A Novel Method Based on Eulerian Streamlines for Droplet Impingement Characteristic Computation Under Icing Conditions
Highlights
- A novel method based on Eulerian streamlines is developed for droplet impingement characteristics under atmospheric icing conditions.
- The method is validated with different cases and is suitable for drone icing.
- This work is helpful for ice accretion analysis and anti/de-icing system design for UAVs.
Abstract
1. Introduction
2. Materials and Methods
2.1. Governing Equations
2.2. Streamline and Impingement Characteristics
2.3. Numerical Implementation
3. Results and Discussion
3.1. NACA0012 Airfoil
3.2. 2D Cylinder
3.3. MS (1)-0317
3.4. RG-15 Airfoil
3.5. Discussion
4. Conclusions
- (1)
- The obtained droplet collection efficiencies of the NACA0012 airfoil, the 2D cylinder, the MS (1)-0317 airfoil, and the RG-15 airfoil are all in consistent agreement with the simulative and experimental results in the published literature, validating the feasibility and effectiveness of the streamline-based Eulerian method.
- (2)
- Without solving the droplet continuity equation in the Eulerian framework, the calculation time of the droplet velocity fields is less than half of the conventional Eulerian method. By using backward integration in the velocity field to obtain the droplet streamlines and collection efficiency, less than a few hundred droplet trajectories need to be calculated. The entire streamline-based Eulerian method is efficient.
- (3)
- In the future, this scheme will be extended to complex 3D airfoils in UAV icing investigations. Alternatively, relevant research will focus on the motion and impact characteristics of ice crystals and SLD, involving the deformation, breaking, splashing, and rebound of droplets. Moreover, a complete ice prediction framework will be established, and this methodology will be integrated into the framework as the droplet velocity field computation module. The research in this paper can provide a reference for ice accretion analysis and anti-icing/de-icing system design for UAVs.
Author Contributions
Funding
Data Availability Statement
Acknowledgments
Conflicts of Interest
References
