Next Article in Journal
Development of Nanostructured Composite Coating with Antibacterial Properties on Anodized Stainless Steel
Previous Article in Journal
Monitoring Microcracking and Leakage of a Hydrogen Tank Using Fiber Optics and the Thermal Expansion
Previous Article in Special Issue
Degradation of Tensile Properties in CFRCM Composites Under Anodic Polarization: Role of Standardized Electrolyte Solutions
 
 
Font Type:
Arial Georgia Verdana
Font Size:
Aa Aa Aa
Line Spacing:
Column Width:
Background:
Article

Mechanical and Microstructural Performance of Fly Ash-Based Geopolymer Mortar Activated by Silica Fume-Derived Sodium Silicate

Department of Civil Engineering, University of Victoria, Victoria, BC V8P 5C2, Canada
*
Author to whom correspondence should be addressed.
J. Compos. Sci. 2026, 10(1), 22; https://doi.org/10.3390/jcs10010022
Submission received: 14 November 2025 / Revised: 16 December 2025 / Accepted: 19 December 2025 / Published: 5 January 2026
(This article belongs to the Special Issue Composite Materials for Civil Engineering Applications)

Abstract

The construction industry faces growing pressure to adopt sustainable materials due to the high CO2 emissions associated with ordinary Portland cement (OPC) production. Geopolymers synthesized from industrial by-products such as fly ash offer a promising low-carbon alternative. However, the extensive use of commercial sodium silicate (SSC) as an activator remains constrained by its high cost and energy-intensive manufacturing. This study investigates a silica fume-derived sodium silicate alternative (SSA) combined with NaOH as a more sustainable activator for fly ash-based geopolymer mortar. Mortars were prepared with alkali activator-to-precursor (AA/P) ratios of 0.7 and 0.5 and cured at 65 °C and 80 °C. SSA-based mixes exhibited comparable flowability to SSC-based mortars, with slightly longer setting times making them favorable for placement. Mechanical tests showed the superior performance of SSA systems, with AS0.7-65 achieving the highest compressive strength and AS0.7-80 demonstrating greater flexural and tensile strength. Microstructural analyses (SEM, EDX, ATR-FTIR) revealed denser matrices and enhanced sodium aluminosilicate hydrate (N-A-S-H) and calcium-rich N(C)-A-S-H gel formation. Economic assessment indicated approximately 30% cost reduction and a modest (~2%) decrease in CO2 emissions. These findings highlight SSA as a technically viable and sustainable activator for next-generation geopolymer construction.

1. Introduction

Traditional construction materials, particularly ordinary Portland cement (OPC), are associated with high CO2 emissions that raise significant environmental concerns. Concrete is the second most utilized substance globally after water, with annual consumption exceeding 30 billion tons. The production of OPC emits approximately 630–800 kg of CO2 per ton, depending on the fuel source and the decarbonation of limestone required to form clinker phases such as C3S and C2S [1]. Consequently, the search for alternative binders that avoid the energy-intensive clinkerization process has become a major research focus [2].
Fly ash-based geopolymers have emerged as one of the most promising alternatives, using industrial by-products such as fly ash to reduce energy demand and minimize carbon footprints. These aluminosilicate binders are formed by alkaline activation, producing three-dimensional inorganic polymer networks [3]. Geopolymers are valued for their high mechanical strength, low shrinkage, thermal stability, and fire resistance [4]. More recently, they have also gained attention as specialized binders for 3D printing, due to their rapid setting and early strength development [5]. However, widespread implementation has been hindered by the reliance on commercial alkaline activators, most notably sodium silicate (SSC). These activators are not only costly but also associated with additional CO2 emissions that offset some of the sustainability benefits of geopolymers.
Rapid geopolymerization reactions take place when natural or artificial alumino-silicate precursors such as Fly ash, Ground Granulated blast Furnace Slag (GGBS), red mud, volcanic ash, calcined clays, etc., react with alkaline solutions such as NaOH (sodium hydroxide), KOH (potassium hydroxide), or a mixture of these hydroxide solutions and their corresponding silicate solutions [6]. Hydroxide activators promote crystallinity in geopolymers by dissolving aluminosilicate precursors, thereby increasing the availability of aluminum and silicon ions necessary for the formation of crystalline structures [7,8]. Geopolymers activated with NaOH demonstrate enhanced resistance to acids and sulfates and improved thermal stability and mechanical strength [9]. Silicate-based activators, such as sodium silicate (Na2SiO3) and potassium silicate (K2SiO3), introduce additional silicate species that create a more cross-linked amorphous network, leading to higher ductility and improved chemical resistance [10]. Binary combinations of hydroxides and silicates balance these effects, yielding denser and more homogeneous microstructures [11]. Sodium-based activators are generally more effective than potassium-based ones, producing higher compressive strength and a refined pore structure [12]. However, sodium silicate—the most widely used activator—has critical drawbacks.
Alkaline activators for geopolymers are commonly classified as hydroxide- or silicate-based systems using sodium or potassium cations. Hydroxide activators promote rapid precursor dissolution but often lead to lower polymerization and strength, whereas silicate-based activators provide additional reactive silica, resulting in more cross-linked gel networks and improved mechanical performance. Sodium-based activators generally outperform potassium-based systems due to their smaller ionic radius and more efficient gel formation. However, commercial sodium silicate is energy-intensive and costly to produce, motivating the development of waste-derived alternatives such as silica fume-derived sodium silicate. In the conventional fusion process, sodium carbonate (Na2CO3) and quartz (SiO2) are calcined at 1400–1500 °C [13,14], then dissolved in water and filtered to form the product [15]. Hydrothermal synthesis requires lower temperatures (225–245 °C) but involves high-pressure autoclaves (27–32 bar), reducing overall energy efficiency [16]. Both methods result in significant embodied energy and CO2 emissions, undermining the sustainability of sodium silicate-activated systems. Recent cost assessments of alkali-activated concretes (AACs) suggest large variability, with costs ranging from 70.67 to 114.78 CAD/m3, in some cases even higher than OPC-based concrete [17]. Thus, replacing or reducing commercial sodium silicate in geopolymers is essential for advancing economic and environmental viability.
In response, researchers have explored alternative sources of reactive silica to synthesize sodium silicate or sodium silicate alternatives (SSA). Rice husk ash (RHA) and silica fume (SF), both abundant industrial by-products, have shown promise. Tong et al. [14] used RHA to synthesize sodium silicate for alkali-activated binders. Sun et al. [18] evaluated slag activated with SF-derived sodium silicate, reporting improved rheology due to the “ball-bearing” effect of undissolved particles. Cheng et al. [19] demonstrated that silica fume–derived activators reduced production costs and CO2 emissions when used in fly ash binders. Similarly, Billong et al. [6,20], Oti et al. [21] and Adeleke et al. [22] confirmed that RHA- and SF-derived sodium silicate can achieve comparable or superior strength and durability relative to commercial sodium silicate. These findings suggest that SSA can reduce reliance on conventional SSC, but systematic evaluations integrating mechanical performance, microstructural analysis, and sustainability metrics remain limited.
Microstructural characterization is critical for understanding geopolymer performance and durability. Techniques such as scanning electron microscopy (SEM) and energy-dispersive X-ray spectroscopy (EDX) reveal features such as gel morphology, unreacted particles, porosity, and elemental distributions [23]. Studies have shown that dense matrices with sodium aluminosilicate hydrate (N-A-S-H) and calcium aluminosilicate hydrate (C-A-S-H) gels correlate with enhanced strength and reduced permeability [24]. Fourier-transform infrared spectroscopy (FTIR) also provides insights into reaction mechanisms, with characteristic band shifts linked to polycondensation and network formation [25]. By correlating these microstructural features with mechanical and sustainability outcomes, the practicality of SSA-based binders can be better established.
Recent studies have explored diverse activation strategies for low-carbon binders, including nano-silica-enhanced alkali activation, calcined clay activation, and waste-derived silicates. Sodium-based activators remain the most effective due to their high dissolution capacity, whereas potassium-based activators often exhibit rapid viscosity increase and less efficient gel formation [26]. Commercial sodium silicate, while effective, is energy-intensive to produce. Silica fume-derived sodium silicate offers a low-cost, low-emission alternative with high reactive SiO2 availability. Previous research has shown that nano-silica and natural pozzolans can significantly enhance geopolymerization [27]. While prior studies have synthesized sodium silicate alternatives (SSA) from RHA, SF, and other by-products, most have examined either mechanical performance or chemical reactivity in isolation. Few have provided an integrated evaluation of mechanical properties, microstructural development, and sustainability. In this study, fly ash-based geopolymer mortars were activated with silica fume-derived sodium silicate (SSA) combined with NaOH, and their performance was benchmarked against commercial sodium silicate (SSC). To provide broader context, potassium-based activators (CK and AK) were also included, as KOH is locally used in some regions due to cost, availability, and lower hygroscopicity. Although these mixes underperformed, they offer useful contrasts that inform the selection of activators. The scope of this work includes mechanical testing, fresh property assessment, and sustainability analysis supported by new benchmarking indices for cost (Ic) and CO2 efficiency (Efc). Microstructural and chemical transformations were examined using SEM, EDX, and ATR-FTIR to establish links between binder chemistry, strength development, and environmental impact. Together, these contributions aim to demonstrate SSA’s potential as a sustainable, cost-effective, and technically reliable alternative to SSC for construction applications.

2. Materials

2.1. Silica Fume (SF)

Con-Fume [28]—a commercial reactive microsilica following ASTM C1240 [29] produced by Kryton International in Canada—was utilized as the Silica Fume in the study to make the alternative sodium silicate (SSA) and potassium silicate (PSA). It is composed predominantly of amorphous SiO2 (>95 wt.%), in gray powder form. The SEM image of raw silica fume (Figure 1) shows the characteristic spherical morphology of the particles, with a smooth surface and size ranging less than 1 µm in diameter. Significant agglomeration is observed due to the high specific surface area (15,000–25,000 m2/kg) [30,31] and fine particle size, contributing to the geopolymer matrix’s densification. According to supplier specifications, silica fume particles have primary spherical sizes in the range of 0.1–0.3 µm, with agglomerated particle sizes typically below 1 µm due to their high surface energy. The reported pozzolanic strength activity index of silica fume typically exceeds 120% at 7 days, which is attributed to its amorphous structure, ultra-fine particle size, and high specific surface area.

2.2. Fly Ash Class-F

Centralia Class F fly ash [32], in accordance with ASTM C618 [33], manufactured by Lafarge, was used as a Precursor Material (PM) for the geopolymer preparation. According to supplier specifications, this Class F fly ash exhibits a broad particle size distribution ranging from approximately 1 to 100 µm, with a mean particle diameter typically between 15 and 30 µm, and predominantly spherical morphology. Several authors have reported that the fly ash particles are spherical in shape [34,35], as illustrated in Figure 2, which shows SEM images of the fly ash. Class F fly ash consists mainly of an amorphous aluminosilicate glass phase with minor crystalline constituents such as quartz and mullite. The fly ash exhibits adequate pozzolanic activity of 75% at standard testing ages.
Table 1 and Table 2 represent the detailed chemical compositions and physical properties of the silica fume and fly ash.

