Next Article in Journal
A Gaussian Process-Based Funnel MPC for Docking Control of Unmanned Underwater Vehicles by Learning Residual Dynamics
Previous Article in Journal
A Learning-Based Measurement Validation Approach for Cooperative Multi-UAV Navigation Using Kalman Filtering
 
 
Font Type:
Arial Georgia Verdana
Font Size:
Aa Aa Aa
Line Spacing:
Column Width:
Background:
Article

Flight Loads Evaluation and Airworthiness Compliance for the V-Tail of a Medium-Altitude Long-Endurance Unmanned Platform

by
Pierluigi Della Vecchia
*,
Vincenzo Cusati
and
Claudio Mirabella
Industrial Engineering Department, University of Naples Federico II, 80125 Naples, Italy
*
Author to whom correspondence should be addressed.
Drones 2025, 9(12), 835; https://doi.org/10.3390/drones9120835
Submission received: 2 October 2025 / Revised: 11 November 2025 / Accepted: 29 November 2025 / Published: 2 December 2025
(This article belongs to the Section Drone Design and Development)

Abstract

This work addresses the critical need for documentation and validation of structural flight loads for Medium-Altitude Long-Endurance (MALE) Unmanned Aerial Systems (UAS). Despite the increasing prevalence of these aircraft, the industrial and research landscape still exhibits a significant data gap regarding loads under extreme operating conditions, particularly for unconventional geometric configurations. This study presents a rigorous and comprehensive load analysis for the certification of a fixed-wing MALE UAS, which is distinguished by its unique V-Tail configuration, characteristic of platforms such as the Elbit Hermes series. The entire investigation was conducted in strict adherence to the requirements of the NATO airworthiness standard STANAG 4671, aiming to precisely define the aerodynamic behavior and structural integrity of the airframe under an exhaustive set of critical flight conditions. The implemented methodology relies on the use of high-fidelity Computational Fluid Dynamics (CFD) data, derived from RANS simulations to create a complete aerodynamic database. This advanced approach is crucial for the accurate modeling of forces and moments, especially those generated by the coupled control surfaces, known as the ruddervators of the V-Tail. The results obtained include the precise derivation of the operational envelope, which defines the maximum load factors for both maneuver and atmospheric gust conditions. A detailed analysis of balancing and specific loads on the control surfaces was performed, leading to the definition of structural load distributions essential for subsequent stress analysis. Notably, the analysis identified the Unchecked Pitch-Up maneuver performed at the maximum load factor as the dimensioning design condition, particularly for the empennage structure. This work not only provides fundamental data for demonstrating compliance with applicable airworthiness criteria but also establishes a robust and repeatable methodology for the evaluation of flight loads in structurally complex UAS configurations.

1. Introduction

The aerospace landscape is undergoing a profound transformation driven by the proliferation of Unmanned Aerial Vehicles (UAVs), particularly the Medium-Altitude Long-Endurance (MALE) class. These platforms are becoming indispensable assets for diverse civil and military applications, from environmental monitoring and maritime surveillance to critical communications relay, often operating autonomously or remotely for extended durations in complex airspaces [1]. This expanding role underscores the critical need for robust design and rigorous certification processes, with the assessment of structural flight loads standing as a paramount concern for ensuring safety, reliability, and airworthiness throughout the operational life of these sophisticated systems [2].
Flight loads, encompassing both aerodynamic forces induced by maneuvers and atmospheric gusts, along with inertial loads from operational events, dictate the structural integrity of the wing, fuselage, and empennage. Accurate prediction of these loads is fundamental for component sizing, fatigue prevention, and ultimately, for achieving airworthiness certification. For fixed-wing MALE UAVs, this assessment presents unique challenges due to their characteristic slender and flexible structures, widespread use of advanced—often unproven—composite materials, and the absence of an onboard pilot, which shifts the burden of safety assurance entirely onto comprehensive analysis and robust design methodologies [3].
Historically, the foundational methodologies for flight load calculation originated from manned aircraft design. Pioneering work by the U.S. National Advisory Committee for Aeronautics (NACA) in the 1950s, including Pratt’s revised gust load formula [4] and subsequent re-evaluations by Pratt and Walker [5], established critical frameworks for understanding aerodynamic loads. Concurrently, early studies on tail loads by Decker [6], Pearson et al. [7], and Gilruth [8] highlighted the significant and often complex forces acting on empennage structures during maneuvers, emphasizing their non-negligible impact on overall aircraft design.
In recent decades, the field has advanced significantly through empirical and numerical approaches. Modern empennage design benefits from sophisticated tools, such as MATLAB R2024b-based procedures for static stability sizing [9] and weight-optimization studies employing finite-element analysis for composite structures [10]. Multidisciplinary design optimization (MDO) frameworks further exemplify a holistic approach to tail design, integrating configuration, material selection, and structural analysis [11]. Furthermore, the advent of lightweight sensors and fiber-optic interrogators has enabled in-service flight load measurement for UAVs. Systems integrating Fiber Bragg Grating sensors allow for real-time strain and temperature monitoring, providing invaluable data for lifetime assessment, event detection (e.g., hard landings, gusts), and validation of load predictions [12,13]. Emerging methodologies, including the application of neural networks, are also demonstrating promising capabilities for predicting in-flight empennage loads with advanced computational efficiency [14].
Despite these advancements, a notable gap persists in the published literature regarding comprehensive flight load quantification for MALE UAVs across diverse maneuver and gust conditions. Much of the existing research remains focused on manned aircraft or smaller UAV categories. The unique combination of high aspect-ratio wings, lightweight composite structures, and demanding long-endurance mission profiles characteristic of MALE UAVs is often underrepresented. This scarcity of specific data is compounded by the evolving nature of certification standards for unmanned aircraft, which, while progressively tailored, still draw heavily from manned aviation regulations. Consequently, there is a pressing need to adapt and apply existing flight load methodologies to MALE UAVs, providing essential data and examples to support their design and certification.
This study directly addresses this critical gap by presenting a comprehensive flight loads assessment for a fixed-wing MALE UAV, designed to be representative of current medium-endurance platforms, such as the Elbit Hermes series [15,16]. The investigation rigorously applies the regulatory load cases defined by NATO’s STANAG 4671 [17], evaluating both maneuver and gust loads along the wing-span and on the empennage. A key distinguishing feature of the analyzed platform is its V-Tail empennage configuration. While offering advantages like reduced drag and radar cross-section, the V-Tail introduces unique aerodynamic and structural complexities, including coupled control authority and non-linear load distributions, that demand specialized analysis [18]. This study employs high-fidelity Computational Fluid Dynamics (CFD) to capture these intricate flow phenomena and provide precise load predictions, an approach increasingly vital for complex geometries and flight regimes [19,20]. Furthermore, the analysis considers the implications of long-endurance mission profiles on cumulative load effects and fatigue life, a crucial aspect for the operational longevity of MALE UAVs [21,22]. The CFD analysis provided an adequate starting point to evaluate the spanwise distribution of the aircraft and enabled the accurate predictions of the associated balancing loads.
The primary objectives of this paper are threefold: (i) to describe a consistent and robust methodology for deriving flight loads suitable for MALE UAV certification, with a particular focus on unconventional empennage configurations; (ii) to present the resulting detailed load envelopes for a representative UAV configuration, offering valuable data for future design; (iii) to discuss the implications of these loads for structural sizing and certification compliance. By comparing the derived UAV loads with classical manned-aircraft formulas and existing tail load studies, this work aims to highlight the specific aerodynamic and structural characteristics of MALE UAVs, such as the influence of high aspect ratios, low wing loading, and limited maneuver margins. Ultimately, the results presented herein are intended to serve as a valuable resource for aerospace designers and certification authorities in their pursuit of developing safe, efficient, and airworthy MALE UAVs.

2. Aircraft Description

The unmanned aerial vehicle analyzed in this study is a fixed-wing, medium-altitude long-endurance platform. The design features a conventional fuselage, a high-aspect ratio wing optimized for extended loitering capabilities, and a distinctive V-Tail empennage. This V-Tail configuration, chosen for its aerodynamic efficiency and potential benefits in terms of reduced radar cross-section, consists of two surfaces angled relative to the fuselage, performing the combined functions of a horizontal and vertical stabilizer. This design necessitates particular attention to the coupled aerodynamic and structural interactions inherent to such an unconventional empennage [18,23].
The aircraft’s control surfaces include ailerons on the main wing, and ruddervators on the V-Tail, as depicted in Figure 1. The V-Tail’s movable control surfaces—the ruddervators—are multifunctional and critical for pitch, yaw, and, to some extent, roll control, adding complexity to the control law design and associated load cases [24]. The airframe largely utilizes composite materials, which contribute to the lightweight nature necessary for long endurance but also introduce complexities in predicting structural response and fatigue life under varying flight loads [25]. The operational envelope is designed for altitudes up to medium altitudes and for missions spanning several hours, allowing for extensive coverage of target areas. The propulsion system consists of a single piston engine driving a propeller, mounted in the rear fuselage in a pusher configuration, ensuring an unobstructed flow over the wing. This detailed understanding of the vehicle’s geometry and operational characteristics forms the basis for the subsequent flight loads assessment.
Table 1 lists the key design parameters of this configuration. These values are indicative of typical medium-endurance UAVs and reflect the specific characteristics of the aircraft analyzed in this study.

2.1. Geometry, Weight, Inertia, and General Aerodynamic Data

Table 2 provides an overview of the V-Tail empennage geometrical parameters. The V-Tail consists of a fixed component, the stabilator, and a movable component, the ruddervator. The calculations presented in this study are based on the projection of this tail configuration onto the aircraft’s horizontal and vertical planes of symmetry. Figure 2 illustrates graphically this idea.
Table 3 lists general weight, inertia, and aerodynamic characteristics. These quantities represent the minimum data required to begin structural certification calculations and determine flight loads. In practice, accurately estimating some of these values—such as principal moments of inertia and detailed aerodynamic characteristics—is rarely feasible; therefore, semi-empirical methods based on previous statistical studies are typically used. All characteristics reported in this section follow this approach and are partly based on preexisting unmanned aerial vehicle architectures. For details on CFD solutions and aerodynamic data related to horizontal and vertical tailplane certification maneuvers, see Section 2.2.

2.2. Aerodynamics

This section provides a concise yet thorough explanation of the workflow followed by the authors to build the aerodynamic database required to initiate certification calculations for the V-Tail configuration.
Table 4 provides a summary of the numerical model set-up used to analyze the aircraft configuration. The software employed to generate the mesh and evaluate the test cases is entirely open-source. The analyses conducted follow standard methodologies and approaches and contributed to establishing the appropriate aerodynamic database, enabling all the certification-related calculations.
Table 5 compiles all aerodynamic data used for the horizontal and vertical tailplane unchecked maneuvers. Additional aerodynamic coefficients are included for completeness. For a detailed description of these maneuvers, see Section 4.1.1 and Section 4.2.1.

