Evaluating Self-Produced PLA Filament for Sustainable 3D Printing: Mechanical Properties and Energy Consumption Compared to Commercial Alternatives
Abstract
1. Introduction
2. Materials and Methods
2.1. Materials
2.2. Filament Production
2.3. Samples 3D Printing
2.4. Characterization Techniques
2.4.1. Optical Microscopy
2.4.2. Energy Consumption
2.4.3. Differential Scanning Calorimetry (DSC)
2.4.4. X-Ray Computed Tomography (X-CT)
2.4.5. Tensile Testing
3. Results and Discussion
3.1. Filament Production and 3D Printing Samples
3.2. Energy Consumption
3.3. Thermal Characterization
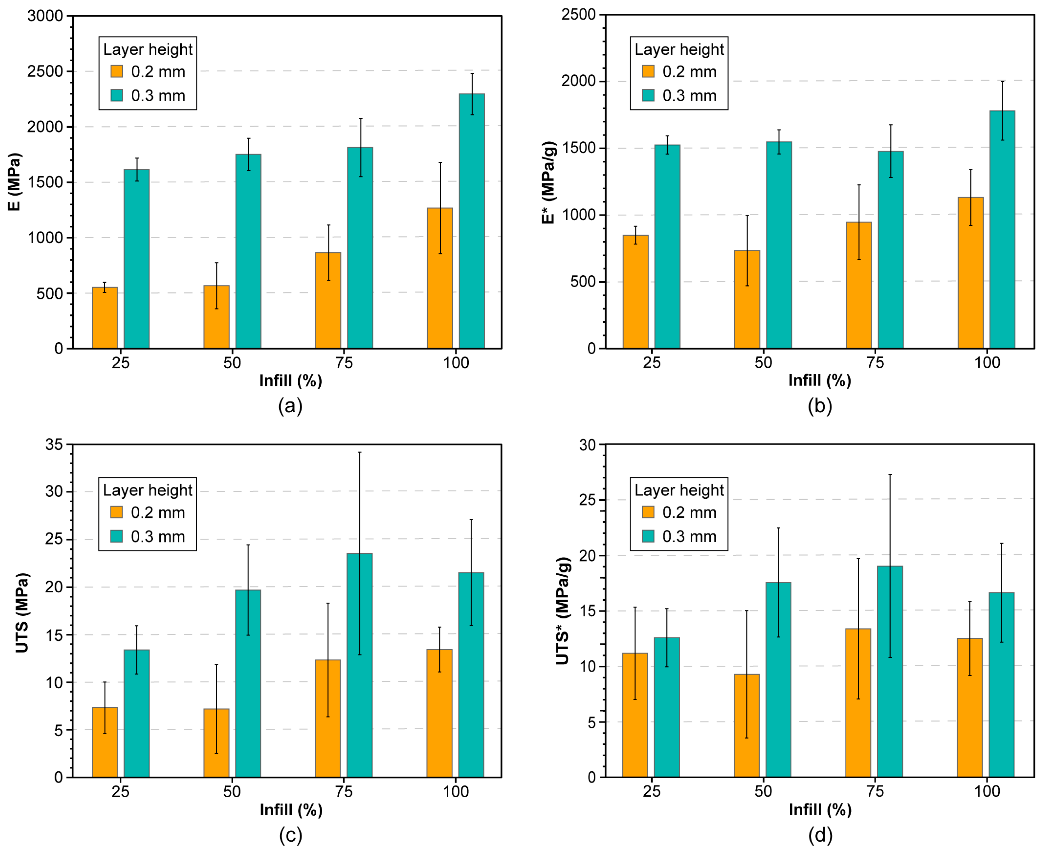
3.4. Tensile Characterization
3.5. Comparison with 3D Samples Produced with Commercial PLA Filament
4. Conclusions
- The SP filament exhibited higher diameter variability, leading to greater deposition rate fluctuations compared to the commercial PLA filament, although 3D printing remained feasible.
- Thermal analysis confirmed that extrusion and printing had no significant impact on the melting and glass transition temperatures of the PLA.
- X-ray computed tomography (X-CT) revealed small voids or imperfections in the cross-sections of the SP samples, indicating inconsistencies in material deposition during 3D printing.
- The resulting uneven material distribution in the SP specimens resulted in inferior mechanical performance compared to that of the C specimens. Tensile testing showed that both stiffness and tensile strength were consistently higher for the C samples than for those printed with the SP filament.
- Using a 0.3 mm layer height improved the efficiency by reducing the specific energy consumption by 50% and increasing the deposition rate by a similar margin. Additionally, specimens printed with this layer height exhibited higher tensile properties than those printed with a 0.2 mm layer height for both the SP and C filaments.
- SP filament exhibited nearly three times higher energy consumption than the C filament, also due to material waste from inconsistent filament diameter.