2.3. Chemicals

Sodium hydroxide (NaOH) pellets from Thermo Fisher Scientific, with a 40 g/mol molecular weight and pH 14, were used to prepare a 10 M NaOH solution. This solution was then used to dissolve silica fume and produce an SSA solution with a SiO2/Na2O molar ratio of about 2. Potassium hydroxide (KOH) pellets from Sigma-Aldrich, USA (85% purity, molecular weight 56.11 g/mol, pH 13.5) were used to prepare a 10 M KOH solution. This solution was used to dissolve silica fume and produce a PSA solution with a SiO2/K2O molar ratio of 2. The commercial sodium silicate (SSC) was waterglass (Na2SiO3), in liquid form, reagent grade, obtained from Sigma-Aldrich in the US. Its composition is 10.6% Na2O, 26.5% SiO2, and 62.9% H2O, with a 1.39 g/mL density. The commercial potassium silicate (PSC) was an anhydrous powder with a molecular weight of 116.11 g/mol from Thermo Fisher Scientific, which was combined with water to produce a solution comprising 53.75% K2SiO3 and 46.25% H2O.
The target silicate modulus (SiO2/M2O, M = Na or K) of approximately 2 was calculated based on the reactive SiO2 content of silica fume and the alkali oxide equivalents derived from hydroxide solutions. The silica fume used contains approximately 95 wt.% SiO2. A 10 M NaOH solution provides 10 mol of NaOH per liter, where two moles of NaOH are stoichiometrically equivalent to one mole of Na2O; thus, 10 mol NaOH corresponds to 5 mol Na2O. To achieve a SiO2/Na2O molar ratio of 2, 10 mol of SiO2 is required, corresponding to approximately 600 g of SiO2. Accounting for silica fume purity, this equates to about 630 g of silica fume per liter of 10 M NaOH solution. The same approach was applied for potassium-based activators, where 10 M KOH provides 5 mol of K2O equivalents, requiring an identical SiO2 input to maintain a SiO2/K2O ratio of ~2.

3. Methodology

3.1. Mix Design

Preliminary trials at AA/P ratios of 0.4 and 0.8 showed poor workability: the 0.4 mix was too stiff to mold, while the 0.8 mix exhibited flash setting. Therefore, ratios of 0.5 and 0.7 were selected as practical bounds [36], allowing comparison between low- and high-alkali conditions. A Sand/P ratio of 2:1 was fixed, following prior studies, to ensure consistent workability and strength. Table 3 presents the mix proportions for geopolymers prepared with commercial sodium silicate (CS), alternative sodium silicate (AS), commercial potassium silicate (CK), and alternative potassium silicate (AK).
The AA used in these mixes is a binary solution of either sodium or potassium silicate (Na2SiO3 or K2SiO3) and sodium or potassium hydroxide (NaOH or KOH). The volumetric proportion Na2SiO3/NaOH and K2SiO3/KOH is maintained at 1:1, and the densities of NaOH, SSC, SSA, KOH, PSC, and PSA are 1.33, 1.39, 1.59, 1.29, 0.7 and 1.53 g/mL, respectively. Table 4 shows the volumetric proportions of the mixes.

3.2. Preparation of Alkali Activator (AA)

The NaOH solution was prepared by dissolving 400 g of sodium hydroxide pellets per 1000 mL of water to obtain a solution with the desired molarity of 10 M. The KOH solution was prepared by dissolving 561.1 g of potassium hydroxide pellets per 1000 mL of deionized water to obtain a solution with the desired molarity of 10 M. In contrast, the SSA and PSA solutions were designed using Equations (1) and (2) and prepared by dissolving 632 g of silica fume per 1000 mL of NaOH or KOH solution with a molarity of 10 M [20]. The mixture was stirred for 30 min and left to react for 24 h in a closed container to ensure thorough dissolution of the silica fume in the hydroxide solution before subsequent use. Furthermore, a SiO2/M2O molar ratio of 2 (M = Na or K) and the purity of SF used in the current study (95% SiO2 with a molecular weight of 60 g/mol) were considered.
2SiO2 + 2NaOH → Na2O (SiO2) + H2O
2SiO2 + 2KOH → K2O(SiO2) + H2O

3.3. Preparation of Geopolymer Mortar Specimens, Curing and Testing Methods

The fly ash and sand were accurately weighed as per the proportions listed in Table 3 and mixed in a table mixer for 2 min until a uniform dry mixture was achieved. The pre-mixed binary alkali activator solution (SSC or SSA and NaOH, or PSC or PSA and KOH) was slowly added to the dry mixture and mixed for two more minutes. After thorough mixing, the flowability of the fresh mortar was assessed using the flow table test as per ASTM C1437 [37] at an ambient temperature of 23 ± 2 °C. The time of setting was determined using the Vicat apparatus according to ASTM C807 [38]. Additionally, specimens in the form of 50 × 50 × 50 mm cubes, dog-bone (briquette) specimens, and 30 × 30 × 100 mm prisms were prepared following ASTM standards C109 [39], C307 [40], and C293 [41], respectively, for compressive, tensile, and flexural strength tests. Due to limitations in standards specific to geopolymer, relevant and comparable mortar testing methods have been used.
The prepared specimens were left to cure for 24 h in the molds at ambient temperature. After demolding, the hardened mortar samples underwent heat curing in an oven for 72 h. After 72 h heat curing, specimens were allowed to cool gradually inside the oven to room temperature to prevent thermal shock and microcrack formation. Subsequently, the specimens were kept at ambient temperature until the day of testing. This curing regime was chosen because geopolymers typically experience rapid reactions during the early stages of curing, especially within the first few days [42]. Geopolymer curing temperatures and heat curing times can vary significantly, ranging from 40 °C to 800 °C and from 0 to 28 days, respectively. However, elevated temperatures are often required to accelerate the geopolymerization process and achieve sufficient strength development within a short time frame [43]. Higher curing temperatures contribute to increased CO2 emissions, which detract from the sustainability of the process. For this study, two batches of AS0.7 were cured at 65 °C and 80 °C (AS0.7-65, AS0.7-80), while one batch of CS0.7 was cured at 80 °C (CS0.7-80). Since the effect of the higher temperature was minimal on the strength development, the rest of the batches were cured at 65 °C. The reported results are the average of three specimens tested on 7, 14, and 28 days.

3.4. SEM Imaging and EDS Analysis

SEM and EDS analyses were performed on sodium-based geopolymer formulations to investigate the formation and composition of geopolymerization products and compare the effect of sodium silicate and SSA activators. Rectangular specimens of approximately 5 × 5 × 2.5 mm were cut from hardened beam samples. The specimens were polished using a ToronPol polishing machine, from Torontech Inc., Toronto, ON, Canada, equipped with abrasive paper at 400 rpms for 3 min to obtain a surface flat enough for microscopy. The specimens were vacuum-dried for one week in a Hitachi ZoneSEM desktop cleaner (Hitachi High-Tech Corporation, Tokyo, Japan), which removes hydrocarbon contamination from specimens using UV light. The specimens were taken out of the vacuum and quickly coated with carbon using a Cressington 208 carbon high vacuum carbon coater (Cressington Scientific Instruments Ltd., Watford, UK) to ensure the preservation of the microstructure and conductivity for electron microscopy. A Scanning Electron Microscope (SEM) was used at a 1–15 kV voltage on thin polished sections using a Hitachi S-4800 field emission SEM (Hitachi High-Tech Corporation, Tokyo, Japan). SEM images were used to recognize the reaction of geopolymer precursor material with solutions in the internal microstructure and identify entities such as amorphous gel and crystalline phases, unreacted or partially reacted particles, microcracks and pores, and Interfacial Transition Zone (ITZ) of aggregates and geopolymer paste matrix. The Hitachi S-4800 is equipped with a Bruker Quantax Energy Dispersive Spectroscopy (EDS) system (Bruker Nano GmbH, Berlin, Germany), which was used at an acceleration voltage of 8–13 kV and a working distance of 15 mm to optimize X-ray collection and detect the elemental composition of geopolymerization products. Quantax software (version 7.3) was used to generate high-resolution elemental maps while the Hyperspy (version 2.2, https://pypi.org/project/hyperspy/2.2.0/ accessed on 20 January 2025) [44] python package was used to generate X-ray spectra graphs and quantify elemental compositions. Comparative imaging and mapping were performed on different mixes to identify variations in morphology and validate the formation of N-A-S-H and C-A-S-H gels.

3.5. ATR-FTIR Analysis

The ATR-FTIR analysis was conducted to investigate the structural and chemical changes occurring in the silicate components of silica fume, fly ash, and geopolymer formulations due to alkali activators. This analysis aimed to identify characteristic functional groups, monitor shifts in vibrational bands, and assess the geopolymerization process. The samples were manually grounded into a fine powder in a mortar pestle and placed directly over the ZnSe ATR crystal of the Agilent Cary 630 FTIR spectrometer. The samples were analyzed in the spectral range of 4000 to 400 cm−1 at room temperature with 32 scans and 4 cm−1 resolutions and support from the Agilent MicroLab software (version 5.4). The analysis specifically targeted changes in the Si-O and Al-O bonding environments, using ATR-FTIR spectra to identify peak shifts in silica fume and fly ash after alkali activation. These shifts indicate the dissolution of raw materials and the formation of new silicate and aluminosilicate structures, such as Si-O-Al linkages, which are essential for geopolymer formation. Additionally, the disappearance of peaks related to hydrates confirmed the completion of the curing process.

4. Results and Discussion

4.1. Fresh Properties

4.1.1. Time of Setting

Fresh mortars were introduced into the Vicat apparatus mold within five minutes of initial contact between the alkali activator and the precursor material. As per ASTM C807, the time of setting is defined as the point at which the Vicat needle penetrates to a depth of 10 mm (Figure 3). Findings indicate that sodium-based activators (SSA and SSC) exhibit longer setting times, whereas potassium-based activators (PSA and PSC) set more rapidly. This variation is influenced by the alkaline activator to precursor (AA/P) ratio, which affects the dissolution rate of aluminosilicate precursors. A higher AA/P ratio increases the availability of reactive ions (OH, SiO44−, Na+, and Al(OH)4), accelerating polymerization and gel formation. Notably, SSC-based mixes set faster than SSA-based ones due to the higher reactivity of pre-dissolved SiO44− ions in SSC, which immediately polymerize with Al(OH)4 and Na+. In contrast, SSA requires gradual dissolution of silica fume in NaOH, delaying the availability of reactive silicates despite its higher OH content. Additionally, potassium-based activators (PSA and PSC) exhibit the fastest setting times due to the larger ionic radius [45] and higher mobility of K+ ions, which enhances charge balancing and condensation reactions [46], leading to rapid gel network formation. Potassium-based activators showed lower mechanical performance primarily due to their chemical behavior during geopolymerization. The larger ionic radius of K+ reduces its ability to stabilize aluminosilicate gel structures compared to Na+, leading to weaker N-A-S-H network formation. Additionally, potassium silicate dissolves more slowly, limiting the early availability of reactive silicate species. This slower dissolution causes early viscosity buildup and reduced workability, resulting in less dense matrices and lower strength in CK and AK mixes.

