Next Article in Journal
Integrated Control Method for STOVL UAV Based on RBF Neural Network and Nonlinear Dynamic Allocation
Next Article in Special Issue
Positioning Error Analysis of Distributed Random Array Based on Unmanned Aerial Vehicles in Collaborative Jamming
Previous Article in Journal
The Impact of Automation Failure on Unmanned Aircraft System Operators’ Performance, Workload, and Trust in Automation
Previous Article in Special Issue
Hierarchical Online Air Combat Maneuver Decision Making and Control Based on Surrogate-Assisted Differential Evolution Algorithm
 
 
Font Type:
Arial Georgia Verdana
Font Size:
Aa Aa Aa
Line Spacing:
Column Width:
Background:
Article

UAV Target Segmentation Based on Depse Unet++ Modeling

1
ZNDY of Ministerial Key Laboratory, Nanjing University of Science and Technology, Nanjing 210094, China
2
College of Mechanical Engineering, Nanjing University of Science and Technology, Nanjing 210094, China
3
Key Laboratory of Pressure Systems and Safety, Ministry of Education, East China University of Science and Technology, Shanghai 200237, China
*
Author to whom correspondence should be addressed.
Drones 2025, 9(3), 166; https://doi.org/10.3390/drones9030166
Submission received: 19 November 2024 / Revised: 22 January 2025 / Accepted: 25 January 2025 / Published: 24 February 2025
(This article belongs to the Collection Drones for Security and Defense Applications)

Abstract

To enhance the capabilities of UAV platforms in recognizing and tracking hostile targets on the battlefield, advanced feature extraction and image segmentation are required. In response, the Depse Unet++ model was developed. By introducing Squeeze-and-Excitation, the model’s ability to discriminate camouflaged targets in high-similarity backgrounds is improved; by incorporating a depth-separated convolutional design, the parameters and computational requirements for embedded device applications are significantly reduced; and employing Dropout technique to prevent overfitting with limited sample sizes, thus boosting the model’s adaptability and generalization across environments. Evaluations were conducted using a custom-built dataset to test the model’s segmentation accuracy and performance. The experimental results show that the Depse Unet++ model surpasses existing state-of-the-art models in critical metrics such as Mean Inter-section and Union Ratio, Dice coefficient and pixel accuracy. Additionally, the specific contributions of each technical component to the model’s performance were confirmed through ablation studies, ensuring the method’s validity and reliability. Overall, the Depse Unet++ model offers a more effective tool for target recognition and semantic segmentation for UAVs operating in complex battlefield scenarios.

1. Introduction

In modern military operations, Unmanned Aerial Vehicles (UAVs) provide a cost-effective and low-risk method to acquire battlefield intelligence and reconnaissance surveillance. Among them, image segmentation techniques are pivotal in these operations, effectively extracting vital information from UAV-acquired images. However, several challenges persist in complex battlefield environments, including limited computational resources on embedded devices, high similarity between camouflaged targets and their backgrounds, and varying illumination conditions.
To tackle these challenges, this study introduces the Depse Unet++ model. It incorporates the Squeeze-and-Excitation (SE) module, Depth Separation Convolution, and Dropout techniques. These components are designed to enhance the model’s ability to capture details in UAV images and improve its robustness across diverse environmental conditions. The SE module improves the model’s ability to discern camouflaged targets with similar colors and textures by reweighting channel features, thereby amplifying key features. Meanwhile, depth-separated convolution drastically reduces the model’s parameter count and speeds up the computational process. Additionally, incorporating a Dropout layer helps prevent overfitting when working with limited samples. This improves the model’s generalizability in battlefield scenarios affected by light variations and noise.
Due to the lack of real battlefield environment data, experiments were conducted using a self-constructed UAV dataset with limited samples. These experiments systematically evaluated various enhancement strategies and validated the potential of the Depse Unet++ model for UAV battlefield target segmentation and recognition tasks. Comparisons with existing state-of-the-art models across multiple performance metrics were also carried out, and the results demonstrate that the Depse Unet++ model outperforms in terms of segmentation accuracy and target detail recovery. This study not only confirms the effectiveness of the proposed model but also provides valuable technical support for UAV target segmentation efforts.

1.1. Related Work

To effectively segment UAV targets, the goal is to divide the image into regions with specific attributes to facilitate the extraction and utilization of image features. Historically, traditional image segmentation methods have primarily focused on extracting underlying features such as grayscale threshold [1,2,3], color, texture [4,5,6], and edge information [7,8,9,10,11]. Song et al. [12] successfully identified and segmented target regions in an image by analyzing the histogram of grayscale gradient distribution. Particularly high segmentation performance was achieved in complex images with uniform grayscale distribution; Ahmad et al. [13] utilized grayscale covariance matrices to compute color and texture features for precise, automated identification of plant diseases in leaf images; Muthukrishnan et al. [14] evaluated various edge detection techniques used in image segmentation, including Roberts, Sobel, Prewitt, and Canny, highlighting the crucial role and significance of edge detection in image analysis. While traditional image segmentation methods have somewhat met the needs of image processing, they generally face challenges such as sensitivity to noise, difficulty in selecting parameters, and poor adaptability. With advancements in computational power and the emergence of machine learning, deep learning-based segmentation methods have significantly improved in terms of accuracy and efficiency, and have increasingly become the dominant approach [15,16,17]. These methods excel at learning more intricate features from vast datasets, which allows for more precise segmentation.
Deep learning methods are adept at learning more intricate features from vast datasets by constructing complex neural networks that facilitate more precise segmentation. Long et al. [18] were pioneers in this field with the introduction of the fully convolutional network (FCN), which marked a significant shift in image segmentation. The fully connected layers in traditional convolutional neural networks were transformed into convolutional layers. This innovation enabled the network to handle input images of any size and produce corresponding segmentation maps. Additionally, techniques like jump connections and upsampling were introduced, effectively preserving spatial information in images and allowing for pixel-to-pixel learning and prediction. Building on this, Ranneberger et al. [19] developed U-Net, which features a symmetrical encoder-decoder structure and jump connections that adeptly fuse multi-scale feature information to enhance segmentation accuracy, making it particularly effective in scenarios with limited data. In order to enhance the ability of U-Net in dealing with image segmentation tasks such as complex structure and unclear boundaries, Zhou et al. [20] improved the original U-Net architecture by proposing a model of U-Net++. Nested jump connections and deep supervision were introduced, greatly enhancing the network’s feature representation ability and training efficiency.
With the further development of deep learning, the attention mechanism has become a key technique in deep learning models. Its introduction has significantly improved the performance of image segmentation tasks. Oktay et al. [21] introduced the attention mechanism to U-Net, constructing Attention U-Net. By adding an attention gating unit to the jump connections in the decoding stage, key anatomical structures or target regions can be automatically focused on. This enhances the model’s ability to focus on the region of interest and improves segmentation accuracy; R2U_Net [22], R2AttU_Net [23], MS-UNet [24], Res-UNet++ [25], and other networks have been proposed successively, which further improves the segmentation accuracy of the model, and reduces the computational complexity and network parameters. However, U-Net++, as an extension of CNN, reduces information loss and improves feature reuse through a dense jump connection structure, and still cannot completely overcome the problem of local sensory field. Therefore, the latest research trend of U-Net is gradually moving towards the powerful architecture of Transformer and Vision Transformer (ViT). The introduction of the Transformer architecture compensates for U-Net’s shortcomings in capturing global information and long-range dependencies. The multi-head attention mechanism, a core component of the Transformer, computes multiple attention heads in parallel and learns various attention modes. Each head captures different contextual information from multiple perspectives, enabling robust performance in challenging scenarios. For example, Chen et al. [26] proposed an image segmentation model named TransU_Net, which combines Transformer and classical U-Net. The hybrid architecture balances the modeling capabilities of local resolution and global context. This ensures that the model can retain both the detailed features extracted by CNN and the global context captured by the Transformer. The multi-head attention mechanism effectively captures detailed information, enhancing boundary segmentation accuracy and significantly improving overall performance.
However, these architectures are typically computationally and memory demanding, limiting their applicability in resource-constrained environments such as UAVs. At the same time, due to the inherent characteristics of drone images, it is necessary to consider issues such as the scale variation caused by capturing objects at different heights and angles, the impact of cluttered and heterogeneous backgrounds on segmentation, and the influence of lighting changes due to variations in time and weather conditions. Therefore, in order to realize the high-precision segmentation of targets in the UAV battlefield environment and to design a lightweight segmentation model that balances efficiency and accuracy for real-time UAV applications, this study introduces the Depse Unet++ model based on the U-Net++ architecture. It has been optimized to suit embedded devices like UAVs by reducing the number of parameters and computational demands. The attention mechanism is introduced to reduce the interference of complex backgrounds. The model’s multi-scale feature extraction capability is enhanced through a nested structure. These improvements make it well suited to handle the scale variations of ground targets in UAV images, thus enhancing its adaptability to different environmental conditions. These design choices ensure that the model is not only lightweight but also effective in handling the unique characteristics of UAV-captured data.