Supplementary Materials
Author Contributions
Funding
Data Availability Statement
Acknowledgments
Conflicts of Interest
References
- Volpini, V.; Giubilini, A.; Corsi, L.; Nobili, A.; Bondioli, F. Characterization of Biocompatible Scaffolds Manufactured by Fused Filament Fabrication of Poly(3-Hydroxybutyrate-Co-3-Hydroxyhexanoate). R. Soc. Open Sci. 2022, 9, 211485. [Google Scholar] [CrossRef] [PubMed]
- Kumar, R.; Kumar, M.; Chohan, J.S. The Role of Additive Manufacturing for Biomedical Applications: A Critical Review. J. Manuf. Process 2021, 64, 828–850. [Google Scholar] [CrossRef]
- Ebrahimi, F.; Xu, H.; Fuenmayor, E.; Major, I. Material Compatibility and Processing Challenges in Droplet Deposition Modelling Additive Manufacturing: A Study on Pharmaceutical Excipients Polyvinylpyrrolidone/Vinyl Acetate (PVP/VA) and Polycaprolactone (PCL). Eur. J. Pharm. Sci. 2024, 200, 106850. [Google Scholar] [CrossRef]
- Ebrahimi, F.; Xu, H.; Fuenmayor, E.; Major, I. Tailoring Drug Release in Bilayer Tablets through Droplet Deposition Modeling and Injection Molding. Int. J. Pharm. 2024, 653, 123859. [Google Scholar] [CrossRef]
- Ebrahimi, F.; Xu, H.; Fuenmayor, E.; Major, I. A Comparison of Droplet Deposition Modelling, Fused Filament Fabrication, and Injection Moulding for the Production of Oral Dosage Forms Containing Hydrochlorothiazide. Int. J. Pharm. 2023, 645, 123400. [Google Scholar] [CrossRef]
- Blakey-Milner, B.; Gradl, P.; Snedden, G.; Brooks, M.; Pitot, J.; Lopez, E.; Leary, M.; Berto, F.; du Plessis, A. Metal Additive Manufacturing in Aerospace: A Review. Mater. Des. 2021, 209, 110008. [Google Scholar] [CrossRef]
- Tschorn, J.A.; Fuchs, D.; Vietor, T. Potential Impact of Additive Manufacturing and Topology Optimization Inspired Lightweight Design on Vehicle Track Performance. Int. J. Interact. Des. Manuf. 2021, 15, 499–508. [Google Scholar] [CrossRef]
- Giubilini, A.; Minetola, P. Multimaterial 3D Printing of Auxetic Jounce Bumpers for Automotive Suspensions. Rapid Prototyp. J. 2023, 29, 131–142. [Google Scholar] [CrossRef]
- Gulzar, U.; Glynn, C.; O’Dwyer, C. Additive Manufacturing for Energy Storage: Methods, Designs and Material Selection for Customizable 3D Printed Batteries and Supercapacitors. Curr. Opin. Electrochem. 2020, 20, 46–53. [Google Scholar] [CrossRef]
- Böhme Tillmann and Birtchnell, T. 3DP and the Domestication of Supply Chains in the Future. In Managing 3D Printing: Operations Management for Additive Manufacturing; Eyers, D., Ed.; Springer International Publishing: Cham, Switzerland, 2020; pp. 179–190. ISBN 978-3-030-23323-5. [Google Scholar]
- Qin, J.; Liu, Y.; Grosvenor, R. A Categorical Framework of Manufacturing for Industry 4.0 and Beyond. Procedia CIRP 2016, 52, 173–178. [Google Scholar] [CrossRef]
- Yadav, A.; Rohru, P.; Babbar, A.; Kumar, R.; Ranjan, N.; Chohan, J.S.; Kumar, R.; Gupta, M. Fused Filament Fabrication: A State-of-the-Art Review of the Technology, Materials, Properties and Defects. Int. J. Interact. Des. Manuf. 2022, 17, 2867–2889. [Google Scholar] [CrossRef]
- Grujovic, N.; Zivic, F.; Zivkovic, M.; Sljivic, M.; Radovanovic, A.; Bukvic, L.; Mladenovic, M.; Sindjelic, A. Custom Design of Furniture Elements by Fused Filament Fabrication. Proc. Inst. Mech. Eng. C J. Mech. Eng. Sci. 2017, 231, 88–95. [Google Scholar] [CrossRef]
- Go, J.; Schiffres, S.N.; Stevens, A.G.; Hart, A.J. Rate Limits of Additive Manufacturing by Fused Filament Fabrication and Guidelines for High-Throughput System Design. Addit. Manuf. 2017, 16, 1–11. [Google Scholar] [CrossRef]