3. Methodology

This study adopts a comprehensive methodology to assess the aerodynamic and structural flight loads on a MALE UAV featuring an unconventional V-Tail empennage, crucial for its airworthiness certification.
From a regulatory standpoint, certifying an aircraft with a V-Tail empennage presents unique challenges, necessitating a robust and methodical sequence of operations to ensure compliance with airworthiness criteria. The typical list of operations to certify an airframe, and specifically a V-Tail empennage, is the following:
  • The first step is to establish a comprehensive aerodynamic database to support certification calculations. This database should include all aircraft configurations consistent with normal operations and account for the influence of aerodynamic surface deployment on aerodynamic coefficients. The approach followed for this work integrates established regulatory frameworks with high-fidelity computational analyses, culminating in the derivation of the aircraft’s operational envelope. The CFD analyses conducted for this study extend beyond the scope of the present work. These analyses facilitated the precise determination of the aerodynamic loads acting on the aircraft’s wings, empennages, and control surfaces under the specified flight condition. The aerodynamic data presented herein are provided solely for reference, serving to illustrate the robust foundation upon which the subsequent calculations are based. The foundation of the flight loads evaluation relies on a high-fidelity aerodynamic database generated through CFD simulations, specifically using Reynolds-Averaged Navier–Stokes (RANS) equations. This approach is critical for capturing the intricate flow phenomena around the aircraft, including viscous effects and complex aerodynamic interference between the wing, fuselage, and the V-Tail, which are often oversimplified in lower-fidelity analytical methods [19,20]. All simulations were conducted in the clean configuration (i.e., cruise setting) unless otherwise specified, providing fundamental performance curves for drag, lift, and pitching moment that are essential for defining the maneuvering and gust flight envelope. Figure 3 illustrates the drag polar of the wing-body configuration. The lift characteristics are presented in Figure 4, showing the lift coefficient C L as a function of the angle of attack, derived from the CFD-RANS data. In the linear region, the lift curve slope C L α was determined to be 0.1 deg−1, with a zero-lift lift coefficient C L 0 of 0.5205 . The estimated maximum lift coefficient in the clean configuration is C L max = 1.869 . Furthermore, the pitching moment coefficient C M , relative to the center of gravity located at 25% Mean Aerodynamic Chord (MAC), is depicted in Figure 5, also derived from the detailed CFD simulations.
  • The second step consists of establishing the most appropriate certification basis for the examined architecture and its intended operational use. To navigate these complexities, the methodology is grounded in a selection of key certification documents, including the NATO Standard AEP-4671 [17], which provides general airworthiness and structural requirements applicable to military drones, acknowledging their distinct operational purposes. Additionally, EASA CS-23—Certification Specification [26], particularly its Amendment 5, offers significant commonalities with FAA FAR 23 and incorporates documents like ASTM F3116/3116M, Standard Specification for Design Loads and Conditions, which are highly relevant for defining design loads. Furthermore, Advisory Circular AC-23-9 provides valuable, albeit non-mandatory, guidance for evaluating flight loads on atypical empennage configurations in general aviation, serving as a sound rationale for structural design load calculations for unconventional designs. Within this regulatory context, the V-Tail empennage requires a specialized analysis approach. It is conceptually resolved into its equivalent horizontal and vertical components, projected onto the aircraft’s body reference planes, to facilitate load distribution analysis. Particular attention is given to atypical flight loading conditions, especially those involving gust and maneuvering loads acting upon the V-Tail surfaces, even if such conditions are deemed unlikely during standard operational scenarios. The deflection of control surfaces, specifically the ruddervators, is also meticulously considered, with emphasis on the torsional loads transmitted to the fuselage structure due to their coupled pitch and yaw control functions. This structured approach aims to provide a reference for certification practices, applicable beyond the unmanned aircraft sector.
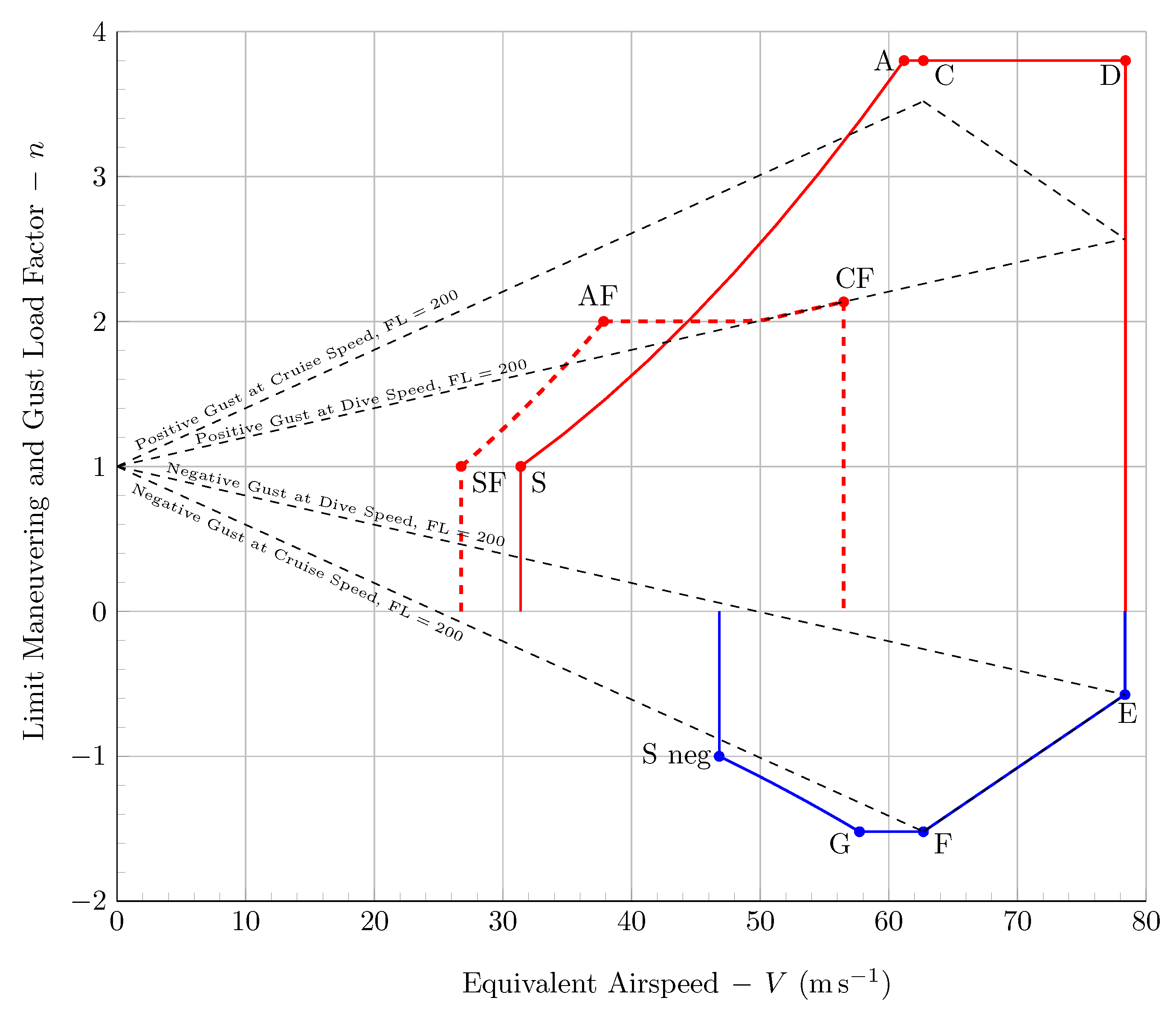
  • The culmination of the aerodynamic analysis and regulatory compliance considerations is the derivation of the aircraft’s operational envelope. Figure 6 presents the combined maneuver and gust envelope for the aircraft at its maximum takeoff weight (MTOW) and an altitude of 20,000 ft. This diagram is meticulously derived in compliance with USAR.333 and USAR.337, incorporating limit load factors up to n = 3.8 and the associated gust contributions based on defined gust velocities at various altitudes. This comprehensive envelope serves as a critical tool for validating the structural design and ensuring the aircraft’s safe operation across its intended flight spectrum. Once the maneuvering and gust flight envelope has been established, it becomes possible to accurately evaluate the balancing loads required to trim the aircraft within this envelope. Each point located within or along the boundary of the flight envelope corresponds to a specific combination of allowable limit load factor and airspeed. These parameters are essential for determining the corresponding equilibrium—or trimmed—flight condition. The equilibrium condition is defined by the requirement that the aircraft experiences a net-zero sum of aerodynamic forces and moments acting on its surfaces. To evaluate the necessary balancing loads, the lift, drag, and wing-body pitching moment curves must be available. These balancing loads are subsequently applied to address various airworthiness requirements, thereby establishing the appropriate sizing forces and moments in accordance with regulatory prescriptions. The equilibrium equations can be summarized as follows:
    L ht = L α · α + L δ · δ + L camber
    M ht = M α · α + M δ · δ + M camber
    where L ht and M ht denote the lift and pitching moment generated by the horizontal tailplane. The terms L α and M α represent the lift and pitching moment contributions due to variations in angle of attack, while L δ and M δ correspond to the effects of control surface deflection. Finally, L camber and M camber account for the lift and pitching moment induced by the inherent camber of the aerodynamic surfaces, including both the main wing and the horizontal tailplane.
The balancing loads on the horizontal tailplane, together with the spanwise load distributions, enable precise determination of the sizing loads resulting from shear forces, bending moments, and torsional couples acting on the main wing and other aerodynamic surfaces. In the present work, the loads acting on the main wing are not considered. The methodologies employed for flight load determination are specifically tailored to address the unconventional design of the aircraft empennages. It is important to note that many flight conditions prescribed by airworthiness regulations, provisions, and consensus standards cannot be attained during either maneuvering or flight through severe thunderstorms with gusty winds. Moreover, the requirements often specify infeasible combinations of control surface deflection angles. Nevertheless, it remains standard practice to comply with these demanding flight conditions to ensure that the final aerostructure is designed in accordance with established aviation safety standards.
The manufacturer may negotiate with the certification authority and present a rationale to exclude certain infeasible flight conditions from consideration. However, it remains challenging to provide scientific or technical evidence that unequivocally exempts the manufacturer from demonstrating compliance with all applicable requirements, even when such conditions are not physically attainable. Uncertainties related to design, materials, and fatigue cannot be addressed simultaneously without significantly increasing project costs and development time, thereby compromising overall profitability.
Table 6 illustrates the values obtained calculating the Maneuvering and Gust Flight Envelope diagrams, with and without flaps deployed. The meaning of the points listed is the following:
  • Point S corresponds to the aircraft flying at a unit Limit Load Factor at the Design Stall Speed, which is often obtained from the following equation:
    W MTO = L = 1 2 ρ V 2 S C L max
    where usually n = 1 . By solving Equation (3) for airspeed, the applicant determines the Design Stall Speed  V S , the minimum practical airspeed at which the aircraft can maintain equilibrium.
  • Point A corresponds to the aircraft flying at the Limit Load Factor, as determined from the Maneuvering and Gust Flight Envelope analyses. Figure 6 illustrates that, for the unmanned architecture examined in this study, the Maneuvering Limit Load Factor prevailed, while the gust remains well within the Flight Envelope boundaries without exceeding that initial value. The Design Maneuvering Speed  V A is typically calculated using the Design Stall Speed  V S and the corresponding Limit Load Factor at Point A, denoted by n A , applying different equations and constraints according to the airworthiness rules or substantiation standards referenced by the applicant.
  • Point C corresponds to the aircraft flying at the Limit Load Factor at the Design Cruising Airspeed  V C , which is often determined as a function of the Maximum Horizontal Airspeed  V H —calculated assuming maximum continuous power or thrust—and the wing loading W S evaluated at the Maximum Takeoff Weight. Different regulations apply varying numerical coefficients or constraints to the maximum allowable value of V C .
  • Point D corresponds to the aircraft flying at the Limit Load Factor at the Design Dive Airspeed  V D , determined according to the provisions, order relations, and constraints imposed by the reference regulations. Typically, V D is not an airspeed included within normal operating conditions. It is a limiting airspeed used to study the aeroelastic behavior of the airframe under highly critical and rarely achievable flight conditions, where intense forces act on the aerostructures due to high dynamic pressures combined with the maximum Limit Load Factor.
  • Point  S neg refers to the aircraft flying at the minimum practical airspeed at which it can maintain equilibrium under the condition n = 1 . The definition is similar to that of Point S, except that Equation (3) is applied with n = 1 and C L = C L min . Both values are negative, which does not affect solving for the airspeed V.
  • Points G, F, and E are the corresponding points on the negative side of the Maneuvering and Gust Flight Envelope, opposite the Maneuvering, Cruising, and Dive points. The minimum Limit Load Factor applicable may vary significantly depending on the provisions imposed by the selected regulations or standards.
  • Point SF corresponds to the aircraft flying at the maximum landing weight W ML , the minimum practical airspeed with flaps deployed, and a unit Limit Load Factor. Depending on the examined architecture and intended use of the aircraft, applicable rules and standards may permit the use of the maximum takeoff weight W MTO . The applicant can always apply Equation (3) to compute V S landing using the appropriate lift coefficient.
  • Point AF refers to the aircraft flying at the Limit Load Factor prescribed by the applicable airworthiness regulations or standards. The corresponding airspeed can be calculated directly from Equation (3) using n = n max ,   flap , which is a known value. The resulting airspeed V AF is the Design Maneuvering Airspeed with flaps deployed in the landing configuration.
  • Point CF corresponds to the aircraft flying at the Limit Load Factor determined above and at the maximum allowable airspeed with flaps deployed in the landing configuration. Figure 6 illustrates how the Gust Line prescribed by the regulations can cause the maximum Limit Load Factor to exceed the initial constant value, resulting in n AF = 2.0 and n CF = 2.135 , a slightly higher value due to the gust effect. The average gust intensity and other prescribed constants may vary depending on the applicable regulations.
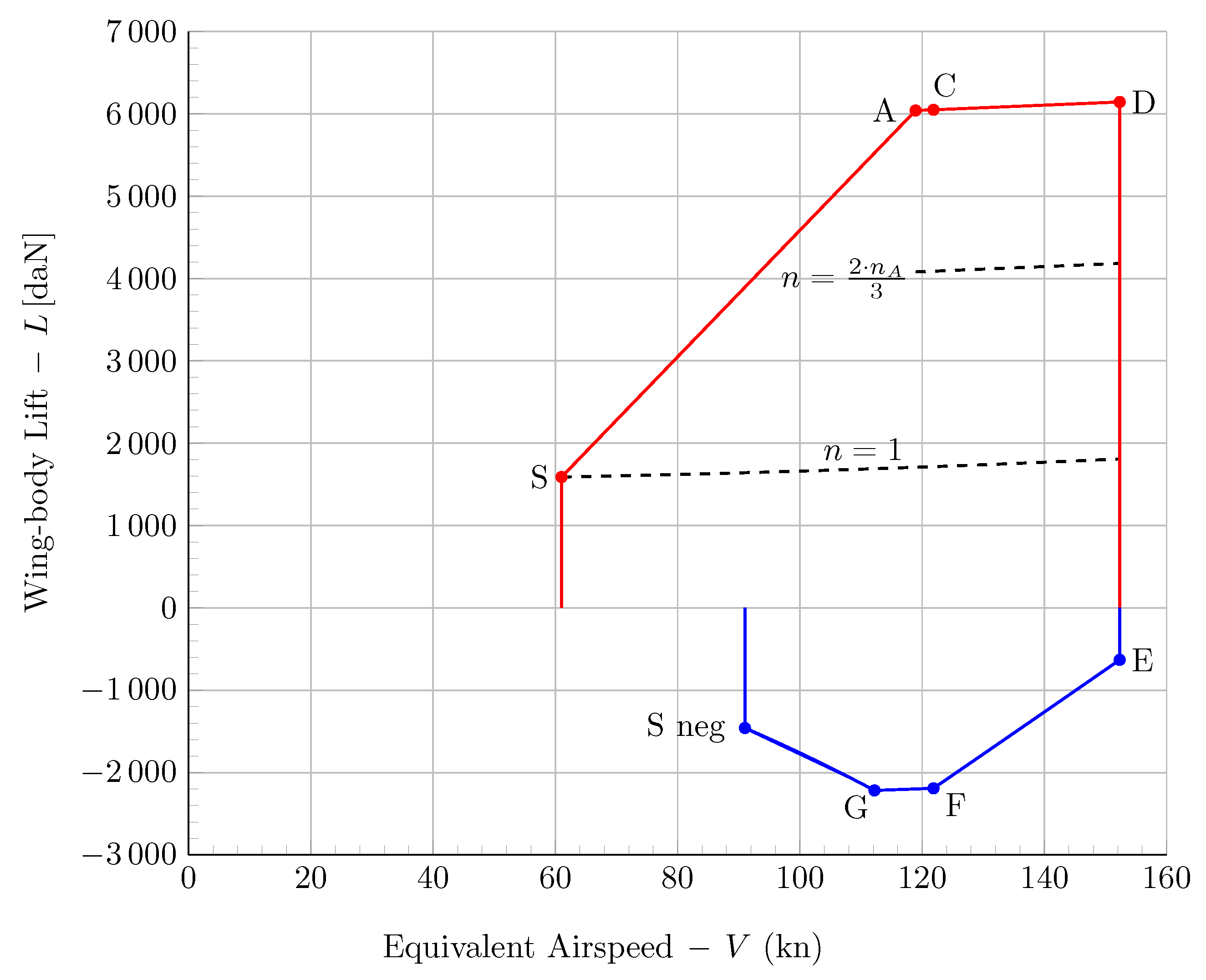
Table 6 also reports the calculated values for the wing-body and horizontal tailplane lift—expressed in N —when the aircraft is flying in equilibrium at the Maneuvering and Gust Flight Envelope points. Once the applicant has the data shown in Figure 6, it is possible to evaluate the wing–body lift and the balancing loads by solving Equations (1) and (2) simultaneously. Figure 7 and Figure 8 present the graphical representation of the results obtained at the end of this process. All calculations assume a weight equal to the Maximum Takeoff Weight and a flight altitude of 20,000 ft. It is customary to report these data using nonstandard units, such as daN for forces—because engineers often relate this unit to the kilogram-force ( kgf )—and kn for equivalent airspeeds. These graphs typically form the core of technical reports issued by manufacturers to demonstrate compliance with the high-level airworthiness requirements of the relevant regulatory authority.
The dashed lines visible in Figure 7 and Figure 8—labeled n = 1 and n = 2 · n A 3 —are included for illustrative purposes, as they are relevant to other certification steps, such as unsymmetrical loading conditions resulting from aileron deflection.
Figure 7. Wing-body lift acting on the airplane at 20,000 ft and MTOW. Lift is expressed in daN , and equivalent airspeed is expressed in kn .
Figure 7. Wing-body lift acting on the airplane at 20,000 ft and MTOW. Lift is expressed in daN , and equivalent airspeed is expressed in kn .
Drones 09 00835 g007
Figure 8. Horizontal tailplane (or balancing loads) lift force at 20,000 ft and MTOW. The lift is expressed in daN , and the equivalent airspeed is expressed in kn .
Figure 8. Horizontal tailplane (or balancing loads) lift force at 20,000 ft and MTOW. The lift is expressed in daN , and the equivalent airspeed is expressed in kn .
Drones 09 00835 g008
Table 6. A summary of airspeeds and limit loads associated with the Maneuvering and Gust Flight Envelope diagrams for the unmanned architecture as shown in Figure 1.
Table 6. A summary of airspeeds and limit loads associated with the Maneuvering and Gust Flight Envelope diagrams for the unmanned architecture as shown in Figure 1.
PointsParametersResult
Point SAirspeed V31.386 m s−1
Limit load n1
Wing-body lift L wing-body 15,895.3 N
Horiz. tailplane lift L ht −199.2 N
Point AAirspeed V61.182 m s−1
Limit load n3.8
Wing-body lift L wing-body 60,401.8 N
Horiz. tailplane lift L ht −757.0 N
Point CAirspeed V62.686 m s−1
Limit load n3.8
Wing-body lift L wing-body 60,484.4 N
Horiz. tailplane lift L ht −839.3 N
Point DAirspeed V78.4 m s−1
Limit load n3.8
Wing-body lift L wing-body 61,434.0 N
Horiz. tailplane lift L ht −1789.1 N
Point SnegAirspeed V46.816 m s−1
Limit load n−1
Wing-body lift L wing-body −14,582.0 N
Horiz. tailplane lift L ht −1114.0 N
Point GAirspeed V57.719 m s−1
Limit load n−1.52
Wing-body lift L wing-body −22,165.0 N
Horiz. tailplane lift L ht −1693.4 N
Point FAirspeed V62.686 m s−1
Limit load n−1.52
Wing-body lift L wing-body −21,908.0 N
Horiz. tailplane lift L ht −1949.9 N
Point EAirspeed V78.4 m s−1
Limit load n−0.5746
Wing-body lift L wing-body −6308.0 N
Horiz. tailplane lift L ht −2711.2 N
Point SFAirspeed V26.75 m s −1
Limit load n1
Point AFAirspeed V37.84 m s −1
Limit load n2.0
Point CFAirspeed V56.49 m s −1
Limit load n2.135

4. Flight Loads Analysis

The certification of complex industrial products, such as aircraft, must ensure a sound structural design with sufficient margins for fatigue and damage tolerance. Certification requirements apply to both primary and secondary structures, providing designers with guidelines and means of compliance derived from operational historical data and testing. However, these guidelines are often overly conservative, which can negatively affect field performance under normal operating conditions.
Aircraft manufacturers and design organizations face additional challenges when a new type certificate involves a V-Tail empennage. This configuration has significantly less flight history compared with more conventional empennage arrangements, resulting in a substantial lack of comprehensive methodologies and a modern approach to its certification. Manufacturers that have applied for a type certificate incorporating such a tail design—such as Cirrus with the Vision family—do not disclose the procedures followed or the agreements reached with the Federal Aviation Administration.