1.2. Contribution of This Article

The main contributions are as follows:
  • In this study, the Squeeze-and-Excitation (SE) module, Depth Separation Convolution, and Dropout techniques were successfully integrated into the U-Net++ architecture to create the Depse Unet++ model. This innovative integration not only enhances the model’s feature extraction capabilities but also significantly reduces the risk of overfitting. This is particularly crucial when handling images of camouflaged UAV targets and visually similar backgrounds. It enables the model to capture details and edge information more accurately.
  • Through extensive experimental validation, the Depse Unet++ model has proven to outperform traditional U-Net++ and other state-of-the-art models across several critical performance metrics. Notably, the Depse Unet++ model demonstrates substantial performance improvements in Mean Intersection over Union (IoU), Mean Dice Coefficient, and Mean Precision metrics. This showcases its superior efficiency in processing images that are rich in detail and visually challenging.
  • This study provides a clear understanding of the specific impacts of each component on model performance through systematic ablation experiments. The individual and combined effects of the SE module, the depth-separated convolution, and the Dropout layer are meticulously investigated. This detailed analysis aids in comprehending the contribution of each module to enhancing the model’s generalization capabilities and reducing the likelihood of overfitting.
The structure of this paper is as follows: Section 2 outlines the main structure of the model and the design approach. Section 3 shows the model performance analysis and specific experimental results, and Section 4 concludes the paper.

2. Materials and Methods

In this section, a Depse Unet++ segmentation model is designed. It is built on the Unet++ backbone and integrates modules such as the attention mechanism and depth separation. These additions improve the recognition precision and accuracy of ground targets.

2.1. Depse Unet++ Overall Structure

The designed Depse Unet++ model utilizes nested and densely jump-connected Unet++ convolutions as its underlying structure. Simplified SE blocks are incorporated into the model to enhance focus on critical features and regions. Irrelevant features are suppressed, improving the model’s feature extraction capabilities and adaptability. Additionally, depth-separable convolution is integrated to significantly reduce the model’s parameter count and computational load, making it suitable for deployment on embedded devices such as UAVs. Moreover, Dropout is strategically introduced in key convolutional layers to bolster the model’s generalization capabilities and robustness under conditions of high exposure. The architecture of the Depse Unet++ model is illustrated in Figure 1. At its core, the model comprises nested convolutional blocks at multiple layers, each containing depth-separable convolutions and SE blocks. The network employs maximum pooling layers for downsampling, while upsampling is accomplished through bilinear interpolation. Ultimately, all features are consolidated by a 1 × 1 convolutional layer to produce the final target segmentation map.

2.2. Unet++

The core of the Unet++ architecture is its distinctive nested hopping connections and deep supervision mechanism. This structure features multiple symmetric encoder and decoder paths, each interlinked by dense hopping connections [27]. These connections not only link adjacent encoder and decoder layers but also span across corresponding layers throughout the network, creating a densely connected network structure as illustrated in Figure 2. In the encoder part, each decoder node Xi,j in Unet++ receives inputs from the preceding node Xi−1,j in the same layer and from the node Xi,j+1 at the same position in the next layer. This information is then merged through convolution operations and upsampling. This process can be articulated as follows:
X i , j = O P X i 1 , j + X i , j + 1
where O denotes a convolution operation, P denotes an upsampling operation, i denotes the depth index of the decoder, and j denotes the index of different Unet++ paths within the same depth.
To provide a visual understanding of these paths, the structure of Unet++ is illustrated in Figure 2, including multiple decoding paths and their layer configuration. In this illustration, black represents the convolutional operations found in the original U-Net, while red and blue indicate dense convolutional blocks on the jumping paths, and orange signifies depth supervision. Each layer on the right side of Figure 2. is labelled with L, indicating that it receives depth supervision. The red, orange, and blue connecting lines distinguish UNet++ from U-Net.
In the decoder segment, the spatial dimension of the feature graph is gradually recovered through layer-by-layer up-sampling and convolution operations, which refine the feature information [20]. The input to each decoder layer not only comes from the output of the previous layer, but also incorporates the jump-connected outputs from multiple corresponding encoder layers. Furthermore, the output of each decoder node contributes to the final segmentation map and is also used to calculate loss by direct comparison with the real labels, facilitating deep supervision. This can be described as follows:
L = i , j λ i , j L X i , j , Y
where L is the loss function, Xi,j are the predicted outputs from different layers and paths, Y is the true labeling, and λi,j are the weight coefficients to adjust the contribution of the different layer outputs to the total loss.
The primary enhancement of the Unet++ over the original Unet model is the incorporation of nested jump connections and deep supervision. Unet++ utilizes jump connections to link encoder features directly to their corresponding decoder nodes, which aids in the recovery of detailed information, particularly beneficial when training deeper networks as it effectively addresses the issue of vanishing gradients. The deep supervision mechanism directly oversees the output of intermediate layers by incorporating an auxiliary segmentation header at each decoder layer. This boosts the learning signal and accelerates the convergence process, while also enhancing segmentation accuracy and robustness. This adaptation allows Unet++ to deliver superior performance when handling medical images with complex structures, especially in segmenting fine structures or ambiguous boundaries.
Figure 3 illustrates the flow of a particular decoding path in the Unet++ architecture, showing how information is passed and transformed between different nodes. X0,0 denotes the input node, X0,1, X0,2, X0,3 and X0,4 denote consecutive nodes along this decoding path. Each node receives the output of the previous node and the result of the previous node’s upsampling as input, culminating with X0,4 as the final output node of the path. This node aggregates information from all preceding nodes, and is then fused through successive H-convolution operations and upsampling data from different nodes.