- Corona, B.; Shen, L.; Reike, D.; Rosales Carreón, J.; Worrell, E. Towards Sustainable Development through the Circular Economy—A Review and Critical Assessment on Current Circularity Metrics. Resour. Conserv. Recycl. 2019, 151, 104498. [Google Scholar] [CrossRef]
- Hegab, H.; Shaban, I.; Jamil, M.; Khanna, N. Toward Sustainable Future: Strategies, Indicators, and Challenges for Implementing Sustainable Production Systems. Sustain. Mater. Technol. 2023, 36, e00617. [Google Scholar] [CrossRef]
- Chen, Y. Advantages of 3D Printing for Circular Economy and Its Influence on Designers. Proc. Des. Soc. 2022, 2, 991–1000. [Google Scholar] [CrossRef]
- Ruiz, L.E.; Pinho, A.C.; Resende, D.N. 3D Printing as a Disruptive Technology for the Circular Economy of Plastic Components of End-of-Life Vehicles: A Systematic Review. Sustainability 2022, 14, 13256. [Google Scholar] [CrossRef]
- Despeisse, M.; Baumers, M.; Brown, P.; Charnley, F.; Ford, S.J.; Garmulewicz, A.; Knowles, S.; Minshall, T.H.W.; Mortara, L.; Reed-Tsochas, F.P.; et al. Unlocking Value for a Circular Economy through 3D Printing: A Research Agenda. Technol. Forecast. Soc. Change 2017, 115, 75–84. [Google Scholar] [CrossRef]
- Senyana, L.; Cormier, D. An Environmental Impact Comparison of Distributed and Centralized Manufacturing Scenarios. Adv. Mat. Res. 2014, 875–877, 1449–1453. [Google Scholar] [CrossRef]
- Shaik, Y.P.; Schuster, J.; Shaik, A. A Scientific Review on Various Pellet Extruders Used in 3D Printing FDM Processes. Open Access Libr. J. 2021, 08, 1–19. [Google Scholar] [CrossRef]
- Fico, D.; Rizzo, D.; Casciaro, R.; Esposito Corcione, C. A Review of Polymer-Based Materials for Fused Filament Fabrication (FFF): Focus on Sustainability and Recycled Materials. Polymers 2022, 14, 465. [Google Scholar] [CrossRef] [PubMed]
- Su, J.; Wei Long, N.; Jia, A.; Wai Yee, Y.; Chee Kai, C.; and Sing, S.L. Achieving Sustainability by Additive Manufacturing: A State-of-the-Art Review and Perspectives. Virtual Phys. Prototyp. 2024, 19, e2438899. [Google Scholar] [CrossRef]
- Odera, R.S.; Idumah, C.I. Novel Advancements in Additive Manufacturing of PLA: A Review. Polym. Eng. Sci. 2023, 63, 3189–3208. [Google Scholar] [CrossRef]
- Pan, C.; Gao, Q.; Chen, Y.; Wang, Y.; Tang, Z. Recent Progress in Biosourced Polylactic Acid-Based Biocomposites for Dentistry: A Review. Int. J. Biol. Macromol. 2025, 310, 143528. [Google Scholar] [CrossRef]
- Mohanta, Y.K.; Mishra, A.K.; Lakshmayya, N.S.V.; Panda, J.; Thatoi, H.; Sarma, H.; Rustagi, S.; Baek, K.-H.; Mishra, B. Agro-Waste-Derived Bioplastics: Sustainable Innovations for a Circular Economy. Waste Biomass Valorization 2025. [Google Scholar] [CrossRef]
- Tagudin, N.M.F.B.A.; Ibrahim, N.B. Synthesis of Polylactic Acid from Apple, Pineapple, and Potato Residues. ASEAN J. Chem. Eng. 2025, 25, 75–86. [Google Scholar] [CrossRef]
- Cojocaru, V.; Frunzaverde, D.; Miclosina, C.-O.; Marginean, G. The Influence of the Process Parameters on the Mechanical Properties of PLA Specimens Produced by Fused Filament Fabrication&mdash—A Review. Polymers 2022, 14, 886. [Google Scholar] [CrossRef]
- Bardiya, S.; Jerald, J.; Satheeshkumar, V. Effect of Process Parameters on the Impact Strength of Fused Filament Fabricated (FFF) Polylactic Acid (PLA) Parts. Mater. Today Proc. 2021, 41, 1103–1106. [Google Scholar] [CrossRef]