- Yue, T.; Wang, X.; Wang, B.; Tai, S.; Liu, H.; Wang, L.; Jiang, F. Design of Ice Tolerance Flight Envelope Protection Control System for UAV Based on LSTM Neural Network for Detecting Icing Severity. Drones 2025, 9, 63. [Google Scholar] [CrossRef]
- Hann, R.; Johansen, T. UAV icing: The influence of airspeed and chord length on performance degradation. Aircr. Eng. Aerosp. Technol. 2020, 93, 832–841. [Google Scholar] [CrossRef]
- Muhammed, M.; Virk, M. Ice Accretion on Fixed-Wing Unmanned Aerial Vehicle—A Review Study. Drones 2022, 6, 86. [Google Scholar] [CrossRef]
- Zhou, L.; Yi, X.; Liu, Q. A Review of Icing Research and Development of Icing Mitigation Techniques for Fixed-Wing UAVs. Drones 2023, 7, 709. [Google Scholar] [CrossRef]
- Habashi, W. Handbook of Numerical Simulation of In-Flight Icing; Springer Nature: Cham, Switzerland, 2023. [Google Scholar]
- Shen, X.; Zhao, W.; Qi, Z.; Lin, G.; Wang, L. Analysis of numerical methods for droplet impingement characteristics under aircraft icing conditions. Aerospace 2022, 9, 416. [Google Scholar] [CrossRef]
- Iuliano, E.; Brandi, V.; Mingione, G. Water impingement prediction on multi-element airfoils by means of Eulerian and Lagrangian approach with viscous and inviscid air flow. In Proceedings of the 44th AIAA Aerospace Sciences Meeting and Exhibit, Reno, NV, USA, 9–12 January 2006. [Google Scholar]
- Wang, C.; Chang, S.; Wu, H. Lagrangian approach for simulating supercooled large droplets’ impingement effect. J. Aircr. 2015, 52, 524–537. [Google Scholar] [CrossRef]
- Shen, X.; Xiao, C.; Ning, Y.; Wang, H.; Lin, G.; Wang, L. Research on the Methods for Obtaining Droplet Impingement Characteristics in the Lagrangian Framework. Aerospace 2024, 11, 172. [Google Scholar] [CrossRef]
- Wirogo, S.; Srirambhatla, S. An Eulerian Method to Calculate the Collection Efficiency on Two and Three Dimensional Bodies. In Proceedings of the 41st Aerospace Sciences Meeting and Exhibit, Reno, NV, USA, 6–9 January 2003. [Google Scholar]
- Wright, W. User Manual for the NASA Glenn Ice Accretion Code LEWICE, Version 2.2.2; NASA-CR-2002-211793; Glenn Research Center: Cleveland, OH, USA, 2002. [Google Scholar]
- Sengupta, B.; Esmaeilifar, E.; Araghizadeh, M.; Kang, S.; Lee, H.; Myong, R.; Raj, L. Rotor-Fuselage-Intake Aerodynamics and Icing Using Vortex and Eulerian–Lagrangian Computational Fluid Dynamics Methods. AIAA J. 2025, 63, 909–930. [Google Scholar] [CrossRef]