2.3. SE Blocks (Squeeze-and-Excitation Blocks)

To bolster the feature extraction capabilities of convolutional networks, the Depse Unet++ model integrates the Squeeze-and-Excitation (SE) module, which is designed to explicitly model the interdependencies among convolutional feature channels. The SE module adaptively recalibrates channel responses based on global information, thereby enhancing the network’s capacity to capture small-scale details and effectively differentiate between relevant and irrelevant spatial features [28]. By learning adaptive weights for each feature channel, the SE module allows the model to focus on the most informative features relevant to UAV target segmentation. This mechanism not only improves segmentation accuracy in complex backgrounds but also ensures robustness across varying datasets. Given its lightweight nature, the SE module is particularly advantageous in UAV applications where computational resources are constrained. This improvement is vital for addressing the challenges of high intra-class variability and similar inter-class appearances often encountered in natural landscapes.
Specifically, the SE module is integrated after each convolutional block in Unet++. Each node xi,j represents the output of the layer i after downsampling and the layer j dense block along the jump path. For the case j = 0, the node receives only the input xi−1,j from the previous layer; for j > 0, the nodes xi,j are computed as follows:
x i , j = H L x i + 1 , j 1 , x i , j 1 , x i 1 , j
where H denotes the convolution operation followed by an activation function, L denotes the upsampling layer, and denotes the splicing layer. In this framework, the SE module is added in a position to redistribute the channel weights after each H operation.
The SE module is realized by two operations: Squeeze and Excitation [29]. The schematic for this module is depicted in Figure 4. The input feature map U R H × W × C undergoes the compression operation through global average pooling, which aggregates the spatial information from each channel into a global context. Specifically, the compression operation for the c-th channel is expressed as:
z c = 1 H × W i = 1 H j = 1 W U c i , j
where U c ( i , j ) denotes the value of the feature map at position (i,j) at channel c, H and W are the height and width of the feature map, and zc is the result of global average pooling for the c-th channel.
The excitation operation involves two fully connected layers. The first layer performs dimensionality reduction to decrease the number of parameters and computational complexity, and the second layer restores the dimensionality to the original number of channels. The final activation employs a Sigmoid function, expressed as:
s = σ W 2 δ W 1 z
where δ denotes the activation function, σ is the Sigmoid activation function, W 1 R C r × r and W 2 R C r × C are the weights of the two fully connected layers, and r is the dimensionality reduction ratio.

2.4. Depthwise Separable Convolution

Depthwise Separable Convolution is an efficient convolution operation designed to reduce the number of parameters and computational complexity of a model by decomposing standard convolution operations [30]. This method decomposes standard convolutions into depthwise convolutions for spatial feature extraction and pointwise convolutions for channel integration. This separation reduces parameter redundancy, enabling a more lightweight network design. Furthermore, the computational efficiency of depthwise separable convolutions allows for real-time segmentation performance, making it ideal for UAV systems with limited hardware resources. This type of convolution divides the conventional convolution into two distinct processes: Depthwise Convolution and Pointwise Convolution. This division significantly reduces the number of parameters and computational load of the model, as depicted in Figure 5, where * is the convolution operation. Assuming the input feature map size is M × M × C, Depthwise Convolution involves using a separate convolution kernel for each input channel, extracting spatial features of each channel independently without intermixing channel information. Depthwise convolution is expressed as:
U c = K c U c
where Uc denotes the C-channel of the input feature map, U c is the C-channel of the output feature map, Kc is the convolution kernel used for the C-channel, and * is the convolution operation.
Subsequently, Pointwise convolution uses a 1*1 convolution kernel to convolve the results of the depth convolution with the purpose of combining the features extracted by the depth convolution. In this way, the convolution kernel acts on all the output channels of the deep convolution, realizing the fusion of information between the channels. It can be represented as:
Y k = c = 1 C W k , c U c
where W k , c is a 1*1 convolution kernel used to transform from channel c to channel k, Yk is the kth channel of the final output feature map, and C is the total number of channels.

2.5. Dropout and Loss Function

At the same time, the Depse Unet++ model incorporates a dropout layer in each ConvBlockNestedSimpleSE with a rate of 0.265. This configuration reduces the model’s reliance on individual data points during training by randomly “turning off” a portion of the neurons. This process forces the network to learn in the absence of some neuron information, thereby minimizing unnecessary dependencies between nodes and enhancing the network’s generalization capability. This makes the Depse Unet++ model more adaptable to environmental changes and helps it learn more robust features.
Additionally, the Depse Unet++ model employs a hybrid loss function, Crod, which merges binary cross-entropy and the Dice coefficient. This combination is tailored to accommodate different semantic levels of supervision, thereby optimizing training effectiveness and enhancing performance. The loss function is defined as follows:
L Y , Y ^ = 1 N b = 1 N 1 2 Y b log Y ^ b + 2 Y b Y ^ b Y b + Y ^ b
where Y ^ b and Y b represent the predicted probability of the bth image and the flattened representation of the true label, respectively, and N denotes the batch size. This deeply supervised strategy utilizes nested jump paths and different semantic level outputs to optimize the model performance.

3. Experimental Results

In this section, various experimental results are presented that validate the performance of the Depse Unet++ model. Validation is carried out on a self-constructed dataset to verify the performance of the Depse Unet++ model in UAV image segmentation tasks. Several quantitatively characterized performance metrics are used, and the model is compared with classical models such as U_Net and AttU_Net. For different component structures of the Depse Unet++ model, ablation experiments are added to demonstrate the impact of each component on the model performance.

3.1. Data Acquisition

The dataset used in this study was self-constructed and consists of data collected by a UAV platform under varying lighting conditions. It includes four types of target: armored vehicles, tanks, fighter jets, and missile carriers. To simulate enemy target camouflage, ensuring that the targets are similar in color to the surrounding environmental background, a black cloth matching the target color was chosen as the backdrop, as depicted in Figure 6. The specifications of the UAV camera are listed in Table 1, and the images captured have a resolution of 5280 × 3956 pixels, a bit depth of 24, and are in the DNG format. From this collection, 200 images were selected. The dataset was divided into training, validation, and test sets with ratios of 60%, 20%, and 20%, respectively. This allocation resulted in 120 images for the training set, 40 images for the validation set, and 40 images for the test set. The 200 images in DNG format were converted into PNG format and cropped into squares to better highlight the ground targets. These square images were then resized to 512 × 512 pixels and annotated using EISEG to create the corresponding masks, as illustrated in Figure 7.