- Ramezani Dana, H.; Ebrahimi, F. Synthesis, Properties, and Applications of Polylactic Acid-Based Polymers. Polym. Eng. Sci. 2023, 63, 22–43. [Google Scholar] [CrossRef]
- Plamadiala, I.; Croitoru, C.; Pop, M.A.; Roata, I.C. Enhancing Polylactic Acid (PLA) Performance: A Review of Additives in Fused Deposition Modelling (FDM) Filaments. Polymers 2025, 17, 191. [Google Scholar] [CrossRef]
- Ilyas, R.A.; Sapuan, S.M.; Harussani, M.M.; Hakimi, M.Y.A.Y.; Haziq, M.Z.M.; Atikah, M.S.N.; Asyraf, M.R.M.; Ishak, M.R.; Razman, M.R.; Nurazzi, N.M.; et al. Polylactic Acid (PLA) Biocomposite: Processing, Additive Manufacturing and Advanced Applications. Polymers 2021, 13, 1326. [Google Scholar] [CrossRef] [PubMed]
- Ebrahimi, F.; and Ramezani Dana, H. Poly Lactic Acid (PLA) Polymers: From Properties to Biomedical Applications. Int. J. Polym. Mater. Polym. Biomater. 2022, 71, 1117–1130. [Google Scholar] [CrossRef]
- Ramezani Dana, H.; El Mansori, M.; Contreras Echevarria, A.; Muñoz Basagoiti, M.X.; Pisarski, M.; Cucuzzella, F.; Sansone, C. Determination of Shear Strength of Additively Manufactured Poly Lactic Acid/Flax Fibre Bio-Composite via the Iosipescu Test. Compos. Commun. 2024, 47, 101858. [Google Scholar] [CrossRef]
- Mirón, V.; Ferrándiz, S.; Juárez, D.; Mengual, A. Manufacturing and Characterization of 3D Printer Filament Using Tailoring Materials. Procedia Manuf. 2017, 13, 888–894. [Google Scholar] [CrossRef]
- Hartig, S.; Hildebrandt, L.; Fette, M.; Meyer, T.; Musienko, E.; Redlich, T.; Wulfsberg, J. Process Parameter Determination for Small Recycling Plants for the Production of Filament for FFF Printing Using the Taguchi Method. Prog. Addit. Manuf. 2022, 7, 87–97. [Google Scholar] [CrossRef]
- Liu, W.; Zhou, J.; Ma, Y.; Wang, J.; Xu, J. Fabrication of PLA Filaments and Its Printable Performance. IOP Conf. Ser. Mater. Sci. Eng. 2017, 275, 12033. [Google Scholar] [CrossRef]
- Kechagias, J.D.; Vidakis, N.; Petousis, M.; Mountakis, N. A Multi-Parametric Process Evaluation of the Mechanical Response of PLA in FFF 3D Printing. Mater. Manuf. Process. 2023, 38, 941–953. [Google Scholar] [CrossRef]
- La Gala, A.; Ceretti, D.V.A.; Fiorio, R.; Cardon, L.; D’hooge, D.R. Comparing Pellet- and Filament-Based Additive Manufacturing with Conventional Processing for ABS and PLA Parts. J. Appl. Polym. Sci. 2022, 139, e53089. [Google Scholar] [CrossRef]
- Fontana, L.; Giubilini, A.; Arrigo, R.; Malucelli, G.; Minetola, P. Characterization of 3D Printed Polylactic Acid by Fused Granular Fabrication through Printing Accuracy, Porosity, Thermal and Mechanical Analyses. Polymers 2022, 14, 3530. [Google Scholar] [CrossRef]
- Trivedi, A.K.; Gupta, M.K.; Singh, H. PLA Based Biocomposites for Sustainable Products: A Review. Adv. Ind. Eng. Polym. Res. 2023, 6, 382–395. [Google Scholar] [CrossRef]
- Wang, P.; Zou, B.; Ding, S.; Huang, C.; Shi, Z.; Ma, Y.; Yao, P. Preparation of Short CF/GF Reinforced PEEK Composite Filaments and Their Comprehensive Properties Evaluation for FDM-3D Printing. Compos. B Eng. 2020, 198, 108175. [Google Scholar] [CrossRef]
- Valente, M.; Sambucci, M.; Rossitti, I.; Abruzzese, S.; Sergi, C.; Sarasini, F.; Tirillò, J. Carbon-Fiber-Recycling Strategies: A Secondary Waste Stream Used for PA6,6 Thermoplastic Composite Applications. Materials 2023, 16, 5436. [Google Scholar] [CrossRef]
- Ghabezi, P.; Sam-Daliri, O.; Flanagan, T.; Walls, M.; Harrison, N.M. Upcycling Waste Polypropylene with Basalt Fibre Reinforcement Enhancing Additive Manufacturing Feedstock for Advanced Mechanical Performance. Appl. Mater. Today 2024, 41, 102486. [Google Scholar] [CrossRef]
