Next Article in Journal
Adaptive Federated Kalman Filtering with Dimensional Isolation for Unmanned Aerial Vehicle Navigation in Degraded Industrial Environments
Previous Article in Journal
UAV Target Segmentation Based on Depse Unet++ Modeling
 
 
Font Type:
Arial Georgia Verdana
Font Size:
Aa Aa Aa
Line Spacing:
Column Width:
Background:
Article

Integrated Control Method for STOVL UAV Based on RBF Neural Network and Nonlinear Dynamic Allocation

School of Mechanics and Aerospace Engineering, Dalian University of Technology, Dalian 116081, China
*
Author to whom correspondence should be addressed.
Drones 2025, 9(3), 167; https://doi.org/10.3390/drones9030167
Submission received: 30 December 2024 / Revised: 18 February 2025 / Accepted: 21 February 2025 / Published: 24 February 2025

Abstract

A short takeoff and vertical landing unmanned aerial vehicle (STOVL UAV) is significantly influenced by factors such as the ship’s surface effect, deck motion, and jet effect during vertical landing on an aircraft carrier. The existing control logic cannot effectively solve the coupling problem of longitudinal attitude and trajectory, so it is hard to guarantee the stability and control accuracy of the UAV at low speed. To address the aforementioned interference and coupling problems, a comprehensive control law based on a radial basis function neural network (RBFNN) and nonlinear dynamic optimal allocation is designed in this paper. Firstly, the integrated landing control law of the STOVL UAV is designed. Considering the model uncertainty and complex landing environment, an RBFNN is used for online observation and compensation to improve the robustness of the system. Subsequently, a dynamic control allocation module based on nonlinear optimization is developed to simultaneously satisfy force and moment commands. The simulation results show that the integrated control method effectively decouples the pitch attitude and longitudinal trajectory at low speeds, resulting in effective convergence control of pitch angle, forward flight speed, and altitude. The integration of the RBFNN, as evaluated by the integral of absolute error (IAE), results in a 93% improvement in control accuracy compared to the integrated landing control law designed in this paper without the RBFNN integration.

1. Introduction

In recent years, with the limitation of arresting cable technology, catapult technology, and runway length on aircraft carriers, STOVL UAVs have garnered significant attention. These UAVs are capable not only of performing conventional flight operations but also of executing specialized maneuvers such as hovering and vertical takeoff and landing. Owing to its rapid maneuverability and exceptional flexibility, this class of UAVs holds significant potential for military applications [1,2,3,4].
Landing is considered a complex process due to several factors that introduce significant challenges in control design. Firstly, during the final stages of the landing operation, the UAV experiences external disturbances, such as ship surface effects, deck motion, and jet flow effects. These factors significantly affect the aircraft’s longitudinal and lateral dynamics, especially when the aircraft is in a low-speed descent phase. The ship surface effect, for example, leads to changes in aerodynamic lift and thrust distribution, making it difficult to accurately model the dynamic behavior of the aircraft. Furthermore, the coupling between the UAV’s pitch angle, altitude, and forward velocity introduces additional complexity. At low speeds, the changes in pitch angle directly affect the altitude and forward velocity, creating challenges for independent control. As a result, ensuring a stable and accurate landing becomes a highly nonlinear problem. Finally, precise control during landing is crucial in constrained environments such as aircraft carriers, where small deviations in altitude, velocity, or attitude can result in dangerous landing conditions. Addressing these challenges necessitates robust dynamic modeling and precise control design to ensure stability and reliability. Similar studies in related fields, such as the numerical and experimental analysis of wearable exo-gloves for telerehabilitation applications using shape memory alloy actuators [5] and the design and impedance control of hydraulic robots for paralyzed individuals [6], provide valuable insights into dynamic system behavior and adaptive control strategies under nonlinear and constrained conditions. These works highlight the importance of combining advanced dynamic modeling with robust control frameworks, which serves as an inspiration for tackling the challenges in STOVL UAV control systems.
Conventional STOVL UAV control approaches, including dynamic inversion [7,8,9,10] and proportional–integral–derivative (PID) control [11], heavily rely on model accuracy. These methods are highly sensitive to external disturbances, often failing to ensure control stability and convergence. However, there are currently no references studying the vertical landing process of STOVL UAVs. But similar studies exist in the literature on the short landing of STOVL aircraft. Reference [12] points out that a STOVL aircraft faces control allocation and coupling problems during landing, and is designed using efficiency allocation criteria based on frequency domain scales. But the strategy given in the article is still a conventional sliding landing, rather than a vertical landing. Reference [13] provides an integrated design method for guidance and control laws of STOVL UAVs during the deceleration transition and vertical landing phases. Although the article conducted a dynamic analysis, the high convergence in the simulation is poor. During the landing process of a STOVL UAV, it not only faces the coupling of thrust vector on aircraft longitudinal attitude and trajectory control at low speeds, but also external disturbances such as deck motion, ship surface effects, and jet effects, making its controller design difficult and complex.
Existing studies on STOVL UAVs primarily concentrate on control law design and allocation challenges, emphasizing dynamic system modeling and compound control methods during the transition phase [14,15,16]. At present, the mainstream control scheme of STOVL UAVs is to only allocate and solve the attitude control to obtain the deflection control of aerodynamic and thrust systems, and the trajectory level directly gives the control mechanism instructions by the control law. For example, References [17,18] proposed a control strategy at low speed, which divides the control of a STOVL UAV into a longitudinal channel and vertical channel. The strategy achieves altitude control through throttle adjustment. The forward flight velocity is adjusted by the pitch angle, and the adjustment of the pitch angle depends on the angle control of the tail nozzle and the lift fan, so that a variety of motion forms of the UAV can be effectively realized. However, the strategy couples the pitch angle and the forward flight velocity control with the inner and outer loops, which makes it difficult to independently guarantee the convergence control of the attitude and the forward flight velocity. In the actual low-speed vertical carrier landing process, this design is difficult to ensure the stable convergence of the touchdown attitude and the landing trajectory at the same time, which poses a great threat to landing safety. Therefore, the control design part needs to be redesigned to comprehensively allocate the force and moment of the UAV.
To address the influence of disturbances effectively, artificial-intelligence-based control strategies and optimization methods have garnered increasing attention in recent years. Among them, RBFNNs are widely used in disturbance observation and compensation in complex environments due to their fast learning and good generalization ability. Reference [19] proposed an adaptive backstepping sliding mode attitude controller for a four-rotor UAV based on an RBFNN and carried out hovering flight tests under actual working conditions to prove that the controller has good anti-interference performance. Reference [20] proposed an online learning adaptive radial basis function neural network to deal with measurement errors and environmental disturbances to improve control performance. Flight tests verified hover, straight flight, and autonomous landing control under wind disturbances. At the same time, the comprehensive distribution of force and moment of the UAV can be regarded as a multi-variable nonlinear optimization problem with constraints, and the control instructions satisfying the force and moment are solved to decouple the longitudinal force and moment control. Reference [21] proposed a control allocation strategy based on improved sequential quadratic programming to solve the problems of virtual control error and rudder effect neutralization under the cross-coupling effect of a multi-control surface UAV. Reference [22] considered the cross-coupling effect of the thrust and the vectoring angle of the X-33 spacecraft vectored engine on the three-axis moment and transformed the cross-coupling control allocation problem into a sequential linear programming problem.
Traditional STOVL UAV control approaches, such as dynamic inversion and PID control, heavily rely on accurate modeling of UAV dynamics. While effective in ideal scenarios, these methods are highly sensitive to external disturbances and model uncertainties, often failing to maintain control stability and convergence under practical conditions. Furthermore, existing studies primarily focus on decoupling attitude and trajectory control, but limited work has addressed the integrated allocation of forces and moments under nonlinear coupling effects. Recent advancements in adaptive control and neural network-based approaches, such as radial basis function neural networks (RBFNNs), have demonstrated potential for disturbance observation and compensation. However, these methods either target specific subsystems or fail to optimize control performance holistically. Based on an RBFNN and a nonlinear optimization method, an integrated control law for the STOVL UAV carrier-based vertical landing process is applied for the first time to solve the control issue in this paper. The main contributions of this article are as follows: First, by combining the advantages of an RBFNN and nonlinear optimization, the disturbance can be compensated online, and the efficient allocation of thrust and attitude can be realized, so as to improve the longitudinal attitude and trajectory control accuracy and robustness of STOVL UAVs during vertical carrier landing. An RBFNN is innovatively used to observe the landing attitude interference of a STOVL UAV in real time and compensate for the influence of the ship surface effect, jet effect, and deck motion. Second, a nonlinear dynamic optimal allocation method combining force and moment is proposed for the first time to solve the nonlinear coupling problem of longitudinal force and moment control. The simulation results show that the integrated control law can significantly solve the coupling problem, so that the longitudinal force and moment control can be completely converged, and has high robustness.