3.2. Experimental Settings

To assess the Depse Unet++ model, a comprehensive model training configuration was established for the experiments, aimed at ensuring the reproducibility of training and optimizing model performance. The initial learning rate was set to 0.001, and the Adam optimizer was utilized for parameter updates. Favored widely for its effectiveness in handling non-convex optimization problems, the Adam optimizer is particularly adept at processing large-scale data in image segmentation tasks. The batch size during training was set to 4. This balanced the model performance with an efficient use of computational resources, considering GPU memory constraints and parallel processing capabilities. A total of 15 training epochs were scheduled, each encompassing a complete pass through the dataset. This duration was calculated to enable the comprehensive learning of data features while preventing the overfitting issues associated with extended training periods. Additionally, the CosineAnnealingLR scheduler was employed. This progressively reduces the learning rate following a cosine curve, facilitating more refined optimization in the later stages of training and helping to achieve lower validation losses.
The Dropout technique was utilized in the model, and after considerable experimentation, the Dropout rate was set to 0.265. This setting helps the model reduce its dependency on specific training samples during the training process, thereby enhancing its ability to generalize to unseen data. Additionally, Weight Decay (L2 Regularization) was incorporated into the Adam Optimizer with a coefficient of 0.01. Weight Decay serves to control the complexity of the model and aids in reducing overfitting during the training phase.
To ensure the efficient execution of these experiments, the operating system of the experimental platform had the following parameters: Windows 11, CPU: Intel(R) Core(TM) i5-14600KF, 16 GB of RAM, GPU: NVIDIA GeForce RTX 4070 Ti Super with Max-Q design, the environment was the Pytorch framework, and the experiments were performed on a CUDA-equipped GPU.

3.3. Evaluation Metrics

In image segmentation tasks, selecting the right evaluation metrics is essential for accurately assessing model performance. In this study, six metrics are utilized: Mean IoU, Mean Precision, Mean Dice Coefficient, Mean 95%Hausdorff Distance, Mean Pixel Accuracy, and Parameter to comprehensively evaluate the performance of various models.
The intersection and merger ratio (IoU) directly measures the overlap between the predicted region and the real region [31]. In UAV images, the background can be very complex, containing multiple ground textures and structures. IoU evaluates model accuracy in real-world applications by quantifying the ability of the model to correctly segment the region of interest:
I o u = T P T P + F P + F N
where TP (true positive) represents pixels correctly predicted as foreground, FP (false positive) represents pixels incorrectly predicted as foreground. FN (false negative) represents pixels incorrectly predicted as background [32]. The Mean IoU is the average across all categories or segmented regions.
Precision is particularly relevant in scenarios where the cost of false positives is high, such as identifying and segmenting specific targets in dense or occluded environments. High precision indicates that the model rarely misclassifies the background as a target, which is crucial for UAV surveillance and reconnaissance missions:
Precision = T P T P + F P
Although Pixel Accuracy is the most basic evaluation method, it provides a quick metric to gauge how accurately the model classifies the entire image under both normal and adverse lighting conditions [33]. This metric assists in evaluating the model’s fundamental ability to differentiate between background and foreground:
Pixel   Accuracy = T P + T N T P + T N + F P + F N
Given the challenges of recognizing targets in UAV imagery due to distance and blurriness, Dice coefficients are employed to ensure completeness of prediction by giving greater weight to the intersections [34]. This metric helps ensure that the model not only identifies the target but also accurately captures its shape and boundaries:
Dice = 2 T P 2 T P + F P + F N
The Hausdorff distance measures the maximum edge error and is critical for UAV imagery where accurate contour matching is required [35]. This metric evaluates whether the model can accurately capture target boundaries when dealing with edge blurring or partial occlusion:
Hausdorff   Distance 95 % = max h 95 %   of   P   min q Q d h , q
where P and Q are the sets of edge points of the predicted and real segmentation contours, respectively. d(h, q) is the Euclidean distance between points h and q.