- Bourgault, Y.; Boutanios, Z.; Habashi, W.G. Three-dimensional Eulerian approach to droplet impingement simulation using FENSAP-ICE, part 1: Model, algorithm, and validation. J. Aircr. 2000, 37, 95–103. [Google Scholar] [CrossRef]
- Widhalm, M.; Ronzheimer, A.; Meyer, J. Lagrangian Particle Tracking on Large Unstructured Three-Dimensional Meshes. In Proceedings of the 46th AIAA Aerospace Sciences Meeting and Exhibit, Reno, NV, USA, 7–10 January 2008. [Google Scholar]
- Wang, S.; Loth, E. Droplet Impact Efficiency on Aerodynamic Surfaces with a Globally Eulerian/Locally Lagrangian Method. J. Aircr. 2017, 54, 104–113. [Google Scholar] [CrossRef]
- Xie, L.; Li, P.; Chen, H.; Liu, H. Robust and efficient prediction of the collection efficiency in icing accretion simulation for 3D complex geometries using the Lagrangian approach I: An adaptive interpolation method based on the restricted radial basis functions. Int. J. Heat Mass Transf. 2020, 150, 119290. [Google Scholar] [CrossRef]
- Liu, Y.; Qu, J.; Yi, X.; Wang, Q. A Monte Carlo Lagrangian droplet solver with backpropagation neural network for aircraft icing simulation. Trans. Nanjing Univ. Aeronaut. Astronaut. 2023, 40, 566–577. [Google Scholar]
- Bellosta, T.; Baldan, G.; Sirianni, G.; Guardone, A. Lagrangian and Eulerian algorithms for water droplets in in-flight ice accretion. J. Comput. Appl. Math. 2023, 429, 115230. [Google Scholar] [CrossRef]
- Lu, S.; Chen, W.; Zhang, D.; Zhang, Z.; Zhu, G. Investigation on Phase Transition and Collection Characteristics of Non-Spherical Ice Crystals with Eulerian and Lagrangian Methods. Aerospace 2024, 11, 299. [Google Scholar] [CrossRef]
- Zayni, M.; Blanchet, M.; Laurendeau, E. Lagrangian Particle Tracking for Ice Accretion Applications. In Proceedings of the AIAA Aviation Forum and Ascend 2024, Las Vegas, NV, USA, 29 July–2 August 2024. [Google Scholar] [CrossRef]
- Wallisch, J.; Lindner, M.; Petersen, O.W.; Neunaber, I.; Bracchi, T.; Hearst, R.J.; Hann, R. UAV Icing: Aerodynamic Degradation Caused by Intercycle and Runback Ice Shapes on an RG-15 Airfoil. Drones 2024, 8, 775. [Google Scholar] [CrossRef]