- Sam-Daliri, O.; Ghabezi, P.; Steinbach, J.; Flanagan, T.; Finnegan, W.; Mitchell, S.; Harrison, N. Experimental Study on Mechanical Properties of Material Extrusion Additive Manufactured Parts from Recycled Glass Fibre-Reinforced Polypropylene Composite. Compos. Sci. Technol. 2023, 241, 110125. [Google Scholar] [CrossRef]
- Tosto, C.; Bragaglia, M.; Nanni, F.; Recca, G.; Cicala, G. Fused Filament Fabrication of Alumina/Polymer Filaments for Obtaining Ceramic Parts after Debinding and Sintering Processes. Materials 2022, 15, 7399. [Google Scholar] [CrossRef] [PubMed]
- Stanzani, V.; Giubilini, A.; Checchi, M.; Bondioli, F.; Messori, M.; Palumbo, C. Eco-Sustainable Approaches in Bone Tissue Engineering: Evaluating the Angiogenic Potential of Different Poly(3-Hydroxybutyrate-Co-3-Hydroxyhexanoate)–Nanocellulose Composites with the Chorioallantoic Membrane Assay. Adv. Eng. Mater. 2023, 25, 2200934. [Google Scholar] [CrossRef]
- Mohd Pu’ad, N.A.S.; Abdul Haq, R.H.; Mohd Noh, H.; Abdullah, H.Z.; Idris, M.I.; Lee, T.C. Review on the Fabrication of Fused Deposition Modelling (FDM) Composite Filament for Biomedical Applications. Mater. Today Proc. 2020, 29, 228–232. [Google Scholar] [CrossRef]
- Giubilini, A.; Messori, M.; Bondioli, F.; Minetola, P.; Iuliano, L.; Nyström, G.; Maniura-Weber, K.; Rottmar, M.; Siqueira, G. 3D-Printed Poly(3-Hydroxybutyrate-Co-3-Hydroxyhexanoate)-Cellulose-Based Scaffolds for Biomedical Applications. Biomacromolecules 2023, 24, 3961–3971. [Google Scholar] [CrossRef]
- Drummer, D.; Cifuentes-Cuéllar, S.; Rietzel, D. Suitability of PLA/TCP for Fused Deposition Modeling. Rapid Prototyp. J. 2012, 18, 500–507. [Google Scholar] [CrossRef]
- Mohammadi Zerankeshi, M.; Sayedain, S.S.; Tavangarifard, M.; Alizadeh, R. Developing a Novel Technique for the Fabrication of PLA-Graphite Composite Filaments Using FDM 3D Printing Process. Ceram. Int. 2022, 48, 31850–31858. [Google Scholar] [CrossRef]
- Silva, L.R.G.; Bertolim, L.V.; Stefano, J.S.; Bonacin, J.A.; Richter, E.M.; Munoz, R.A.A.; Janegitz, B.C. New Route for the Production of Lab-Made Composite Filaments Based on Soybean Oil, Polylactic Acid and Carbon Black Nanoparticles, and Its Application in the Additive Manufacturing of Electrochemical Sensors. Electrochim. Acta 2025, 513, 145566. [Google Scholar] [CrossRef]
- Kristiawan, R.B.; Imaduddin, F.; Ariawan, D.; Ubaidillah; Arifin, Z. A Review on the Fused Deposition Modeling (FDM) 3D Printing: Filament Processing, Materials, and Printing Parameters. Open Eng. 2021, 11, 639–649. [Google Scholar] [CrossRef]
- Ramezani Dana, H.; El Mansori, M. Investigations on the Mechanical Properties of PLA/Flax Fibre Composites Obtained by Fused Filament Fabrication. Plast. Rubber Compos. 2022, 51, 393–406. [Google Scholar] [CrossRef]
- Domínguez-Robles, J.; Martin, N.K.; Fong, M.L.; Stewart, S.A.; Irwin, N.J.; Rial-Hermida, M.I.; Donnelly, R.F.; Larrañeta, E. Antioxidant PLA Composites Containing Lignin for 3D Printing Applications: A Potential Material for Healthcare Applications. Pharmaceutics 2019, 11, 165. [Google Scholar] [CrossRef]
- EN ISO 527; Plastics-Determination of Tensile Properties, Part 1: General Principles. European Committee for Standardization: Brussels, Belgium, 2009.
- EN ISO 527; Plastics-Determination of Tensile Properties, Part 2: Test Conditions for Plastics for Molding and Extrusion. European Committee for Standardization: Brussels, Belgium, 2009.