4.1.2. Flowability

Table 5 presents the flow percentage of each mix, obtained using the jump table according to ASTM C1437. The test involved filling the cone with mortar, lifting it, and dropping the table 25 times within 15 s. Figure 4 depicts the flow table test. The spread diameter of the mortar was then measured using the formula below, where A is the average flow diameter of four readings in mm and D o r g is the original base diameter (100 mm).
F l o w   ( % ) = A D o r g D o r g × 100
Results show that sodium-based activators (SSA and SSC) provide higher flowability than potassium-based activators (PSA and PSC). CK0.5 exhibits the lowest flowability (50%), highlighting the reduced workability of K-based geopolymers. The lower flowability of K-based mixes correlates with their faster setting times, as higher K+ ions accelerate polycondensation, causing early viscosity buildup and stiffening, reducing flow. Conversely, sodium-based activators—particularly SSA—react more gradually, improving dispersion and fluidity. Additionally, the AA/P ratio influences flowability, with higher ratios (0.7) improving fluidity. However, even at the same AA/P ratio, K-based activators consistently lower flowability, likely due to their faster setting behavior. Thus, sodium-based activators enhance workability, while K-based mixes may require water adjustments or plasticizers to maintain optimal flow without affecting setting time. The use of superplasticizers was not investigated in this study due to uncertainties regarding their behavior and long-term compatibility in highly alkaline geopolymer matrices. Although previous studies have reported that conventional superplasticizers can function in geopolymer systems, their efficiency and stability often differ from those in OPC-based mixtures because of the high alkalinity and distinct reaction mechanisms. Therefore, the compatibility and performance of admixtures in geopolymer mortars are identified as an important area for future research.

4.2. Hardened Properties

4.2.1. Compressive Strength ( f c )

In this study, a Forney compression machine with a maximum capacity of 3000 KN was used, and an applied loading rate was maintained at 0.15 MPa/s for every test. The compressive strength is calculated as follows:
f c = P A  
where f c is the mortar’s compressive strength in MPa, P is the total maximum load in N, and A is the area of loaded surface mm2.
The results in Figure 5 show that CS0.7-80 exhibited compressive strengths 20–35% lower than AS0.7-80 and AS0.7-65 at all ages. Unexpectedly, AS0.7-65 outperformed AS0.7-80, contrary to typical literature trends. This anomaly is attributed to rapid geopolymerization at 80 °C, which may produce a rigid but less uniform gel network and induce thermal microcracking or shrinkage, thereby limiting further reaction of fly ash particles. SEM analysis, discussed in Section 4.4.1, supports this interpretation, showing more unreacted fly ash and microcrack features in AS0.7-80, while AS0.7-65 developed a denser, more homogeneous matrix that enabled continued geopolymerization.
At AA/P = 0.5, both CS0.5 and AS0.5 reached ~40 MPa at 28 days, though AS0.5 showed higher strengths at 7 and 14 days. This agrees with reports that reducing AA/P generally improves CS-based systems, but in AS mixes, the higher content of fine SF particles at AA/P = 0.7 promoted superior strength gain relative to AS0.5.
Strength development was largely completed within the first 7 days, with little or no gain thereafter, consistent with Davidovits [42]. he 28-day strengths of SSA mixes in this study (39–45 MPa) compare well with literature: ~43 MPa for fly ash binders with SF-derived activators [19], ~50 MPa for GGBS binders with RHA-derived activators [22], and ~50 MPa for GGBS concrete with SF-derived activators [22]. This benchmarking demonstrates that SSA-based mixes not only outperform SSC-based mortars but also achieve strengths competitive with other waste-derived activator systems. Quantitative porosity measurements were not conducted in this study; therefore, interpretations regarding porosity and microcrack density are based on qualitative SEM observations and are acknowledged as a limitation of the present work. Although geopolymers are often reported to exhibit high early-age strength, this behavior depends strongly on precursor type, activator chemistry, and curing conditions. In this study, the fly ash-dominant system and controlled alkali availability led to slower dissolution and progressive geopolymerization, resulting in a strength-gain trend similar to conventional concrete. Such behavior is consistent with Class F fly ash–based geopolymers reported under comparable curing regimes. The slight reduction in 28-day compressive strength is attributed to moisture loss and microstructural stabilization following early geopolymerization, which may induce minor microcracking during curing. Similar behavior has been reported for heat-cured fly ash–based geopolymers. Extended curing periods (e.g., 90 days) are expected to result in strength stabilization rather than continued decline; however, long-term mechanical testing and durability studies are required to confirm this trend and are recommended for future work.

4.2.2. Flexural Strength (Fr)

The Pasco mini MTM, capable of measuring up to 7100 N (newtons) of force, was used to perform the three-point bending tests on the 30 × 30 × 100 prisms and measure the peak load (P). The modulus of rupture is calculated as:
F r = 3 P L 2 b d 2  
where F r is the modulus of rupture in MPa, and P is the maximum applied load in N. L, b, and d are the span length, width, and depth of the prism (and equal to 88, 30, and 30 mm), respectively. The support’s distance from the beam’s edges was kept at 6 mm.
Figure 6 shows that the mixes AS0.7-80 and AS0.7-65 demonstrated higher Modulus of Rupture (MOR) values of 3.56 MPa and 2.90 MPa, respectively, at 28 days compared to CS0.7-80, which showed an MOR of 1.42 MPa. These results represent increases of approximately 150.7% for AS0.7-80 and 104.2% for AS0.7-65 over CS0.7-80. However, CS0.5 exhibited a superior MOR of approximately 5 MPa across all three testing ages, surpassing all other mixes. Flexural strength development showed minimal dependence on time, with an almost flat trendline for all mixes.

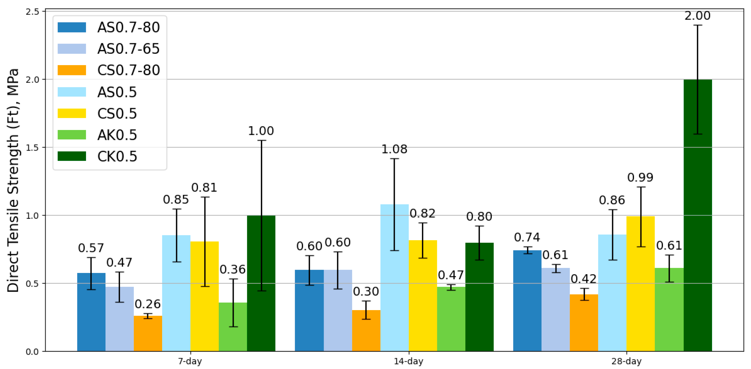
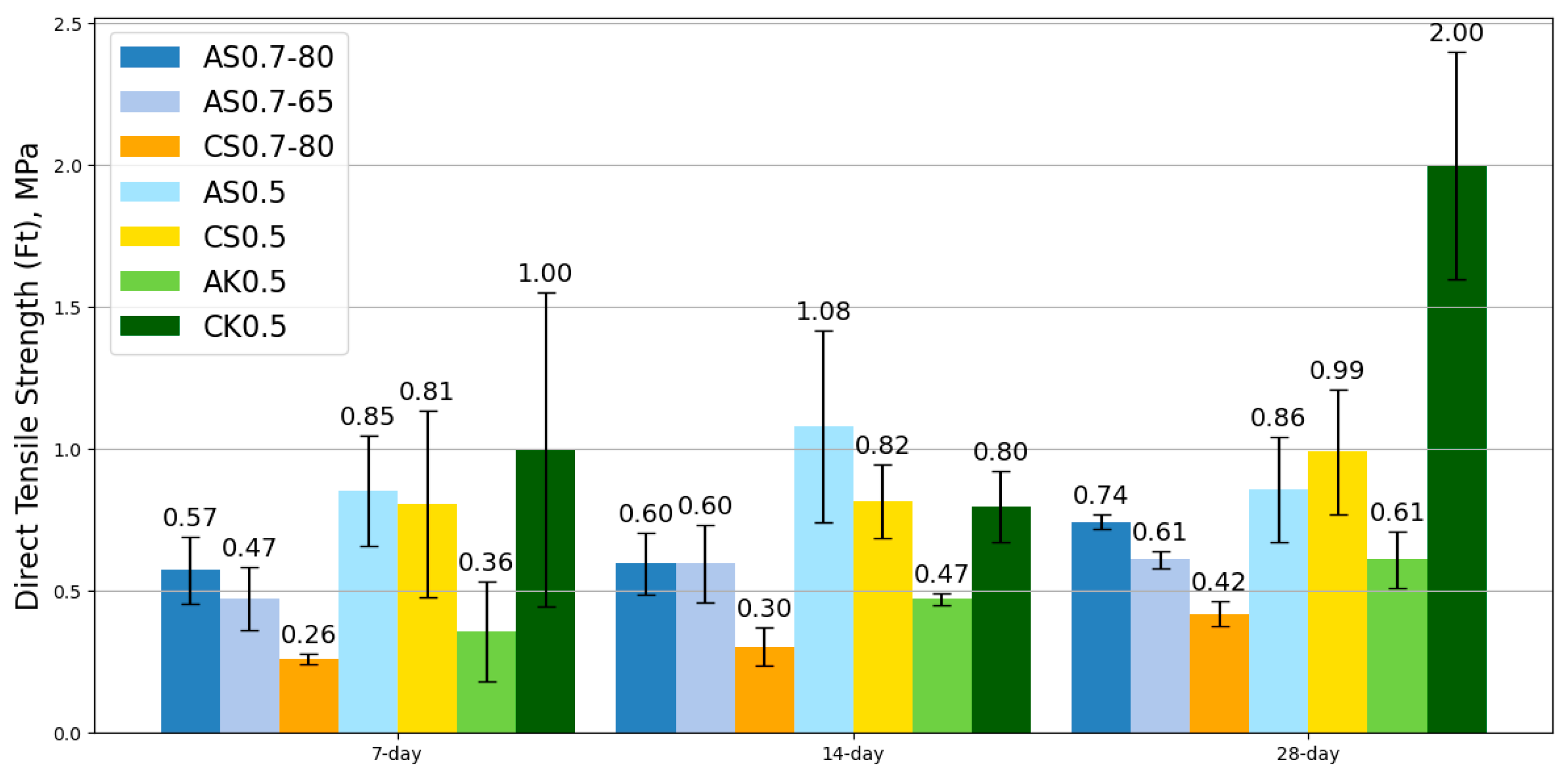
4.2.3. Tensile Strength (Ft)

The Pasco mini MTM was used to perform direct tensile tests on the dog-bone (briquet) specimen and measure the peak load (P). The tensile strength ( F t ) is equal to the stress calculated at maximum load. It is calculated as below, where b and d both equal 25.4 mm.
F t = P b d  
As shown in Figure 7, specimens with an AA/P ratio of 0.5 excel in tensile tests compared to those with an AA/P ratio of 0.7, achieving tensile strengths of 1 MPa for CS0.5 and 0.86 MPa for AS0.5 at 28 days. Additionally, AS0.7-80 and AS0.7-65 outperform CS0.7-80 in tensile tests, showing 76% and 45% higher strength at 28 days, respectively.
The compressive strength ( f c ), flexural strength ( F r ), and tensile strength ( F t ) results illustrate that CS0.5 exhibits robust mechanical performance, with strengths reaching 40 MPa, 5 MPa, and 1 MPa, respectively, by 28 days. AS0.5 displayed comparable performance with values of 39 MPa for compressive strength, 3.49 MPa for flexural strength, and 0.86 MPa for tensile strength. making it suitable for applications requiring structural integrity and strength. The lower AA/P ratio (0.5) is key in enhancing the material’s overall strength, as the denser microstructure provides better resistance to compressive, bending, and tensile forces. Mixes like AS0.7-80 and AS0.7-65 perform better than CS0.7-80, especially in flexural and tensile strengths, and their compressive strengths are higher than all other mixes. This suggests that the alternative sodium silicate and lower curing temperatures (65 °C) in AS mixes contribute to improved bending and tension performance. However, potassium-based mixes (CK0.5 and AK0.5) show significantly lower results in all categories, indicating sodium-based activators are more effective for achieving high strength. Overall, CS0.5 and AS0.5 stand out as the better-performing mixes in all mechanical tests, while AS0.7-65 and AS0.7-80 offer good performance in compression.
The trends observed in flexural and tensile strength are consistent with the compressive strength behavior and can be attributed to microstructural stabilization and the evolution of interfacial bonding within the geopolymer matrix. Minor microcracking induced by moisture loss and thermal effects during curing is more critical under tensile and flexural loading, leading to slightly reduced strengths at later ages.