4.1. Horizontal Tail Loads

The structural integrity of the horizontal tail is a critical aspect of aircraft airworthiness, and its design loads are meticulously defined by certification specifications. These specifications mandate that the horizontal tail must withstand both steady-state balancing loads and dynamic loads arising from maneuvering and gusts. The analysis presented here adheres to the prescriptions of USAR.421, USAR.423, and USAR.425, with a particular focus on the unique challenges posed by the MALE UAV’s V-Tail configuration.
For a V-Tail empennage, the aerodynamic forces are not directly aligned with the aircraft’s body axes. Consequently, a key aspect of this analysis is to project the empennage geometry and its resulting loads onto the aircraft’s horizontal reference plane. This projection determines the effective horizontal tail surface area, which is essential for all subsequent calculations related to balancing, maneuvering, and gust loads. While the physical area of the V-Tail surfaces remains unchanged, this analytical approach ensures a consistent and conservative evaluation of the forces acting on the equivalent horizontal stabilizer, as illustrated in Figure 9.
The flight loads on the horizontal tail are categorized into three primary conditions, as depicted in Figure 9:
Balancing Loads.
The steady-state load required to maintain pitching equilibrium at any point within the flight envelope, including its boundaries.
Maneuvering Loads.
The dynamic loads resulting from abrupt control inputs, which can be further subdivided into unchecked and checked maneuvers.
Gust Loads.
The incremental loads induced by atmospheric turbulence are analyzed for both positive and negative vertical gusts.

4.1.1. Horizontal Tailplane Unchecked Maneuver Analysis

The unchecked maneuver analysis, as prescribed by USAR.423(a), simulates an abrupt aft or forward displacement of the pitching control to its full-stop position. This condition is typically most critical at the Design Maneuvering Flight Speed ( V A ) and is assumed to occur over a time interval of 0.3 s . To model the aircraft’s dynamic response, a second-order differential equation describing the pitching motion is numerically integrated:
θ ¨ = q S c ¯ I yy C M δ · δ + C M q · q c ¯ 2 V + C M α ˙ · α ˙
Table 5 in Section 2.1 lists all the data concerning this maneuver. The time histories of the key flight parameters for both pitch-up and pitch-down maneuvers are shown in Figure 10 and Figure 11, respectively. These figures graphically represent the dynamic response to the abrupt elevator deflection, illustrating the transient changes in pitch rate, pitch acceleration, and ultimately, the forces on the horizontal tail.
The summary of the results in Table 7 clearly shows that the pitch-up maneuver is the most critical condition for the horizontal tail, resulting in a maximum incremental load of −10,539.054 N. When combined with the balancing load, this leads to a total downward load of −11,915.85 N. This finding confirms that the pitch-up maneuver at V A represents a critical sizing condition for the horizontal tail structure. In contrast, the pitch-down maneuver yields a total upward load of 831.72 N, which is significantly less severe.
Conceptually, the term unchecked maneuver refers to flight maneuvers that entail significant risk if executed during actual flight testing, due to the aggressiveness of keeping the control input held to its limit without any counteraction. Regulatory agencies, including the Federal Aviation Administration and the International Civil Aviation Organization, provide detailed lists of exceptions and prohibited maneuvers within the context of flight test missions, validation procedures, and verification protocols [27]. For instance, ICAO Annexes identify scenarios that are typically validated through simulation and offer guidance on alternative means of compliance when direct flight testing is impractical or unsafe. Within the aviation certification community, it is a well-established practice to avoid performing unchecked maneuvers during flight testing. Instead, compliance with applicable requirements is demonstrated through engineering analyses, simulations, or other indirect methods. Consequently, these maneuvers are generally excluded from standard flight test programs due to the substantial risk of exceeding the aircraft’s operational limitations.

4.1.2. Checked Maneuver Analysis

In the context of aviation certification, checked maneuvers are typically performed in flight to verify how the aircraft responds to loads generated by the pilot’s natural reactions to specific flight conditions. These reactions involve direct manipulation of the flight controls. Additionally, such maneuvers often present scenarios in which the pilot rapidly applies a sequence of control inputs in an effort to limit the aircraft’s response to a disturbance that causes deviation from its initial equilibrium.
For speeds above V A , USAR.423(b) mandates a “checked” maneuver analysis, which accounts for the pilot or flight control system’s corrective action. This maneuver is defined by a sudden control input followed by a counter-input to prevent exceeding a specified load factor. The resulting pitching accelerations ( θ ¨ ) are determined using the following semi-empirical formulas:
Nose-up pitching θ ¨ = 72.2 V · n m · ( n m 1.5 ) · 39 V · n m · ( n m 1.5 )
Nose-down pitching θ ¨ = 72.2 V · n m · ( n m 1.5 ) · 39 V · n m · ( n m 1.5 )
where n m is the positive design limit maneuvering load factor and V is the initial speed in km h−1. The results for the checked maneuver, evaluated at the critical flight envelope points ( V A , V C , and V D ), are presented in Table 8. This table shows that while the unchecked maneuver produces the highest absolute load, the checked maneuver loads, particularly the pitch-up condition at V A with a total load of − 5042.40 N, remain a significant factor in the structural design. The negative sign indicates a downward load, consistent with the pitch-up maneuver.

4.1.3. Gust Loads Analysis

Gust loads are calculated according to USAR.425(a), which recommends a semi-analytical approach based on prescribed gust velocities ( U d e ). The incremental load on the horizontal tail ( Δ L ht ) is computed using a revised version of the classical gust load formula, which incorporates a gust alleviation factor ( K g ) to account for the aircraft’s inertial response:
Δ L ht = ρ 0 · K g · U de · V · a ht 2 · 1 d ϵ d α
where the gust alleviation factor K g , as shown in (9), is a function of the mass ratio parameter μ g , as defined in Equation (8). This formulation accounts for the fact that a more massive aircraft (higher μ g ) will respond less to a sudden gust, thus experiencing a lower incremental load.
μ g = 2 · W S · c ¯ · a · g = Mass ratio
K g = 0.88 · μ g 5.3 + μ g = Gust Alleviation Factor
The gust load calculations are summarized in Table 9 for two critical altitudes: 20,000 ft and sea level. The results reveal that gust loads are more significant at higher altitudes, where the gust velocities are typically more severe, and the lower air density amplifies the impact of the incremental load on the total load factor. The most critical condition identified is a negative gust at 20,000 ft, specifically at the maneuvering boundary Point A, which results in a maximum total downward load of −4931 N. This highlights the importance of considering atmospheric turbulence as a primary driver for structural design.
As a complementary analysis, and acknowledging that the aircraft falls outside the scope of ASTM F3116/3116M limitations, a supplementary gust load calculation was performed. This analysis applies a gust acting perpendicularly to one of the V-Tail surfaces, a condition particularly relevant for unconventional empennage configurations. The results, presented in Table 10, provide a valuable cross-reference for the standard gust analysis and indicate that while the general trends are similar, the magnitude of the loads differs, which is a significant finding for future research on V-Tail empennage design.

4.1.4. Asymmetric Loads Analysis

Asymmetric loading conditions, which typically arise from yawed flight or sideslip, must be considered in accordance with USAR.427. This provision stipulates a design case where the maximum symmetric loading is applied to one side of the empennage, while a reduced percentage of that load is applied to the other side. The percentage of the symmetric load to be applied to the opposite side is given by
Symmetric Load Percentage = max 100 10 · ( n 1 ) , 80 %
The calculation requires determining the normal force ( N ht ) acting on one of the V-Tail surfaces, which is derived from the total vertical force on the empennage ( Z ht ) and the V-Tail’s dihedral angle ( γ ht ):
N ht = 1 2 · Z ht cos γ ht
The results of this asymmetric load analysis are presented in Table 11, which is derived from the gust load data presented in Table 9. This analysis shows that the most severe asymmetric load occurs during the negative gust condition at 20,000 ft, where the normal force on one side of the V-Tail reaches −3010 N. These asymmetric loads are critical for the design of the root joint of the empennage, as they induce a significant bending moment and torsional stress on the fuselage structure.

4.2. Vertical Tail Loads

The vertical tail studied in this section is the projection of the V-Tail empennage in the vertical plane of the Body Reference Frame proper of the vehicle. The vertical tail was subjected to yaw manoeuvres, side gusts, and combined load cases. Load factors were derived for single- and dual-fin configurations, in accordance with USAR.441 and ASTM F3116.

