. III. The ball–racquet interaction. Am. J. Phys. 1997, 65, 981–987. [Google Scholar] [CrossRef]
- Cross, R. Oblique impact of a tennis ball on the strings of a tennis racquet. Sports Eng. 2003, 6, 235–254. [Google Scholar] [CrossRef]
- Goodwill, S.; Haake, S. Ball spin generation for oblique impacts with a tennis racquet. Exp. Mech. 2004, 44, 195–206. [Google Scholar] [CrossRef]
- Brody, H. Player sensitivity to the moments of inertia of a tennis racquet. Sports Eng. 2000, 3, 145–148. [Google Scholar] [CrossRef]
- Bower, R.; Cross, R. Elite tennis player sensitivity to changes in string tension and the effect on resulting ball dynamics. Sports Eng. 2008, 11, 31–36. [Google Scholar] [CrossRef]
- Zhao, G.; Li, C.; Liu, Y. Effects of different tennis racquet string tension on forehand stroke effect and racquet dynamic impact. PLoS ONE 2025, 20, e0317442. [Google Scholar]
- Elliott, B. Biomechanics and tennis. Br. J. Sports Med. 2006, 40, 392–396. [Google Scholar] [CrossRef]
- Kwon, S.; Pfister, R.; Hager, R.L.; Hunter, I.; Seeley, M.K. Influence of tennis racquet kinematics on ball topspin angular velocity and accuracy during the forehand groundstroke. J. Sports Sci. Med. 2017, 16, 505. [Google Scholar] [PubMed]
- Whiteside, D.; Elliott, B.; Lay, B.; Reid, M. The effect of racquet swing weight on serve kinematics in elite adolescent female tennis players. J. Sci. Med. Sport 2014, 17, 124–128. [Google Scholar] [CrossRef] [PubMed]
- Nicolau Llull, G.; Delgado García, G. Effects of tennis racquet swingweight on forehand speed and accuracy in youth players. Int. J. Perform. Anal. Sport 2025, 25, 19–34. [Google Scholar] [CrossRef]
- Cross, R. Customising a tennis racquet by adding weights. Sports Eng. 2001, 4, 1–14. Available online: https://onlinelibrary.wiley.com/doi/full/10.1111/j.1460-2687.2001.00069.pp.x?casa_tken=35RSASBixn4AAAAA%3AB8U1Ugry8XOi7LlBo1EQZ2tGetsi5jwZQxEa44it4ve-tMUeWHp2WH4kFFLkNTp0bj8eablKH9t-Hi0h (accessed on 13 November 2025). [CrossRef]
- Allen, T.; Haake, S.; Goodwill, S. Comparison of a finite element model of a tennis racquet to experimental data. Sports Eng. 2009, 12, 87–98. [Google Scholar] [CrossRef]
- Haake, S.; Allen, T.; Jones, A.; Spurr, J.; Goodwill, S. Effect of inter-string friction on tennis ball rebound. Proc. Inst. Mech. Eng. Part J J. Eng. Tribol. 2012, 226, 626–635. [Google Scholar] [CrossRef]
- Goodwill, S.R.; Capel-Davies, J.; Haake, S.; Miller, S. Ball spin generation by elite players during match play. In Tennis Science and Technology; Miller, S., Capel-Davies, J., Eds.; International Tennis Federation: London, UK, 2007; Volume 3, pp. 349–356. [Google Scholar]
- Cross, R. Flexible beam analysis of the effects of string tension and frame stiffness on racquet performance. Sports Eng. 2000, 3, 111–122. [Google Scholar] [CrossRef]
- Goodwill, S.R.; Haake, S.J. Spring damper model of an impact between a tennis ball and racquet. Proc. Inst. Mech. Eng. 2001, 215, 1331–1341. [Google Scholar]
- Miah, L.; Sharmin, N.; Yasmin, J. Impact of Spindle Speed and Traveler Weight on the Tensile Properties of Yarn Explicitly the Yarn Tenacity and Elongation at Break. Int. J. Innov. Sci. 2019, 6, 1–5. [Google Scholar]
- ASTM D2256/D2256M-21; Standard Test Method for Tensile Properties of Yarns by the Single-Strand Method. ASTM International: West Conshohocken, PA, USA, 2021.
- Zhang, H.; Jabbar, A.; Li, A.; Wang, X.; Yang, D.; Tausif, M. Image-based finite element modelling of fibre dynamics in polyester staple spun yarns. Compos. Sci. Technol. 2025, 261, 111036. [Google Scholar] [CrossRef]
- Raj, S.S.; Kuzmin, A.M.; Subramanian, K.; Sathiamoorthyi, S.; Kandasamy, K.T. Philosophy of selecting ASTM standards for mechanical characterization of polymers and polymer composites. Mater. Plast. 2021, 58, 247–256. [Google Scholar] [CrossRef]
- ASTM D695-20; Standard Test Method for Compressive Properties of Rigid Plastics. ASTM International: West Conshohocken, PA, USA, 2020.