4.3. Sustainability

4.3.1. Cost

In this section, we evaluate the cost-effectiveness of CS, AS, CK, and AK by comparing the expenses associated with their respective alkali activator (AA) sources and sodium/potassium silicate options. The varying parameters between the mixes are the choice of silicate source (SSC/SSA or PSC/PSA) and the proportion of alkali activator. The commercial sodium silicate (SSC) was procured at 78 CAD per 1 L. The cost to produce 1 L of NaOH 10 M was determined to be 45.76 CAD (derived from 400 gr NaOH pellets + 1000 mL H2O) (Sigma-Aldrich [47]). Silica fume was priced at an average of CAD 0.5 per kg [48]. The commercial potassium silicate (PSC) was purchased at 363 CAD per 2 kg. The cost to produce 1 L of KOH 10 M was determined to be 53.42 CAD (derived from 561.1 gr KOH pellets + 1000 mL H2O) (Sigma-Aldrich, St. Louis, MO, USA [49], Thermo Scientific Chemicals, Waltham, MA, USA [50]). Based on the calculations, the SSA + NaOH alkali activator demonstrates higher cost-effectiveness, with a cost of 74.15% compared to the SSC + NaOH (Figure 8a). Notably, K-based activators are not only higher in cost but also less effective in the strength gain of the geopolymer, making their use impractical. Figure 8a demonstrates the cost of alkaline activators in CAD per liter. The cost analysis is limited to a material-based comparison, considering only the prices of alkaline activators and their constituent raw materials. Labor, energy, and processing costs associated with activator preparation were not included and are acknowledged as limitations of this study.

4.3.2. CO2 Emissions

Carbon footprint data of individual ingredients were obtained from published sources and are summarized in Figure 8. The CO2 emissions considered were: sodium silicate (1.22 kg CO2 e/kg [51]), NaOH (1.22 kg CO2 e/kg [52]), KOH (0.77 kg CO2 e/kg [53]), and silica fume (0.014 kg CO2 e/kg [54]). Potassium silicate was estimated at ~2.5 kg CO2 e/kg, based on reported contributions from silica production, potassium carbonate synthesis, manufacturing, and transport. These values represent material production only; transportation and the energy required for elevated curing were not considered, which is acknowledged as a limitation.

4.3.3. Compressive Strength Cost Index (Ic)

The compressive strength cost index Ic is calculated to evaluate the economic efficiency of geopolymer materials [55]. This index, measured in CAD/m3/MPa, is given by the formula:
I C = C t f c 28
where Ic represents the compressive strength cost index, C t (CAD/ m3) is the cost of geopolymer per cubic meter, and f c 28 (MPa) represents the 28-day compressive strength of the geopolymer. A smaller compressive strength cost index indicates a relatively lower overall cost of using geopolymer materials. The costs of Fly ash and sand were averaged to be 32 CAD [56] and 48 CAD [57] per ton, respectively. Geopolymer mixes with alternative sodium silicate (AS0.7 and AS0.5) show superior performance with an Ic of approximately 30, indicating better economic efficiency. In contrast, the CS0.7 mix has an Ic of about 66.86, and the K-based mixes have indices of 64.22 and 73.86, indicating that they are over twice as costly per unit of strength. The CS0.5 mix, with an Ic of 40, demonstrates significant strength at 28 days but remains less cost-effective than the AS0.5 and AS0.7 mixes (Table 6).

4.3.4. Sustainability Index (Efc)

To evaluate the sustainability of construction materials, we can calculate the Sustainability Index ( E f c ) [55] as shown in Equation (7). This index normalizes the CO2 emissions of concrete mixes according to their 28-day compressive strength. This method provides a more comprehensive view of the environmental impact by considering both the CO2 emissions and the material’s performance.
E f c = C O 2 m 3 f c 28
The CO2 emissions of Fly ash and sand were taken as 0.04 [58] and 0.0077 [59] kg CO2 e/kg, respectively. A smaller Sustainability Index indicates a lower overall CO2 emission from geopolymer materials. The analysis of the Sustainability Index ( E f c ) reveals that the CS0.5 mix is the most sustainable, with the lowest E f c of 10.15, representing the best balance between low CO2 emissions and high compressive strength. The AS0.5 mix follows closely with an E f c of 10.24, also demonstrating high sustainability. The AS0.7 mix, though having higher emissions, maintains a relatively low E f c of 10.66, making it a good sustainable choice. In contrast, the CS0.7 mix has the highest E f c of 16.86, indicating higher CO2 emissions per unit of compressive strength. Potassium-based mixes, CK0.5 and AK0.5, have E f c values of 10.21 and 12.96, respectively, reflecting more significant environmental impact compared to sodium-based mixes. Overall, the AS0.5 and CS0.5 mixes are highlighted as the most eco-friendly options, effectively balancing material efficiency and carbon footprint (Table 6).
Reported E f c values for ordinary Portland cement (OPC) concretes typically range from 15 to 20, based on emissions of ~300–400 kg CO2/m3 and 28-day strengths of 20–30 MPa [60]. Geopolymer concretes activated with commercial sodium silicate often report values around 13–18, reflecting improved but still significant embodied CO2 [61]. In comparison, the SSA mixes in this study demonstrate a clear sustainability advantage, outperforming both OPC and conventional geopolymers.

4.4. Microstructural Analysis

4.4.1. SEM

In SEM imaging of fly ash-based geopolymers, the amorphous and crystalline phases exhibit distinct morphologies that reflect the geopolymerization process and variations in material composition. When sodium silicate is used as the activator, the primary reaction product is an amorphous sodium aluminosilicate hydrate (N-A-S-H) gel. This amorphous phase typically forms a continuous, dense, and homogeneous matrix [62], embedding any crystalline phases present [63], as shown in Figure 9 of CS0.7, where the smooth gel phase covers the imaged surface with few distinct entities and morphologies. The matrix appears smooth or slightly granular, with minimal defined boundaries between particles, indicating efficient geopolymerization [64,65]. In contrast, crystalline phases display discrete, well-defined morphologies, including needle-like, flocculent, or plate-like structures [66], as observed in Figure 10b. These crystalline features typically form on the surfaces of partially or fully reacted fly ash particles and are associated with specific reaction products, including calcium silicate hydrate (C-S-H), calcium hydroxide (Ca(OH)2), and minerals such as mullite and zeolite [67]. The spherical voids in Figure 10b are remnants of fly ash particles attacked by the alkali and merged into the gel paste. The transition from amorphous to crystalline phases has been associated with lower strengths in geopolymer systems [68]. A qualitative comparison of the interfacial transition zone (ITZ) indicates that the commercial sodium silicate (CS) mortar exhibits a wider and less homogeneous ITZ with visible microcracks and partially reacted fly ash near the aggregate surface. In contrast, the silica fume-derived sodium silicate (AS) mortar shows a denser and more continuous ITZ, with the aggregate well embedded in a compact N(C)-A-S-H gel matrix (Figure 10). Quantitative ITZ measurements were not conducted and is acknowledged as a limitation; therefore, this assessment is based on qualitative SEM observations.
The choice of alkaline activator significantly impacts the phase formation and microstructure of fly ash-based geopolymers [24]. Hydroxide-based activators, such as sodium hydroxide (NaOH), facilitate the dissolution of aluminosilicate precursors, increasing the availability of reactive species necessary for crystallization. This results in the formation of well-defined crystalline phases. On the other hand, silicate-based activators, like sodium silicate (Na2SiO3), promote the generation of an amorphous gel phase, leading to a more cohesive and homogeneous matrix. The combination of NaOH with silica fume produces results comparable to, and in some cases superior to, commercial sodium silicate in terms of matrix density and mechanical properties. Loose partially reacted or unreacted fly ash particles are also evident in SEM images, appearing as spherical entities embedded within the matrix. Their presence signifies incomplete geopolymerization, which correlates with higher porosity and lower mechanical strength (Figure 11). These particles are more prevalent in CS mixes compared to AS (Figure 12), which is also reflected in the significantly lower compressive, tensile, and flexural strengths of CS0.7 compared to AS0.7-80 and A0.7-65 as described in Section 4.2.
Figure 13 and Figure 14 reveal a continuous mass of a sodium (calcium) aluminosilicate N(C-)A-S-H matrix and partially reacted fly ash particles. Various products with distinct morphologies have formed on the surface of the fly ash particles. Regular-shaped products of calcium silicate hydrate (CSH) and aluminum-silicate (Al-Si) gel are observed on these particles, indicating the development of a dense geopolymer matrix. The strength development of AS0.7 and AS0.5 can be attributed to the presence of microsilica particles, densifying the porous microstructure of the geopolymer mix. The SEM images show fine silica fume particles in AS0.5 and AS0.7 mixtures, contrasting with CS0.7 and CS0.5, which exhibit a more porous microstructure. This suggests that the incorporation of silica fume contributes to the enhancement of the microstructure by reducing voids and refining the matrix.
The formation of sodium aluminosilicate hydrate, the primary reaction product of geopolymerization, results in an amorphous gel matrix. This matrix forms through interactions between fly ash glassy spheres and the alkaline solution, signifying effective geopolymerization and the transition from a loose fly ash structure to a cohesive network. Alkali activators adhere to fly ash surfaces, filling pores and intertwining to create a robust network. A significant amount of unreacted fly ash remains in CS0.5, exhibiting larger pores and a looser structure compared to AS0.5 (Figure 15 and Figure 16). Fewer partially reacted spheres are encapsulated in gel products in CS0.5, while AS0.5 demonstrates a more consolidated microstructure.