3.4. Ablation Experiment

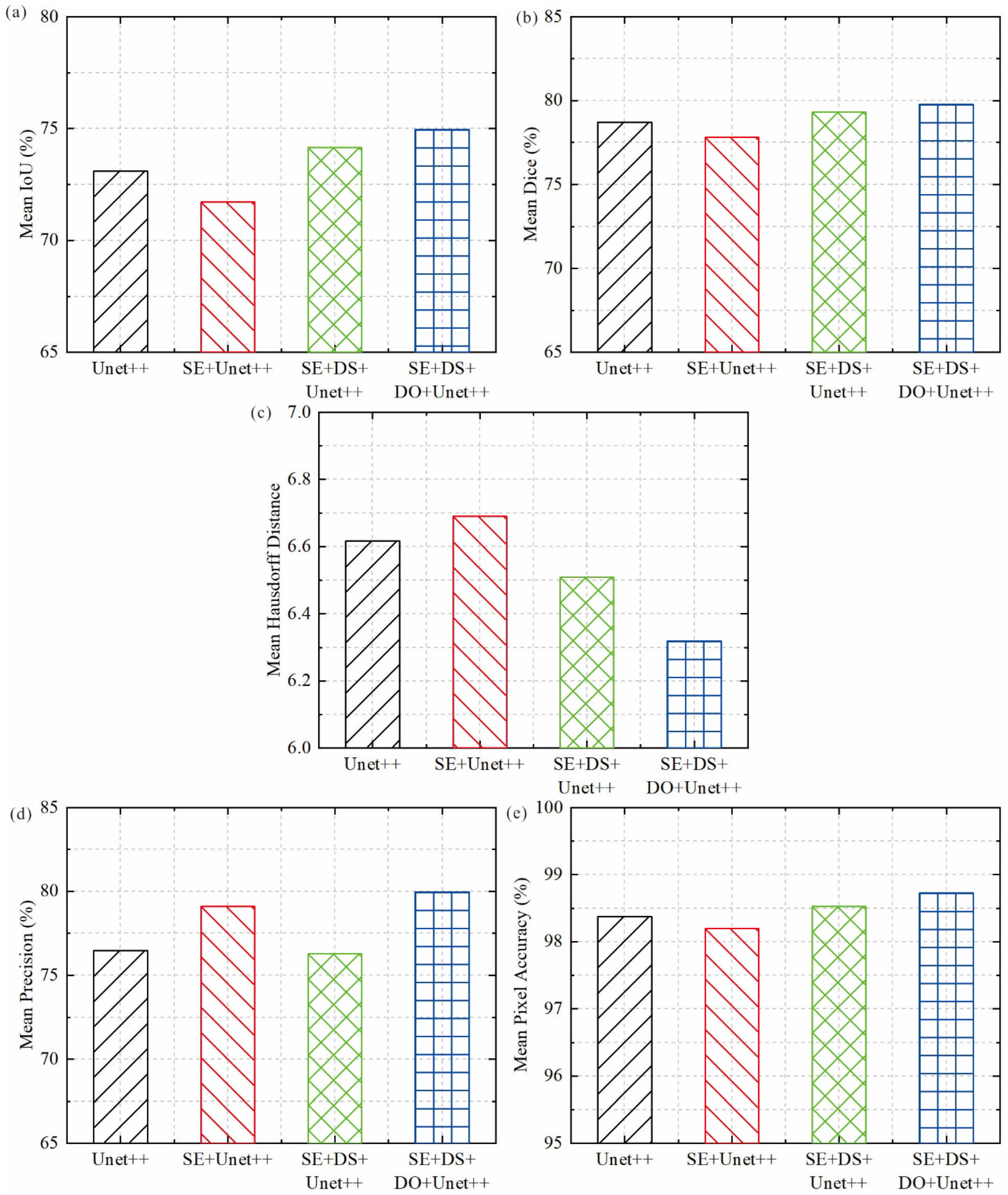
In deep learning, conducting ablation studies is crucial to systematically assess the impact and necessity of each model component. In this study, the impact of the Unet++ model structure on segmentation performance was evaluated by semantically segmenting ground targets captured by a UAV. Ablation experiments were conducted in a stepwise incremental fashion, beginning with the basic Unet++ and progressively incorporating the Squeeze-and-Excitation (SE) module, Depth Separation Convolution (DSC), and finally introducing the Dropout layer, resulting in four distinct configurations.
As a result, the experimental outcomes are displayed in Figure 8. The three evaluation metrics—mIoU, Mean Dice, and Mean Pixel Accuracy (MPA)—exhibited a pattern of initial decline followed by improvement as modules were incrementally added. Initially, when the SE module was integrated into Unet++, a decrease in performance was noted. This decline is primarily attributed to the SE module’s method of emphasizing crucial features by recalibrating the channel feature responses. In small datasets, this can cause the model to over-rely on certain features, limiting its generalization capacity. However, the addition of Depth Separated Convolution (DSC) markedly improved performance by reducing the number of parameters and the computational complexity. DSC achieves this by decoupling the convolution across channels and pointwise convolution, which is especially beneficial on resource-limited UAV platforms, allowing the model to more effectively capture spatial features without increasing computational demands. Further enhancement was observed with the inclusion of the Dropout layer. As a regularization technique, Dropout mitigates the model’s dependence on specific data points by randomly deactivating some activations within the network, thereby bolstering the model’s ability to generalize. This feature is particularly useful in stabilizing the model against variations in lighting and other visual disturbances associated with changing UAV perspectives.
The Mean Hausdorff Distance exhibited an increase after integrating the Squeeze-and-Excitation (SE) module, followed by a gradual decrease with the addition of Depth Separation Convolution (DSC) and Dropout layers. The Hausdorff Distance, which measures the maximum degree of mismatch between the predicted and true contours, is a critical metric for assessing the spatial accuracy of the model. Initially, the introduction of the SE module resulted in an increased distance. This may be due to the module enhancing the model’s sensitivity in specific areas, which could reduce accuracy in contour predictions at the boundaries. This effect is particularly noticeable in camouflaged battlefield environments, where targets closely resemble the background. The model may overfit to specific feature distributions within the training set, while real-world variations cause fluctuations in prediction accuracy. However, the implementation of DSC improves the model’s parameter efficiency, mitigating overfitting risks and more accurately approximating real object edges, thus enhancing the Hausdorff distance. DSC optimizes boundary recognition by maintaining efficient feature extraction despite a reduction in parameters, which is crucial when dealing with complex terrain and diverse ground cover. The addition of Dropout further enhances the model’s generalization capabilities. By randomly disabling some network nodes, Dropout reduces reliance on features from individual data samples, thereby boosting the model’s expressiveness and stability on unfamiliar data. This not only helps to minimize overfitting but also further decreases the Hausdorff Distance, improving the model’s accuracy and reliability in practical applications.
Additionally, Mean Precision displayed a fluctuating trend as model configurations were modified. The introduction of the SE module initially increased Mean Precision, which then decreased with the addition of DSC, and finally peaked with the incorporation of the Dropout layer. This variation underscores the complex influence of different modules on model performance and their interactions within specific application contexts. Initially, the SE module, through its channel attention mechanism, enhanced the model’s capability to discern crucial features, pivotal in UAV imagery with complex backgrounds and variable lighting. This focus led to improved accuracy. However, the introduction of depth-separated convolution, despite reducing the number of parameters and computational demands, may have slightly reduced feature richness, impacting accuracy. This suggests that reducing model complexity might affect the model’s ability to capture essential details for accurate target and context delineation. Finally, the addition of the Dropout layer substantially elevated Mean Precision to its highest value. Dropout effectively counters the model’s tendency to overfit specific noises in the training data by randomly disabling neurons, enhancing its ability to generalize across diverse test data. This feature is especially vital for UAV image segmentation, where real-world application images may differ significantly from the training set in terms of viewing angle, lighting, and environmental conditions.

3.5. Dropout Rate

Dropout rate refers to the percentage of neurons that are temporarily excluded from the network during each training phase. In the development and evaluation of image segmentation models, the Dropout rate significantly influences model performance. In this study, the effects of various Dropout settings on key metrics such as Mean Intersection over Union (mIoU) and Mean Pixel Accuracy (MPA) are rigorously examined. These metrics are normalized using their maximum values, as illustrated in Figure 9.
Furthermore, the mIoU, mDice, and MPA metrics all display a trend of increasing and then decreasing with the Dropout rate, peaking at a Dropout rate of 0.25. This observation underscores that the judicious application of Dropout during model training can substantially enhance the segmentation performance. Specifically, when the Dropout rate is below 0.25, increasing it helps reduce the model’s overfitting to the training data, thereby improving the model’s generalization capability on unseen data. However, exceeding a Dropout rate of 0.25 begins to detrimentally impact model performance, likely due to the excessive loss of information which impedes the network’s ability to learn effective features from the training data. The trend of Mean Precision (MP) with respect to the Dropout rate follows a similar pattern to other performance metrics like mIoU, especially for Dropout rates up to 0.3. This indicates that within this range, a moderate increase in the Dropout rate effectively enhances the model’s generalization ability while minimizing overfitting, which is beneficial for improving various performance metrics. Notably, when the Dropout rate is increased to 0.4, Mean Precision rapidly climbs to its maximum value, whereas other metrics like mIoU do not exhibit the same growth trend at this level. This phenomenon may suggest that at extreme Dropout settings, most network connections are severed, resulting in a general performance decline. However, for certain specific tasks or data features, this high degree of network sparsification may coincidentally reduce interference from erroneous predictions, unexpectedly boosting accuracy. The average Hausdorff distance, which measures the maximum deviation between the model’s predicted segmentation contour and the actual contour, shows a sensitive response to changes in the Dropout rate. This metric displays irregular fluctuations across different Dropout settings, reflecting the complex impact of variations in Dropout rate on the model’s ability to capture detailed features. Although Dropout is generally implemented to curb model overfitting and enhance generalization, its specific impact on model performance can vary depending on the performance metric. However, it is noteworthy that the average Hausdorff distance reaches its minimum when the Dropout rate is set at 0.25. This suggests that at this rate, the model most accurately predicts the boundaries and contours of images, likely because the level of Dropout is optimal for suppressing overfitting while still retaining sufficient network capacity to learn effective boundary features. In conclusion, this study sets the Dropout rate at 0.25 to achieve the best segmentation results.