2. Modeling of STOVL UAV and Carrier Landing Environment

This article focuses on STOVL UAVs due to their unique suitability for operations in constrained environments, such as aircraft carriers. STOVL aircraft combine the advantages of vertical takeoff and landing with the ability to perform short-distance horizontal takeoffs, enabling them to carry heavier payloads compared to purely VTOL designs. This enhanced payload capacity is critical for military and logistical applications, where additional fuel, equipment, or sensor payloads are often required. Compared to other UAV forms, such as convertible fixed-wing VTOLs, STOVL UAVs offer a superior balance between load-carrying capability and operational flexibility. Convertible fixed-wing VTOL UAVs often prioritize aerodynamic efficiency in forward flight, which can limit their payload during takeoff and landing phases. On the other hand, STOVLs leverage their thrust vectoring and short takeoff capabilities to maximize payload without the need for extensive runway infrastructure, making them particularly advantageous in scenarios where space is limited and operational demands are high. This section will model the power system of the STOVL UAV and then carry out the six-degree-of-freedom dynamic modeling of the UAV. Finally, the environment and external disturbances in the landing environment, such as the ship surface effect, deck motion, and jet effect, are considered.

2.1. Modeling of Power System

Compared with conventional UAVs, a STOVL UAV uses a more complex power system to achieve short takeoff, hovering and vertical landing functions. The system includes a main engine vector nozzle, a pre-lift fan, and a sub-wing jet nozzle. In the process of modeling, the positions of the lift fan, the engine tail nozzle, and the rolling nozzle are mainly considered. As shown in the following Figure 1, force and moment model of the power system are established [23].
In Figure 1, C G is the center of gravity of the UAV. x 1 y 1 z 1 is the body axis coordinate system. T l f ( N ) , δ l f rad , and x l f m are the thrust generated by the lift fan, the longitudinal deflection angle, and the distance to the center of gravity. T n N , δ n 1 rad , δ n 2 rad , and x n m are the thrust generated by the tail nozzle, the longitudinal deflection angle, the lateral deflection angle, and the distance to the center of gravity. The thrusts of the left and right rolling nozzles are T n l N and T n r N , respectively.
When considering the longitudinal motion, the lateral deflection angle δ n 2 = 0 is considered. Without considering the effect of the rolling nozzle, the force and moment model of the power system on the longitudinal direction of the UAV under the aircraft system can be obtained from Figure 1:
F x t = T n cos δ n 1 T l f sin δ l f F y t = T n sin δ n 1 + T l f cos δ l f M z t = T l f x l f cos δ l f T n x n sin δ n 1
where T n δ T n and T l f δ T l f represent the thrust calculated by the nozzle throttle and the lift fan throttle, respectively. F x t N , F y t N , and M z t N m represent the force components of the power system on the longitudinal and vertical axes of the aircraft, as well as the moment on the longitudinal axis.

2.2. Dynamic Modeling of STOVL UAV

After the establishment of the UAV power system model, the longitudinal dynamics model of the STOVL UAV can be obtained by determining the coordinate system and the Newton equation as follows [7]:
V ˙ x = V y ω z + F x q + F x t + D GE m g sin ϑ / m V ˙ y = V x ω z + F x q + F y t + L GE m g cos ϑ / m ω ˙ z = 1 I zz ( M z q + M z t + M GE ) S ˙ g = V x cos ϑ V y sin ϑ h ˙ = V x sin ϑ + V y cos ϑ ϑ ˙ = ω z
where ϑ rad and ω z rad / s are the pitch angle and the pitch angular rate. F x q N , F y q N , and M z q N m are aerodynamic drag, lift, and pitch moment. M z q = q ¯ S l m z , where q ¯ , S m 2 , l m , and m z are dynamic pressure, characteristic area, characteristic length, and pitching aerodynamic moment coefficient. V x m / s and V y m / s are the velocity components along the axis of the body coordinate system. S g m and h m are the forward position and height position along the axes of the ground system. m kg and g m / s 2 are the mass and gravity acceleration. I zz kg m 2 is the moment of inertia of the pitch axis of the body coordinate system.

2.3. Modeling of Ship Surface Effect

In the vertical carrier landing process of a STOVL UAV, the surface effect is a key factor that cannot be ignored. Especially when the UAV is close to the deck, its influence on the longitudinal dynamic characteristics of the UAV is particularly significant. The generation of the surface effect is mainly due to the complex airflow field formed by the interaction between the UAV and the deck ground. When the jet is close to the ground, the reflected airflow intensifies the aerodynamic pressure, which leads to the enhancement of the longitudinal lift and changes the thrust distribution in the vertical direction. This phenomenon is particularly obvious in the vertical landing stage, which will interfere with the longitudinal attitude and altitude stability of the UAV.
In addition, as the height of the UAV is further reduced, the nonlinear characteristics of the surface effect are gradually enhanced, which makes it difficult for the traditional linear model to accurately describe its dynamic characteristics. Therefore, in the vertical carrier landing control modeling of a STOVL UAV, the significant interference of ship surface effect on longitudinal dynamics must be considered. The mathematical model for the ship surface effect is described as follows [24,25]:
D GE = q ¯ S K GE ( h ) C D GE ( α ) L GE = q ¯ S K GE ( h ) C L GE ( α ) M GE = q ¯ S   c ¯ K GE ( h ) C m GE ( α )
where h g is the height from the deck floor. K GE h g is the washout factor of the ship effect. C D GE ( α ) , C L GE ( α ) , and C m GE ( α ) are the induced drag, lift, and pitching moment coefficients.