- Goodwill, S.R. The Dynamics of Tennis Ball Impacts on Tennis Racquets. Ph.D. Thesis, University of Sheffield, Sheffield, UK, 2002. [Google Scholar]
- Valentine, R. Tennis string-bed response measurement. In Tools and Methods for Competitive Engineering; IOS Press: Amsterdam, The Netherlands, 2018. [Google Scholar]
- Hong, H.; Han, L.; Perkins, N.; Hu, C.; Barber, J. Nonlinear membrane stiffness model of a tennis racquet string bed. Proc. Inst. Mech. Eng. Part P J. Sports Eng. Technol. 2018, 232, 57–65. [Google Scholar] [CrossRef]
- Mohammed, A.; Abdullah, A. Scanning electron microscopy (SEM): A review. In Proceedings of the 2018 International Conference on Hydraulics and Pneumatics-HERVEX, Băile Govora, Romania, 7–9 November 2018; Volume 2018, pp. 7–9. [Google Scholar]
- Sadid, M.S.; Şahin, F.; Özcan, Z.; Nasery, M. A comparative study on the modeling of beams as wire, shell, and solid elements in 3D simulation of the masonry building. In Proceedings of the 3rd International Civil Engineering and Architecture Conference, Kyoto, Japan, 17–20 March 2023. [Google Scholar] [CrossRef]
- Anas, S.; Shariq, M.; Alam, M.; Masharipova, Z.; Azizov, B. Comprehensive Methodology for Low-Velocity Drop Weight Impact Testing of Structural Slabs: Instruments, Procedures, and Analysis. In E3S Web of Conferences; EDP Sciences: London, UK, 2024. [Google Scholar]
- Ogugua, C.J.; Anton, S.V.; Tripathi, A.P.; Larrabeiti, M.D.; van Hees, S.O.; Sinke, J.; Dransfeld, C.A. Energy analysis of autoclave CFRP manufacturing using thermodynamics based models. Compos. Part A Appl. Sci. Manuf. 2023, 166, 107365. [Google Scholar] [CrossRef]
- Banwell, G.; Mohr, S.; Rothberg, S.; Roberts, J. Using experimental modal analysis to validate a finite element model of a tennis racquet. Procedia Eng. 2012, 34, 688–693. [Google Scholar] [CrossRef][Green Version]
- Kapatkar, S.S. Finite Element Model of a Tennis Racquet. Master’s Thesis, Old Dominion University, Norfolk, VA, USA, 2009. [Google Scholar]
- Alhijazi, M.; Zeeshan, Q.; Qin, Z.; Safaei, B.; Asmael, M. Finite element analysis of natural fibers composites: A review. Nanotechnol. Rev. 2020, 9, 853–875. [Google Scholar] [CrossRef]
- Camarena, E.; Anderson, E. A critical verification of beam and shell models of wind turbine blades. Compos. Struct. 2025, 360, 118999. [Google Scholar] [CrossRef]
- Ménard, F.; Cartraud, P. Solid and 3D beam finite element models for the nonlinear elastic analysis of helical strands within a computational homogenization framework. Comput. Struct. 2021, 257, 106675. [Google Scholar] [CrossRef]
- Garcia-Llona, A.; Piñero, I.; Ortega-López, V.; Santamaría, A.; Aguirre, M. Finite element method for sustainable and resilient structures made with bar and fiber-reinforced EAFS concrete. Case Stud. Constr. Mater. 2024, 20, e03032. [Google Scholar] [CrossRef]
- Mahendran, M. Applications of finite element analysis in structural engineering. In Proceedings of the International Conference on Computer Aided Engineering, Chennai, India, 24–25 October 2007; pp. 38–46. [Google Scholar]
- Allen, T.B.; Haake, S.J.; Goodwill, S.R. Effect of tennis racquet parameters on a simulated groundstroke. J. Sports Sci. 2011, 29, 311–325. [Google Scholar] [CrossRef]
- Zhu, T.; Xiao, S.-N.; Hu, G.-Z.; Yang, G.-W.; Yang, C. Crashworthiness Analysis of the Structure of Metro Vehicles Constructed from Typical Materials and the Lumped Parameter Model of Frontal Impact. Transport 2019, 34, 75–88. [Google Scholar] [CrossRef]
- Kumlu, U.; Karaçor, B.; Özkeser, B.; Aslan, A. Crashworthiness Analysis of Circular and Elliptical Cross—Sectional Beams in Vehicle Door. In Proceedings of the IV. International Siirt Conference on Scientific Rese, Siirt, Türkiye, 17–18 November 2023. [Google Scholar]
- Hsissou, R.; Seghiri, R.; Benzekri, Z.; Hilali, M.; Rafik, M.; Elharfi, A. Polymer composite materials: A comprehensive review. Compos. Struct. 2021, 262, 113640. [Google Scholar] [CrossRef]