3.6. Model Comparison

3.6.1. Quantitative Characterization

In this study, several state-of-the-art models based on the U-Net architecture are analyzed. The newly proposed Depse Unet++ model is also included in the comparison. This detailed analysis assesses the ability of UAVs to perform semantic segmentation in complex battlefield scenarios. The performance of these models is quantitatively characterized by metrics such as Mean IoU (Mean Intersection and Union Ratio), Mean Precision, Mean Dice (Mean Dice Coefficient), Mean Pixel Accuracy, and Mean Hausdorff Distance. Collectively, these metrics evaluate the models’ segmentation accuracy, boundary recognition, and overall image recovery capabilities.
Therefore, the results of this quantitative evaluation are presented in Table 2. The data show that the Improved Unet++ demonstrates superior performance across all evaluated metrics. It achieves a Mean IoU of 74.95% and a Mean Precision of 79.96%, both of which surpass the performance of the other models compared in this study. In particular, the Parameter metric is an order of magnitude lower than that of other models. This means the number of parameters is greatly reduced while performance is maintained, making the model more suitable for resource-constrained embedded device applications. This enhanced performance is credited to the integration of depth separable convolution and an optimized Dropout mechanism into the classic U-Net++ architecture, which significantly boosts the model’s feature extraction and generalization capabilities in complex environments. In the comparative analysis, higher scores on Mean Pixel Accuracy (98.37% and 98.51%, respectively) are recorded for the traditional UNet++ and AttU_Net models. However, their higher values on Mean Hausdorff Distance (6.62 and 6.89) indicate that potential for improvement still exists. This suggests that although these models may effectively cover a broader range of areas, they fall short in precisely delineating edge details.
Furthermore, although the R2AttU_Net incorporates an attention mechanism to heighten the model’s responsiveness to critical features, it still falls short in variable UAV viewpoints and diverse ground coverage scenarios. This is evidenced by its low Mean IoU and Mean Dice scores of 65.32% and 73.44%, respectively. The performance of R2U_Net is markedly worse, particularly in Mean IoU and Mean Dice, registering only 8.9% and 15.25%, respectively. This indicates that its structure may not be well suited for handling highly complex ground images, or it may require further tuning to enhance its adaptability to complex scenes. Although the Mean Hausdorff Distance of TransU_Net performs the best, with a value of only 5.76, its Parameter metric of 75M indicates that it is not suitable for deployment on embedded devices.
The exceptional performance of the Depse Unet++ model can be attributed to the use of depth-separated convolution, which maintains robust feature extraction capabilities while reducing the number of parameters and computational costs. This is crucial for processing UAV battlefield images, enhancing the model’s ability to recognize camouflaged targets that blend with similar colors and textures in the environment. Coupled with the Dropout technique, the model further boosts its robustness against various environmental conditions, ensuring stable recognition results across different lighting environments. By randomly dropping a portion of the network connections, the model effectively mitigates the overfitting phenomenon, enabling it to maintain high levels of accuracy and stability even on unseen test data.

3.6.2. Comparative Analysis of Model Performance

When evaluating the performance of image segmentation algorithms, an intuitive visual presentation is crucial, as it not only clearly delineates the strengths and weaknesses of each model but is also essential for assessing their practical application potential. The dataset used in this study consists of diverse ground targets captured from UAVs, posing a significant challenge due to varying lighting conditions, complex backgrounds, and diversity in target sizes. As depicted in Figure 10, the columns are shown to illustrate the segmentation results of different models, including the classical U_Net, AttU_Net, U_Net++, TransU_Net and the proposed improved model, Depse Unet++.
Both U_Net and AttU_Net models display robust segmentation performance, particularly with simple backgrounds, high exposure, and shadowed images. These models effectively adapt to varying lighting conditions and shifts in background complexity, accurately recognizing and segmenting targets. They excel in scenes with high exposure and significant shadow effects, maintaining accuracy and consistency through advanced feature extraction capabilities, significantly reducing erroneous segmentations and omissions. This performance is attributed to the robust features learned during training and the optimization algorithms in image processing, enabling them to excel in a variety of complex environments.
In contrast, the Unet++ model shows some overfitting when processing highly exposed images, often misclassifying overexposed regions as targets. This indicates that Unet++ may be overly sensitive to training data features and lacks sufficient generalization ability in high-contrast visual environments. Such overfitting typically arises from the model’s over-adaptation to specific features during training, failing to effectively distinguish between real targets and background noise caused by light intensity. Enhancements could include diversifying the training data, integrating additional regularization techniques, or modifying the network structure to improve adaptability and robustness to abnormal lighting conditions.
The R2U_Net model struggles to effectively learn segmentation task features, leading to poor performance and nearly all regions being incorrectly labeled as foreground. If the training data for R2U_Net is insufficient or lacks diversity, the model may struggle to learn essential features needed to differentiate foreground from background. This is mainly due to the network structure’s lack of adaptability to complex or variable environments. R2AttU_Net, while performing better than R2U_Net, still faces challenges in segmenting images with high exposures and shadows. This may be due to its attention mechanism, which, while improving feature focus, may overemphasize local features at the expense of overall background coherence in environments with significant lighting changes or high contrast. In particularly well-lit or shadowed areas, the model is prone to misclassify non-target regions as targets, reducing segmentation accuracy. Optimizing the model’s adaptability to complex lighting and shading variations is crucial for future improvements. TransU_Net combines Transformer layers with the traditional U-Net architecture, enabling it to better understand the global context of the image. This results in more precise segmentation boundaries, reducing the Hausdorff distance and leading to superior performance on the Mean Hausdorff Distance metric compared to all other models. However, this also means it requires more weights and parameters to perform these computations, which is why its Parameter metric is the largest.
In contrast, relatively satisfactory segmentation results across all test images are shown by the proposed Depse Unet++ model, which performs well in simple backgrounds, high-exposure environments, and shadowed scenarios. This success is attributed to the depth-separable convolution and the optimized attention mechanism incorporated into the model. These elements significantly enhance the model’s ability to manage features across different scales and adapt to complex backgrounds. Additionally, by incorporating a Dropout strategy, the model boosts its generalization capability during training, effectively reducing the risk of overfitting and ensuring high accuracy on unseen data. The potential and effectiveness of the improved model are demonstrated in real-world applications. It shows more accurate and stable performance than traditional methods, particularly in variable and complex environmental conditions.

4. Conclusions

In this study, the Depse Unet++ model was proposed, which demonstrates outstanding performance in segmenting target images from battlefield UAVs. By integrating the SE attention mechanism, Deep Separation Convolution, and Dropout, this model significantly enhances segmentation accuracy for camouflaged targets and regions affected by varying exposure levels. It also reduces data volume and storage requirements for UAV operations, ensuring robustness across diverse environments and with limited sample sizes. The Depse Unet++ model was evaluated using a self-constructed dataset and outperformed traditional U-Net and its variants in several key areas: (1) effectively recognizing and segmenting targets against highly similar background artifacts and under varied exposure conditions; (2) adapting to the application of UAV embedded devices; and (3) accurately preserving and recognizing detailed features post-target segmentation, demonstrating heightened sensitivity to target contours and textures. The results confirm that the Depse Unet++ model delivers more reliable segmentation outputs in complex and challenging UAV filming conditions. Future efforts will optimize the model to address training data imbalances and enhance model generalization, aiming to expand its application to real-time UAV image processing tasks.

Author Contributions

Conceptualization, Z.H. and Z.Z.; formal analysis, H.L. and Y.G.; funding acquisition, H.L. and Z.Z.; methodology, Z.H.; software, Z.H. and Y.G.; supervision, Z.Z. and H.L.; validation, Z.H. and Y.L.; visualization, Z.H. and Y.G.; writing—original draft, Z.H.; writing—review and editing, Z.H., Z.Z. and H.L. All authors have read and agreed to the published version of the manuscript.