4.4.2. EDX

The EDX map and spectra for Specimen CS0.7, shown in Figure 17, provide valuable insights into the elemental composition and distribution of the geopolymer matrix. The matrix is predominantly composed of oxygen (37.49 wt.%), silicon (27.13 wt.%), and sodium (16.70 wt.%), consistent with a sodium aluminosilicate hydrate (N-A-S-H) gel structure. Aluminum contributes 10.59 wt.%, reflecting its integral role in forming aluminosilicate linkages, while magnesium is present at 4.34 wt.%. The relatively low calcium content (3.76 wt.%) suggests limited reactivity, likely due to incomplete geopolymerization of the fly ash, which may be attributed to insufficient availability of OH ions and an excess of silicate ions (SiO44−) in CS0.7 with sodium silicate as the activator.
This lack of calcium incorporation aligns with the observed amorphous microstructure of CS mixes. Figure 17d shows characteristic peaks in the x-ray (counts) vs. energy (keV) graph, where calcium shows distinct excitation energies of Kα = 3.75 keV, Kβ = 4.00 keV, and Lα = 0.3 keV, further corroborating its minor presence in the matrix.
The EDX map for specimen AS0.7-80 (Figure 18e) captures the microstructural and elemental characteristics near the interfacial transition zone (ITZ) of geopolymer paste and aggregate. The presence of crystalline phases enriched with calcium is particularly in the plate-like structures. Silicon and sodium remain dominant in the overall composition (Figure 18c), while the elevated calcium concentration in crystalline regions supports the formation of calcium hydroxide (Ca(OH)2) crystals and calcium aluminosilicate hydrate (C-A-S-H) gel and semi-crystalline phases. Calcium in fly ash reacts preferentially with OH ions, forming calcium hydroxide (Ca(OH)2), which precipitates rapidly in an alkaline environment [69]. This reaction occurs faster than calcium’s interaction with silicate or aluminosilicate species. However, when sufficient silicate is available, Ca2+ can also contribute to the formation of calcium silicate hydrate (C-S-H), and the coexistence of C-S-H and sodium aluminosilicate hydrate (N-A-S-H) gels influences the density of the microstructure and mechanical properties of the material (Figure 18b). Silica fume agglomerations are visible as small clusters of silicon and oxygen, which contribute to densification and reduce microstructural porosity (Figure 18b,e). This enhanced matrix density explains the improved mechanical performance of AS mixes matching CS mixes, as the presence of reactive silica promotes stronger aluminosilicate linkages.
Figure 19 focuses on specimen AS0.7-80, emphasizing the influence of crystalline phases within the geopolymer matrix. The EDX map and spectra illustrate a similar trend, with calcium-rich regions corresponding to plate-like and needle-like crystalline entities (Figure 19b,e). The surrounding amorphous matrix, consisting of N-A-S-H gels, benefits from the inclusion of silica fume, which ensures a more homogeneous distribution of silicon and aluminum. The reactive silica enhances the geopolymerization process, leading to a dense microstructure with fewer unreacted fly ash particles. The effectiveness of silica fume in balancing crystallinity with matrix densification to achieve superior mechanical properties.
The EDX analysis presented in Table 7 provides crucial insights into the elemental composition and formation of various geopolymer phases. The high Si/Al ratio of 27.1 observed in AS0.5 Point 2 (Figure 20) indicates a dominant N-A-S-H (sodium aluminosilicate hydrate) phase, suggesting that a significant portion of the fly ash underwent effective geopolymerization. This advanced geopolymerization process results in a more refined and interconnected aluminosilicate gel matrix, leading to enhanced mechanical properties. The high Si content in this phase contributes to the overall densification and strength of the geopolymer, as silicon is a critical element in forming strong Si-O-Si and Si-O-Al linkages within the gel network. In contrast, the Ca/Al ratio of 1.38 observed in CS0.5 Point 2 signifies the formation of a C-A-S-H (calcium aluminosilicate hydrate) gel. The presence of a C-A-S-H phase suggests that calcium plays a more dominant role in the geopolymerization process for this mix. However, this often leads to a less homogeneous and more porous microstructure compared to N-A-S-H-dominated systems, which can contribute to reduced mechanical performance. The higher Ca content in C-A-S-H gels generally leads to larger pores and microcracks, resulting in lower compressive and tensile strength compared to N-A-S-H gels.
Moreover, the EDX data shows the presence of partially unreacted fly ash particles in the CS mixes, which corresponds to the lower Si/Al ratios and higher Ca/Na ratios in some points (e.g., CS0.5 Point 3 in Figure 21). This indicates incomplete geopolymerization, where the alkaline activators did not fully react with the fly ash particles. As a result, these unreacted fly ash particles create weak points in the matrix, leading to the formation of microcracks and voids, as observed in the SEM images. This microstructural weakness directly correlates with the reduced mechanical properties seen in the CS mixes.
This indicates incomplete geopolymerization, where the alkaline activators did not fully react with the fly ash particles. As a result, these unreacted fly ash particles create weak points in the matrix, leading to the formation of microcracks and voids, as observed in the SEM images. This microstructural weakness directly correlates with the reduced mechanical properties seen in the CS mixes.
Figure 22 and Figure 23 present the EDX spectra of the selected target points for AS0.5 and CS0.5, respectively, as indicated in the SEM images in Figure 20 and Figure 21. Table 8 summarizes the corresponding quantitative EDX elemental compositions and calculated elemental ratios for these points.
In contrast, the AS mixes (activated with silica fume) show a more homogeneous and denser microstructure, as evidenced by the consistent formation of N-A-S-H or N(C)-A-S-H phases with higher Si content and fewer unreacted particles. This is because silica fume provides an additional source of reactive silica, promoting the formation of more stable and cohesive geopolymer gels. This contributes to the enhanced compressive strength and reduced porosity observed in AS mixes. Additionally, the significant increase in silicon concentration within the micropores of the fly ash geopolymer confirms the formation of silica (SiO2) and calcium aluminum silicate (Ca2Al2SiO) within the matrix. These phases play a crucial role in reinforcing the geopolymer structure, as they fill the voids and contribute to the overall densification of the matrix. This densification not only enhances the mechanical strength but also improves the durability of the geopolymer, making it more resistant to environmental degradation.

4.4.3. ATR-FTIR Results

ATR-FTIR spectra of the silica fume, fly ash, and geopolymer samples were conducted to study the effect of alkaline activators and the reactions of silicate components (Figure 24). All the significant peaks corresponding to stretching and bending are presented in Table 8. All the geopolymer samples (AS0.5, AS0.7-65, AS0.7-80, CS0.7, CS0.5, AK0.5, and CK0.5) exhibit similar characteristic bands, indicating the occurrence of the expected chemical transformations during geopolymerization. The AS-based and CS-based mixes show comparable stretching and bending shifts, while the AK and CK mixes exhibit slightly smaller shifts, likely due to differences in polymer network structure influenced by potassium.
ATR-FTIR spectra of silica fume show a broad band at 1050 cm−1 and 790 cm−1, indicating O-Si-O asymmetric stretching vibrations [3,25,66]. The fly ash spectra has peaks at 930 cm−1 which indicates the Si-O stretching and 690 cm−1 which corresponds to asymmetric stretching vibrations of Si-O-Si and Ai-O-Si. The 790 cm−1 Al-O peak in the Silica Fume spectra disappears after the application of the alkali activator, and 1050 cm−1 shifts to 960 cm-1 for all the geopolymer samples, which may be the result of the O-Si-O bonds changing to Si-O-Al formation [25]. The stretching and bending at 3500 cm−1 and 1600 cm−1 for water is not present in any of the FTIR spectra, indicating complete removal of hydrates and moisture during the curing process [25]. The 1050 cm−1 of the silica fume disappears in the geopolymer mix, and there is a ~1400 cm−1 peak corresponding to the Si-O-Si stretching in all the geopolymer mixes. The 850 cm−1–880 cm−1 indicates the presence of non-bridging oxygen (excess oxygen atoms break the local symmetry of the silica network and create coordinated defects), which results in the silicate species forming bonds with the alkali ions (Na+) from the alkali activator [70]. These results validate the complete dissolution of silica fume and fly ash with the alkali activator solutions, causing changes in the Si-O bonding and stretching in the geopolymer samples. Table 8 lists the characteristic infrared bands and corresponding bond vibrations of the samples. In addition to peak position shifts, relative changes in band intensity were observed among different mixes, indicating variations in the degree of aluminosilicate network formation. However, full quantitative peak deconvolution, including peak intensity normalization and full width at half maximum (FWHM) analysis, was not performed and is therefore acknowledged as beyond the scope of the present study.

5. Conclusions

This research demonstrates the effectiveness of silica fume-derived sodium silicate alternative (SSA) as an activator for fly ash-based geopolymer mortar through mechanical testing and microstructural analysis using SEM, EDX, and ATR-FTIR. Comprehensive mechanical testing, microstructural characterization, and cost analysis confirmed SSA as a viable, cost-effective, and sustainable alternative for geopolymer applications.
SSA-activated mortars exhibited similar workability to SSC-based mixes while offering extended setting times, providing a practical advantage in construction applications. The mechanical testing revealed that SSA-based geopolymers outperformed SSC-based counterparts in compressive, flexural, and tensile strengths. Notably, the AS0.7-65 mix achieved the highest compressive strength, outperforming its SSC counterpart cured at 80 °C, highlighting the potential to reduce energy consumption without sacrificing performance. Moreover, SSA-based mixes exhibited superior flexural and tensile properties; particularly AS0.7-80, which outperformed all other mixes in bending and tensile performance.
Microstructural analysis via SEM and EDX confirmed that SSA-based geopolymers formed a denser and more homogeneous geopolymer matrix with fewer unreacted fly ash particles. The incorporation of silica fume enhanced the development of the sodium aluminosilicate hydrate (N-A-S-H) gel network, resulting in a well-structured and cohesive matrix. The higher OH content in SSA-based mixes facilitated the formation of calcium-rich crystalline phases, further improving strength and ductility. The co-existence of semi-crystalline and amorphous N(C)-A-S-H phases contributed to a more compact microstructure with lower porosity. ATR-FTIR spectra validated these chemical transformations, confirming effective geopolymerization and the development of a robust binder phase.
From an economic perspective, SSA-based geopolymer mortars were approximately 30% more cost-effective than SSC-based ones, primarily due to the lower production cost of SSA compared to commercially manufactured sodium silicate. The sustainability analysis revealed that SSA-based geopolymers reduced CO2 emissions by approximately 2% compared to SSC-based counterparts. Although this reduction is modest, the improved mechanical performance and cost-effectiveness of SSA significantly enhance its viability for sustainable construction applications. Furthermore, the findings indicate that curing at 65 °C is sufficient for optimal strength development, reducing the need for high-temperature curing and further minimizing the environmental impact.
Despite the advantages of SSA, further research is needed to explore ambient curing methods to enhance sustainability and reduce the energy footprint associated with geopolymer production. Additionally, long-term durability studies should be conducted to evaluate the resistance of SSA-based geopolymers to environmental factors such as sulfate attack, freeze–thaw cycles, and carbonation. Investigating the potential of SSA in large-scale applications, including 3D printing and precast elements, would further validate its implementation in the construction industry.
The scalability of SSA production is also an important consideration for industrial adoption. SSA can be synthesized in batch reactors or continuous dissolver systems, both capable of reliably dissolving silica fume in alkaline solutions. Effective temperature and mixing control are required to maintain a stable SiO2/M2O ratio and ensure consistent reactivity. The process can be integrated into existing chemical production lines, with manageable energy requirements and standard quality-control procedures. These factors indicate that SSA production can be feasibly scaled for commercial use.
In conclusion, SSA-activated geopolymers present a compelling alternative to traditional SSC-based systems, offering enhanced mechanical properties, improved microstructural integrity, and significant cost benefits. While the environmental impact reduction is modest, the overall performance gains position SSA as a viable and sustainable solution for next-generation geopolymer technology. The results of this study underscore the potential of SSA in advancing geopolymer applications, providing a practical pathway toward more sustainable and durable construction materials.