2.4. Modeling of Deck Motion

During the vertical carrier landing of a STOVL UAV, the movement of the carrier deck poses a significant challenge to the attitude and dynamic stability of the UAV. Deck motion is usually caused by waves in the marine environment, and its main manifestations include dynamic characteristics such as deck pitch, height change, and roll. Among them, the pitch and height changes have a particularly significant impact on the vertical carrier landing process, because they directly interfere with the accuracy of the UAV’s longitudinal attitude and vertical descent and have a non-negligible impact on the landing safety of the STOVL UAV. The periodic lifting motion of the deck under the action of waves will lead to frequent fluctuations in the relative height between the UAV and the deck, which may cause accidental contact. At the same time, the deck lifting motion affects the relative height of the ship surface effect, which in turn increases the uncertainty of the ship surface effect.
Under reasonable assumptions, such as the carrier sailing at a constant speed of 5 m/s in a moderate sea state environment, the deck motion can be represented by a stationary random process formed by the superposition of narrow-band sinusoidal waves. The sea breeze and waves generated on the sea surface will act on the aircraft carrier, causing the aircraft carrier to exhibit deck movements such as ups and downs, pitch, and roll, in which the motion model of the vertical motion height of the deck is as follows [26]:
h s ( m ) = 1.22 sin ( ( 0.6 t ) + 0.305 sin ( 0.2 t ) )
However, in fact, the movement of the aircraft carrier is a random process, which cannot be expressed by a fixed function. In engineering practice, the spectrum model method is often used. The motion of an aircraft carrier under the action of waves is a random process of ergodicity. In theoretical research, the unit white noise is often applied to the shaping filter to obtain the time-domain motion model of an aircraft carrier. The following formula is the power spectrum of heave:
h s ( s ) = 0.353568 s ( s + 0.04 ) ( s 2 + 0.16 s + 0.4 2 ) ( s 2 + 0.22 s + 0.55 2 )

2.5. Modeling of Jet Flow Effect

A STOVL UAV usually uses high-energy jets generated by vector engines or lift fans to provide vertical lift and attitude control during the landing phase. The high-speed jet interacts complexly with the surrounding airflow, significantly increasing the variability of flow field characteristics. This complex fluid dynamics environment poses a challenge to the flight control performance of the UAV, especially the safety of the final stage of the landing. The lift generated by the propulsion system and the fixed wing is not completely equal to the ground experiment under the influence of the jet flow effect. Thus, the thrust loss and lift loss induced by the jet flow effect must be modeled independently.
The lift loss Δ L N caused by the jet effect is mainly composed of two parts, namely the aerodynamic lift loss Δ L N caused by the jet airflow and the self-lift loss Δ L N N caused by the jet deflection. Therefore, the lift loss caused by the jet flow effect is expressed as
Δ L = Δ L + Δ L N
According to experience and the existing literature, the lift loss of these two parts is calculated by the following formula [27,28]:
Δ L T = 0.002528 S A j N P R 0.64 P e r d n e 1.581 Δ L N T = K A K C 35 V e 5.5 S A j 1 3 V e 2 S A j 1 2 3 δ j
where T N is the thrust generated by the nozzle jet. A j m 2 is the nozzle outlet area. N P R is the outlet pressure ratio. P e r m is the outlet circumference. d n e m is the outlet equivalent diameter. V e m / s is the equivalent velocity ratio, defined as V e = q ¯ / q j , where q j is the nozzle outlet flow pressure. δ j rad is the deviation angle of the nozzle relative to the fuselage axis. K A is the aspect ratio correction coefficient. K C is the correction coefficient of the nozzle installation position to the calculation area position.
For a STOVL UAV, the longitudinal jet nozzle mainly includes a lift fan and vector nozzle. The lift fan is installed before the main wing and is far away from the tail wing, which can be regarded as the loss caused by only affecting the aerodynamics of the main wing and its own deflection. The vectoring nozzle is located behind the main wing and in front of the flat tail, which can be regarded as only affecting the aerodynamics of the tail and the loss caused by its own deflection [29]. In summary, the jet flow effect model is established.
During the vertical landing process of STOVL UAVs, the combined effects of deck motion, ship surface effect, and jet flow effect present significant challenges to the dynamic system. These factors not only independently introduce nonlinear disturbances but also interact with one another, amplifying system uncertainties.
The ship surface effect, caused by complex airflow interactions near the deck, leads to significant changes in lift and pitching moments. This effect becomes particularly pronounced during the final stages of landing at low altitudes, directly impacting the UAV’s longitudinal stability. Concurrently, the periodic heave, pitch, and roll of the deck dynamically alter the relative position and velocity between the UAV and the deck, complicating precise longitudinal trajectory tracking. Additionally, the jet flow effect, characterized by high-energy jet interactions with surrounding airflow, results in thrust and lift losses, further complicating thrust allocation and control.
The coupling between these effects exacerbates the nonlinear challenges. For example, deck heave motion dynamically modifies the characteristics of the ship surface effect, while variations in thrust due to jet flow influence the coupling between longitudinal attitude and trajectory control. Traditional control methods struggle to address these combined nonlinearities, often resulting in significant performance degradation.

3. Vertical Carrier Landing Control Design for STOVL UAV

In order to deal with the complex disturbance and dynamic characteristics of a STOVL UAV during vertical carrier landing, this section will focus on the state control of the UAV height, forward displacement, and pitch angle. In order to realize the precise control of the UAV during the landing process, the UAV dynamics and kinematics are decoupled and designed by PID and cascade Nonlinear Dynamic Inversion (NDI) methods, respectively, so as to obtain the control law command of the UAV. Aiming at the force and moment generated by the control law, the nonlinear optimization dynamic control distribution is comprehensively carried out to solve the throttle size and deflection angle of the tail nozzle and lift fan that meet the current command. The specific design is detailed in Figure 2.

3.1. Kinematics Control Design Based on PID Method

Kinematics focuses on the longitudinal trajectory motion of the UAV. Firstly, the altitude and forward velocity commands of the UAV are given externally, and then the forward resultant force command F x c N and vertical resultant force command F y c N of the kinematics can be obtained through the PID controller, as shown in the following formula:
F x c = K p 1 e h t + K i 1 e h t d t + K d 1 d e h t d t F y c = K p 2 e S ˙ g t + K i 2 e S ˙ g t d t + K d 2 d e S ˙ g t d t
where e h = h h c , h c is the height command. e S ˙ g = S ˙ g S ˙ g c , S ˙ g c is the forward velocity command. K p 1 K i 1 K d 1 and K p 2 K i 2 K d 2 are the PID controller parameters of forward velocity and altitude, respectively. The PID parameters are designed and optimized according to the method described in reference [30].
The forward resultant force command and the vertical resultant force command are used as the output of the forward velocity control and the height control, respectively, providing the target value for the next thrust and attitude distribution, so that the UAV can land according to the set height and forward velocity profile.