4.2.1. Vertical Tailplane Unchecked Maneuver Analysis

Figure 12 illustrates a reference load condition for the analysis proposed in this section. As in Section 4.1.1, the time interval Δ t is assumed to be 0.3 s , in accordance with Acceptable Means of Compliance 23.441, Manoeuvring Loads—Vertical Surfaces.
The unchecked rudder maneuver is a well-established yaw maneuver known to generate critical loads on the vertical tailplane. As previously discussed in this work, the maneuver is conceptualized as an almost instantaneous deflection of the rudder from its neutral position to the maximum allowable limit. This abrupt input induces a rapid redistribution of loads resulting from inertial effects, aerodynamic forces and moments, and hinge moments. Once the rudder returns to its neutral position, the aircraft enters a steady sideslip condition. The resulting steady sideslip angle produces bending moments on the vertical tail.
Assuming that both the direction and magnitude of the airspeed at the center of gravity remain constant during the control input time, the differential equation governing the motion is
ψ ¨ = q A S wing b wing I zz · l vt · C N δ r · δ r + C N β · β + Δ V V A + C N r · rb wing 2 V
where
V A = Design Maneuvering Speed in m   s 1 = 61.18   m   s 1 q A = Dynamic Pressure at Point A in Pa = 2292.64 Pa S wing = Wing platform area in m 2 = 14.62   m 2 S vt = Equivalent vertical tailplane platform area in m 2 = 1.9   m 2 b wing = Wingspan in m = 15   m l vt = Distance between wing and vertical tailplane a.c. in m = 3.4   m I zz = Inertial moment respect Y B axis in kg   m 2 = 4400 kg m 2 C N δ = Yawing moment control power derivative in rad 1 = 0.034 rad 1 C N r = Yawing moment damping derivative in rad 1 = 0.024 rad 1 C N β = Yawing moment derivative due to sideslip angle in rad 1 = 0.045 rad 1 ψ = Yaw Euler angle in rad r = Yawing angular velocity in rad   s 1 δ r = Rudder deflection angle in rad = 20 deg Δ V = Horizontal airspeed component in m   s 1
Table 5 in Section 2.1 lists all the data concerning this maneuver. Figure 13 presents all graphical results obtained by integrating Equation (12). Figure 13a displays the rudder deflection history in degrees. Figure 13b shows the yawing angular acceleration in radians per second squared. Figure 13c illustrates the yawing angular velocity in radians per second. Figure 13d presents the yawing angle history in radians. Finally, Figure 13e and Figure 13f depict the lateral speed change in meters per second and the corresponding lateral force in Newton, respectively.
As previously stated in Section 4.1.1, the unchecked maneuver is analyzed for the equivalent vertical tail. In accordance with airworthiness provisions, the flying vehicle is assumed to be at the design maneuvering speed V A , in unaccelerated flight with zero yaw angle. The rudder control is assumed to be suddenly displaced from its equilibrium position (zero deflection angle) to the maximum achievable deflection, as limited either by the control stops or by the maximum applicable effort provided by the actuators or servocontrols. For the reference vehicle examined in this study, the maximum achievable deflection angle was 20 deg .
As a consequence of the sudden rudder displacement, the aircraft experiences an angular yawing acceleration, which induces a tangential acceleration acting approximately normal to the plane of the equivalent vertical tail. According to airworthiness regulations, a specific time interval Δ t —defined by the aircraft category—is prescribed. During this interval, the tangential acceleration results in an incremental speed Δ V , which combines with the airstream at the design manoeuvring speed V A . The resulting airspeed vector is no longer perfectly aligned with the fuselage centerline, thereby generating a nonzero sideslip angle, given by Δ V V A . This sideslip angle can be interpreted as a damping factor (DF), which proportionally reduces the final load resulting from the unchecked maneuver.
Table 12 presents a summary of the loads resulting from solving (12), for a single fin and both fins, respectively.

4.2.2. USAR 441(a)(2) Analysis

Figure 14 illustrates a reference load condition for the analysis proposed in this section. According to USAR441(a)(2), the aircraft must be evaluated at the design maneuvering speed V A with the rudder displaced to its maximum deflection, which in this specific case is 20   deg . It is assumed that the UAV yaws to the overswing sideslip angle. In the absence of a more rational analysis, Acceptable Means of Compliance permit the use of an overswing angle equal to 1.5 · 15   deg = 22.5 deg —that is, the 15 deg static sideslip angle specified in USAR.(a)(3)—to represent the yaw response following sudden rudder input ( δ r = 20 deg ). The yawing moment is computed through the following equation:
C N = C N β · β + C N δ r · δ r
where the coefficients have already been defined. The total load is calculated considering the dynamic pressure at V A , namely q A , acting on both the vertical tail surfaces. The equation is the following:
N = C N · q A · S wing · b wing
The two equations used to evaluate the single and dual fins’ side forces are the following:
Y single fin = N l vt
Y dual fin = 2 · Y single fin
Table 13 presents the numerical results associated with the calculations discussed in this section. Equation (17) illustrates how the normal force, derived from the vertical load calculations, can be projected onto the plane normal to the V-Tail aerodynamic surfaces.
Normal Force = NF = 1 2 · Y vt sin γ vt with γ vt = γ ht
Figure 14. USAR.441(a) graphical representation of the reference load condition.
Figure 14. USAR.441(a) graphical representation of the reference load condition.
Drones 09 00835 g014
Table 13. Calculations associated with rule USAR.441(a)(2).
Table 13. Calculations associated with rule USAR.441(a)(2).
C N N single fin Y vt , single fin NF vt , single fin , l NF vt , single fin , r
−0.00567−2849.95 N m838.22 N730.95 N−730.74 N
C N N double fin Y vt , double fin NF vt , double fin , l NF vt , double fin , r
−0.01134−5699.90 N m1676.44 N1461.49 N−1461.49 N

4.2.3. USAR 441(a)(3) Analysis

This section presents an analysis analogous to that described in Section 4.2.2. The aircraft is evaluated at the design manoeuvring speed V A and a yaw angle of β = 15   deg , with the rudder control maintained in its neutral position, except as limited by the maximum effort sustained by the servocontrols or actuators. The equations employed are identical to those used in Section 4.2.2. Table 14 presents the numerical results associated with the calculations discussed in this section.

4.2.4. USAR 441(b)(1) Analysis

In addition to the conditions examined in Section 4.2.2 and Section 4.2.3, the following maneuver must also be analyzed and substantiated. This condition applies to airspeeds ranging from V A to V D M D , where M D denotes the dive Mach number. The aircraft must be yawed to the maximum attainable steady-state sideslip angle, with the rudder deflected to its maximum extent—subject to the usual limitations imposed by the control stops or the maximum effort deliverable by the servocontrols or actuators—appropriate to the specific aircraft configuration.
Assuming that the ruddervator’s surface could be deflected up to the maximum deflection of 20   deg , the maximum steady-state sideslip angles should be computed as follows:
δ V C = δ V A · V A V C = 19.52 deg
δ V D = δ V A · V A V D = 15.62 deg
These deflections lead to the following achievable sideslip angle:
β V C = C N β · β δ V C = 14.91 deg
β V D = C N β · β δ V D = 11.93 deg
Table 15 summarizes all the calculations performed, using the same formulas illustrated in Section 4.2.2.

4.2.5. Gust Load Analysis

As was done in Section 4.1.3 for the horizontal tail, USAR.443 requires the evaluation of gust loads on the equivalent vertical tail. The calculations are performed according to the following:
Δ L vt = ρ 0 · K g · U de · V · a vt · S vt 2
where
Δ L vt = Incremental vertical tail load in N ρ 0 = Air density at sea level in kg m 3 U de = Derived gust velocities in m   s 1 V = Airplane equivalent speed in m   s 1 K g = 0.88 · μ g 5.3 + μ g = Gust alleviation factor μ g = 2 · W ρ · c ¯ · a vt · S vt · g K l vt 2 = Lateral mass ratio W = Aircraft weight in N c ¯ vt = Mean vertical tail aerodynamic chord in m K = Radius of gyration in yaw m a vt = Lift curve slope of vertical surface in rad 1 S vt = Equivalent vertical tail surface m 2 l vt = Distance from c.g. to lift centre of v.t. in m
The radius of gyration for the aircraft examined in this study is equal to 1.63 m . Table 16 summarizes all the calculations related to the gust loads.