- Andersson, H.; Örtegren, J.; Zhang, R.; Grauers, M.; Olin, H. Variable Low-Density Polylactic Acid and Microsphere Composite Material for Additive Manufacturing. Addit. Manuf. 2021, 40, 101925. [Google Scholar] [CrossRef]
- Kohan, M.; Lancoš, S.; Schnitzer, M.; Živčák, J.; Hudák, R. Analysis of PLA/PHB Biopolymer Material with Admixture of Hydroxyapatite and Tricalcium Phosphate for Clinical Use. Polymers 2022, 14, 5357. [Google Scholar] [CrossRef] [PubMed]
- Ambade, V.; Rajurkar, S.; Awari, G.; Yelamasetti, B.; Shelare, S. Influence of FDM Process Parameters on Tensile Strength of Parts Printed by PLA Material. Int. J. Interact. Des. Manuf. (IJIDeM) 2025, 19, 573–584. [Google Scholar] [CrossRef]
- Aly, R.; Olalere, O.; Ryder, A.; Alyammahi, M.; Samad, W.A. Mechanical Property Characterization of Virgin and Recycled PLA Blends in Single-Screw Filament Extrusion for 3D Printing. Polymers 2024, 16, 3569. [Google Scholar] [CrossRef]
- Tamir, T.S.; Xiong, G.; Fang, Q.; Dong, X.; Shen, Z.; Wang, F.-Y. A Feedback-Based Print Quality Improving Strategy for FDM 3D Printing: An Optimal Design Approach. Int. J. Adv. Manuf. Technol. 2022, 120, 2777–2791. [Google Scholar] [CrossRef]
- Gao, X.; Yu, N.; Li, J. Influence of Printing Parameters and Filament Quality on Structure and Properties of Polymer Composite Components Used in the Fields of Automotive. In Structure and Properties of Additive Manufactured Polymer Components; Friedrich, K., Walter, R., Soutis, C., Advani, S.G., Fiedler, I., Habil, B., Eds.; Woodhead Publishing Series in Composites Science and Engineering; Elsevier: Amsterdam, The Netherlands, 2020; pp. 303–330. ISBN 978 0 12 819535 2. [Google Scholar]
- Cardona, C.; Curdes, A.H.; Isaacs, A.J. Effects of Filament Diameter Tolerances in Fused Filament Fabrication. IU J. Undergrad. Res. 2016, 2, 44–47. [Google Scholar] [CrossRef]
- Minetola, P.; Priarone, P.C.; Ingarao, G. Sustainability for 3DP Operations. In Managing 3D Printing: Operations Management for Additive Manufacturing; Eyers, D., Ed.; Springer International Publishing: Cham, Switzerland, 2020; pp. 97–126. ISBN 978 3 030 23323 5. [Google Scholar]
- Lunetto, V.; Priarone, P.C.; Galati, M.; Minetola, P. On the Correlation between Process Parameters and Specific Energy Consumption in Fused Deposition Modelling. J. Manuf. Process 2020, 56, 1039–1049. [Google Scholar] [CrossRef]
- Rozwadowski, T.; Noda, H.; Kolek, Ł.; Ito, M.; Yamamura, Y.; Saitoh, H.; Saito, K. Molecular Dynamics and Kinetics of Isothermal Cold Crystallization with Tunable Dimensionality in a Molecular Glass Former, 5′-(2,3-Difluorophenyl)-2′-Ethoxy-4-Pentyloxy-2,3-Difluorotolane. Phys. Chem. Chem. Phys. 2023, 25, 724–735. [Google Scholar] [CrossRef]
- Henricks, J.; Boyum, M.; Zheng, W. Crystallization Kinetics and Structure Evolution of a Polylactic Acid during Melt and Cold Crystallization. J. Therm. Anal. Calorim. 2015, 120, 1765–1774. [Google Scholar] [CrossRef]
- Chen, X.; Kalish, J.; Hsu, S.L. Structure Evolution of A′-Phase Poly(Lactic Acid). J. Polym. Sci. B Polym. Phys. 2011, 49, 1446–1454. [Google Scholar] [CrossRef]
- Rajpurohit, S.R.; Dave, H.K. Impact Strength of 3D Printed PLA Using Open Source FFF-Based 3D Printer. Prog. Addit. Manuf. 2021, 6, 119–131. [Google Scholar] [CrossRef]
- Farah, S.; Anderson, D.G.; Langer, R. Physical and Mechanical Properties of PLA, and Their Functions in Widespread Applications—A Comprehensive Review. Adv. Drug Deliv. Rev. 2016, 107, 367–392. [Google Scholar] [CrossRef] [PubMed]
- Ranakoti, L.; Gangil, B.; Mishra, S.K.; Singh, T.; Sharma, S.; Ilyas, R.A.; El-Khatib, S. Critical Review on Polylactic Acid: Properties, Structure, Processing, Biocomposites, and Nanocomposites. Materials 2022, 15, 4312. [Google Scholar] [CrossRef]
- Wang, S.; Ma, Y.; Deng, Z.; Zhang, S.; Cai, J. Effects of Fused Deposition Modeling Process Parameters on Tensile, Dynamic Mechanical Properties of 3D Printed Polylactic Acid Materials. Polym. Test. 2020, 86, 106483. [Google Scholar] [CrossRef]
- Andronov, V.; Beránek, L.; Krůta, V.; Hlavůňková, L.; Jeníková, Z. Overview and Comparison of PLA Filaments Commercially Available in Europe for FFF Technology. Polymers 2023, 15, 3065. [Google Scholar] [CrossRef]
- Hamat, S.; Ishak, M.R.; Sapuan, S.M.; Yidris, N.; Hussin, M.S.; Abd Manan, M.S. Influence of Filament Fabrication Parameter on Tensile Strength and Filament Size of 3D Printing PLA-3D850. Mater. Today Proc. 2023, 74, 457–461. [Google Scholar] [CrossRef]
- Lau, H.Y.; Hamat, S.; Hussin, M.S.; Manan, M.S.A. Influence of Filament Fabrication Parameter on Mechanical Properties of 3D Printing PLA Filament. AIP Conf. Proc. 2024, 2883, 040002. [Google Scholar] [CrossRef]
- NatureWorks: Ingeo Biopolymer 3D850 Technical Data Sheet. Available online: https://www.natureworksllc.com/~/media/Files/NatureWorks/Technical-Documents/Technical-Data-Sheets/TechnicalDataSheet_3D850_monofilament_pdf.pdf (accessed on 15 May 2025).