3.2. Dynamic Control Design Based on Cascaded NDI Method

The pitch attitude of the UAV directly affects the longitudinal stability and landing trajectory. NDI is a control approach rooted in the system’s inverse dynamic model. By linearizing the complex nonlinear system in real time, the precise control command of the pitch angular rate is generated. Compared to traditional control techniques, NDI demonstrates superior capability in handling nonlinear dynamics and external disturbances. The NDI method theory is used to complete the design of the attitude control law, and the equation of the pitch angular rate inner loop is given:
ω ˙ z = M z I zz
where M z = M z q + M z t + M GE . Therefore, according to the state space form and the theory of NDI, Equation (9) can be rewritten as
x ˙ 1 = ω ˙ z = f 1 x 1 + g 1 u 1 f 1 x 1 = 0 g 1 = 1 I zz u 1 = M z
When designing the inner loop control law, the left side of Equation (10) is the desired pitch angular velocity, and the angular velocity command is calculated by the slow loop, that is,
x ˙ 1 c = ω ˙ z c = K ω z ω z c ω z
where K ω z is the bandwidth of the pitch angular rate channel. ω z c is the command of pitch angular rate. According to the dynamic inversion method, in order to obtain the expected form of Equation (11), the fast loop dynamic inversion control law is expressed as follows:
u 1 = M z = g 1 1 ω ˙ z c = I zz K ω z ω z c ω z
The slow loop is the attitude angle loop, which is the outer layer of the inner loop. Its input is the output of the outer instruction generator, and the output is the input signal of the inner loop controller. The following equation can obtain the equations of the slow loop:
ϑ ˙ = ω z
The above equation can also be rewritten as
x ˙ 2 = ϑ ˙ = f 2 x 2 + g 2 u 2 f 2 x 2 = 0 g 2 = 1 u 2 = ω z c
When designing the outer loop control law, the expected value on the left side of the equation is calculated by the external command ϑ c , and its expression is
x ˙ 2 c = ϑ ˙ c = K ϑ ϑ c ϑ
where K ϑ is the bandwidth of the pitch angular channel. In order to obtain the desired form of Equation (15), the fast loop dynamic inverse control law is expressed as
u 2 = g 2 1 ϑ ˙ c = K ϑ ϑ c ϑ
In summary, the control of the pitch angle channel is separated by time scales, and the inner and outer loop NDI control laws are designed and cascaded to obtain the expressions of the control laws at all levels.

3.3. Dynamic Control Allocation Design Based on Nonlinear Optimization

The traditional control allocation method usually focuses on the distribution of the moment level, that is, the moment generated by different actuators is adjusted according to the attitude control requirements to achieve stable attitude adjustment. However, this method ignores the precise distribution of the force level, especially in the complex dynamic environment of carrier landing, which may lead to a significant decrease in the control effect. In the vertical carrier landing stage, the STOVL UAV needs to accurately control the position and attitude at the same time. Due to the special configuration of the power system, the longitudinal attitude and trajectory coupling caused by the thrust of the STOVL UAV is serious. This means that it is not only necessary to meet the moment balance to maintain a stable attitude, but also to achieve accurate position adjustment through reasonable distribution of force to meet the precise requirements of deck landing.
Incorporating force and moment into the control allocation framework simultaneously poses a significant challenge, because it requires the simultaneous solution of the linear force component related to position control and the rotational moment component related to attitude control. This comprehensive allocation problem entails the coupled calculation of multiple variables, often represented as a nonlinear multivariate equation system, and contains a large number of trigonometric functions, such as a direction cosine matrix, thrust direction adjustment, and so on. These characteristics further aggravate the difficulty of solving. It is necessary not only to ensure that the solution results meet the physical constraints of force and moment, but also to ensure that the calculation process can be completed efficiently under real-time requirements. The traditional method shows obvious shortcomings in this two-layer allocation problem. The single-layer control model relying only on moment distribution has difficulty meeting the requirements of position and attitude control at the same time. If we try to add force distribution on this basis, we usually face the problems of decoupling difficulty, instability of multiple solutions, and low solution efficiency. For example, although the Newton iteration method can theoretically solve nonlinear equations, it has difficulty meeting the fast and accurate solution requirements in real-time applications due to its high dependence on initial values and limitations of convergence performance.
Therefore, a nonlinear optimization method [31] is proposed to model the force and moment distribution problem as a constrained optimization problem. By constructing the objective function reasonably, the optimal criterion of force and moment distribution is defined, and physical constraints are introduced to ensure the feasibility and physical consistency of the solution. This method can effectively deal with the coupling problem in the two-layer control allocation, provide the global optimal solution while achieving fast convergence, and meet the needs of airborne real-time computing.
In the landing process of a STOVL UAV, the optimization problem needs to be constructed according to the physical background. The input of the control allocation is the output of the UAV control law, that is, the longitudinal resultant force, the vertical resultant force, and the pitch moment command. The output of the control allocation is the throttle size of the nozzle and the lift fan and the deflection angle of the tail nozzle and the lift fan.
The optimization goal is to make the error between the actual force and moment and their commands as small as possible by control allocation. When the objective function satisfies the convergence condition, the longitudinal attitude and trajectory control of the STOVL UAV can be satisfied at the same time; that is, the objective function is set as follows:
f x = F x x F x c 2 + F y x F y c 2 + M z x M z c 2
where F x x F y x M z x is the actual force and moment generated by the UAV, and its mathematical expression is formulated as follows:
F x x = T n cos δ n 1 T l f sin δ l f + F x q cos ϑ T n sin δ n 1 + T l f cos δ l f + F y q sin ϑ F y x = T n cos δ n 1 T l f sin δ l f + F x q sin ϑ T n sin δ n 1 + T l f cos δ l f + F y q cos ϑ m g M z x = T l f x l f cos δ l f T n x n sin δ n 1
Considering that the throttle and actuator deflection angles of the actual STOVL UAV have upper and lower limits, the constraints on the optimization variables are as follows:
δ n 1 _ min δ n 1 δ n 1 _ max δ l f _ min δ l f δ l f _ max δ T n _ min δ T n δ T n _ max δ T l f _ min δ T l f δ T l f _ max
In summary, the nonlinear optimization problem of integrated control allocation of STOVL UAV force and moment is established. According to the written objective function and constraint conditions, the optimization solution is carried out to quickly obtain the throttle and deflection angle of the tail nozzle and lift fan that meet the current command.