- Lindner, M.; Hann, R. UAV Icing: Comparison of Simulated 3D and 2D Ice Accretion on Wings. In Proceedings of the AIAA Aviation Forum and Ascend 2024, Las Vegas, NV, USA, 29 July–2 August 2024. [Google Scholar] [CrossRef]
- Frey, M.; Müller, N.; Wallisch, J.; Hann, R. UAV Icing: Experimental Investigation and Numerical CHT Simulations of a Propeller Ice Protection System. In Proceedings of the AIAA SCITECH 2024 Forum, Orlando, FL, USA, 8–12 January 2024. [Google Scholar] [CrossRef]
- Bourgault, Y.; Habashi, W.; Dompierre, J.; Baruzzi, G. A finite element method study of Eulerian droplets impingement models. Int. J. Numer. Methods Fluids 1999, 29, 429–449. [Google Scholar] [CrossRef]
- Tong, X.; Luke, E. Eulerian simulations of icing collection efficiency using a singularity diffusion model. In Proceedings of the 43rd AIAA Aerospace Sciences Meeting and Exhibit, Reno, NV, USA, 10–13 January 2005. [Google Scholar]
- Jung, S.; Myong, R. A second-order positivity-preserving finite volume upwind scheme for air-mixed droplet flow in atmospheric icing. Comput. Fluids 2013, 86, 459–469. [Google Scholar] [CrossRef]
- Blanchet, M.; Bourgault-Cote, S.; Laurendeau, E. Conservative hyperbolic droplet solver for aircraft icing. In Proceedings of the AIAA Aviation 2022 Forum, Chicago, IL, USA, 27 June–1 July 2022. [Google Scholar] [CrossRef]
- Chen, X.; Zhao, Q. New method for predicting 3-d water droplet impingement on rotor considering influence of shadow zone. Acta Aeronaut. Et Astronaut. Sin. 2017, 38, 120745. [Google Scholar]
- Sotomayor-Zakharov, D.; Bansmer, S. Finite-volume Eulerian solver for simulation of particle-laden flows for icing applications. Comput. Fluids 2021, 228, 105009. [Google Scholar] [CrossRef]
- Zheng, Z.; Li, F.; Yang, J. Modeling Asymmetric Flow of Viscoelastic Fluid in Symmetric Planar Sudden Expansion Geometry Based on User-Defined Function in FLUENT CFD Package. Adv. Mech. Eng. 2013, 5, 795937. [Google Scholar] [CrossRef]
- Papadakis, M.; Wong, S.; Rachman, A.; Hung, K.; Vu, G.; Bidwell, C. Large and Small Droplet Impingement Data on Airfoils and Two Simulated Ice Shapes; NASA/TM—2007-213959; Glenn Research Center: Cleveland, OH, USA, 2007. [Google Scholar]