- Wang, Y.; Thorn, T.D.S.; Liu, Y.; Advani, S.G.; Papageorgiou, D.G.; Bilotti, E.; Zhang, H. A review on energy-efficient manufacturing for high-performance fibre-reinforced composites. Compos. Part A Appl. Sci. Manuf. 2025, 192, 108779. [Google Scholar] [CrossRef]
- Feng, Q.; Wang, L.; Ahmed, A. The Effect of Polymer Composite Materials on the Comfort of Sports and Fitness Facilities. J. Nanomater. 2022, 2022, 9108458. [Google Scholar] [CrossRef]
- Sang, G.; Niu, Y.; Valikhani, N.; Sobhan, M.S. Effect of Graphene Origami Metamaterials on Dynamic Performance of Shear-Deformable Elements as Taekwondo Sport Equipment under Temperature Changes. Int. J. Struct. Stab. Dyn. 2025, 2750160. [Google Scholar] [CrossRef]
- Zhang, J.; Yeoh, G.H.; Kabir, I.I. Polyurethane materials for fire retardancy: Synthesis, structure, properties, and applications. Fire 2025, 8, 64. [Google Scholar] [CrossRef]
- Das, P.; Apanga, E.A. Introduction to Nanotechnology in Sports Science and Nutrition. In Nanofuel: The Future of Sports Nutrition: Boosting Performance with Nanotech Nutrients; Chatterjee, A., Sarkar, T., Smaoui, S., Eds.; Springer Nature: Singapore, 2025; pp. 1–24. [Google Scholar] [CrossRef]


















| Fibre | Density ) | Young’s Modulus (GPa) | Tensile Strength (GPa) |
|---|---|---|---|
| Carbon Fibre | 1800 | 250 | 4.4 |
| Glass Fibre (E-glass) | 2550 | 72 | 3.1–3.8 |
| Aramid Fibres | 1380–1440 | 60–150 | 1.5–2.5 |
| Boron Fibres | 2630 | 420 | 3.4 |
| Strings Material | Diameter (mm) | Diameter at 25 kg Force (%) | Spring Constant k () | Elongation When Tensioned to 28 kg of Force (%) | Dynamic Stiffness () | Melting Temperature (°C) |
|---|---|---|---|---|---|---|
| Natural Gut | 1.255 | 96.41 | 20 | 7–15% | 17.5–21.9 | 152 |
| Nylon (Synthetic) | 1.25–1.35 | 97.60 | 30–40 | 7–15% | 26.2–45.5 | 187–210 |
| Polyester | 1.1–1.32 | 97.98 | 40–60 | 4% | 66.4 | 182–235 |
| Kevlar | 1.25–1.40 | - | 90–140 | 1–2% | 90–140 | 370 |
| Player | Strings | Tension (kg Force) | Style of Play |
|---|---|---|---|
| Carlos Alcaraz | Babolat RPM Blast (monofilament) | 24–25 | Strings allow for heavy topspin, moderate tension for balance of control and power |
| Jannik Sinner | Head Hawk Touch | 28 | Dominant baseline style with powerful groundshots |
| Rafael Nadal | Babolat RPM Blast (monofilament) | 25 | Strings allow for heavy topspin, moderate tension for balance of control and power |
| Novak Djokovic | Babolat VS Team Natural Gut Hybrid/Luxilon Big Banger Alu Power | 26 (main) 28 (cross) | Hybrid setup with high tension in main strings and lower tension in cross strings for higher control |
| Roger Federer | Wilson Natural Gut/Luxilon Big Alu Power Rough (hybrid) | 26.5 (main) 25 (cross) | Natural gut gives power, Luxilon Alu Power Rough improves control |
| Parameters | Equation | Relevance |
|---|---|---|
| Length (m) | Provides deformed length of strings after impact. | |
| Tension (N) | Tension after deformation. | |
| Force (F) | Force of impact. | |
| Perpendicular Stiffness (N/m) | Perpendicular stiffness of strings based on impact results. | |
| Length and Tension Approximations | Since y is much smaller than for a string, the contribution by y to L and T can be approximated. | |
| Dynamic Stiffness (N/m) | Thus, for very small values of y, these extra components become negligible such that the dynamic stiffness of the strings is independent of the perpendicular stiffness. | |
| Frequency | Relates the vibration frequency of a single string of length L with average string tension T to the frequency of the whole stringbed, with just a correction of 15.7% despite noisy data [54]. | |
| Logarithmic Decrement and Damping Ratio | Given the logarithmic decrement () is dependent on the damping response of the system and the residual vibrations of stringbeds indicate an underdamped system, the following equations can be used to determine the damping response () for a string, which can then be applied to the stringbed. |