4. Disturbance Observer Compensation Design Based on RBFNN

In the actual flight environment, a STOVL UAV is susceptible to external interference and model uncertainty, which will lead to attitude instability and cause the safety risk of landing. Therefore, it is necessary to observe and compensate for external interference and model uncertainty. RBF neural networks exhibit considerable advantages in online disturbance observation and compensation, particularly in terms of rapid training and robust nonlinear approximation capabilities in the airborne environment. The training process is divided into determining the hidden layer parameters and solving the output weight linearly, which avoids the iterative optimization of gradient descent, so as to achieve fast convergence and meet the real-time requirements. At the same time, the RBF network adopts a local approximation strategy, which can accurately capture the local characteristics of complex disturbances such as ship surface effect, deck motion, and jet effect, and achieve efficient compensation.
In order to solve the influence of environmental interference on the attitude control accuracy of a STOVL UAV during landing, an attitude control compensation method based on online neural network learning is proposed on the basis of the control design strategy. Considering the external disturbance of the STOVL UAV during landing, the RBF neural network is used to estimate the disturbance term and compensate for the moment command, so as to improve the robustness of STOVL UAV vertical landing attitude control.
Figure 3 illustrates the structure of the RBF neural network, comprising three levels: input layer, hidden layer, and output layer. The input layer receives the input feature vector and sends it to the hidden layer. The hidden layer processes the input through a radial basis function defined by a specific center and variance and generates the output of the hidden layer. In each neuron of the hidden layer, the radial basis function calculates the distance between the input data and the center of the neuron and takes the distance as the output of the neuron. The output layer linearly combines the output of the hidden layer and processes it through the activation function to obtain the final output.
The Gaussian basis function is applied in the hidden layer node, and the center is selected as the flight state point. When the deviation between the input data and the reference value is small, the output value of the hidden layer node is large, which means that the unit is activated. On the contrary, when the deviation between the input data and the reference value is large, the hidden layer node outputs a smaller value. Each hidden layer node includes a center vector c with the same dimension as the input parameter vector x , and the Euclidean distance between the two is defined as | | x ( t ) c j ( t ) | | . The output of the hidden layer consists of the following activation functions:
σ j = exp ( ( x c j ) T ( x c j ) 2 d 2 ) , ( j = 1 , 2 , , h )
where x = ( x 1 , x 2 , , x j ) T is the input data of the RBF neural network. σ j represents the output of the first hidden layer node, and σ j [ 0 , 1 ] . c j is the center value of the Gaussian basis function. It needs to be able to accommodate input data and have reasonable spacing. h is the number of nodes in the hidden layer RBF, and d is the width of the Gaussian basis function, also known as spread breadth. The spread breadth reflects the degree of coincidence of the radial basis centers and is closely related to the fitting smoothing effect. The selection and tuning of neural network parameters can refer to experimental experience and reference [32].
The output of the network y is represented by the following weighting functions:
y = j = 1 h w i j σ j + ε i = W i T σ , ( i = 1 , 2 , , m )
where ε i represents the error term. w i j represents the weight of the output layer. W i represents the weight matrix of the radial basis neural network. σ represents the state matrix of the hidden layer of the network.
In this paper, the RBF neural network is combined with the parameter adaptive law. Through the Lyapunov stability criterion, the adaptive control law of RBF neural network weight updating is designed, so that the RBF neural network can fit any unknown disturbance online and ensure the asymptotic stability of the control system when the STOVL UAV lands on the carrier.
The algorithm for using the RBF neural network to approximate any function is as follows:
σ j ( x ) = exp x c j 2 2 d 2 y = W * σ ( x ) + ε 0
where W is the expected weight matrix of radial basis neural network convergence, and ε 0 is the error of network approximation.
Because the traditional error backpropagation gradient descent method does not have the ability of online real-time observation, this paper updates the neural network weights in real time by the optimization method based on Lyapunov stability theory, so that the RBF neural network can fit the random interference in the vertical carrier landing process. The state variable is selected as x = x 1 x 2 T = ϑ ω z T , and the RBF neural network is introduced into the system. The system state space equation can be written as
x ˙ 1 = x 2 x ˙ 2 = 1 I zz M z + f un
where f un is the interference term of the pitch angular rate of the inner ring, which indicates the interference part that affects the pitch angular rate, including the external ship surface effect, deck motion, jet effect interference, and system modeling error.
The Lyapunov function is defined as
V = 1 2 e T P e + 1 2 λ W ¯ T W ¯ , λ > 0
where λ is an adaptive learning rate parameter, and it is usually necessary to adjust the adaptive learning rate parameter for design to achieve accurate fitting of the pitch rate interference term f un . The error is defined as
e = ω z ω z c
Then, there is
e ˙ = ω ˙ z = M z / I zz + f un
The derivative of Equation (24) can be obtained as follows:
V ˙ = 1 2 e ˙ T P e + 1 2 e T P e ˙ + 1 λ W ¯ T W ˙ W ˙ = P ω z ω z c 1 I zz M z + f un + 1 λ W ¯ T W ˙ = P ω z ω z c 1 I zz M z + W ¯ σ x + ε 0 + 1 λ W ¯ T W ˙ = P ω z ω z c 1 I zz I zz K ω z ω z c ω z + W ¯ σ x + ε 0 + 1 λ W ¯ T W ˙ = P K ω z ω z ω z c 2 + P ω z ω z c W ¯ σ x + ε 0 + 1 λ W ¯ T W ˙
where K ω z > 0 and P is a positive definite matrix. The weight parameter update law of the RBF network is designed as follows:
W ˙ = λ P ω z ω z c σ x
Substituting Equation (28) into Equation (27) yields
V ˙ = P K ω z ω z ω z c 2 + P ω z ω z c ε 0 = P ω z ω z c K ω z ω z ω z c + ε 0
where K ω z ω z ω z c is the control quantity. And the compensation error amount ε 0 is much smaller than the control quantity, so ε 0 can be ignored. Therefore, Equation (29) can be further written as:
V ˙ = P K ω z ω z ω z c 2
where P > 0 , K ω z > 0 . Therefore, it can be proven that the Lyapunov function V ˙ < 0 , satisfying Lyapunov stability.
Furthermore, the inner-loop moment disturbance term f ^ u n of attitude control is estimated online as follows:
f ^ un = W σ ( x )
As shown in the Figure 4, the RBFNN is introduced on the basis of the previous control law design for disturbance observation compensation:
Based on the above control block diagram, the pseudocode shown in the Algorithm 1 below has been designed for ease of understanding.
Algorithm 1: Integrated Control Law Algorithm Based on Nonlinear Optimization Method and RBFNN
1:Input: Pitch angle command ϑ c , forward flight speed command S ˙ g c , and altitude command H c
2:Initialization: Time, step, aircraft status S such as altitude, speed, attitude, and so on
3:for Time = 0, 1, …, do
4:  Calculate F x c and F y c according to Equation (8)
5:  Calculate M z c according to Equations (12) and (16)
6:  Calculate M ^ z c by inputting pitch rate and command error into RBFNN
7:  Calculate δ n 1 , δ l f , δ T n , and δ T l f through nonlinear dynamic control allocation
  Calculate differential quantity of aircraft status S according to Equation (2)
8:  Update aircraft status S S
9:  Update network parameters W
10:end for

5. Simulation Verification

In order to verify the rationality and robustness of the designed controller, the initial flight state point is designed as the starting point of the vertical landing segment of the STOVL UAV, as presented in Table 1.
The flight mission is set as follows: In the first 20 s, the UAV height is maintained at 50 m, the forward velocity is maintained at the same speed as the aircraft carrier (5 m/s), and the pitch angle is 0 rad. After 20 s, the height decreases at a linear speed of 1 m/s, the forward velocity remains unchanged, and the pitch angle is 0.0175 rad. After the height is reduced to 5 m, the relative aircraft carrier hovers; that is, the height is maintained at 5 m, the forward velocity remains unchanged, and the pitch angle is 0.0175 rad.