4.3. Combined Load Analysis

Figure 15 illustrates a reference load condition for the analysis proposed in this section. The analysis conducted includes additional provisions introduced in recent ASTM International standards. Specifically, ASTM F3116/F3116M [28], Standard Specification for Design Loads and Conditions, Section 4.23 Combined Loads on Tail Surfaces—for airplanes meeting the limitations of Practice F3396/F3396M, Control Surface Loading, Level I Aeroplanes and 4.24 Additional Loads Applicable to V-Tails—for airplanes meeting the limitations of Practice F3396/F3396, Control Surface Loading, Level I Aeroplanes [29], prescribes an additional combined loads analysis:
  • Section 4.23.1 assumes the aircraft is in a loading condition corresponding to Point A or Point D of the maneuvering and gust flight envelope—whichever results in higher balancing loads—and requires that, under these conditions, the loads on the horizontal tail be combined with those on the vertical tail as specified in Section 4.20, Manoeuvring Loads for Vertical Surfaces.
  • Section 4.23.2 prescribes that 75% of the loads defined in Section 4.17, Maneuvering Loads for Horizontal Surfaces, and Section 4.20, Maneuvering Loads for Vertical Surfaces, be assumed to act simultaneously.
  • Section 4.24 of ASTM F3116/F3116M specifies that V-Tail aircraft must be designed to withstand a gust acting perpendicularly to one of the tail surfaces at the design dive speed, with a negative limit maneuvering design load factor V E . This condition is considered supplemental to the equivalent horizontal and vertical tail load cases previously specified. Additionally, mutual aerodynamic interference between the V-Tail surfaces must be adequately accounted for in the analysis. Figure 16 describes the loads associated with this certification requirement.
It should be noted that EASA CS-23, Amendment 4, does not include specific provisions or recommendations addressing V-Tail empennages, except in the context of loads acting parallel to the hinge lines of control surfaces on wings or horizontal tails with high dihedral angles, including V-Tail configurations. In such cases, it is recommended to evaluate the magnifying factor used for sizing the control lines according to the following expression:
K = 12 · 4 3 1 + ( tan ν ) 2
where ν is the dihedral angle measured relative to the horizontal plane. As a further simplification, K may be assumed equal to 12 for ν 10 deg and equal to 24 for 80 deg < ν < 90 deg . The loads acting on the control lines were not addressed in this study, as they fall outside its scope.
Table 17, Table 18 and Table 19 summarize the final results of all analyses conducted under these provisions. The critical pitch-down combined loads have been identified as N left = 3146.89   N and N right = 3118.73   N , while the pitch-up loads are N left = 6972.96   N and N right = 7001.11   N , and are highlighted in red.
Table 17. F3116/F3116M ASTM 4.23.1 Combined Loads calculations.
Table 17. F3116/F3116M ASTM 4.23.1 Combined Loads calculations.
Z F left F right Y Tot LeftRightLoads LeftLoads Right
[kn][N][N][N][N][N][N][N][N]
Load Case a(1)
V A 118.9−756.98−462.03−462.031773.751546.32−1546.321084.28−2008.35
V C 121.9−839.30−512.28−512.281034.04−2058.60
V D 152.3−1789.11−1092.02−1092.02454.30−2638.33
Load Case a(2)
V A 118.9−756.98−462.03−462.03838.22730.74−730.74268.71−1192.78
V C 121.9−839.30−512.28−512.28218.46−1243.02
V D 152.3−1789.11−1092.02−1092.02−361.27−1822.76
Load Case a(3)
V A 118.9−756.98−462.03−462.03−1741.45−1518.161518.16−1980.201056.13
V C 121.9−839.30−512.28−512.28−2030.441005.88
V D 152.3−1789.11−1092.02−1092.02−2610.18426.15
GUST Vertical Tail
V A 118.9−756.98−462.03−462.033458.411507.48−1507.481045.45−1969.52
V C 121.9−839.30−512.28−512.28995.20−2019.76
V D 152.3−1789.11−1092.02−1092.02415.47−2599.50
Table 18. F3116/F3116M ASTM 4.23.2 Combined Loads Calculations. The reference speed for this design case is the Design Maneuvering Speed V A . The critical pitch-down combined loads have been identified and are highlighted in red.
Table 18. F3116/F3116M ASTM 4.23.2 Combined Loads Calculations. The reference speed for this design case is the Design Maneuvering Speed V A . The critical pitch-down combined loads have been identified and are highlighted in red.
ConditionZ Load F left F right Y Tot N V-Tail L N V-Tail R Combined LCombined R
[N][N][N][N][N][N][N][N]
Unchecked Pitch-Up−8936.89−5454.79−5454.791773.751546.32−1546.32−3908.48−7001.11
Unchecked Pitch-Down813.72507.65507.651773.751546.32−1546.322053.97−1038.66
Unchecked Pitch-Up−8936.89−5454.79−5454.79838.22730.74−730.74−4724.05−6185.53
Unchecked Pitch-Down831.72507.65507.65838.22730.74−730.741238.40−223.09
Unchecked Pitch-Up−8936.89−5454.79−5454.79−1741.45−1518.161518.16−6972.96−3936.63
Unchecked Pitch-Down831.72507.65507.65−1741.45−1518.161518.16−1010.512025.82
Unchecked Pitch-Up−8936.89−5454.79−5454.793458.411507.48−1507.48−3947.31−6962.27
Unchecked Pitch-Down831.72507.65507.653458.411507.48−1507.482015.14−999.83
Checked Pitch-Up−3781.78−2308.28−2308.281773.751546.32−1546.32−761.96−3854.59
Checked Pitch-Down218.14133.15133.151773.751546.32−1546.321679.46−1413.17
Checked Pitch-Up−3781.78−2308.28−2308.28838.22730.74−730.74−1577.53−3039.02
Checked Pitch-Down218.14133.15133.15838.22730.74−730.74863.89−597.59
Checked Pitch-Up−3781.78−2308.28−2308.28−1741.45−1518.161518.16−3826.44−790.11
Checked Pitch-Down218.14133.15133.15−1741.45−1518.161518.16−1385.021651.31
Checked Pitch-Up−3781.78−2308.28−2308.283458.411507.48−1507.48−800.79−3815.76
Checked Pitch-Down218.14133.15133.153458.411507.48−1507.481640.63−1374.33
ConditionZ Load F left F right Y Tot N V-Tail L N V-Tail R Combined LCombined R
[N][N][N][N][N][N][N][N]
75 % Gust Pitch-Up−3698.57−2257.49−2257.491773.751546.32−1546.32−711.17−3803.80
75 % Gust Pitch-Down2622.301600.571600.571773.751546.32−1546.323146.8954.25
75 % Gust Pitch-Up−3698.57−2257.49−2257.49838.22730.74−730.74−1526.74−2988.23
75 % Gust Pitch-Down2622.301600.571600.57838.22730.74−730.742331.31869.83
75 % Gust Pitch-Up−3698.57−2257.49−2257.49−1741.45−1518.161518.16−3775.65−739.32
75 % Gust Pitch-Down2622.301600.571600.57−1714.45−1518.161518.1682.413118.73
75 % Gust Pitch-Up−3698.57−2257.49−2257.493458.411507.48−1507.48−750.00−3764.97
75 % Gust Pitch-Down2622.301600.571600.573458.411507.48−1507.483108.0593.09
Table 19. ASTM F3116/F3116M 4.24 gust load analysis for critical design points.
Table 19. ASTM F3116/F3116M 4.24 gust load analysis for critical design points.
PointVn μ g k g B. U de Δ N + Δ N N gust + N gust
L.Single FinSingle Fin
[kn][-][-][-][N][m s−1] [N][N][N][N]
FL200A61.181.058.560.81−1376.8015.244339.26−2226.001052.20−1108.35
C62.681.058.560.81−145.5915.244445.91−4339.261749.45−2164.98
D78.361.058.560.81−239.297.622778.69−4445.912178.52−2218.30
FL0A61.181.031.190.75−1376.8015.244044.73−4044.731602.19−2017.72
C62.681.031.190.75−145.5915.244144.15−4144.152027.64−2067.42
D78.361.031.190.75−239.297.622590.09−2590.091222.02−1292.72
Figure 15. Combined loads analysis reference flight condition.
Figure 15. Combined loads analysis reference flight condition.
Drones 09 00835 g015
Figure 16. ASTM International F3116/F3116M, Section 4.24, provides additional requirements for Level 1 aircraft with a V-Tail empennage. This provision is unique to this document. This figure describes the loads associated with this certification specification.
Figure 16. ASTM International F3116/F3116M, Section 4.24, provides additional requirements for Level 1 aircraft with a V-Tail empennage. This provision is unique to this document. This figure describes the loads associated with this certification specification.
Drones 09 00835 g016

5. Conclusions

This work establishes a rigorous and reproducible methodology for determining certification flight loads on Medium-Altitude Long-Endurance (MALE) Unmanned Aerial Systems (UAS), specifically addressing the aerostructural complexities inherent in a V-Tail empennage configuration. The integration of high-fidelity Computational Fluid Dynamics (CFD) data with the STANAG 4671 high-level requirements (and their civil counterparts) addresses a significant knowledge gap concerning the airworthiness and structural integrity of unconventional control surface geometries. The detailed load analysis presented, including the quantification of ruddervator load distributions and the identification of the Unchecked Pitch-Up maneuver as the dimensioning design condition, serves as an essential engineering reference for future V-Tail structural designs.
The analysis yields two critical implications for aeronautical engineering and regulation. Firstly, the current airworthiness framework often formulates requirements that disregard the physical feasibility of numerous prescribed flight conditions, such as extreme maneuvering loads and gust responses. This prevalent conservatism frequently results in a substantial overestimation of structural strength requirements, leading to unnecessary increases in aircraft mass, design complexity, and associated costs. Compliance demonstration, supported by the advanced, physics-based engineering evidence presented herein, is therefore crucial not only for safety but also for justifying a targeted mitigation of overly conservative requirements, thereby maximizing platform performance.
Secondly, managing the massive data requirements intrinsic to certification, particularly with complex and non-linear configurations, highlights the obsolescence of traditional document-based processes. The assessment of the full spectrum of critical load conditions remains an extremely labor-intensive task. It is postulated that the future marketability and cost-efficiency of advanced UAS designs will be intrinsically linked to the efficacy of their certification methodology. Therefore, future research must systematically focus on developing innovative, integrated digital solutions for airworthiness management to ensure that the regulatory framework supports, rather than impedes, the rapid and safe adoption of pioneering aerodynamic configurations.

Author Contributions

Conceptualization, P.D.V. and V.C.; methodology, P.D.V.; software, P.D.V.; validation V.C. and C.M.; formal analysis, P.D.V. and V.C.; investigation, V.C.; resources, C.M.; data curation, C.M.; writing—original draft preparation, C.M.; writing—review and editing, V.C. and C.M.; visualization, C.M.; supervision, P.D.V. All authors have read and agreed to the published version of the manuscript.

Funding

This research received no external funding.

Data Availability Statement

The original contributions presented in this study are included in the article. Further inquiries can be directed to the corresponding author.

Conflicts of Interest

The authors declare no conflicts of interest.

Abbreviations

The following abbreviations are used in this manuscript:
FAAFederal Aviation Administration
ASTMAmerican Society for Testing and Materials
FARFederal Aviation Regulations
ICAOInternational Civil Aviation Organization
MALEMedium-Altitude Long-Endurance
UAVUnmanned Aerial Vehicle
NACANationa Advisory Committee for Aeronautics
MDOMultidisciplinary Design Optimization
STANAGStandardization Agreement
CFDComputational Fluid Dynamics
AEPAllied Engineering Publication
CSCertification Specifications
EASAEuropean Union Aviation Safety Agency
ACAdvisory Circular
RANSReynolds-Averaged Navier-Stokes
MACMean Aerodynamic Chord
MTOWMaximum Takeoff Weight
USARUnmanned Aerial system Airworthiness Requirements
HTHorizontal Tailplane
AMCAcceptable Means of Compliance
MoCMeans of Compliance
DFDamping Factor