- Torabi, H.; McGreal, H.; Zarrin, H.; Behzadfar, E. Effects of Rheological Properties on 3D Printing of Poly(Lactic Acid) (PLA) and Poly(Hydroxy Alkenoate) (PHA) Hybrid Materials. ACS Appl. Polym. Mater. 2023, 5, 4034–4044. [Google Scholar] [CrossRef]
- Schiavone, N.; Verney, V.; Askanian, H. Effect of 3D Printing Temperature Profile on Polymer Materials Behavior. 3D Print. Addit. Manuf. 2020, 7, 311–325. [Google Scholar] [CrossRef] [PubMed]
- Minetola, P.; Eyers, D. Energy and Cost Assessment of 3D Printed Mobile Case Covers. Procedia CIRP 2018, 69, 130–135. [Google Scholar] [CrossRef]
- Enemuoh, E.U.; Menta, V.G.; Abutunis, A.; O’Brien, S.; Kaya, L.I.; Rapinac, J. Energy and Eco-Impact Evaluation of Fused Deposition Modeling and Injection Molding of Polylactic Acid. Sustainability 2021, 13, 1875. [Google Scholar] [CrossRef]
- Lunetto, V.; Galati, M.; Minetola, P.; Priarone, P.C. On the Modelling of the Specific Energy Consumption for the Continuous Fibre Fabrication of Composite Materials. Prog. Addit. Manuf. 2024. [Google Scholar] [CrossRef]













| Parameter | Value |
|---|---|
| Nozzle temperature (°C) | 235 |
| Platform temperature (°C) | 60 |
| Printing speed (mm/s) | 53 |
| Nozzle diameter (mm) | 0.4 |
| Infill pattern | Linear |
| Infill angle (°) | ±45 |
| Number of top/bottom layers | 3 |
| Layer Height (mm) | 0.2 | 0.3 | ||||||
|---|---|---|---|---|---|---|---|---|
| Infill Percentage (%) | 25 | 50 | 75 | 100 | 25 | 50 | 75 | 100 |
| Mass of specimen 1 (g) | 0.653 | 0.775 | 1.018 | 1.360 | 1.091 | 1.170 | 1.305 | 1.440 |
| Mass of specimen 2 (g) | 0.645 | 0.762 | 0.940 | 1.206 | 1.071 | 1.129 | 1.164 | 1.239 |
| Mass of specimen 3 (g) | 0.646 | 0.744 | 0.912 | 0.987 | 1.028 | 1.150 | 1.219 | 1.277 |
| Mass of specimen 4 (g) | 0.645 | 0.803 | 0.880 | 0.960 | 1.044 | 1.043 | 1.188 | 1.241 |
| Mass of specimen 5 (g) | 0.662 | 0.756 | 0.835 | 0.987 | 1.060 | 1.163 | 1.258 | 1.289 |
| Mean value (g) | 0.650 | 0.768 | 0.917 | 1.100 | 1.059 | 1.131 | 1.227 | 1.297 |
| Standard deviation (g) | 0.007 | 0.023 | 0.069 | 0.176 | 0.024 | 0.052 | 0.056 | 0.083 |
| 1st Heating | 1st Cooling | |||||
|---|---|---|---|---|---|---|
| Tcc (°C) | ΔHcc (J/g) | Tm (°C) | ΔHm (J/g) | Xc (%) | Tg (°C) | |
| PLA pellet | NA * | NA * | 180 | 46.3 | 49.8 | 58 |
| PLA filament | 105 | 33.9 | 179 | 42.3 | 9 | 59 |
| PLA sample | 105 | 35.5 | 178 | 47.9 | 13.4 | 59 |
| Layer Height (mm) | 0.2 | 0.3 | ||||||
|---|---|---|---|---|---|---|---|---|
| Infill Percentage (%) | 25 | 50 | 75 | 100 | 25 | 50 | 75 | 100 |
| εb of specimen 1 (%) | 0.97 | 0.73 | 3.84 | 1.40 | 1.45 | 1.57 | 4.03 | 2.37 |
| εb of specimen 2 (%) | 3.84 | 2.53 | 1.64 | 1.50 | 1.74 | 2.59 | 2.73 | 1.29 |
| εb of specimen 3 (%) | 1.49 | 1.30 | 2.36 | 2.50 | 2.35 | 1.93 | 3.37 | 2.87 |
| εb of specimen 4 (%) | 3.72 | 4.97 | 4.11 | 2.83 | 1.53 | 2.96 | 1.17 | 1.24 |
| εb of specimen 5 (%) | 3.25 | 1.38 | 3.56 | 2.83 | 1.39 | 1.47 | 1.65 | 1.63 |