Author Contributions

N.P.: Writing—review and editing, Writing—original draft, Visualization, Validation, Software, Resources, Project administration, Methodology, Investigation, Formal analysis, Data curation, Conceptualization. P.R.: Formal analysis, Data curation, Writing—original draft. R.G.: Writing—review and editing, Supervision, Project administration, Funding acquisition. All authors have read and agreed to the published version of the manuscript.

Funding

This research received no external funding.

Data Availability Statement

Data will be made available upon request. Available datasets: raw strength data, SEM/EDX data, FTIR spectra, and mix design spreadsheets.

Acknowledgments

This research was conducted at the Camtec Facility at the University of Victoria (UVic). The authors extend their sincere gratitude to Elaine Humphrey and Cristina Cordoba for their invaluable support and expertise at the Advanced Microscopy Facility (AMF), Camtec, UVic. The authors have reviewed and edited the output and take full responsibility for the content of this publication.

Conflicts of Interest

The authors declare no conflicts of interest.

Abbreviations

The following abbreviations are used in this manuscript:
AAAlkali Activator
AACAlkali-Activated Concrete
AlAluminum
Al-Si GelAluminum-Silicate Gel
ASTMAmerican Society for Testing and Materials
ASAlternative Sodium Silicate mortar
ATRAttenuated Total Reflectance
A.U.Arbitrary Unit
C-A-S-HCalcium Aluminosilicate Hydrate
CADCanadian Dollars
CSCommercial Sodium Silicate mortar
CSHCalcium Silicate Hydrate
EDXEnergy-Dispersive X-ray Spectroscopy
FAFly Ash
FTIRFourier Transform Infrared Spectroscopy
ITZInterfacial Transition Zone
KOHPotassium Hydroxide
MKMetakaolin
NaOHSodium Hydroxide
N-A-S-HSodium Aluminosilicate Hydrate
OPCOrdinary Portland Cement
PCPortland Cement
PSCPotassium Silicate (Commercial)
PSAPotassium Silicate Alternative
RHARice Husk Ash
SEMScanning Electron Microscopy
SFSilica Fume
SSASilica Fume-Derived Sodium Silicate
SSSodium Silicate
SSCSodium Silicate (Commercial)