References

  1. Hossain, R. A short review of the drone technology. Int. J. Mechatronics Manuf. Technol. 2022, 7, 53–68. [Google Scholar]
  2. Austin, R. Unmanned Aircraft Systems: UAVs Design, Development and New Applications; John Wiley and Sons: Hoboken, NJ, USA, 2010. [Google Scholar]
  3. Verma, A.K.; Pradhan, N.K.; Nehra, R.; Prateek. Challenge and Advantage of Materials in Design and Fabrication of Composite UAV. IOP Conf. Ser. Mater. Sci. Eng. 2018, 455, 012005. [Google Scholar] [CrossRef]
  4. Pratt, K.G. A Revised Formula for the Calculation of Gust Loads; Technical Report TN 2964; National Advisory Committee for Aeronautics (NACA): Hampton, VA, USA, 1953. [Google Scholar]
  5. Pratt, K.G.; Walker, W.G. A Revised Gust-Load Formula and a Re-Evaluation of V-G Data Taken on Civil Transport Airplanes From 1933 to 1950; Technical Report REPORT 1206; National Advisory Committee for Aeronautics (NACA): Hampton, VA, USA, 1954. [Google Scholar]
  6. Decker, J.L. Horizontal Tail Loads in Abrupt Pull-Ups from Level Flight. J. Aeronaut. Sci. 1951, 18, 835–841. [Google Scholar] [CrossRef]
  7. Pearson, H.A.; McGowan, W.A.; Donegan, J.J. Horizontal Tail Loads in Maneuvering Flight; Technical Report REPORT 1007; National Advisory Committee for Aeronautics (NACA): Hampton, VA, USA, 1950. [Google Scholar]
  8. Gilruth, R.R. Analysis of Vertical-Tail Loads in Rolling Pull-Out Maneuvers; Technical Report CB No. L4H14; National Advisory Committee for Aeronautics (NACA): Hampton, VA, USA, 1941. [Google Scholar]
  9. Struett, R.C. Empennage Sizing and Aircraft Stability Using Matlab; American Institute of Aeronautics and Astronautics: Reston, VA, USA, 2012. [Google Scholar]
  10. Ahamed, S.N.; Kumar, J.V.; Sravani, P. Weight Optimization of Empennage of Light Weight Aircraft. Int. J. Sci. Technol. Res. 2014, 3, 40–57. Available online: https://www.ijstr.org/research-paper-publishing.php?month=apr2014 (accessed on 15 September 2025).
  11. Heiremans, J. Multidisciplinary Design Optimization of a Cruciform or T-tail Empennage. Master’s Thesis, Delft University of Technology, Delft, The Netherlands, 2025. [Google Scholar]
  12. Frovel, M.; Fernandez, A.; Reyes, M.E.; García, J.; Pintado, J.M.; de la Torre, M.; Pariente, P.; Terroba, F. Health and Usage Monitoring of INTA MALE UAV. In Proceedings of the 9th European Workshop on Structural Health Monitoring (EWSHM), Manchester, UK, 10–13 July 2018; pp. 1–12. [Google Scholar]
  13. van Gelder, P. Analysis of measured in-flight tail loads. In Proceedings of the 20th ICAS Congress, Sorrento, Italy, 8–13 September 1996; Volume 20. [Google Scholar]
  14. Kim, D.; Marciniak, M. A Methodology to Predict the Empennage In-Flight Loads of a General Aviation Aircraft Using Backpropagation Neural Networks; DOT/FAA/AR-00/50; Office of Aviation Research, Federal Aviation Administration: Washington, DC, USA, 2001; 44p, Available online: https://apps.dtic.mil/sti/html/tr/ADA392843/ (accessed on 15 September 2025).
  15. Egozi, A. ELBIT Aims for Ground Combat Revolution with IICS. Def. Rev. Asia 2010, 4, 12. [Google Scholar]
  16. Civil Aviation Authority of Israel. Type Certificate Data Sheet No. IA362: Elbit Systems/Aerospace Division Hermes 900-C/E4-HFE-VMSC UAS; Technical Report IA362; State of Israel, Ministry of Transport, Civil Aviation Authority: Airport City, Israel, 2024. [Google Scholar]
  17. N.S.O. STANAG 4671: Unmanned Aerial Vehicle Systems Airworthiness Requirements (USAR); NATO: Brussels, Belgium, 2017. [Google Scholar]
  18. Huang, P.; Tang, Y.; Yang, B.; Wang, T. Research on Scenario Modeling for V-Tail Fixed-Wing UAV Dynamic Obstacle Avoidance. Drones 2023, 7, 601. [Google Scholar] [CrossRef]
  19. Ye, B.; Li, J.; Li, J.; Liu, C.; Wang, Z.; Yang, Y. Computational Fluid Dynamics (CFD)-Enhanced Dynamic Derivative Engineering Calculation Method of Tandem-Wing Unmanned Aerial Vehicles (UAVs). Drones 2025, 9, 231. [Google Scholar] [CrossRef]
  20. Pliakos, C.; Efrem, G.; Terzis, D.; Panagiotou, P. An Automated Framework for Streamlined CFD-Based Design and Optimization of Fixed-Wing UAV Wings. Algorithms 2025, 18, 186. [Google Scholar] [CrossRef]
  21. Li, L.; Li, H.; Liu, C.; Zhao, N.; Zhao, R. A Mission Planning Method for Long-Endurance Unmanned Aerial Vehicles: Integrating Heterogeneous Ground Control Resource Allocation. Drones 2024, 8, 385. [Google Scholar] [CrossRef]
  22. Seitz, S.; Schramm, D.; Lang, A.; Markgraf, M.; Steger, P.; Meier, F.; Hecht, M.; Zwiener, J.; Loechel, A.; Meier, D.; et al. Structural Health Monitoring of Aerial Vehicles Using Guided Electromagnetic Waves in K-Band: Initial Damage Detection Results from Drone Flight Testing. Appl. Sci. 2025, 15, 6478. [Google Scholar] [CrossRef]
  23. Torenbeek, E. Synthesis of Subsonic Airplane Design; Kluwer Academic Publishers: Dordrecht, The Netherlands, 2000. [Google Scholar]
  24. Panta, A.; Mohamed, A.; Marino, M.; Watkins, S.; Fisher, A. Unconventional control solutions for small fixed wing unmanned aircraft. Prog. Aerosp. Sci. 2018, 102, 122–135. [Google Scholar] [CrossRef]
  25. Jackson, A.M. Composite Structures for Unmanned Aerial Vehicles: Design and Analysis; Springer: Berlin/Heidelberg, Germany; Elsevier: Amsterdam, The Netherlands, 2017. [Google Scholar]
  26. E.U.A.S.A. Special Condition for Light Unmanned Aircraft Systems (SC-Light UAS). Issue 1; EASA: Cologne, Germany, 2020. [Google Scholar]
  27. Federal Aviation Administration. Advisory Circular 25-7D: Flight Test Guide for Certification of Transport Category Airplanes; Technical Report AC 25-7D; U.S. Department of Transportation, Federal Aviation Administration: Washington, DC, USA, 2023. [Google Scholar]
  28. F3116/F3116M-24; Standard Specification for Design Loads and Conditions. ASTM International: West Conshohocken, PA, USA, 2024.
  29. F3396/F3396M-23a; Standard Practice for Aircraft Simplified Loads Criteria. ASTM International: West Conshohocken, PA, USA, 2023.
Figure 1. Geometry representation of fixed-wing MALE UAV, similar to Elbit Hermes 900 platform with a V-Tail configuration. The long, slender wing and unconventional tail surfaces are characteristic of this class of UAVs.
Figure 1. Geometry representation of fixed-wing MALE UAV, similar to Elbit Hermes 900 platform with a V-Tail configuration. The long, slender wing and unconventional tail surfaces are characteristic of this class of UAVs.
Drones 09 00835 g001
Figure 2. Horizontal and Vertical Tailplane projections. The representation does not respect the actual proportion of the equivalent surfaces to avoid geometric distortions.
Figure 2. Horizontal and Vertical Tailplane projections. The representation does not respect the actual proportion of the equivalent surfaces to avoid geometric distortions.
Drones 09 00835 g002
Figure 3. Drag polar for the wing-body aircraft.
Figure 3. Drag polar for the wing-body aircraft.
Drones 09 00835 g003
Figure 4. Lift curve for the wing-body aircraft.
Figure 4. Lift curve for the wing-body aircraft.
Drones 09 00835 g004
Figure 5. Pitching moment coefficient curve.
Figure 5. Pitching moment coefficient curve.
Drones 09 00835 g005
Figure 6. Maneuver and gust envelope at 20,000 ft and MTOW. Refer to Section 3 for a detailed explanation of the listed points.
Figure 6. Maneuver and gust envelope at 20,000 ft and MTOW. Refer to Section 3 for a detailed explanation of the listed points.
Drones 09 00835 g006
Figure 9. A graphical representation of the Horizontal Tail Loads considered during the analysis, including balancing, maneuvering, and gust components.
Figure 9. A graphical representation of the Horizontal Tail Loads considered during the analysis, including balancing, maneuvering, and gust components.
Drones 09 00835 g009
Figure 10. Horizontal tail loads pitch-up unchecked manoeuver analysis graphical results.
Figure 10. Horizontal tail loads pitch-up unchecked manoeuver analysis graphical results.
Drones 09 00835 g010
Figure 11. Horizontal tail loads pitch-down unchecked manoeuver analysis graphical results.
Figure 11. Horizontal tail loads pitch-down unchecked manoeuver analysis graphical results.
Drones 09 00835 g011
Figure 12. Unchecked maneuver loading condition on the vertical tail.
Figure 12. Unchecked maneuver loading condition on the vertical tail.
Drones 09 00835 g012
Figure 13. Vertical tail loads unchecked manoeuver analysis graphical results.
Figure 13. Vertical tail loads unchecked manoeuver analysis graphical results.
Drones 09 00835 g013
Table 1. Representative geometric and mass parameters of the MALE UAV configuration.
Table 1. Representative geometric and mass parameters of the MALE UAV configuration.
ParameterValue
Wingspan 15.0 m
Wing area 14.6 m2
Aspect ratio 15.39
Payload Mass250 kg
Cruise Speed 62.69  m/s
Table 2. Geometrical data concerning the V-Tail arrangement.
Table 2. Geometrical data concerning the V-Tail arrangement.
ParameterValue
c root 1.3 m
c tip 0.7 m
Γ tail 35
Ruddervator root chord c rv ,   root 0.4 m
Ruddervator tip chord c rv ,   tip 0.2 m
Λ le ,   tail 10
S tail 6.7 m2
Fuselage length l fuselage 9.4 m