5.1. Control Design Comparison Simulation Verification

The aforementioned flight tasks are simulated under conditions devoid of external interference. Under the same task setting, the improved decoupling control design designed in this paper is compared with the results of existing control logic based on PID in References [17,18] which are nesting and coupling pitch angle and forward flight velocity with inner and outer loops as follows:
From the height comparison results in Figure 5, it can be seen that under the improved decoupling control design, the overall effect of height control is obviously better than the traditional control design. The comparison of height control effects during the transition from level flight to glide phase and from glide phase to hover phase is shown in the following Table 2.
In the 20 s height control task switching to linear decline, the overshoot of the STOVL UAV height control is reduced by 26%, the adjustment time is shortened by 16%, and the response speed is faster. After the 65 s altitude control task is switched to hover flight, the overshoot of the STOVL UAV altitude control is reduced by 92%. Under the requirements of the vertical landing mission, the improved decoupling control design can control the height more accurately and quickly, so as to ensure the stability of the landing.
From the comparison results of forward velocity in Figure 6a, it can be seen that under the improved decoupling control design, the control effect of forward velocity has been greatly improved, and the adjustment time has been shortened by 23%. At the same time, when it is close to the steady state, the improved decoupling control design has better convergence and no jitter oscillation. From the vertical velocity comparison in Figure 6b, the improved decoupling control design has a faster adjustment time. Because the traditional control design only controls the allocation of attitude commands, the calculated jet deflection angle is obviously coupled with the UAV longitudinal trajectory. As shown in Figure 6b, this coupling is manifested as continuous oscillation in a small range of states, resulting in unstable flight effects. This coupled oscillation is also reflected in the angle of attack and pitch angle curves, as follows:
Figure 7 illustrates that the angle of attack and pitch angle under the improved decoupling control design can converge to the steady state quickly, but the traditional control design will oscillate near the steady state. At the same time, because the traditional control design takes the pitch angle as the control inner loop of the forward velocity, the pitch angle cannot be decoupled and controlled separately, so the external control command cannot be given for the pitch angle in this case. In the landing environment, this control design is very unfavorable for the control of the attitude of the ship, causing serious landing safety risks.

5.2. Interference Comparison Simulation Verification

In order to further improve the robustness of attitude control during landing, a control law based on RBFNN disturbance observer compensation is designed in this paper. In the landing environment, the interference of ship surface effect, deck motion, and jet flow effect are introduced to better fit the actual landing scenario. The control effects before and after the introduction of the RBFNN are compared. The following Table 3 is the introduced interference effect parameters:
After the above interference is introduced, the RBFNN to be trained is set, and the RBFNN parameters are in Table 4 as follows:
The simulation results of the improved decoupling control design before and after the introduction of RBFNN landing are as follows:
It can be seen from Figure 8 that before the introduction of the RBFNN, as the height decreases, the ship surface effect increases. At the same time, the deck motion causes the relative distance between the deck and the UAV to change, and the ship surface effect is further affected by nonlinearity. The control performance of the pitch angle obviously deteriorates and finally tends to diverge. After the introduction of the RBFNN, the external interference caused by the above effect is quickly and effectively fitted and compensated to the moment command, so that the UAV pitch angle control is obviously converged. In order to further compare the control effect, the integral of absolute error (IAE) commonly used in landing control is used for comparison. The formula is as follows.
J I A E = 0 | e ( t ) | d t e ( t ) = ϑ c ( t ) ϑ ( t )
The IAE index is calculated. Before and after the introduction of RBFNN, the IAE index of pitch angle decreases from 6.8881 to 0.4447, which is reduced by 93.5%. It shows that the introduction of RBFNN can effectively fit the external interference quickly and improve the robustness of the control system and the safety of landing.

5.3. Simulation Verification of Pulling Deviation

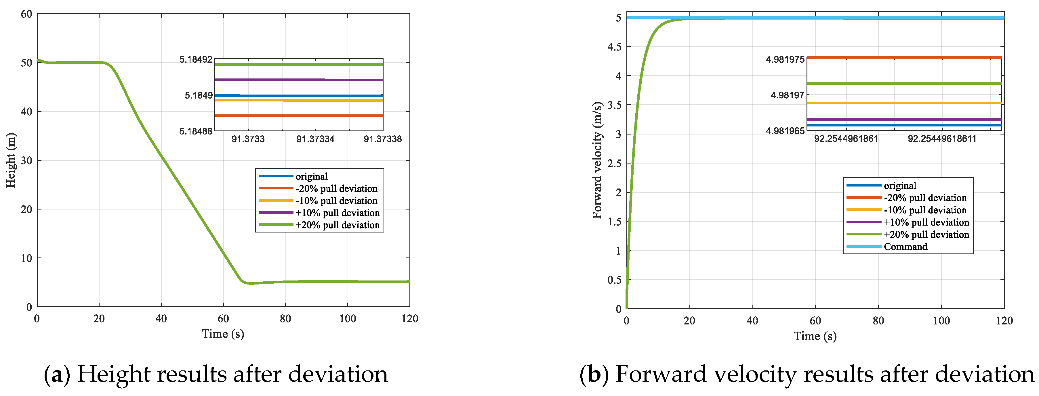
To verify the robustness of the controller in Section 5.2, the pitch moment of inertia of the UAV is pulled by ±20% and ±10%, and the simulation results are as follows:
In Figure 9, it is evident that the improved decoupling control design based on the RBFNN proposed in this paper has strong robustness after the introduction of pitch moment of inertia deviation simulation in the case of interference. Whether it is external interference or internal model parameter perturbation of the UAV, the flight state of the UAV can be well converged and controlled according to the instructions.

6. Conclusions

In this paper, a comprehensive control method based on an RBFNN and nonlinear dynamic allocation is applied for the first time to solve the complex dynamic characteristics of a STOVL UAV in the process of carrier-based vertical landing, so as to solve the engineering problems caused by external disturbance and longitudinal attitude–trajectory coupling.
Firstly, the dynamic modeling of the STOVL UAV is established, covering the key factors such as power system, ship surface effect, and deck motion. In the design of the control law, the RBFNN effectively compensates the disturbance caused by ship surface effect, deck motion, and jet effect through real-time learning and online compensation ability and improves the robustness and accuracy of UAV attitude control. At the same time, the nonlinear optimization method realizes the decoupling and efficient allocation of longitudinal attitude and trajectory by modeling the control problem of force and moment as a constrained optimization problem, which significantly improves the response speed and control accuracy of the system. The simulation results show that compared with the traditional control method, the improved decoupling control design in this paper shows obvious advantages in key indices such as height, forward velocity, and attitude. Especially under the condition of external disturbance, the absolute deviation integral index of attitude control is significantly reduced, which verifies the robustness and practicability of the control method.
While the results are promising, the proposed method has certain limitations. The real-time application of the nonlinear optimization algorithm imposes high computational demands, potentially limiting its implementation on UAVs with restricted processing capabilities. Additionally, the effectiveness of the method is contingent on the accuracy of dynamic models, such as ship surface effect and deck motion, which may introduce uncertainties in highly variable environments. Moreover, the simulations conducted focused on moderate operating conditions, and the performance under extreme sea states or unexpected disturbances remains to be further validated.
Future work will address these limitations by exploring advanced optimization techniques, such as model predictive control or parallel computing, to enhance computational efficiency. Adaptive and data-driven modeling approaches will also be considered to improve the representation of environmental disturbances. Furthermore, experimental validations under diverse environmental conditions will be conducted to assess the practical feasibility of the proposed control method. Extensions to include coupled control of altitude and position subsystems and the incorporation of fault-tolerant mechanisms will also be investigated to enhance system reliability and robustness in real-world applications.
In summary, this research provides a robust foundation for advancing vertical carrier landing technologies for STOVL UAVs, offering practical solutions to the challenges posed by nonlinear disturbances and dynamic coupling effects.