Funding

This work was supported by the National Natural Science Foundation of China under Grant 52201399 and the Fundamental Research Funds for the Central Universities (No. 30924010504).

Data Availability Statement

Data are contained within the article.

DURC Statement

Current research is limited to innovations and inventions in drone applications, which are beneficial in the aerospace field and do not pose a threat to public health or national security. The authors acknowledge the dual-use potential of the research involving the military and confirm that all necessary precautions have been taken to prevent potential misuse. As an ethical responsibility, the authors strictly adhere to relevant national and international laws about DURC. The authors advocate for responsible deployment, ethical considerations, regulatory compliance, and transparent reporting to mitigate misuse risks and foster beneficial outcomes.

Conflicts of Interest

The authors declare that they have no known competing financial interests or personal relationships that could have appeared to influence the work reported in this paper.

References

  1. Raju, P.D.R.; Neelima, G. Image segmentation by using histogram thresholding. Int. J. Comput. Sci. Eng. Technol. 2012, 2, 776–779. [Google Scholar]
  2. Chen, J.; Guan, B.; Wang, H.; Zhang, X.; Tang, Y.; Hu, W. Image thresholding segmentation based on two dimensional histogram using gray level and local entropy information. IEEE Access 2017, 6, 5269–5275. [Google Scholar] [CrossRef]
  3. Yang, W.; Cai, L.; Wu, F. Image segmentation based on gray level and local relative entropy two dimensional histogram. PLoS ONE 2020, 15, e0229651. [Google Scholar] [CrossRef]
  4. Alsmadi, M.K. Content-based image retrieval using color, shape and texture descriptors and features. Arab. J. Sci. Eng. 2020, 45, 3317–3330. [Google Scholar] [CrossRef]
  5. Ilea, D.E.; Whelan, P.F. Image segmentation based on the integration of colour–texture descriptors—A review. Pattern Recognit. 2011, 44, 2479–2501. [Google Scholar] [CrossRef]
  6. Chaki, J.; Dey, N. Texture Feature Extraction Techniques for Image Recognition; Springer: Singapore, 2020. [Google Scholar]
  7. Venu, D.; Kumar, A.A. Comparison of Traditional Method with watershed threshold segmentation Technique. Int. J. Anal. Exp. Modal Anal. 2021, 13, 181–187. [Google Scholar]
  8. Blaschke, T.; Burnett, C.; Pekkarinen, A. Image segmentation methods for object-based analysis and classification. In Remote Sensing Image Analysis: Including the Spatial Domain; Springer: Dordrecht, The Netherlands, 2004; pp. 211–236. [Google Scholar]
  9. Liu, X.; Deng, Z.; Yang, Y. Recent progress in semantic image segmentation. Artif. Intell. Rev. 2019, 52, 1089–1106. [Google Scholar] [CrossRef]
  10. Jing, J.; Liu, S.; Wang, G.; Zhang, W.; Sun, C. Recent advances on image edge detection: A comprehensive review. Neurocomputing 2022, 503, 259–271. [Google Scholar] [CrossRef]
  11. Chen, C.; Wang, C.; Liu, B.; He, C.; Cong, L.; Wan, S. Edge intelligence empowered vehicle detection and image segmentation for autonomous vehicles. IEEE Trans. Intell. Transp. Syst. 2023, 24, 13023–13034. [Google Scholar] [CrossRef]
  12. Song, S.-B.; Liu, J.-F.; Ni, H.-Y.; Cao, X.-L.; Pu, H.; Huang, B.-X. A new automatic thresholding algorithm for unimodal gray-level distribution images by using the gray gradient information. J. Pet. Sci. Eng. 2020, 190, 107074. [Google Scholar] [CrossRef]
  13. Ahmad, N.; Asif, H.M.S.; Saleem, G.; Younus, M.U.; Anwar, S.; Anjum, M.R. Leaf image-based plant disease identification using color and texture features. Wirel. Pers. Commun. 2021, 121, 1139–1168. [Google Scholar] [CrossRef]
  14. Muthukrishnan, R.; Radha, M. Edge detection techniques for image segmentation. Int. J. Comput. Sci. Inf. Technol. 2011, 3, 259. [Google Scholar] [CrossRef]
  15. Minaee, S.; Boykov, Y.; Porikli, F.; Plaza, A.; Kehtarnavaz, N.; Terzopoulos, D. Image segmentation using deep learning: A survey. IEEE Trans. Pattern Anal. Mach. Intell. 2021, 44, 3523–3542. [Google Scholar] [CrossRef] [PubMed]
  16. Liu, X.; Song, L.; Liu, S.; Zhang, Y. A review of deep-learning-based medical image segmentation methods. Sustainability 2021, 13, 1224. [Google Scholar] [CrossRef]
  17. Wang, Z.; Wang, E.; Zhu, Y. Image segmentation evaluation: A survey of methods. Artif. Intell. Rev. 2020, 53, 5637–5674. [Google Scholar] [CrossRef]
  18. Long, J.; Shelhamer, E.; Darrell, T. Fully convolutional networks for semantic segmentation. In Proceedings of the IEEE Conference on Computer Vision and Pattern Recognition, Boston, MA, USA, 7–12 June 2015; pp. 3431–3440. [Google Scholar]
  19. Ronneberger, O.; Fischer, P.; Brox, T. U-net: Convolutional networks for biomedical image segmentation. In Proceedings of the Medical Image Computing and Computer-Assisted Intervention—MICCAI 2015: 18th International Conference, Munich, Germany, 5–9 October 2015; Proceedings, Part III. pp. 234–241. [Google Scholar]
  20. Zhou, Z.; Rahman Siddiquee, M.M.; Tajbakhsh, N.; Liang, J. Unet++: A nested u-net architecture for medical image segmentation. In Proceedings of the Deep Learning in Medical Image Analysis and Multimodal Learning for Clinical Decision Support: 4th International Workshop, DLMIA 2018, and 8th International Workshop, ML-CDS 2018, Held in Conjunction with MICCAI 2018, Granada, Spain, 20 September 2018; Proceedings 4. pp. 3–11. [Google Scholar]
  21. Oktay, O.; Schlemper, J.; Folgoc, L.L.; Lee, M.; Heinrich, M.; Misawa, K.; Mori, K.; McDonagh, S.; Hammerla, N.Y.; Kainz, B.; et al. Attention u-net: Learning where to look for the pancreas. arXiv 2018, arXiv:1804.03999. [Google Scholar]
  22. Alom, M.Z.; Hasan, M.; Yakopcic, C.; Taha, T.M.; Asari, V.K. Recurrent residual convolutional neural network based on u-net (r2u-net) for medical image segmentation. arXiv 2018, arXiv:1802.06955. [Google Scholar]
  23. Siddique, N.; Paheding, S.; Elkin, C.P.; Devabhaktuni, V. U-net and its variants for medical image segmentation: A review of theory and applications. IEEE Access 2021, 9, 82031–82057. [Google Scholar] [CrossRef]