Average tail arm l tail 3.4 m
Horiz. tailplane projected surface S ht ,   proj 5.5 m2
Horiz. tailplane projected span b ht ,   proj 5.5 m
Horiz. tailplane projected aspect ratio AR ht ,   proj 5.5 m
δ e ,   max (pitch-up) 20 deg
δ e ,   min (pitch-down) 20 deg
Vert. tailplane projected surface S vt ,   proj 1.9 m2
Vert. tailplane projected span b vt ,   proj 1.9 m
Vert. tailplane projected aspect ratio AR vt ,   proj 1.9 m
δ r ,   max 20 deg
Table 3. A summary of weight, inertia, and general aerodynamic data.
Table 3. A summary of weight, inertia, and general aerodynamic data.
ParameterFigure
Weight&InertiaMaximum Takeoff Mass M MTO 1600 kg
Maximum Takeoff Weight W MTO 15,690.4 N
Mom. of inertia I xx 1500 kg m2
Mom. of inertia I yy 4350 kg m2
Mom. of inertia I zz 4400 kg m2
General AerodynamicLift curve slope C L α 0.1 deg−1
Max. wing-body Lift coeff. C L max wb 1869
Max. full-vehicle Lift coeff. C L max fv 1.780
Max. full-vehicle Lift coeff. at Takeoff C L max fv takeoff 2.04
Max. full-vehicle Lift coeff. at Landing C L max fv landing 2.45
Zero-lift drag coeff. C D 0 wb 0.0205
Lift coeff. at α = 0 deg 0.5205 N
α stall 18 deg
α star 6 deg
Table 4. Numerical model set-up for CFD analyses.
Table 4. Numerical model set-up for CFD analyses.
   ParameterValue
Block span350 m
Block Height350 m
Block Lenght1400 m
General number of cells18,000,000
General number of faces13,000,000
Simulation typeSteady RANS
FlowCompressible fully turbulent
Turbulence modelK- Ω SST
Average iterations per α 3000
SolverSTAR-CCM+
Table 5. A summary of the data used to perform Horizontal and Vertical Unchecked maneuvers. Additional data are listed at the end of the table.
Table 5. A summary of the data used to perform Horizontal and Vertical Unchecked maneuvers. Additional data are listed at the end of the table.
ParameterFigure
Horiz. tailplane unchecked maneuverDesign Maneuvering Speed V A 61.18 m s−1
Dynamic pressure q2292.64 Pa
Horiz. tailplane arm l ht 3.4 m
C L δ e 1.5 rad−1
C L q −4.85
C L α ˙ −1.26
C M δ e −1.96 rad−1
C M q −16.49 rad−1
C M α ˙ −4.29 rad−1
Deflection time Δ t 0.3 s
d ϵ d α 0.26
I yy 4350 kg m2
S ht 5.5 m2
Vert. tailplane unchecked maneuverDesign Maneuvering Speed V A 61.18 m s−1
Dynamic pressure q2292.63 Pa
Vert. tailplane arm l ht 3.4 m
Vert. tailplane surface S vt 1.9 m2
C N δ r 0.034 rad−1
C N r −0.024 rad−1
C N β 0.045 rad−1
Deflection time Δ t 0.3 s
I zz 4400 kg m2
S vt 1.9 m2
Other aerod. coeff. C L δ r 0.18 rad−1
C N p 0.007 rad−1
C Y r 0.1 rad−1
C Y p 0.03 rad−1
C L p 0.007 rad−1
Table 7. Unchecked maneuver summary for the Pitch-Up and Pitch-Down cases.
Table 7. Unchecked maneuver summary for the Pitch-Up and Pitch-Down cases.
ParameterResults
PITCH-UPMaximum Δ L ht −10,539.054 N
Balancing loads L ht ,   balancing −1376.80 N
Total loads L ht ,   total −11,915.85 N
Loads on the h.t. semispan−7273.0551 N
PITCH-DOWNMaximum Δ L ht 2208.52 N
Balancing loads L ht ,   balancing −1376.80 N
Total loads L ht ,   total 831.72 N
Loads on the h.t. semispan507.66 N
Table 8. Checked maneuver summary for the Pitch-Up and Pitch-Down cases.
Table 8. Checked maneuver summary for the Pitch-Up and Pitch-Down cases.
Parameter V A V C V D
PITCH-UPAirspeed V220.25 km h−1225.66 km h−1282.10 km h−1
Positive design limit maneouvering load factor n m 3.803.803.80
Reference load factor n1.001.001.00
Angular acceleration θ ¨ 2.87 rad s−22.80 rad s−22.24 rad s−2
Pitching moment M y 12,462.90 N m12,164.00 N m9731.20 N m
Manoeuvering loads L ht ,   m −3665.60 N−3577.60 N−2862.10 N
Balancing loads L ht ,   b −1376.80 N−145.60 N−239.30 N
Total loads L ht ,   m + L ht ,   b −5042.40 N−3723.20 N−3101.40 N
Loads on the h.t. semispan−3077.70 N−2525.30 N−2521.60 N
PITCH-DOWNAirspeed V220.25 km h−1225.66 km h−1282.10 km h−1
Positive design limit maneouvering load factor n m 3.803.803.80
Reference load factor n3.803.803.80
Angular acceleration θ ¨ −2.87 rad s−2−2.80 rad s−2−2.24 rad s−2
Pitching moment M y −12,462.90 N m−12,164.00 N m−9731.20 N m
Manoeuvering loads L ht ,   m 366.60 N357.80 N286.20 N
Balancing loads L ht ,   b −75.70 N−83.90 N−178.90 N
Total loads L ht ,   m + L ht ,   b 290.90 N273.80 N107.30 N
Loads on the h.t. semispan177.50 N167.10 N65.50 N
Table 9. Summary of gust loads for the horizontal tail at 20,000 ft and sea level.
Table 9. Summary of gust loads for the horizontal tail at 20,000 ft and sea level.
ParameterSACDFE
20,000 FTV31.39 m s−161.18 m s−162.68 m s−178.36 m s−156.49 m s−1
n1.003.803.803.802.135
μ g 58.5658.5658.5658.5658.56
K g 0.810.810.810.810.81
L ht ,   b −199.20 N−1376.80 N−145.59 N−239.29 N−1729.52 N
U de 15.62 m s−115.62 m s−115.62 m s−17.62 m s−17.62 m s−1
± Δ L ht 1823 N3555 N3642 N2276 N1637 N
+ L ht 1624 N2178 N3496 N2037 N−93 N
L ht −2023 N−4931 N−3788 N−2516 N−3366 N
 Max Load4931 N
SEA-LEVELV31.39 m s−161.18 m s−162.68 m s−178.36 m s−156.49 m s−1
n1.003.803.803.802.135
μ g 31.1931.1931.1931.1931.19
K g 0.750.750.750.750.75
L ht ,   b −199.20 N−1376.80 N−145.59 N−239.29 N−1729.52 N
U de 15.62 m s−115.62 m s−115.62 m s−17.62 m s−17.62 m s−1
± Δ L ht 1700 N3313 N3395 N2122 N1526 N
+ L ht 1501 N1937 N3249 N1882 N−204 N
L ht −1899 N−4690 N−3540 N−2361 N−3255 N
 Max Load4690 N
Table 10. Additional V-Tail empennage gust loads summary table.
Table 10. Additional V-Tail empennage gust loads summary table.
ParameterSACDFE
20,000 FTV31.39 m s−161.18 m s−162.68 m s−178.36 m s−156.49 m s−1
n1.003.803.803.802.135
μ g 58.5658.5658.5658.5658.56
K g 0.810.810.810.810.81
L ht ,   b −199.20 N−1376.80 N−145.59 N−239.29 N−1729.52 N
U de 15.62 m s−115.62 m s−115.62 m s−17.62 m s−17.62 m s−1
± Δ L ht 2226 N4339 N4446 N2779 N1998 N
+ L ht 1052 N1749 N2179 N1316 N471 N
L ht −1108 N−2165 N−2218 N−1387 N−997 N
 Max Load2218 N
SEA-LEVELV31.39 m s−161.18 m s−162.68 m s−178.36 m s−156.49 m s−1
n1.003.803.803.802.135
μ g 31.1931.1931.1931.1931.19
K g 0.750.750.750.750.75
L ht ,   b −199.20 N−1376.80 N−145.59 N−239.29 N−1729.52 N
U de 15.62 m s−115.62 m s−115.62 m s−17.62 m s−17.62 m s−1
± Δ L ht 2075 N4045 N4144 N2590 N1863 N
+ L ht 977 N1602 N2028 N1222 N403 N
L ht −1033 N−2018 N−2067 N−1293 N−929 N
 Max Load2067 N
Table 11. Asymmetric loads derived from gust loads at various flight conditions.
Table 11. Asymmetric loads derived from gust loads at various flight conditions.
ParameterSACDFE
20,000 FTV31.39 m s−161.18 m s−162.68 m s−178.36 m s−156.49 m s−1
n1.003.803.803.802.135
± Δ L ht 1823 N3555 N3642 N2276 N1637 N
+ L ht 1624 N2178 N3496 N2037 N−93 N
L ht −2023 N−4931 N−3788 N−2516 N−3366 N
N ht when + Δ L ht 991 N1329 N2134 N1243 N−57 N
N ht when Δ L ht −1235 N−3010 N−2312 N−1535 N−2055 N
Max Load3010 N
SEA-LEVELV31.39 m s−161.18 m s−162.68 m s−178.36 m s−156.49 m s−1
n1.003.803.803.802.135
± Δ L ht 1700 N3313 N3395 N2122 N1526 N
+ L ht 1501 N1937 N3249 N1882 N−204 N
L ht −1899 N−4690 N−3540 N−2361 N−3255 N
N ht when + Δ L ht 916 N1182 N1983 N1149 N−124 N
N ht when Δ L ht −1159 N−2863 N−2161 N−1441 N−1987 N
Max Load2863 N
Table 12. Unchecked maneuver summary for the equivalent vertical tail, single- and dual-fin cases (indicated with the acronym SF or DF respectively).
Table 12. Unchecked maneuver summary for the equivalent vertical tail, single- and dual-fin cases (indicated with the acronym SF or DF respectively).
Y Total N vt , Left N vt , Right
SF±1773.75 N±1546.32 N±1546.32 N
DF±3547.49 N±3092.63 N±3092.63 N
Table 14. Calculations associated with rule USAR.441(a)(3).
Table 14. Calculations associated with rule USAR.441(a)(3).
C N N single fin Y vt , single fin NF vt , single fin , l NF vt , single fin , r
0.01185920.94 N m−1741.45 N−1518.16 N1518.16 N
C N N double fin Y vt , double fin NF vt , double fin , l NF vt , double fin , r
0.023611,841.89 N m−3482.91 N−3036.33 N3036.33 N
Table 15. Calculations associated with rule USAR.441(b)(1).
Table 15. Calculations associated with rule USAR.441(b)(1).
Point D:  δ r = 15.62 deg β = 11.93 deg
C N N single fin Y vt , single fin NF vt , single fin , l NF vt , single fin , r
−0.00937−8136.38 N m−2393.05 N−2086.21 N2086.21 N
C N N double fin Y vt , double fin NF vt , double fin , l NF vt , double fin , r
−0.01874−16,272.75 N m−4786.10 N−4172.43 N4172.43 N
Point C:  δ r = 19.52 deg β = 14.91 deg
C N N single fin Y vt , single fin NF vt , single fin , l NF vt , single fin , r
−0.01171−6179.71 N m−1817.56 N−1584.51 N1584.51 N
C N N double fin Y vt , double fin NF vt , double fin , l NF vt , double fin , r
−0.02342−12,359.43 N m−3635.13 N−3169.03 N−3169.03 N
Table 16. Calculations associated with rule USAR.443.
Table 16. Calculations associated with rule USAR.443.
N single fin NF vt , single fin , l NF vt , single fin , r
1729.66 N m1507.48 N−1507.48 N
N double fin NF vt , double fin , l NF vt , double fin , r
3458.41 N m3014.97 N−3014.97 N
Disclaimer/Publisher’s Note: The statements, opinions and data contained in all publications are solely those of the individual author(s) and contributor(s) and not of MDPI and/or the editor(s). MDPI and/or the editor(s) disclaim responsibility for any injury to people or property resulting from any ideas, methods, instructions or products referred to in the content.