| Expected Improvement | Golf Clubs | Tennis Racquets |
|---|---|---|
| Tensile Strength | 3.9% | 5.4% |
| Fracture Strength | 3.9% | 5.2% |
| Compressive Strength | 1.7% | 2.3% |
| Compressive Modulus | 2.3% | 3.2% |
| Category | Example | Main Materials | Key Properties |
|---|---|---|---|
| Sports Equipment | Sports bike | Polyetheretherketone, polycarbonate | Strong, heat- and impact-resistant |
| Rubber track | Polyurethane rubber | Friction, solvent, oil, and aging resistance; high strength | |
| Basketball | Polyvinyl chloride | Anti-aging and corrosion resistance | |
| Recreational Gear | Table tennis | Polyester | High toughness and friction resistance |
| Racing | Natural rubber, polyisoprene | High elasticity for racing tires | |
| Footwear and Protection | Sports shoes | styrene-butadiene rubber, polystyrene-butadiene | Anti-wet, low rolling resistance |
| Protective equipment | Nitrile rubber, acrylonitrile-butadiene copolymer | Oil, aging, and friction resistance |
| Function | Nanotechnology Feature | Sporting Examples |
|---|---|---|
| Performance and Recovery | Enhanced blood circulation, electronic textiles | Therapeutic gear, sensor-embedded clothing |
| Protection and Durability | Water-proof, Self-cleaning, UV protection | Outdoor and water sports gear, tents, cycling wear |
| Comfort and Hygiene | Comfort, antibacterial | Everyday sportswear and shoes |
| Thermal Regulation | Protection from cold and heat | Skiing, diving, mountaineering clothes |
| Category | Example Applications | Nanotech Used | Performance Benefits |
|---|---|---|---|
| Precision and Control | Golf clubs, golf balls | Nanoparticles, CNT coatings | Improved control, uniformity, and directional accuracy |
| Durability and Strength | Hockey gear, ski/snowboard equipment | CNTs, nanomaterial coatings | Enhanced stiffness, strength, and fatigue tolerance |
| Speed and Efficiency | Swimwear, sport cars | Nanotech coatings, CNT structures | Reduced drag, lighter materials, better aerodynamics |
| Protection and Safety | Helmets, smart sensors | Nanocomposites, smart foams | Impact resistance, real-time monitoring |
| Comfort and Hygiene | Footwear, sports balls | Nanocoatings, AgNP, nanoclay | Waterproofing, odour resistance, stable pressure |
Disclaimer/Publisher’s Note: The statements, opinions and data contained in all publications are solely those of the individual author(s) and contributor(s) and not of MDPI and/or the editor(s). MDPI and/or the editor(s) disclaim responsibility for any injury to people or property resulting from any ideas, methods, instructions or products referred to in the content. |
© 2026 by the authors. Licensee MDPI, Basel, Switzerland. This article is an open access article distributed under the terms and conditions of the Creative Commons Attribution (CC BY) license.
Share and Cite
Danis, A.; Zhang, J.; Kabir, I.I. Advances in Composite Materials and String Technologies for Optimised Tennis Equipment Performance. J. Compos. Sci. 2026, 10, 37. https://doi.org/10.3390/jcs10010037
Danis A, Zhang J, Kabir II. Advances in Composite Materials and String Technologies for Optimised Tennis Equipment Performance. Journal of Composites Science. 2026; 10(1):37. https://doi.org/10.3390/jcs10010037
Chicago/Turabian StyleDanis, Andy, Jiemin Zhang, and Imrana I. Kabir. 2026. "Advances in Composite Materials and String Technologies for Optimised Tennis Equipment Performance" Journal of Composites Science 10, no. 1: 37. https://doi.org/10.3390/jcs10010037
APA StyleDanis, A., Zhang, J., & Kabir, I. I. (2026). Advances in Composite Materials and String Technologies for Optimised Tennis Equipment Performance. Journal of Composites Science, 10(1), 37. https://doi.org/10.3390/jcs10010037