References

  1. Caldas, P.H.C.H.; de Azevedo, A.R.G.; Marvila, M.T. Silica fume activated by NaOH and KOH in cement mortars: Rheological and mechanical study. Constr. Build. Mater. 2023, 400, 132623. [Google Scholar] [CrossRef]
  2. Santos, T.A.; Cilla, M.S.; Ribeiro, E.D.V. Use of asbestos cement tile waste (ACW) as mineralizer in the production of Portland cement with low CO2 emission and lower energy consumption. J. Clean. Prod. 2022, 335, 130061. [Google Scholar] [CrossRef]
  3. Emdadi, Z.; Asim, N.; Amin, M.; Ambar Yarmo, M.; Maleki, A.; Azizi, M.; Sopian, K. Development of Green Geopolymer Using Agricultural and Industrial Waste Materials with High Water Absorbency. Appl. Sci. 2017, 7, 514. [Google Scholar] [CrossRef]
  4. Lemougna, P.N.; Wang, K.; Tang, Q.; Nzeukou, A.N.; Billong, N.; Melo, U.C.; Cui, X. Review on the use of volcanic ashes for engineering applications. Resour. Conserv. Recycl. 2018, 137, 177–190. [Google Scholar] [CrossRef]
  5. Xia, M.; Nematollahi, B.; Sanjayan, J. Printability, accuracy and strength of geopolymer made using powder-based 3D printing for construction applications. Autom. Constr. 2019, 101, 179–189. [Google Scholar] [CrossRef]
  6. Billong, N.; Kinuthia, J.; Oti, J.; Melo, U.C. Performance of sodium silicate free geopolymers from metakaolin (MK) and Rice Husk Ash (RHA): Effect on tensile strength and microstructure. Constr. Build. Mater. 2018, 189, 307–313. [Google Scholar] [CrossRef]
  7. Castillo, H.; Collado, H.; Droguett, T.; Vesely, M.; Garrido, P.; Palma, S. State of the art of geopolymers: A review. e-Polymers 2022, 22, 108–124. [Google Scholar] [CrossRef]
  8. Ye, H.; Radlińska, A. Fly ash-slag interaction during alkaline activation: Influence of activators on phase assemblage and microstructure formation. Constr. Build. Mater. 2016, 122, 594–606. [Google Scholar] [CrossRef]
  9. Jwaida, Z.; Dulaimi, A.; Mashaan, N.; Othuman Mydin, M.A. Geopolymers: The Green Alternative to Traditional Materials for Engineering Applications. Infrastructures 2023, 8, 98. [Google Scholar] [CrossRef]
  10. Furtos, G.; Prodan, D.; Sarosi, C.; Popa, D.; Moldovan, M.; Korniejenko, K. The Precursors Used for Developing Geopolymer Composites for Circular Economy—A Review. Materials 2024, 17, 1696. [Google Scholar] [CrossRef]
  11. Lopes, A.V.; Lopes, S.M.R.; Pinto, I. Influence of the Composition of the Activator on Mechanical Characteristics of a Geopolymer. Appl. Sci. 2020, 10, 3349. [Google Scholar] [CrossRef]
  12. Rodríguez, E.D.; Bernal, S.A.; Provis, J.L.; Paya, J.; Monzo, J.M.; Borrachero, M.V. Effect of nanosilica-based activators on the performance of an alkali-activated fly ash binder. Cem. Concr. Compos. 2013, 35, 1–11. [Google Scholar] [CrossRef]
  13. Bernal, S.A.; Rodríguez, E.D.; Mejia De Gutiérrez, R.; Provis, J.L.; Delvasto, S. Activation of Metakaolin/Slag Blends Using Alkaline Solutions Based on Chemically Modified Silica Fume and Rice Husk Ash. Waste Biomass Valor. 2012, 3, 99–108. [Google Scholar] [CrossRef]
  14. Tong, K.T.; Vinai, R.; Soutsos, M.N. Use of Vietnamese rice husk ash for the production of sodium silicate as the activator for alkali-activated binders. J. Clean. Prod. 2018, 201, 272–286. [Google Scholar] [CrossRef]
  15. Raza, M.H.; Khan, M.; Zhong, R.Y. Investigating the impact of alkaline activator on the sustainability potential of geopolymer and alternative hybrid materials. Mater. Today Sustain. 2024, 26, 100742. [Google Scholar] [CrossRef]
  16. Deabriges, J. Process for the Manufacture of Sodium Silicate. U.S. Patent 4336235A, 22 June 1982. Available online: https://patents.google.com/patent/US4336235A/en (accessed on 18 October 2024).
  17. Vinai, R.; Soutsos, M. Production of sodium silicate powder from waste glass cullet for alkali activation of alternative binders. Cem. Concr. Res. 2019, 116, 45–56. [Google Scholar] [CrossRef]
  18. Sun, Y.; Ghorbani, S.; Dai, X.; Ye, G.; De Schutter, G. Evaluation of rheology and strength development of alkali-activated slag with different silicates sources. Cem. Concr. Compos. 2022, 128, 104415. [Google Scholar] [CrossRef]
  19. Cheng, Y.; Cong, P.; Zhao, Q.; Hao, H.; Mei, L.; Zhang, A.; Han, Z.; Hu, M. Study on the effectiveness of silica fume-derived activator as a substitute for water glass in fly ash-based geopolymer. J. Build. Eng. 2022, 51, 104228. [Google Scholar] [CrossRef]
  20. Billong, N.; Oti, J.; Kinuthia, J. Using silica fume based activator in sustainable geopolymer binder for building application. Constr. Build. Mater. 2021, 275, 122177. [Google Scholar] [CrossRef]
  21. Oti, J.; Adeleke, B.O.; Mudiyanselage, P.R.; Kinuthia, J. A Comprehensive Performance Evaluation of GGBS-Based Geopolymer Concrete Activated by a Rice Husk Ash-Synthesised Sodium Silicate Solution and Sodium Hydroxide. Recycling 2024, 9, 23. [Google Scholar] [CrossRef]
  22. Adeleke, B.O.; Kinuthia, J.M.; Oti, J.; Ebailila, M. Physico-Mechanical Evaluation of Geopolymer Concrete Activated by Sodium Hydroxide and Silica Fume-Synthesised Sodium Silicate Solution. Materials 2023, 16, 2400. [Google Scholar] [CrossRef] [PubMed]
  23. Luna-Galiano, Y.; Leiva, C.; Arroyo, F.; Villegas, R.; Vilches, L.; Fernández-Pereira, C. Development of fly ash-based geopolymers using powder sodium silicate activator. Mater. Lett. 2022, 320, 132346. [Google Scholar] [CrossRef]
  24. Bellum, R.R.; Muniraj, K.; Madduru, S.R.C. Influence of activator solution on microstructural and mechanical properties of geopolymer concrete. Materialia 2020, 10, 100659. [Google Scholar] [CrossRef]
  25. Onutai, S.; Osugi, T.; Sone, T. Alumino-Silicate Structural Formation during Alkali-Activation of Metakaolin: In-Situ and Ex-Situ ATR-FTIR Studies. Materials 2023, 16, 985. [Google Scholar] [CrossRef] [PubMed]
  26. Xi, X.; Zheng, Y.; Zhuo, J.; Zhang, P.; Golewski, G.L.; Du, C. Mechanical properties and hydration mechanism of nano-silica modified alkali-activated thermally activated recycled cement. J. Build. Eng. 2024, 98, 110998. [Google Scholar] [CrossRef]
  27. Islam, M.T.; Kafle, B.; Al-Ameri, R. Natural Clay in Geopolymer Concrete: A Sustainable Alternative Pozzolanic Material for Future Green Construction—A Comprehensive Review. Sustainability 2025, 17, 10180. [Google Scholar] [CrossRef]
  28. Con-Fume. Kryton International Inc. 2023. Available online: https://www.kryton.com/technical-info/technical-data-sheets/TDS-Con-Fume.pdf (accessed on 19 September 2024).
  29. ASTM C1240; Specification for Silica Fume Used in Cementitious Mixtures. ASTM International: West Conshohocken, PA, USA, 2011. [CrossRef]
  30. Kang, S.-H.; Hong, S.-G.; Moon, J. Performance Comparison between Densified and Undensified Silica Fume in Ultra-High Performance Fiber-Reinforced Concrete. Materials 2020, 13, 3901. [Google Scholar] [CrossRef]
  31. Prem, P.R.; Ambily, P.S.; Vankudothu, B.; Bharatkumar, B.H. Sustainable Production of High Performance Concrete. In Encyclopedia of Renewable and Sustainable Materials; Elsevier: Amsterdam, The Netherlands, 2020; pp. 527–536. ISBN 978-0-12-813196-1. [Google Scholar]
  32. Lafarge, Centralia Fly Ash. Lafarge Seattle Concrete Lab. 2021. Available online: https://www.seattleconcretelab.net/wp-content/uploads/2022/01/Centralia-Fly-Ash-Cert-1-22-F.pdf (accessed on 19 September 2024).
  33. ASTM C191; Test Methods for Time of Setting of Hydraulic Cement by Vicat Needle. ASTM International: West Conshohocken, PA, USA, 2021. [CrossRef]
  34. Ndlovu, N.Z.N.; Missengue, R.N.M.; Petrik, L.F.; Ojumu, T. Synthesis and Characterization of Faujasite Zeolite and Geopolymer from South African Coal Fly Ash. J. Environ. Eng. 2017, 143, 04017042. [Google Scholar] [CrossRef]
  35. Patil, K.K.; Allouche, E.N. Impact of Alkali Silica Reaction on Fly Ash-Based Geopolymer Concrete. J. Mater. Civ. Eng. 2013, 25, 131–139. [Google Scholar] [CrossRef]
  36. Sukmak, P.; Horpibulsuk, S.; Shen, S.-L. Strength development in clay–fly ash geopolymer. Constr. Build. Mater. 2013, 40, 566–574. [Google Scholar] [CrossRef]
  37. ASTM C1437; Test Method for Flow of Hydraulic Cement Mortar. ASTM International: West Conshohocken, PA, USA, 2015. [CrossRef]
  38. ASTM C807; Test Method for Time of Setting of Hydraulic Cement Mortar by Modified Vicat Needle. ASTM International: West Conshohocken, PA, USA, 2021. [CrossRef]
  39. ASTM C109; Test Method for Compressive Strength of Hydraulic Cement Mortars (Using 2-in. or [50-mm] Cube Specimens). ASTM International: West Conshohocken, PA, USA, 2020. [CrossRef]
  40. ASTM C307; Test Method for Tensile Strength of Chemical-Resistant Mortar, Grouts, and Monolithic Surfacings. ASTM International: West Conshohocken, PA, USA, 2023. [CrossRef]
  41. ASTM C293; Test Method for Flexural Strength of Concrete (Using Simple Beam With Center-Point Loading). ASTM International: West Conshohocken, PA, USA, 2016. [CrossRef]
  42. Davidovits, J. Geopolymer: Chemistry & Applications, 5th ed.; Institut Géopolymère: Saint-Quentin, France, 2020; ISBN 978-2-9544531-1-8. [Google Scholar]
  43. Rihan, M.A.M.; Onchiri, R.O.; Gathimba, N.; Sabuni, B. Effect of elevated temperature on the mechanical properties of geopolymer concrete: A critical review. Discov. Civ. Eng. 2024, 1, 24. [Google Scholar] [CrossRef]
  44. De la Peña, F.; Prestat, E.; Lähnemann, J.; Tonaas Fauske, V.; Burdet, P.; Jokubauskas, P.; Furnival, T.; Francis, C.; Nord, M.; Ostasevicius, T.; et al. Hyperspy, version v2.2.0; Zenodo: Geneva, Switzerland, 2024. [Google Scholar] [CrossRef]
  45. Ionic radius Wikipedia. Available online: https://en.wikipedia.org/w/index.php?title=Ionic_radius&oldid=1218208781 (accessed on 21 February 2025).
  46. Sabitha, D.; Dattatreya, J.K.; Sakthivel, N.; Bhuvaneshwari, M.; Sathik, S.A.J. Reactivity, workability and strength of potassium versus sodium-activated high volume fly ash-based geopolymers. Curr. Sci. 2012, 103, 1320–1327. [Google Scholar]
  47. Sodium Hydroxide. Sigma-Aldrich. Available online: https://www.sigmaaldrich.com/CA/en/product/sigald/221465 (accessed on 19 September 2024).
  48. Silica Fume Price Per kg. Henan Superior Abrasives Import & Export Co., Ltd. Available online: https://microsilica-fume.com/silica-fume-price-per-kg.html (accessed on 19 September 2024).
  49. Potassium Hydroxide. Sigma-Aldrich. Available online: https://www.sigmaaldrich.com/CA/en/product/sigald/30603 (accessed on 19 September 2024).
  50. Potassium Silicate. Thermo Scientific Chemicals. Available online: https://www.thermofisher.com/order/catalog/product/044493.A3 (accessed on 19 September 2024).
  51. Turner, L.K.; Collins, F.G. Carbon dioxide equivalent (CO2-e) emissions: A comparison between geopolymer and OPC cement concrete. Constr. Build. Mater. 2013, 43, 125–130. [Google Scholar] [CrossRef]
  52. Sodium Hydroxide (NaOH). E524. CarbonCloud. Available online: https://apps.carboncloud.com/climatehub/product-reports/id/183314951001 (accessed on 19 September 2024).
  53. Potassium Hydroxide (KOH). E525. CarbonCloud. Available online: https://apps.carboncloud.com/climatehub/product-reports/id/1394351136979 (accessed on 19 September 2024).
  54. Silica Fume & Sustainability. Norchem, Inc. Available online: https://www.norchem.com/applications-sustainability.html (accessed on 20 September 2024).
  55. Oyebisi, S.; Olutoge, F.; Kathirvel, P.; Oyaotuderekumor, I.; Lawanson, D.; Nwani, J.; Ede, A.; Kaze, R. Sustainability assessment of geopolymer concrete synthesized by slag and corncob ash. Case Stud. Constr. Mater. 2022, 17, e01665. [Google Scholar] [CrossRef]
  56. Fly ash. Concrete Construction Magazine, Fly Ash in Concrete: Availability, Cost, and Market Trends. Concrete Construction Magazine. Available online: https://www.concreteconstruction.net (accessed on 20 September 2024).
  57. Sand & Gravel Sales. Sharecost Rentals & Sales Ltd. Available online: https://sharecost.ca/bulk.html (accessed on 20 September 2024).
  58. Han, Y.; Oh, S.; Wang, X.-Y.; Lin, R.-S. Hydration–Strength–Workability–Durability of Binary, Ternary, and Quaternary Composite Pastes. Materials 2021, 15, 204. [Google Scholar] [CrossRef]
  59. Zhu, X.; Zhang, Y.; Liu, Z.; Qiao, H.; Ye, F.; Lei, Z. Research on carbon emission reduction of manufactured sand concrete based on compressive strength. Constr. Build. Mater. 2023, 403, 133101. [Google Scholar] [CrossRef]
  60. Liu, M.; Dai, W.; Jin, W.; Li, M.; Yang, X.; Han, Y.; Huang, M. Mix proportion design and carbon emission assessment of high strength geopolymer concrete based on ternary solid waste. Sci. Rep. 2024, 14, 24989. [Google Scholar] [CrossRef]
  61. Tushar, Q.; Bhuiyan, M.A.; Abunada, Z.; Lemckert, C.; Giustozzi, F. Carbon Footprint and Uncertainties of Geopolymer Concrete Production: A Comprehensive Life Cycle Assessment (LCA). C 2025, 11, 55. [Google Scholar] [CrossRef]
  62. Wang, H.; Zhao, X.; Wang, T.; Su, L.; Zhou, B.; Lin, Y. Determination of Gel Products in Alkali-Activated Fly Ash-Based Composites Incorporating Inorganic Calcium Additives. Adv. Mater. Sci. Eng. 2022, 2022, 7476671. [Google Scholar] [CrossRef]
  63. Barbhuiya, S.; Pang, E. Strength and Microstructure of Geopolymer Based on Fly Ash and Metakaolin. Materials 2022, 15, 3732. [Google Scholar] [CrossRef]
  64. Lu, Y.; Cui, N.; Xian, Y.; Liu, J.; Xing, C.; Xie, N.; Wang, D. Microstructure Evolution Mechanism of Geopolymers with Exposure to High-Temperature Environment. Crystals 2021, 11, 1062. [Google Scholar] [CrossRef]
  65. Sivasakthi, M.; Jeyalakshmi, R.; Rajamane, N.P.; Revathi, T. Use of Analytical Techniques for the Identification of the Geopolymer Reactions. Orient. J. Chem. 2017, 33, 2103–2110. [Google Scholar] [CrossRef]
  66. Fernández-Jiménez, A.; Palomo, A. Composition and microstructure of alkali activated fly ash binder: Effect of the activator. Cem. Concr. Res. 2005, 35, 1984–1992. [Google Scholar] [CrossRef]
  67. Choi, Y.C.; Park, B. Effects of high-temperature exposure on fractal dimension of fly-ash-based geopolymer composites. J. Mater. Res. Technol. 2020, 9, 7655–7668. [Google Scholar] [CrossRef]
  68. De Silva, P.; Sagoe-Crenstil, K. Medium-term phase stability of Na2O–Al2O3–SiO2–H2O geopolymer systems. Cem. Concr. Res. 2008, 38, 870–876. [Google Scholar] [CrossRef]
  69. Cui, H.; Xu, Z.; Guo, T.; Hu, S.; Xia, R.; Zhang, S.; Wang, Y.; Zhou, J. Calcium Hydroxide–Phosphate-Modified Fly Ash Enhances the Adsorption and Stabilization of Soil Lead and Cadmium. Agronomy 2024, 14, 2905. [Google Scholar] [CrossRef]
  70. Rees, C.A.; Provis, J.L.; Lukey, G.C.; Van Deventer, J.S.J. Attenuated Total Reflectance Fourier Transform Infrared Analysis of Fly Ash Geopolymer Gel Aging. Langmuir 2007, 23, 8170–8179. [Google Scholar] [CrossRef]
Figure 1. SEM image of the Silica Fume (SF) at magnification of (a) 100 µm, (b) 10 µm.
Figure 1. SEM image of the Silica Fume (SF) at magnification of (a) 100 µm, (b) 10 µm.
Jcs 10 00022 g001
Figure 2. SEM images of the Fly Ash (FA) at magnifications of (a) 30 µm, (b) 10 µm.
Figure 2. SEM images of the Fly Ash (FA) at magnifications of (a) 30 µm, (b) 10 µm.
Jcs 10 00022 g002
Figure 3. Penetration vs. time: Time of setting corresponds to the moment when the needle penetrates 10 mm in the mortar.
Figure 3. Penetration vs. time: Time of setting corresponds to the moment when the needle penetrates 10 mm in the mortar.
Jcs 10 00022 g003
Figure 4. Flow table test.
Figure 4. Flow table test.
Jcs 10 00022 g004
Figure 5. Compressive strength (MPa) at 7, 14, and 28 days.
Figure 5. Compressive strength (MPa) at 7, 14, and 28 days.
Jcs 10 00022 g005
Figure 6. Flexural strength (MPa) at 7, 14, and 28 days.
Figure 6. Flexural strength (MPa) at 7, 14, and 28 days.
Jcs 10 00022 g006
Figure 7. Tensile strength (MPa) at 7, 14, and 28 days.
Figure 7. Tensile strength (MPa) at 7, 14, and 28 days.
Jcs 10 00022 g007
Figure 8. (a) Cost (b) CO2 emissions of single and binary alkali activators per liter.
Figure 8. (a) Cost (b) CO2 emissions of single and binary alkali activators per liter.
Jcs 10 00022 g008
Figure 9. SEM Images of Specimen CS0.7 at magnification of (a) 100 µm, (b) 50 µm.
Figure 9. SEM Images of Specimen CS0.7 at magnification of (a) 100 µm, (b) 50 µm.
Jcs 10 00022 g009
Figure 10. SEM Images of Specimen AS0.7-80 at magnification of (a) 500 µm, (b) 100 µm.
Figure 10. SEM Images of Specimen AS0.7-80 at magnification of (a) 500 µm, (b) 100 µm.
Jcs 10 00022 g010
Figure 11. SEM Images of Specimen CS0.7 at magnification of (a) 100 µm, (b) 30 µm.
Figure 11. SEM Images of Specimen CS0.7 at magnification of (a) 100 µm, (b) 30 µm.
Jcs 10 00022 g011
Figure 12. SEM Images of Specimen AS0.7-80 at magnification of (a) 100 µm, (b) 30 µm.
Figure 12. SEM Images of Specimen AS0.7-80 at magnification of (a) 100 µm, (b) 30 µm.
Jcs 10 00022 g012
Figure 13. SEM Images of Specimen AS0.7-65 at magnification of (a) 40 µm, (b) 5 µm.
Figure 13. SEM Images of Specimen AS0.7-65 at magnification of (a) 40 µm, (b) 5 µm.
Jcs 10 00022 g013
Figure 14. SEM Images of Specimen AS0.7-65 at magnification of (a) 50 µm, (b) 10 µm.
Figure 14. SEM Images of Specimen AS0.7-65 at magnification of (a) 50 µm, (b) 10 µm.
Jcs 10 00022 g014
Figure 15. SEM Images of Specimen AS0.5 at magnification of (a) 50 µm, (b) 20 µm.
Figure 15. SEM Images of Specimen AS0.5 at magnification of (a) 50 µm, (b) 20 µm.
Jcs 10 00022 g015
Figure 16. SEM Images of Specimen CS0.5 at magnification of (a) 100 µm, (b) 10 µm.
Figure 16. SEM Images of Specimen CS0.5 at magnification of (a) 100 µm, (b) 10 µm.
Jcs 10 00022 g016
Figure 17. (a) SEM Image of CS0.7 at magnification of 100 µm, (b) EDX map, (c) Elemental maps, (d) EDX Spectra.
Figure 17. (a) SEM Image of CS0.7 at magnification of 100 µm, (b) EDX map, (c) Elemental maps, (d) EDX Spectra.
Jcs 10 00022 g017
Figure 18. (a) SEM Image of AS0.7-80 at magnification of 100 µm, (b) 30 µm (c) EDX Spectra, (d) Elemental maps, (e) EDX map.
Figure 18. (a) SEM Image of AS0.7-80 at magnification of 100 µm, (b) 30 µm (c) EDX Spectra, (d) Elemental maps, (e) EDX map.
Jcs 10 00022 g018
Figure 19. (a) SEM Image of AS0.7-80 at magnification of 100 µm, (b) 50 µm (c) EDX Spectra, (d) Elemental maps, (e) EDX map.
Figure 19. (a) SEM Image of AS0.7-80 at magnification of 100 µm, (b) 50 µm (c) EDX Spectra, (d) Elemental maps, (e) EDX map.
Jcs 10 00022 g019
Figure 20. SEM Image of Specimen AS0.5.
Figure 20. SEM Image of Specimen AS0.5.
Jcs 10 00022 g020
Figure 21. SEM Image of Specimen CS0.5.
Figure 21. SEM Image of Specimen CS0.5.
Jcs 10 00022 g021
Figure 22. EDX Signal of Points 1, 2, 3 of AS0.5.
Figure 22. EDX Signal of Points 1, 2, 3 of AS0.5.
Jcs 10 00022 g022
Figure 23. EDX Signal of Points 1, 2, 3 of CS0.5.
Figure 23. EDX Signal of Points 1, 2, 3 of CS0.5.
Jcs 10 00022 g023
Figure 24. ATR-FTIR spectra of silica fume, fly ash, and geopolymer samples.
Figure 24. ATR-FTIR spectra of silica fume, fly ash, and geopolymer samples.
Jcs 10 00022 g024
Table 1. Chemical compositions of silica fume and fly ash [28,32].
Table 1. Chemical compositions of silica fume and fly ash [28,32].
Chemical CompositionsSilica Fume (SF)Fly Ash (FA)
Silicon Dioxide (SiO2)89–95%47.1%
Aluminum Oxide (Al2O3)1.0–2.0%17.40%
Calcium Oxide (CaO)0.9–1.5%14.0%
Iron Oxide (Fe2O3)1.5–2.5%5.7%
Magnesium Oxide0.5–1.0%5.40%
Total Alkalis as Equivalent Na2O0.5–0.9%N/A 1
Sulfur Trioxide (SO3)0.1–0.5%0.80%
Loss on Ignition2.5–5.0%0.19%
Moisture Content0.1–0.5%N/A
1 Not Provided by Manufacturer.
Table 2. Physical properties of silica fume and fly ash [28,32].
Table 2. Physical properties of silica fume and fly ash [28,32].
Physical PropertiesSilica Fume (SF)Fly Ash (FA)
AppearanceLight Gray PowderTan Powder
Specific Gravity, CSA A3004-13-A42.22.66
Bulk Density600–650 kg/m3-
Fineness, CSA A3004-13-A3 (45 μm retained)1–3%18.30%
Soundness, CSA A3004-13-B5 (Autoclave Expansion)0.01–0.05%0.02%
7-day Pozzolanic Strength Activity Index, ASTM C1240-14120–127%101%
BET Fineness, ASTM C1240-14 (specific surface)18–21 m2/gN/A 1
Physical PropertiesSilica Fume (SF)Fly Ash (FA)
AppearanceLight Gray PowderTan Powder
1 Not Provided by Manufacturer.
Table 3. Mix compositions of geopolymer mortars.
Table 3. Mix compositions of geopolymer mortars.
Mix CodeFA (kg)Total AA (kg)Alkaline Activators (AA)Sand (kg)
SSA (kg)SSC (kg)NaOH 10 M (kg)PSA (kg)PSC (kg)KOH 10 M (kg)
CS0.7600420 214.63205.37 1200
AS0.7420228.71 191.31
CS0.5300 153.3146.7
AS0.5300163.4 136.6
CK0.5300 105.53194.47
AK0.5300 162.77 137.24
Table 4. Volumetric proportions of geopolymer mortars.
Table 4. Volumetric proportions of geopolymer mortars.
Mix codeSand/PAA/P RatioM2SiO3/MOH *MSC (L)MSA (L)MOH 10 M (L)
CS0.72:10.71:1154.41 154.41
AS0.7 143.84143.84
CS0.50.5110.3 110.3
AS0.5 102.74102.74
CK0.5150.75 150.75
AK0.5 106.38106.38
*: M = Na or K.
Table 5. Flowability test.
Table 5. Flowability test.
AS0.7CS0.7AS0.5CS0.5CK0.5AK0.5
Flow Diameter (A) (mm)250245240250235150
Flow (%)15014514015013550
Table 6. CO2 emission and sustainability index of geopolymer mixes.
Table 6. CO2 emission and sustainability index of geopolymer mixes.
AS0.7CS0.7AS0.5CS0.5CK0.5AK0.5
28-day f c (MPa)44.7730.2239.0240.2011.6722.4
Production Cost (CAD/m3)1388.031931.891104.081533.491398.741494.60
CO2-m3 (kg CO2)505.65509.75399.61408.26258.42284.17
Compressive cost index (Ic)30.9963.9328.3038.15119.8066.74
Sustainability index Efc10.6616.8610.2410.1510.2112.96
Table 7. EDS of Specimens AS0.5 and CS0.5.
Table 7. EDS of Specimens AS0.5 and CS0.5.
PointO/%Si/%Al/%Fe/%Na/%Ca/%Si/Al Ca/Al Ca/Si Ca/Na
AS0.5Point 148.8921.557.849.753.445.252.750.670.241.53
Point 253.931.981.185.443.071.0427.10.880.030.34
Point 348.0518.724.917.227.258.153.811.660.441.12
CS0.5Point 136.465.791.381.429.584.514.23.270.780.47
Point 223.2924.947.657.711.9910.573.261.380.425.31
Point 338.7928.716.492.133.041.594.420.240.060.52
Table 8. Characteristic infrared bands of the samples.
Table 8. Characteristic infrared bands of the samples.
Wavenumber (cm−1)Bonding
1400–1420Si-O-Si stretching
1050Asymmetric stretching (O-Si-O)
960–930Si-O stretching (Si-O-Na)
880–850Si-O stretching
810–790Al-O bending vibrations
700–680Asymmetric stretching (Si-O-Si and Ai-O-Si)
Disclaimer/Publisher’s Note: The statements, opinions and data contained in all publications are solely those of the individual author(s) and contributor(s) and not of MDPI and/or the editor(s). MDPI and/or the editor(s) disclaim responsibility for any injury to people or property resulting from any ideas, methods, instructions or products referred to in the content.