Author Contributions

Conceptualization, S.R. and S.A.; methodology, S.R.; software, S.R. and Z.J.; validation, S.R., S.A. and Z.D.; formal analysis, S.R.; investigation, S.R.; resources, S.R.; data curation, S.R.; writing—original draft preparation, S.R.; writing—review and editing, K.L.; visualization, S.R.; supervision, K.L.; project administration, K.L. All authors have read and agreed to the published version of the manuscript.

Funding

This work is supported by Defense Industrial Technology Development Program under JCKY2022110C019.

Data Availability Statement

Data are contained within the article.

Conflicts of Interest

The authors declare no conflicts of interest.

References

  1. Autelitano, F.; Iacci, C.; Giuliani, F. Thermomechanical behaviour of airfield concrete pads supporting joint strike fighter F-35B. Road Mater. Pavement Des. 2017, 18, 1027–1048. [Google Scholar] [CrossRef]
  2. McGuirk, J.J. Propulsive jet aerodynamics and aeroacoustics. Aeronaut. J. 2022, 126, 2–58. [Google Scholar] [CrossRef]
  3. Zou, L.Y. Research on Tracking Control of Fixed-Wing Vertical Take-Off and Landing Aircraft. Ph.D. Thesis, Yanshan University, Yanshan, China, 2019. [Google Scholar]
  4. Yang, X.L.; Fan, Y.; Zhu, J.H. Transition Flight Control of Two Vertical/Short Takeoff and Landing Aircraft. J. Guid. Control. Dyn. 2008, 31, 371–385. [Google Scholar]
  5. Sadeghi, M.; Abbasimoshaei, A.; Kitajima Borges, J.; Kern, T.A. Numerical and Experimental Study of a Wearable Exo-Glove for Telerehabilitation Application Using Shape Memory Alloy Actuators. Actuators 2024, 13, 409. [Google Scholar] [CrossRef]
  6. Abbasimoshaei, A.; Stein, T.; Rothe, T. Design and impedance control of a hydraulic robot for paralyzed people. In Proceedings of the 8th RSI International Conference on Robotics and Mechatronics, Virtual Online, 19 November 2020; ICRoM: Tehran, lran, 2020. [Google Scholar]
  7. Liu, L.; Tang, Y.; Tao, C.G.; Zhen, Z.Y.; Liu, J.C. Thrust vector short takeoff vertical landing aircraft deceleration transition control based on control allocation. J. Harbin Eng. Univ. 2022, 43, 832–841. [Google Scholar]
  8. Canin, D. F-35 high angle of attack flight control development and flight test results. In Proceedings of the AIAA Aviation 2019 Forum, Dallas, TX, USA, 17–21 June 2019; p. 3227. [Google Scholar]
  9. Chen, K. Flight Dynamics Analysis, Control Law Design and Verification of STOVL Unmanned Aerial Vehicle. Ph.D. Thesis, Nanjing University of Aeronautics and Astronautics, Nanjing, China, 2016. [Google Scholar]
  10. Ye, Z.; Chen, Y.; Cai, P.; Lyu, H.; Gong, Z.; Wu, J. Control Design for Soft Transition for Landing Preparation of Light Compound-Wing Unmanned Aerial Vehicles Based on Incremental Nonlinear Dynamic Inversion. Appl. Sci. 2023, 13, 12225. [Google Scholar] [CrossRef]
  11. Wei, D.X. Research on Modeling and Control Method of Short Takeoff/Vertical Landing Engine. Master’s Thesis, Nanjing University of Aeronautics and Astronautics, Nanjing, China, 2019. [Google Scholar]
  12. Gong, Z.; Li, J.; Wang, Z.A. Design of Short Distance Landing Control Strategy for Thrust Vector V/STOL Aircraft. J. Aeronaut. Dyn. 2023, 38, 1875–1888. [Google Scholar]
  13. Dong, Z.; Ren, Y.; Chen, K.; Chen, Y. Research on guidance and control law design of decelerating transition and vertical landing for a STOVL UAV. J. Phys. Conf. Ser. 2021, 1875, 012008. [Google Scholar] [CrossRef]
  14. Jiang, T.M.; Zhang, X.B.; Wang, Z.X. Modeling and analysis of mode transition process of STOVL propulsion system. J. Aeronaut. Dyn. 2023, 38, 1403–1413. [Google Scholar]
  15. Chen, K.; Shi, Z.W.; Gong, Z. Design of deceleration transition control law for short takeoff vertical landing thrust vector unmanned aerial vehicle. Aerodynamics 2015, 30, 3002–3009. [Google Scholar]
  16. Li, Y.; Zou, Y.; Ding, J.; Liu, S.; Zhen, Z. Short Takeoff and Vertical Landing Aircraft Deceleration Transition Control Based on L1 Adaptive Control. Guid. Navig. Control. 2024, 4, 2450019. [Google Scholar] [CrossRef]
  17. Liu, C.; Chu, D.C.; Zhang, W.X.; Liu, Z.H. Control simulation technology of vertical/short take-off and landing aircraft. Flight Mech. 2017, 35, 40–43. [Google Scholar]
  18. Chu, D.C.; Liu, C.; Liu, Z.H.; Fang, S.Y. Control law design of transition section for vertical/short take-off and landing aircraft. Comput. Simul. 2019, 36, 47–50. [Google Scholar]
  19. Yu, B.Y.; Gao, J.H.; Wang, H.; Fan, X.L.; Li, X. Research on RBF neural network attitude control of four-rotor UAV. Mech. Sci. Technol. 2024, 1–8. [Google Scholar] [CrossRef]
  20. Lei, X.; Lu, P. The adaptive radial basis function neural network for small rotary-wing unmanned aircraft. IEEE Trans. Ind. Electron. 2013, 61, 4808–4815. [Google Scholar] [CrossRef]
  21. Yi, J.; Chen, Y.; Dong, X.M.; Zhi, J.H.; Cheng, J.F. SQP Control Allocation Strategy with Cross-Coupling of Multiple Control Surfaces. Syst. Eng. Electron. 2016, 38, 2617–2623. [Google Scholar]
  22. Oppenheimer, M.; Doman, D. A method for including control effector interactions in the control allocation problem. In AIAA Guidance, Navigation and Control Conference and Exhibit; AIAA: Las Vegas, NV, USA, 2007; p. 6418. [Google Scholar]
  23. Hu, R.C.; Wang, Z.A.; Chen, Y.L.; Zhou, D.; Yang, D.; Gong, Z. Stabilization control of L1 adaptive thrust vector V/STOL aircraft. J. Aeronaut. 2023, 44 (Suppl. S1), 122–139. [Google Scholar]
  24. Gao, Y.; Wu, W.H.; Zhou, S.Y. Nonlinear dynamic modeling and simulation of vertical/short take-off and landing aircraft. J. Harbin Inst. Technol. 2019, 51, 115–122. [Google Scholar]