| Mean value (%) | 2.65 | 2.18 | 3.10 | 2.21 | 1.69 | 2.10 | 2.59 | 1.88 |
| Standard deviation (%) | 1.33 | 1.69 | 1.06 | 0.71 | 0.39 | 0.65 | 1.18 | 0.71 |
| Layer Height (mm) | 0.2 | 0.3 | ||||||
|---|---|---|---|---|---|---|---|---|
| Infill Percentage (%) | 25 | 50 | 75 | 100 | 25 | 50 | 75 | 100 |
| Mass of specimen 1 (g) | 1.107 | 1.190 | 1.275 | 1.347 | 1.219 | 1.241 | 1.274 | 1.320 |
| Mass of specimen 2 (g) | 1.106 | 1.194 | 1.274 | 1.348 | 1.221 | 1.241 | 1.270 | 1.316 |
| Mass of specimen 3 (g) | 1.106 | 1.193 | 1.276 | 1.349 | 1.220 | 1.242 | 1.269 | 1.318 |
| Mean value (g) | 1.106 | 1.192 | 1.275 | 1.348 | 1.220 | 1.241 | 1.271 | 1.318 |
| Standard deviation (g) | 0.001 | 0.002 | 0.001 | 0.001 | 0.001 | 0.001 | 0.003 | 0.002 |
| Filament | Commercial (C) | Self-Produced (SP) | ||
|---|---|---|---|---|
| Infill Percentage (%) | 25 | 100 | 25 | 100 |
| Number of analyzed cross-sections | 113 | 113 | 113 | 113 |
| Mean cross-sectional area (mm2) | 9.27 | 10.01 | 8.34 | 9.69 |
| Standard deviation (mm2) | 0.20 | 0.07 | 0.20 | 0.12 |
Disclaimer/Publisher’s Note: The statements, opinions and data contained in all publications are solely those of the individual author(s) and contributor(s) and not of MDPI and/or the editor(s). MDPI and/or the editor(s) disclaim responsibility for any injury to people or property resulting from any ideas, methods, instructions or products referred to in the content. |
© 2025 by the authors. Licensee MDPI, Basel, Switzerland. This article is an open access article distributed under the terms and conditions of the Creative Commons Attribution (CC BY) license (https://creativecommons.org/licenses/by/4.0/).
Share and Cite
Fontana, L.; Minetola, P.; Khandpur, M.S.; Giubilini, A. Evaluating Self-Produced PLA Filament for Sustainable 3D Printing: Mechanical Properties and Energy Consumption Compared to Commercial Alternatives. J. Manuf. Mater. Process. 2025, 9, 172. https://doi.org/10.3390/jmmp9060172
Fontana L, Minetola P, Khandpur MS, Giubilini A. Evaluating Self-Produced PLA Filament for Sustainable 3D Printing: Mechanical Properties and Energy Consumption Compared to Commercial Alternatives. Journal of Manufacturing and Materials Processing. 2025; 9(6):172. https://doi.org/10.3390/jmmp9060172
Chicago/Turabian StyleFontana, Luca, Paolo Minetola, Mankirat Singh Khandpur, and Alberto Giubilini. 2025. "Evaluating Self-Produced PLA Filament for Sustainable 3D Printing: Mechanical Properties and Energy Consumption Compared to Commercial Alternatives" Journal of Manufacturing and Materials Processing 9, no. 6: 172. https://doi.org/10.3390/jmmp9060172
APA StyleFontana, L., Minetola, P., Khandpur, M. S., & Giubilini, A. (2025). Evaluating Self-Produced PLA Filament for Sustainable 3D Printing: Mechanical Properties and Energy Consumption Compared to Commercial Alternatives. Journal of Manufacturing and Materials Processing, 9(6), 172. https://doi.org/10.3390/jmmp9060172