Share and Cite

MDPI and ACS Style

Della Vecchia, P.; Cusati, V.; Mirabella, C. Flight Loads Evaluation and Airworthiness Compliance for the V-Tail of a Medium-Altitude Long-Endurance Unmanned Platform. Drones 2025, 9, 835. https://doi.org/10.3390/drones9120835

AMA Style

Della Vecchia P, Cusati V, Mirabella C. Flight Loads Evaluation and Airworthiness Compliance for the V-Tail of a Medium-Altitude Long-Endurance Unmanned Platform. Drones. 2025; 9(12):835. https://doi.org/10.3390/drones9120835

Chicago/Turabian Style

Della Vecchia, Pierluigi, Vincenzo Cusati, and Claudio Mirabella. 2025. "Flight Loads Evaluation and Airworthiness Compliance for the V-Tail of a Medium-Altitude Long-Endurance Unmanned Platform" Drones 9, no. 12: 835. https://doi.org/10.3390/drones9120835

APA Style

Della Vecchia, P., Cusati, V., & Mirabella, C. (2025). Flight Loads Evaluation and Airworthiness Compliance for the V-Tail of a Medium-Altitude Long-Endurance Unmanned Platform. Drones, 9(12), 835. https://doi.org/10.3390/drones9120835

Article Metrics

Back to TopTop