Share and Cite

MDPI and ACS Style

Pourdolat, N.; Raizada, P.; Gupta, R. Mechanical and Microstructural Performance of Fly Ash-Based Geopolymer Mortar Activated by Silica Fume-Derived Sodium Silicate. J. Compos. Sci. 2026, 10, 22. https://doi.org/10.3390/jcs10010022

AMA Style

Pourdolat N, Raizada P, Gupta R. Mechanical and Microstructural Performance of Fly Ash-Based Geopolymer Mortar Activated by Silica Fume-Derived Sodium Silicate. Journal of Composites Science. 2026; 10(1):22. https://doi.org/10.3390/jcs10010022

Chicago/Turabian Style

Pourdolat, Navid, Prakriti Raizada, and Rishi Gupta. 2026. "Mechanical and Microstructural Performance of Fly Ash-Based Geopolymer Mortar Activated by Silica Fume-Derived Sodium Silicate" Journal of Composites Science 10, no. 1: 22. https://doi.org/10.3390/jcs10010022

APA Style

Pourdolat, N., Raizada, P., & Gupta, R. (2026). Mechanical and Microstructural Performance of Fly Ash-Based Geopolymer Mortar Activated by Silica Fume-Derived Sodium Silicate. Journal of Composites Science, 10(1), 22. https://doi.org/10.3390/jcs10010022

Article Metrics

Back to TopTop