  24. Kushnure, D.T.; Talbar, S.N. MS-UNet: A multi-scale UNet with feature recalibration approach for automatic liver and tumor segmentation in CT images. Comput. Med. Imaging Graph. 2021, 89, 101885. [Google Scholar] [CrossRef] [PubMed]
  25. Li, J.; Liu, K.; Hu, Y.; Zhang, H.; Heidari, A.A.; Chen, H.; Zhang, W.; Algarni, A.D.; Elmannai, H. Eres-UNet++: Liver CT image segmentation based on high-efficiency channel attention and Res-UNet++. Comput. Biol. Med. 2023, 158, 106501. [Google Scholar] [CrossRef] [PubMed]
  26. Chen, J.; Lu, Y.; Yu, Q.; Luo, X.; Adeli, E.; Wang, Y.; Lu, L.; Yuille, A.L.; Zhou, Y. Transunet: Transformers make strong encoders for medical image segmentation. arXiv 2021, arXiv:2102.04306. [Google Scholar]
  27. Zhou, Z.; Siddiquee, M.M.R.; Tajbakhsh, N.; Liang, J. Unet++: Redesigning skip connections to exploit multiscale features in image segmentation. IEEE Trans. Med. Imaging 2019, 39, 1856–1867. [Google Scholar] [CrossRef] [PubMed]
  28. Hu, J.; Shen, L.; Sun, G. Squeeze-and-excitation networks. In Proceedings of the IEEE Conference on Computer Vision and Pattern Recognition, Salt Lake City, UT, USA, 18–22 June 2018; pp. 7132–7141. [Google Scholar]
  29. Deng, J.; Ma, Y.; Li, D.-A.; Zhao, J.; Liu, Y.; Zhang, H. Classification of breast density categories based on SE-Attention neural networks. Comput. Methods Programs Biomed. 2020, 193, 105489. [Google Scholar] [CrossRef] [PubMed]
  30. Chollet, F. Xception: Deep learning with depthwise separable convolutions. In Proceedings of the IEEE Conference on Computer Vision and Pattern Recognition, Honolulu, HI, USA, 21–26 July 2017; pp. 1251–1258. [Google Scholar]
  31. Yu, C.; Wang, J.; Peng, C.; Gao, C.; Yu, G.; Sang, N. Learning a discriminative feature network for semantic segmentation. In Proceedings of the IEEE Conference on Computer Vision and Pattern Recognition, Salt Lake City, UT, USA, 18–22 June 2018; pp. 1857–1866. [Google Scholar]
  32. Henderson, P.; Ferrari, V. End-to-end training of object class detectors for mean average precision. In Proceedings of the Computer Vision—ACCV 2016: 13th Asian Conference on Computer Vision, Taipei, Taiwan, 20–24 November 2016; Revised Selected Papers, Part V. pp. 198–213. [Google Scholar]
  33. Ye, S.; Pontius, R.G., Jr.; Rakshit, R. A review of accuracy assessment for object-based image analysis: From per-pixel to per-polygon approaches. SPRS J. Photogramm. Remote Sens. 2018, 141, 137–147. [Google Scholar] [CrossRef]
  34. Ataş, İ. Performance Evaluation of Jaccard-Dice Coefficient on Building Segmentation from High Resolution Satellite Images. Balk. J. Electr. Comput. Eng. 2023, 11, 100–106. [Google Scholar] [CrossRef]
  35. Taha, A.A.; Hanbury, A. An efficient algorithm for calculating the exact Hausdorff distance. IEEE Trans. Pattern Anal. Mach. Intell. 2015, 37, 2153–2163. [Google Scholar] [CrossRef] [PubMed]
Figure 1. Depse Unet++ overall architecture.
Figure 1. Depse Unet++ overall architecture.
Drones 09 00166 g001
Figure 2. Unet++ model structure.
Figure 2. Unet++ model structure.
Drones 09 00166 g002
Figure 3. Unet++ first jump path.
Figure 3. Unet++ first jump path.
Drones 09 00166 g003
Figure 4. SE module schematic.
Figure 4. SE module schematic.
Drones 09 00166 g004
Figure 5. Depth separable convolution schematic. (a) depthwise convolution; (b) pointwise convolution.
Figure 5. Depth separable convolution schematic. (a) depthwise convolution; (b) pointwise convolution.
Drones 09 00166 g005
Figure 6. Data acquisition. (a) Objective and background; (b) UAV acquisition.
Figure 6. Data acquisition. (a) Objective and background; (b) UAV acquisition.
Drones 09 00166 g006
Figure 7. Target and segmentation mask.
Figure 7. Target and segmentation mask.
Drones 09 00166 g007
Figure 8. Performance metrics of different configurations. (a) Mean IoU; (b) mean dice; (c) mean Hausdorff distance; (d) mean precision; (e) mean precision accuracy.
Figure 8. Performance metrics of different configurations. (a) Mean IoU; (b) mean dice; (c) mean Hausdorff distance; (d) mean precision; (e) mean precision accuracy.
Drones 09 00166 g008
Figure 9. Variation of dropout rate with normalized performance metrics.
Figure 9. Variation of dropout rate with normalized performance metrics.
Drones 09 00166 g009
Figure 10. Visualization of the comparison experiments of various models.
Figure 10. Visualization of the comparison experiments of various models.
Drones 09 00166 g010
Table 1. Camera parameters.
Table 1. Camera parameters.
Parameters
Camera modelL2D-20c
Aperture valuef/8
Exposure time (s)0.01
Focal length (mm)12
Table 2. Comparison of prediction accuracy of different models.
Table 2. Comparison of prediction accuracy of different models.
ModelMean IoU (%)Mean
Precision (%)
Mean Dice (%)Mean Pixel
Accuracy (%)
Mean Hausdorff DistanceParameter
(M)
UNet++ [20]73.1076.4778.7098.376.6260
R2AttU_Net65.3274.9573.4497.266.7955
R2U_Net [22]8.658.6515.2518.3619.0855
U_Net [19]72.6775.6778.4298.356.5030
AttU_Net [21]73.8474.6979.0798.516.8945
TransU_Net [26]68.9470.6071.7898.715.7675
Depse Unet++74.9579.9679.7998.736.320.5
Disclaimer/Publisher’s Note: The statements, opinions and data contained in all publications are solely those of the individual author(s) and contributor(s) and not of MDPI and/or the editor(s). MDPI and/or the editor(s) disclaim responsibility for any injury to people or property resulting from any ideas, methods, instructions or products referred to in the content.

Share and Cite

MDPI and ACS Style

Hou, Z.; Gu, Y.; Zheng, Z.; Li, Y.; Li, H. UAV Target Segmentation Based on Depse Unet++ Modeling. Drones 2025, 9, 166. https://doi.org/10.3390/drones9030166

AMA Style

Hou Z, Gu Y, Zheng Z, Li Y, Li H. UAV Target Segmentation Based on Depse Unet++ Modeling. Drones. 2025; 9(3):166. https://doi.org/10.3390/drones9030166

Chicago/Turabian Style

Hou, Zhaoqi, Yiqing Gu, Zhen Zheng, Yueqiang Li, and Haojie Li. 2025. "UAV Target Segmentation Based on Depse Unet++ Modeling" Drones 9, no. 3: 166. https://doi.org/10.3390/drones9030166

APA Style

Hou, Z., Gu, Y., Zheng, Z., Li, Y., & Li, H. (2025). UAV Target Segmentation Based on Depse Unet++ Modeling. Drones, 9(3), 166. https://doi.org/10.3390/drones9030166

Article Metrics

Back to TopTop