- Capizzano, F. Results from the Second Ice Prediction Workshop by Using the CIRA Cartesian Method. In Proceedings of the AIAA Aviation Forum and Ascend 2024, Las Vegas, NV, USA, 29 July–2 August 2024. [Google Scholar] [CrossRef]













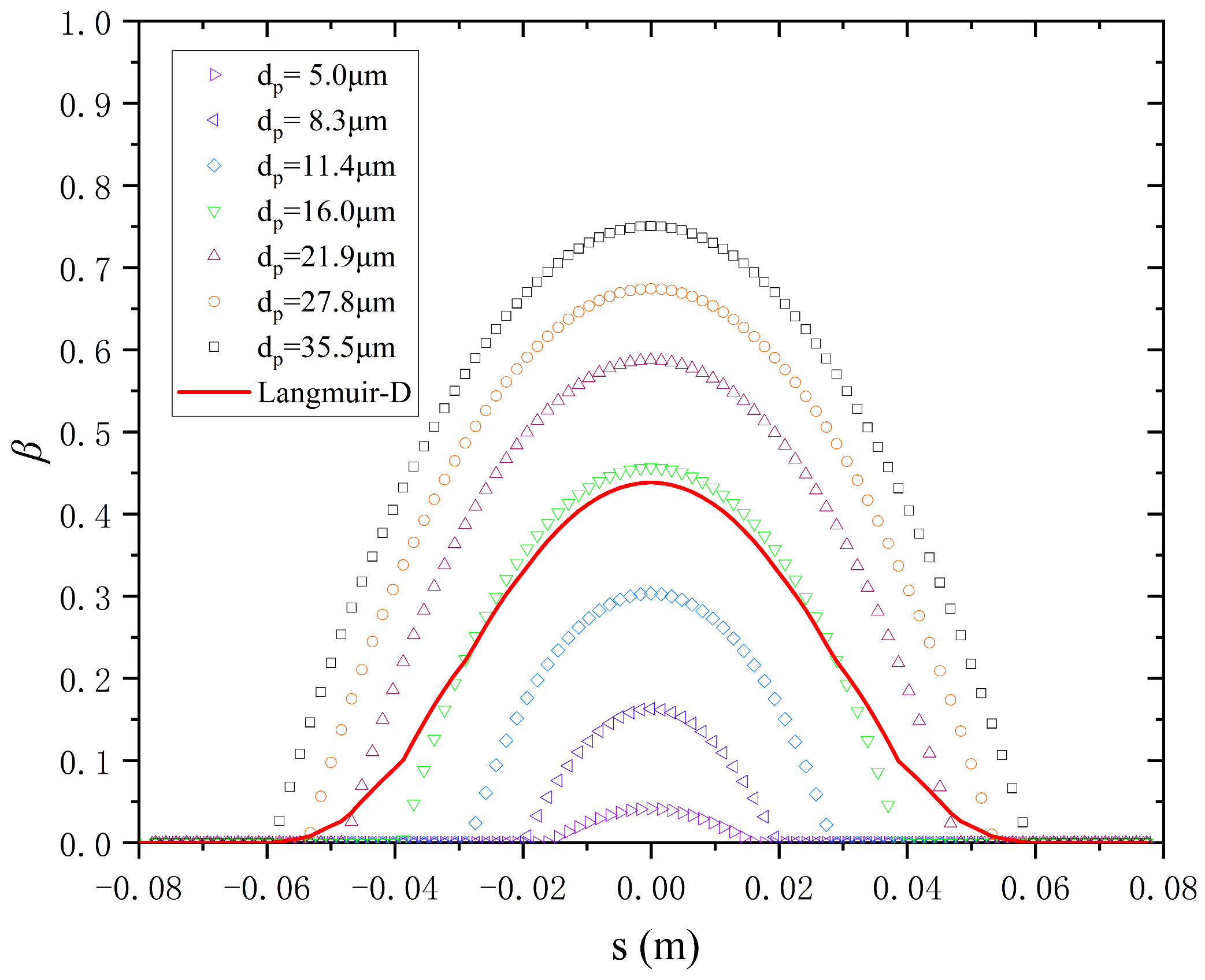
| Group Number | 1 | 2 | 3 | 4 | 5 | 6 | 7 |
|---|---|---|---|---|---|---|---|
| Weight in % of LWC | 5 | 10 | 20 | 30 | 20 | 10 | 5 |
| ) | 5 | 8.3 | 11.4 | 16 | 21.9 | 27.8 | 35.5 |
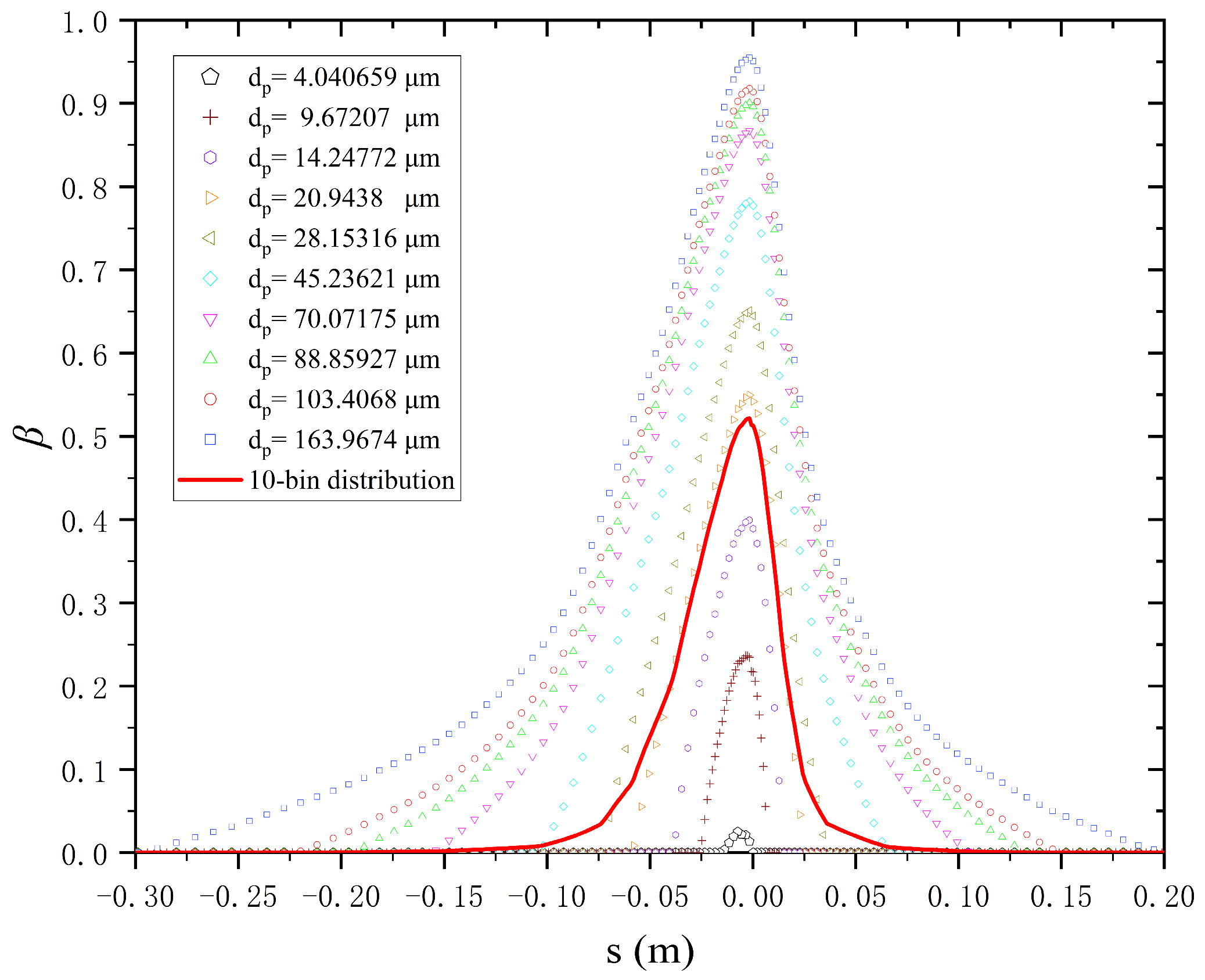
| Bin Number | 1 | 2 | 3 | 4 | 5 | 6 | 7 | 8 | 9 | 10 |
|---|---|---|---|---|---|---|---|---|---|---|
| Weight in % of LWC | 5 | 10 | 20 | 30 | 20 | 10 | 3 | 1 | 0.5 | 0.5 |
| ) | 4.040659 | 9.67207 | 14.24772 | 20.9438 | 28.1536 | 45.2361 | 70.07175 | 88.85927 | 103.4068 | 163.9674 |
Disclaimer/Publisher’s Note: The statements, opinions and data contained in all publications are solely those of the individual author(s) and contributor(s) and not of MDPI and/or the editor(s). MDPI and/or the editor(s) disclaim responsibility for any injury to people or property resulting from any ideas, methods, instructions or products referred to in the content. |
© 2025 by the authors. Licensee MDPI, Basel, Switzerland. This article is an open access article distributed under the terms and conditions of the Creative Commons Attribution (CC BY) license (https://creativecommons.org/licenses/by/4.0/).
Share and Cite
Ye, Z.; Shen, X.; Zhao, J.; Guo, J.; Lin, G. A Novel Method Based on Eulerian Streamlines for Droplet Impingement Characteristic Computation Under Icing Conditions. Drones 2025, 9, 772. https://doi.org/10.3390/drones9110772
Ye Z, Shen X, Zhao J, Guo J, Lin G. A Novel Method Based on Eulerian Streamlines for Droplet Impingement Characteristic Computation Under Icing Conditions. Drones. 2025; 9(11):772. https://doi.org/10.3390/drones9110772
Chicago/Turabian StyleYe, Zekun, Xiaobin Shen, Jingyu Zhao, Jietao Guo, and Guiping Lin. 2025. "A Novel Method Based on Eulerian Streamlines for Droplet Impingement Characteristic Computation Under Icing Conditions" Drones 9, no. 11: 772. https://doi.org/10.3390/drones9110772
APA StyleYe, Z., Shen, X., Zhao, J., Guo, J., & Lin, G. (2025). A Novel Method Based on Eulerian Streamlines for Droplet Impingement Characteristic Computation Under Icing Conditions. Drones, 9(11), 772. https://doi.org/10.3390/drones9110772