  25. Birckelbaw, L.G.; Mcneil, W.E.; Wardwell, D.A. Aerodynamics Model for a Generic ASTOVL Lift-Fan Aircraft; No. NASA-TM-110347; NASA: Washington, DC, USA, 1995. [Google Scholar]
  26. Jiang, J.; Wang, X.H.; Zhen, Z.Y.; Yang, Y.D.; Yuan, S.Z.; Zhou, X. Guidance and Control of Carrier-Based Aircraft Take-Off and Landing; Science Press: Beijing, China, 2020; p. 96. [Google Scholar]
  27. Saddington, A.J.; Knowles, K. A review of out-of-ground-effect propulsion-induced interference on STOVL aircraft. Prog. Aerosp. Sci. 2005, 41, 175–191. [Google Scholar] [CrossRef]
  28. Curtis, P.; Kuhn, R.E.; Margason, R.J. Jet Induced Effects: The Aerodynamics of Jet and Fan Powered V/STOL Aircraft in Hover and Transition; American Institute of Aeronautics and Astronautics: Las Vegas, NV, USA, 2007. [Google Scholar]
  29. Zhou, T.; Wang, Z.A.; Gong, Z.; Yu, C.M.; Zhao, T.; Zhang, T.R. Control strategy optimization for dynamic transition process of thrust vector V/STOL aircraft. Aerodynamics 2023, 38, 408–419. [Google Scholar]
  30. Gao, Y. PID Parameter Tuning Method Based on Sequential Decision-Making and Its Application in Decoupling Control Loops. Master’s Thesis, Beijing University of Chemical Technology, Beijing, China, 2018. [Google Scholar]
  31. Su, Z.K.; Chen, J.; Li, X.B.; Li, C.T. Coordinated control of transition flight attitude of four-tilt-rotor UAV. J. Beijing Univ. Aeronaut. Astronaut. 2024, 1–20. [Google Scholar] [CrossRef]
  32. Qiao, J.F.; An, R.; Han, H.G. Design of self-organizing RBF neural network based on relative contribution index. J. Intell. Syst. 2018, 13, 159–167. [Google Scholar]
Figure 1. Structure of STOVL UAV power system.
Figure 1. Structure of STOVL UAV power system.
Drones 09 00167 g001
Figure 2. Design block diagram of vertical landing control for STOVL UAV.
Figure 2. Design block diagram of vertical landing control for STOVL UAV.
Drones 09 00167 g002
Figure 3. RBF neural network structure diagram.
Figure 3. RBF neural network structure diagram.
Drones 09 00167 g003
Figure 4. Design block diagram of RBFNN compensation control law.
Figure 4. Design block diagram of RBFNN compensation control law.
Drones 09 00167 g004
Figure 5. Comparison of height simulation results.
Figure 5. Comparison of height simulation results.
Drones 09 00167 g005
Figure 6. Simulation comparison of motion velocity in the ground coordinate system.
Figure 6. Simulation comparison of motion velocity in the ground coordinate system.
Drones 09 00167 g006
Figure 7. Simulation comparison results of angle of attack and pitch angle.
Figure 7. Simulation comparison results of angle of attack and pitch angle.
Drones 09 00167 g007
Figure 8. Simulation comparison results of pitch angle and moment compensation after interference is introduced.
Figure 8. Simulation comparison results of pitch angle and moment compensation after interference is introduced.
Drones 09 00167 g008
Figure 9. Simulation results of UAV state after moment of inertia deviation.
Figure 9. Simulation results of UAV state after moment of inertia deviation.
Drones 09 00167 g009aDrones 09 00167 g009b
Table 1. Initial settings for simulation inputs.
Table 1. Initial settings for simulation inputs.
Simulation InputsValue
Angle of attack (rad)0
Height (m)50.5
Velocity (m/s)0.3089
Pitch Angle (rad)0
Angle of tail nozzle (rad)1.6581
Angle of lift fan (rad)0.0873
Deflection range of tail nozzle (rad)[1.3090, 1.8326]
Deflection range of lift fan (rad)[−0.2618, 0.2618]
Throttle range of tail nozzle and lift fan[0, 1]
Table 2. Visualization and comparison of performance indicators.
Table 2. Visualization and comparison of performance indicators.
StageControl IndicatorsTraditional Control DesignImproved Decoupling Control DesignImprovement
From level flight to glide phase (20–65 s)overshoot1.371.0126%
adjustment time(s)14.2511.9516%
From glide phase to hover phase (after 65 s)overshoot1.360.1192%
Table 3. Interference parameter setting.
Table 3. Interference parameter setting.
Interference-Related ParametersValue
Wing reference area (m2)42.7
Aircraft carrier speed (m/s)5
Outlet area of tail nozzle (m2)1
Outlet area of lift fan (m2)0.5
Tail nozzle outlet pressure ratio (/)1.83
Lift fan outlet pressure ratio (/)2.47
Table 4. RBFNN parameter setting.
Table 4. RBFNN parameter setting.
RBFNN ParameterValue
Number of the hidden layer nodes81
Radial basis center point−40:1:40
Spread breadth1
Initial weight0.001
Learning rate0.5
Disclaimer/Publisher’s Note: The statements, opinions and data contained in all publications are solely those of the individual author(s) and contributor(s) and not of MDPI and/or the editor(s). MDPI and/or the editor(s) disclaim responsibility for any injury to people or property resulting from any ideas, methods, instructions or products referred to in the content.

Share and Cite

MDPI and ACS Style

Ruan, S.; An, S.; Dong, Z.; Jin, Z.; Liu, K. Integrated Control Method for STOVL UAV Based on RBF Neural Network and Nonlinear Dynamic Allocation. Drones 2025, 9, 167. https://doi.org/10.3390/drones9030167

AMA Style

Ruan S, An S, Dong Z, Jin Z, Liu K. Integrated Control Method for STOVL UAV Based on RBF Neural Network and Nonlinear Dynamic Allocation. Drones. 2025; 9(3):167. https://doi.org/10.3390/drones9030167

Chicago/Turabian Style

Ruan, Shilong, Shuaibin An, Zhe Dong, Zeyu Jin, and Kai Liu. 2025. "Integrated Control Method for STOVL UAV Based on RBF Neural Network and Nonlinear Dynamic Allocation" Drones 9, no. 3: 167. https://doi.org/10.3390/drones9030167

APA Style

Ruan, S., An, S., Dong, Z., Jin, Z., & Liu, K. (2025). Integrated Control Method for STOVL UAV Based on RBF Neural Network and Nonlinear Dynamic Allocation. Drones, 9(3), 167. https://doi.org/10.3390/drones9030167

Article Metrics

Back to TopTop